Sign in to use this feature.

Years

Between: -

Subjects

remove_circle_outline
remove_circle_outline
remove_circle_outline
remove_circle_outline
remove_circle_outline
remove_circle_outline
remove_circle_outline
remove_circle_outline
remove_circle_outline

Journals

Article Types

Countries / Regions

remove_circle_outline
remove_circle_outline
remove_circle_outline

Search Results (561)

Search Parameters:
Keywords = intrinsic pathway of apoptosis

Order results
Result details
Results per page
Select all
Export citation of selected articles as:
19 pages, 1769 KB  
Article
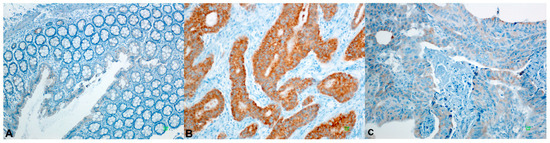
PUMA–p53 Dysregulation and Ki-67 Overexpression Define Unfavorable Prognostic Signatures in Colorectal Cancer
by Alexandros Mekras, Dimitrios Tsavdaris, Dimosthenis Mekras, Alexandra Vasilakou, Daniel Paramythiotis, Antonios Michalopoulos and Mattheos Bobos
Cancers 2026, 18(1), 72; https://doi.org/10.3390/cancers18010072 - 25 Dec 2025
Viewed by 173
Abstract
Background/Objectives: Colorectal cancer (CRC) is the third most commonly occurring cancer. Apoptosis is a fundamental cellular process of programmed cell death, and although many pathways for inducing apoptosis may exist, only the intrinsic and the extrinsic pathways have been demonstrated in detail. [...] Read more.
Background/Objectives: Colorectal cancer (CRC) is the third most commonly occurring cancer. Apoptosis is a fundamental cellular process of programmed cell death, and although many pathways for inducing apoptosis may exist, only the intrinsic and the extrinsic pathways have been demonstrated in detail. This study investigated the expression of BAD, BID, BCL2, MDM2, p53, Ki-67, and PUMA in primary CRC, paired lymph node metastases, and adjacent normal mucosa and explored their associations with clinicopathologic features and patient outcomes. Methods: One hundred thirty patients who underwent surgery for resectable CRC were included in the study. FFPE tumor tissue samples were prospectively collected and used for the construction of the TMA blocks from the primary tumor, paired lymph node metastasis, and paired normal mucosa. Immunohistochemistry for BAD, BID, BCL2, MDM2, p53, Ki-67, and PUMA antibodies was performed. Results: Univariate analysis showed reduced cancer-specific (CSS), disease-free (DFS), and overall survival (OS) in patients with lymphatic invasion, ≥4 positive lymph nodes, poorly differentiated tumors, older age (≥65), right-sided tumors, stage IIIC disease, or no chemotherapy. Multivariate analysis identified lymphovascular invasion, ≥4 metastatic nodes, and high Ki-67 as independent predictors of worse DFS and CSS, with low BAD expression additionally predicting DFS. For OS, adverse predictors included nodal burden, tumor location, absence of chemotherapy, and high p53, MDM2, and Ki-67 expression. Notably, combined high PUMA and low p53 expression independently predicted poorer CSS and OS. Conclusions: High expression of PUMA combined with low expression of p53 and a high expression of Ki-67 were independent unfavorable prognostic indicators for both OS and CSS. Further studies are required to clarify the prognostic and therapeutic role of these markers in CRC. Full article
(This article belongs to the Section Molecular Cancer Biology)
Show Figures

Figure 1

18 pages, 809 KB  
Review
Zinc Oxide Nanoparticle-Induced Neurotoxicity: Underlying Molecular Mechanisms and Future Perspectives
by Chun Chen, Xingyao Pei, Yonger Yu, Chang Gao, Jinran Wang, Rongyao Zhu, Shuxuan Liu, Shusheng Tang and Daowen Li
Toxics 2026, 14(1), 11; https://doi.org/10.3390/toxics14010011 - 20 Dec 2025
Viewed by 370
Abstract
The expanding application of zinc oxide nanoparticles (ZnO NPs) in consumer products, medicine, and the food industry has raised significant concerns regarding their potential neurotoxicity. This review synthesizes current understanding of the pathways by which ZnO NPs gain access to the central nervous [...] Read more.
The expanding application of zinc oxide nanoparticles (ZnO NPs) in consumer products, medicine, and the food industry has raised significant concerns regarding their potential neurotoxicity. This review synthesizes current understanding of the pathways by which ZnO NPs gain access to the central nervous system (CNS), their resulting neurotoxic effects, and the underlying molecular mechanisms. These nanoparticles primarily breach the CNS via translocation across the blood–brain barrier, axonal transport along sensory nerves, and disruption of the microbiota–gut–brain axis. Upon entry, ZnO NPs induce behavioral deficits, including impaired learning, memory, and motor function, alongside pathological brain damage. The neurotoxicity is driven by a multi-faceted mechanism involving mitochondrial dysfunction, oxidative stress, energy depletion, and neuroinflammation, often triggered by the release of Zn2+ ions. Furthermore, ZnO NPs can activate diverse cell death pathways, including apoptosis, ferroptosis, and pyroptosis. Critically, their neurotoxic potential is intrinsically linked to their physicochemical properties, such as size and shape. Emerging evidence also suggests that ZnO NP exposure may promote the aggregation of pathological proteins like Tau, thereby potentially increasing the risk for neurodegenerative diseases. Finally, we discuss potential mitigation strategies, such as surface modification and intervention with natural compounds. This review underscores the need for a refined risk assessment of ZnO NPs to ensure their safe deployment. Full article
Show Figures

Graphical abstract

16 pages, 5692 KB  
Article
Using a Natural Clay Mineral as an Active Drug Carrier to Promote Hair Growth
by Zhiqing Liu, Wenhua Huang, Shanhua Xu, Meilan Nan, Xian Cui, Yue Wang, Zhehu Jin, Wan Meng, Jingbi Meng and Longquan Pi
Pharmaceuticals 2026, 19(1), 11; https://doi.org/10.3390/ph19010011 - 20 Dec 2025
Viewed by 204
Abstract
Background: Topical minoxidil remains the only FDA-approved treatment for hair loss, yet its clinical efficacy is compromised by organic-solvent-induced scalp irritation and poor patient adherence. This study aimed to evaluate natural illite as a carrier for minoxidil and to explore its potential hair-growth-promoting [...] Read more.
Background: Topical minoxidil remains the only FDA-approved treatment for hair loss, yet its clinical efficacy is compromised by organic-solvent-induced scalp irritation and poor patient adherence. This study aimed to evaluate natural illite as a carrier for minoxidil and to explore its potential hair-growth-promoting mechanisms. Methods: Thermal–acid-modified illite was engineered as a spray-dried, hydroalcohol-free minoxidil carrier for topical application. Hair regrowth efficacy was assessed in C57BL/6 mice via a 14-day depilation model. Mechanisms were elucidated via RNA-seq, Ki67/TUNEL immunofluorescence, and p-STAT3 immunohistochemistry. Results: Modified illite resulted in a 4.2-fold surface area increase and successful minoxidil loading. The minoxidil/illite formulation demonstrated efficacy equivalent to that of free minoxidil while also eliminating solvent toxicity. Mechanistic analysis revealed that illite functions as an active carrier: both the illite-alone and minoxidil/illite-treated groups exhibited increased Ki67+ proliferation and reduced TUNEL+ apoptosis. Transcriptomic profiling demonstrated dual mechanisms—enrichment of Myc proliferation pathways and suppression of IL-6 inflammatory signaling (p < 0.001)—with reduced p-STAT3 expression confirmed by immunohistochemistry. Conclusions: These findings suggest that an illite-based carrier can enable topical delivery of minoxidil with preserved efficacy and that illite itself exhibits intrinsic hair-growth-promoting activity via anti-inflammatory and pro-proliferative mechanisms, which may help alleviate adherence barriers associated with conventional topical alopecia therapy. Full article
(This article belongs to the Section Pharmaceutical Technology)
Show Figures

Figure 1

23 pages, 8949 KB  
Article
Sunitinib Impairs Oral Mucosal Healing Through Endoplasmic Reticulum Stress-Mediated Keratinocyte Dysfunction
by Jiarui Wang, Lihang Shen, Shuo Chen, Xinyu Wang, Yang He and Yi Zhang
Cells 2026, 15(1), 1; https://doi.org/10.3390/cells15010001 - 19 Dec 2025
Viewed by 259
Abstract
Medication-related osteonecrosis of the jaw (MRONJ) is a severe adverse event triggered by antiresorptive and/or anti-angiogenic agents, characterized by bone destruction, sequestrum formation, and refractory mucosal defects. Effective mucosal healing can be a critical factor for MRONJ prevention and treatment. While endoplasmic reticulum [...] Read more.
Medication-related osteonecrosis of the jaw (MRONJ) is a severe adverse event triggered by antiresorptive and/or anti-angiogenic agents, characterized by bone destruction, sequestrum formation, and refractory mucosal defects. Effective mucosal healing can be a critical factor for MRONJ prevention and treatment. While endoplasmic reticulum stress (ER stress) has been implicated in tissue repair, its role in MRONJ-associated mucosal healing impairment remains undefined. This study investigated the effects of the anti-angiogenic drug sunitinib on oral mucosal healing and its underlying mechanisms. A mouse model of palatal mucosal defects was established, RNA-seq, transmission electron microscopy, and morphological analyses were used to assess how sunitinib affects ER function during mucosal repair. Using human oral keratinocytes (HOKs), we further elucidated the subcellular mechanisms through which sunitinib influences cell proliferation, migration, cell cycle progression, tight junctions, and apoptosis via techniques such as qPCR, Western blotting, immunofluorescence, and flow cytometry. Our findings demonstrated that sunitinib might induce significant alterations in the morphology of the ER and mitochondria. Both in vivo and in vitro experiments revealed that sunitinib persistently activates the GRP78 (BIP)/PERK/ATF4/CHOP axis in HOKs. This sustained ER stress can inhibit keratinocytes migration and proliferation, disrupt tight junctions, and trigger the intrinsic mitochondrial apoptotic pathway, ultimately leading to impaired oral mucosal healing and barrier dysfunction. Critically, pharmacological inhibition of ER stress was shown to restore keratinocytes’ function and promote effective mucosal healing. These results indicated that targeting sunitinib-induced persistent ER stress might represent a promising therapeutic strategy to prevent and treat oral mucosal toxicity associated with this drug. Full article
(This article belongs to the Section Cell Signaling)
Show Figures

Graphical abstract

23 pages, 5081 KB  
Article
Synergistic Anticancer Effects of Metformin and Doxorubicin in Ovarian Cancer Cells Through Dual Apoptotic Pathway Activation and Oxidative Stress Enhancement
by Senem Alkan Akalın, Yasemin Afşin, Veysel Toprak, İlhan Özdemir, Mehmet Cudi Tuncer and Şamil Öztürk
Biology 2025, 14(12), 1749; https://doi.org/10.3390/biology14121749 - 6 Dec 2025
Viewed by 336
Abstract
This study aimed to evaluate the antiproliferative, apoptotic, and oxidative stress-inducing effects of the combination of metformin and doxorubicin (adriamycin) in OVCAR3 and SKOV3 ovarian cancer cell lines and to investigate the potential synergistic interactions between the two agents. Cell viability was assessed [...] Read more.
This study aimed to evaluate the antiproliferative, apoptotic, and oxidative stress-inducing effects of the combination of metformin and doxorubicin (adriamycin) in OVCAR3 and SKOV3 ovarian cancer cell lines and to investigate the potential synergistic interactions between the two agents. Cell viability was assessed using the MTT assay. Apoptosis was quantified via Annexin V/PI staining followed by flow cytometry. Caspase-8 and caspase-9 activities were measured using colorimetric assays. Oxidative stress parameters, including reactive oxygen species (ROS) and nitric oxide (NO), were determined using DCFH-DA fluorescence and the Griess assay, respectively. The mRNA expression levels of apoptosis-related genes (Bcl-2, Survivin, Bax, and Caspase-3) were analyzed by qRT-PCR. Drug interaction and synergy were evaluated using the Chou–Talalay combination index (CI) model and the highest single agent (HSA) model. Prognostic relevance of target genes and protein interaction networks was examined through TCGA and STRING databases. The metformin–doxorubicin combination demonstrated strong synergistic antiproliferative effects in both cell lines (CI < 0.7 in OVCAR3). The combination significantly increased apoptosis compared with single-agent treatments, yielding a total apoptotic rate of 62.5 ± 4.2% in OVCAR3. Caspase-8 and caspase-9 activities were elevated by 5.6 ± 0.7-fold and 7.3 ± 0.8-fold, respectively. Combination treatment also induced marked oxidative stress, increasing NO levels to 12.4 ± 1.1 µM and ROS levels to 412 ± 25% in OVCAR3 cells. qRT-PCR analyses revealed downregulation of anti-apoptotic Bcl-2 (0.28 ± 0.04-fold) and Survivin (0.25 ± 0.03-fold), along with upregulation of pro-apoptotic Bax (5.8 ± 0.6-fold) and Caspase-3 (6.5 ± 0.7-fold). Bioinformatic analyses indicated that high Bcl-2 and Survivin expression correlated with poorer overall survival in ovarian cancer patients. Metformin enhances the anticancer efficacy of doxorubicin through synergistic activation of intrinsic and extrinsic apoptotic pathways, induction of oxidative and nitrosative stress, and transcriptional regulation of key apoptotic markers. These findings support the potential use of metformin as an adjuvant agent to strengthen doxorubicin-based chemotherapy in ovarian cancer. Full article
(This article belongs to the Section Cancer Biology)
Show Figures

Figure 1

18 pages, 4231 KB  
Article
Atrazine Induces Reproductive Toxicity in an In Vitro Spermatogenesis (IVS) Model
by Monsikan Chaiyakit, Rangsun Parnpai and In K. Cho
Biomedicines 2025, 13(12), 2917; https://doi.org/10.3390/biomedicines13122917 - 28 Nov 2025
Viewed by 348
Abstract
Background/Objectives: Atrazine (ATZ) is a widely used herbicide, and most studies of its reproductive toxicity have been conducted in vivo using animal models, where ATZ disrupts redox homeostasis, leading to male reproductive dysfunction. However, its molecular mechanisms of action in human spermatogenic cells [...] Read more.
Background/Objectives: Atrazine (ATZ) is a widely used herbicide, and most studies of its reproductive toxicity have been conducted in vivo using animal models, where ATZ disrupts redox homeostasis, leading to male reproductive dysfunction. However, its molecular mechanisms of action in human spermatogenic cells remain poorly understood. Huntington’s disease (HD), an autosomal dominant disorder caused by abnormal CAG repeat expansion in the HTT gene, exhibits heightened oxidative stress sensitivity and mitochondrial dysfunction, which may further impair reproductive function. This study investigated ATZ effects on human spermatogenesis using an in vitro spermatogenesis (IVS) model derived from human induced pluripotent stem cells (hiPSCs), focusing on Nrf2-mediated oxidative responses and apoptotic regulation during spermatogonial stem cell-like cell (SSCLC) differentiation in wild-type (WT) and HD hiPSC lines. Methods: Two WT and two HD hiPSC lines carrying 44 (HD1) and 180 (HD2) CAG repeats were treated with ATZ (0, 0.01, 1, or 10 μM) for 30 days, followed by differentiation into SSCLCs for 15 days under continuous exposure. Expression of pluripotency (OCT4, SOX2), oxidative stress (NFE2L2, SOD1, GPX1, NQO1), cell cycle (CDK1), apoptosis (BCL2, BAX, CASP3, CASP9, FAS, FASLG), and spermatogenic markers (DAZL, ZBTB16, GFRA1, PIWIL2) were assessed by immunocytochemistry and qRT-PCR. Results: Long-term ATZ exposure affected pluripotency markers in hiPSCs and SSCLC differentiation in a cell line–dependent manner. WT cells exhibited early differentiation suppression without significant apoptosis. HD1 cells were highly sensitive: low ATZ doses (0.01–1 μM) partially activated intrinsic and extrinsic apoptotic pathways, whereas high-dose ATZ (10 μM) reduced Nrf2-target and spermatogenic gene expression, strongly impairing SSCLC maturation. HD2 cells showed pronounced oxidative stress with robust Nrf2-driven antioxidant responses and BCL2 that supported differentiation at low doses. However, excessive oxidative or proliferative signaling, including CDK1 upregulation at high ATZ concentrations, disrupted redox balance and SSCLC differentiation in HD2 cells. Conclusions: ATZ exerts dose- and genotype-dependent effects on IVS through coordinated regulation of oxidative stress and apoptosis. These findings highlight the interplay between Nrf2-mediated antioxidant defenses, apoptotic signaling, and genetic background in shaping spermatogenic outcomes, providing mechanistic insight into ATZ-induced reproductive toxicity in a human-relevant in vitro spermatogenesis model. Full article
(This article belongs to the Special Issue Molecular Regulation of Spermatozoa—Second Edition)
Show Figures

Figure 1

15 pages, 3408 KB  
Article
Therapeutic Effects of Cephalotaxus harringtonia Leaf Extract on Hepatocellular Carcinoma via Regulation of the Intrinsic Apoptosis Pathway and Cell Cycle
by Dae-Han Park, Sonny C. Ramos, Hyun Bo Sim, Ju-Bin Lee, Ho-Yeol Jang, Beom-Gyun Jeong, Kyung-Wuk Park, Kyung-Yun Kang and Jong-Jin Kim
Curr. Issues Mol. Biol. 2025, 47(12), 994; https://doi.org/10.3390/cimb47120994 - 27 Nov 2025
Viewed by 343
Abstract
Apoptosis induction in tumor cells is a fundamental therapeutic approach in cancer treatment, with growing interest in plant-derived compounds that offer potent efficacy and reduced toxicity. Cephalotaxus harringtonia, traditionally used in East Asian medicine, contains several bioactive constituents, including homoharringtonine (HHT) and [...] Read more.
Apoptosis induction in tumor cells is a fundamental therapeutic approach in cancer treatment, with growing interest in plant-derived compounds that offer potent efficacy and reduced toxicity. Cephalotaxus harringtonia, traditionally used in East Asian medicine, contains several bioactive constituents, including homoharringtonine (HHT) and quercetin 3-β-D-glucoside (Q3G), which are known for their anticancer properties. This study investigated the anticancer effects of C. harringtonia leaf extract (CHLE) and its two major compounds, quercetin 3-β-D-glucoside (Q3G) and HHT, against human liver cancer cell lines (HepG2). CHLE exhibited selective cytotoxicity and apoptosis specifically in HepG2 cells while showing minimal toxicity toward normal kidney cells (HK-2). Mechanistic analyses revealed that CHLE induced apoptosis through a mitochondria-mediated intrinsic pathway, characterized by increased reactive oxygen species production, mitochondrial membrane depolarization, and BAX upregulation. These findings demonstrate that C. harringtonia leaf extract possesses potent, selective anticancer activity and may serve as a promising natural candidate for the prevention and therapeutic management of liver cancer. Full article
Show Figures

Figure 1

16 pages, 3444 KB  
Article
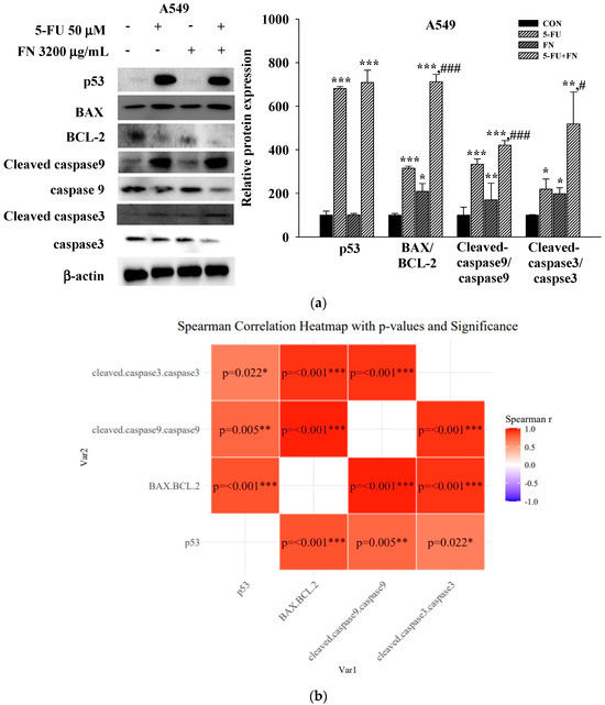
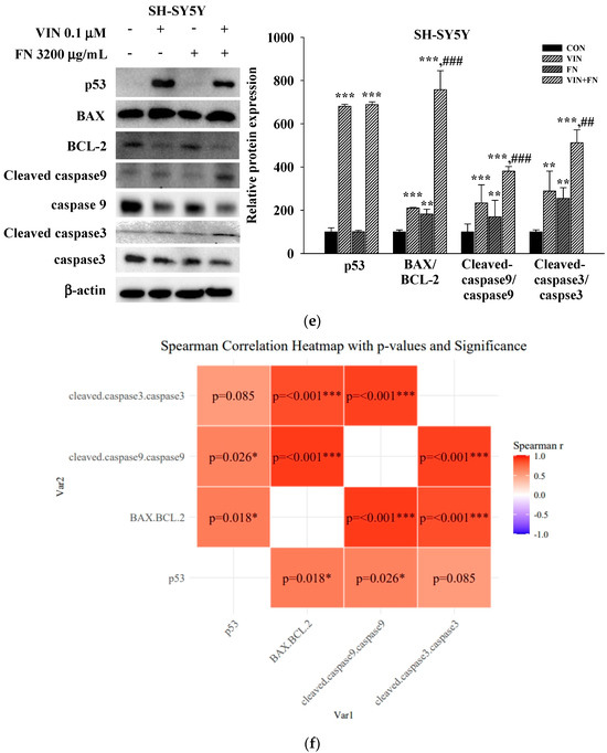
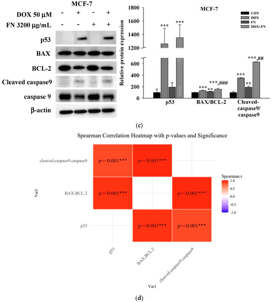
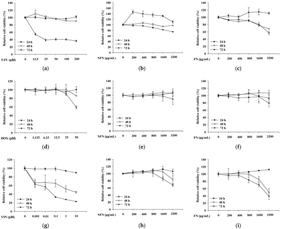
Synergistic Anticancer Effects of Fermented Noni Extract Combined with 5-Fluorouracil, Doxorubicin, and Vincristine on A549, MCF-7, and SH-SY5Y Cell Models
by June-Seok Lim, Ji-Hyun Im, Xiaolu Fu, Min-Hye Kim, Yeon-Seok Seong, Jae-Yeon Lee, Eun Young Park, Do sang Lee, Im-Joung La and Ok-Hwan Lee
Curr. Issues Mol. Biol. 2025, 47(12), 993; https://doi.org/10.3390/cimb47120993 - 27 Nov 2025
Viewed by 382
Abstract
Although chemotherapy is a primary approach for cancer treatment, its efficacy is often compromised by the development of drug resistance and occurrence of serious side effects. To improve chemotherapy outcomes, this study aimed to evaluate the synergistic anticancer effects of fermented noni extract [...] Read more.
Although chemotherapy is a primary approach for cancer treatment, its efficacy is often compromised by the development of drug resistance and occurrence of serious side effects. To improve chemotherapy outcomes, this study aimed to evaluate the synergistic anticancer effects of fermented noni extract (FN) in combination with 5-fluorouracil (5-FU), doxorubicin (DOX), or vincristine (VIN) in A549, MCF-7, and SH-SY5Y cancer cell lines. Cells were treated with FN, anticancer drugs, or their combinations. Cell viability was assessed using XTT assays, and synergism was evaluated by calculating combination index (CI) values. Scratch wound and colony formation assays were conducted to assess cell migration and proliferation. Western blotting was used to analyze the expression of apoptosis-related proteins. Combination treatments significantly enhanced cytotoxicity (CI < 1), inhibited migration and colony formation, and induced intrinsic apoptosis. Expression ratios of BAX/BCL-2, cleaved caspase-9/caspase-9, and cleaved caspase-3/caspase-3 notably increased. These findings suggest that FN enhances the efficacy of chemotherapy drugs by promoting intrinsic apoptotic pathways and may serve as a potential natural adjuvant in cancer therapy. Full article
(This article belongs to the Special Issue Natural Compounds: An Adjuvant Strategy in Cancer Management)
Show Figures

Figure 1

21 pages, 2466 KB  
Review
Microbial Metabolite, Macro Impact: Urolithin A in the Nexus of Insulin Resistance and Colorectal Tumorigenesis
by Vennila Joseph, Slavomir Hornak, Peter Kubatka and Dietrich Büsselberg
Nutrients 2025, 17(23), 3712; https://doi.org/10.3390/nu17233712 - 26 Nov 2025
Viewed by 875
Abstract
Urolithin A (UA), a metabolite of dietary ellagitannins produced by the gut microbiome, is a potential dual-purpose bioactive compound that may interfere with the shared pathogenic pathways linking colorectal cancer (CRC) and type 2 diabetes mellitus (T2DM). This review summarizes recent preclinical and [...] Read more.
Urolithin A (UA), a metabolite of dietary ellagitannins produced by the gut microbiome, is a potential dual-purpose bioactive compound that may interfere with the shared pathogenic pathways linking colorectal cancer (CRC) and type 2 diabetes mellitus (T2DM). This review summarizes recent preclinical and clinical data on UA’s mechanisms, therapeutic potential, and translational challenges. In CRC models, UA promotes G2/M cell cycle arrest, triggers both intrinsic and extrinsic caspase-mediated apoptosis, enhances CD8+ T-cell mitophagy and memory functions, suppresses Wnt/β-catenin signaling, and reduces chemoresistance, especially to 5-FU. For T2DM, UA enhances autophagic flux, mitophagy, insulin signaling, and GLUT4-mediated glucose uptake through the AMPK and PI3K/AKT pathways, reduces fasting glucose and insulin resistance in animal studies, and promotes adipose tissue browning and mitochondrial beta-oxidation. Human biomarker research is limited but indicates positive changes following interventions that increase UA. Future priorities include biomarker-driven, dose-finding trials stratified by metabotype, developing colon-targeted vs. systemic formulations, and testing combinations with chemotherapy and immunotherapy to determine safety and effectiveness. Full article
(This article belongs to the Special Issue Nutrition, Metabolites, and Human Health—3rd Edition)
Show Figures

Graphical abstract

20 pages, 8351 KB  
Article
The Role of PPARβ/δ-Related Lipid Metabolism in High-Altitude Adaptation of Yak Coat Based on Proteomics and Metabolomics
by Shijie Li, Yan Cui, Xinrui Li, Xuefeng Bai, Denghui Wang, Pengfei Zhao, Pengqiang Wei, Sijiu Yu and Junfeng He
Cells 2025, 14(23), 1843; https://doi.org/10.3390/cells14231843 - 22 Nov 2025
Viewed by 570
Abstract
Background: In the cold plateau environment, the yak’s coat exhibits significant adaptive regulation to cope with adverse conditions. This adaptation is fundamentally governed by the cycle of hair follicles (HFs), a complex process involving numerous molecular signals. However, the key regulators and underlying [...] Read more.
Background: In the cold plateau environment, the yak’s coat exhibits significant adaptive regulation to cope with adverse conditions. This adaptation is fundamentally governed by the cycle of hair follicles (HFs), a complex process involving numerous molecular signals. However, the key regulators and underlying pathways remain poorly understood. Methods: Proteomic and non-targeted metabolomic analyses were employed to systematically investigate changes in proteins and metabolites during the cycle of yak hair follicles. We further validated the expression dynamics of PPARβ/δ and its related molecules, as well as the specific biological role of PPARβ/δ in regulating lipid metabolism and influencing the proliferation and apoptosis of yak dermal papilla cells (DPCs). Results: Proteomic results indicated that lipid-related proteins were among the most significantly altered, second only to hair structural proteins. The PPAR signaling pathway, which regulates lipid metabolism, may also play an important role in the cycle of yak HF. Non-targeted metabolomics revealed that Fatty Acyls were the most significantly altered metabolites during the transitions into anagen and catagen. Notably, unsaturated long-chain fatty acids (PPARβ/δ agonists) were consistently up-regulated in anagen and down-regulated in catagen, whereas saturated long-chain fatty acids (lacking PPARβ/δ agonist activity) did not exhibit a similar trend. PPARβ/δ shows significant expression changes in the dermal papilla (DP) and hair matrix (HM) during the cycle of yak HFs. Specifically, PPARβ/δ expression in the DP underwent progressive downregulation during the transition from anagen to catagen and subsequently to telogen, becoming nearly undetectable in the telogen DP. Cellular experiments confirmed that PPARβ/δ activation significantly reduced intracellular lipid content in yak DPCs and was accompanied by increased proliferation. Conversely, PPARβ/δ inhibition led to intracellular lipid accumulation and decreased proliferation. Conclusions: These findings suggest that PPARβ/δ may regulate the yak HF cycle by modulating lipid metabolism in DP. The level of intrinsic lipid metabolism within HFs may be a key factor influencing yak HF growth. Full article
Show Figures

Figure 1

18 pages, 8011 KB  
Article
Colorectal Cancer: Differential Gene Expression and In Vitro Response to 5-Fluorouracil, Novel Fluoropyrimidine F10, and Potential Synergy with Lupeol
by Shrey D. Thaker, Jenny Paredes, Jone Garai, Laura A. Martello, William H. Gmeiner, Jovanny Zabaleta and Jennie Williams
Int. J. Mol. Sci. 2025, 26(22), 11134; https://doi.org/10.3390/ijms262211134 - 18 Nov 2025
Viewed by 531
Abstract
Colorectal cancer (CRC) remains one of the most lethal malignancies in the United States, with African American (AA) patients experiencing disproportionately higher incidence and mortality compared to Caucasian Americans (CAs). These disparities have been linked to tumor-intrinsic genomic differences, including microsatellite instability (MSI) [...] Read more.
Colorectal cancer (CRC) remains one of the most lethal malignancies in the United States, with African American (AA) patients experiencing disproportionately higher incidence and mortality compared to Caucasian Americans (CAs). These disparities have been linked to tumor-intrinsic genomic differences, including microsatellite instability (MSI) and p53 mutation status, which may influence chemotherapeutic response, particularly to the standard-of-care agent 5-fluorouracil (5-FU). However, mechanistic insights have been limited by the lack of racially diverse preclinical models. Here, we evaluated the efficacy of F10 (a novel fluoropyrimidine polymer) vs. 5-FU using AA- and CA-derived CRC cell lines with distinct MSI and p53 profiles. MTT assays revealed that MSI status, more than racial origin, predicted 5-FU sensitivity. Transcriptomics uncovered distinct gene expression patterns associated with MSI status and racial background, particularly in drug metabolism pathways. F10 demonstrated superior potency and consistency vs. 5-FU across all cell lines, independent of race, MSI, or p53 status. Additionally, in silico docking and immunofluorescence suggest that the dietary triterpene lupeol enhances F10 efficacy, perhaps through stabilization of the Fas apoptosis pathway. These findings underscore the therapeutic potential of F10 and the importance of integrating diverse tumor models with dietary adjuvants to inform more effective and inclusive CRC treatment strategies. Full article
(This article belongs to the Special Issue Molecular Mechanisms and Therapies of Colorectal Cancer: 4th Edition)
Show Figures

Figure 1

24 pages, 24946 KB  
Article
Hybrid Dihydropyrimidinones Targeting AKT Signaling: Antitumor Activity in Hormone-Dependent 2D and 3D Cancer Models
by Amanda Helena Tejada, Samuel José Santos, Gabriel Tofolli Lobo, Abu-Bakr Adetayo Ariwoola, Aryel José Alves Bezerra, Giulia Rodrigues Stringhetta, Izabela Natalia Faria Gomes, Luciane Sussuchi da Silva, Rui Manuel V. Reis, Daniel D’Almeida Preto, Dennis Russowsky and Renato José Silva-Oliveira
Pharmaceutics 2025, 17(11), 1470; https://doi.org/10.3390/pharmaceutics17111470 - 14 Nov 2025
Viewed by 632
Abstract
Background/Objectives: The development of effective oncologic therapies with fewer adverse effects is often limited by the intrinsic and acquired resistance of tumor cells. Hybrid molecules, rationally designed to combine different pharmacophores, represent a promising strategy by providing synergistic effects, dose reduction, and a [...] Read more.
Background/Objectives: The development of effective oncologic therapies with fewer adverse effects is often limited by the intrinsic and acquired resistance of tumor cells. Hybrid molecules, rationally designed to combine different pharmacophores, represent a promising strategy by providing synergistic effects, dose reduction, and a lower risk of resistance. In this study, the antitumor potential and mechanisms of action of 22 novel hybrid compounds derived from xanthene and pyran scaffolds (SJ022–SJ103) were investigated. The hybrids were initially evaluated through in vitro screening in four breast, three ovarian, and two prostate cancer cell lines, followed by the selection of T-47D, OVCAR-3, and LNCaP cells for detailed assays assessing cytotoxicity, apoptosis, cell cycle distribution, DNA damage, caspase-3/7 activity, morphology, and PI3K/AKT/mTOR pathway modulation. Methods: Cytotoxicity assays were performed in the selected cell lines, while mechanistic studies included apoptosis and cell cycle analysis by flow cytometry, γH2AX detection, Western blotting for PI3K/AKT/mTOR pathway proteins, and 3D spheroid assays. Combinatorial effects with hormone therapies (tamoxifen, fulvestrant, and letrozole) and the AKT inhibitor MK2206 were evaluated. AKT silencing by esiRNA and molecular docking was performed to confirm target engagement. Results: SJ028 demonstrated broad activity across all tested cell lines, whereas SJ064 and SJ078 exhibited higher selectivity. Treatments induced apoptosis, S/G2-M arrest, and DNA damage, accompanied by decreased phospho-AKT levels and stable PI3K and mTOR expression. In 3D models, the hybrids increased caspase-3/7 activity and necrotic core expansion. Co-administration with hormone therapies resulted in synergistic effects in breast and ovarian cancer cells, reducing IC50 values by more than 50% in both parental and resistant models, while combinations with MK2206 were antagonistic across all tumor subtypes. AKT silencing abrogated cytotoxicity, and docking confirmed SJ028 binding to AKT. Conclusions: Xanthene- and pyran-based hybrids—particularly SJ028, SJ064, and SJ078—showed strong antitumor activity through apoptosis induction, cell cycle arrest, and PI3K/AKT pathway modulation. Their preserved efficacy in resistant models and synergistic interactions with hormone therapies contrasted with the antagonism observed with AKT inhibition, highlighting their potential as promising candidates for the treatment of hormone-responsive and -resistant cancers. Full article
(This article belongs to the Special Issue Innovative Drug Delivery Strategies for Targeted Cancer Immunotherapy)
Show Figures

Figure 1

18 pages, 6293 KB  
Article
Olivomycin A Targets Epithelial–Mesenchymal Transition, Apoptosis, and Mitochondrial Quality Control in Renal Cancer Cells
by Ching-Yu Hsieh, Yih-Farng Liou, Yu-Tung Shih, Alexander S. Tikhomirov, Andrey E. Shchekotikhin and Pin Ju Chueh
Antioxidants 2025, 14(11), 1348; https://doi.org/10.3390/antiox14111348 - 10 Nov 2025
Viewed by 640
Abstract
Here, we show that the aureolic acid-class antibiotic, olivomycin A, exerts potent anticancer activity in renal cell carcinoma (RCC) by disrupting both cell survival and metastatic programs. In A-498 (wild-type p53) and 786-O (loss-of-function in p53 and PTEN) cells, olivomycin A markedly inhibited [...] Read more.
Here, we show that the aureolic acid-class antibiotic, olivomycin A, exerts potent anticancer activity in renal cell carcinoma (RCC) by disrupting both cell survival and metastatic programs. In A-498 (wild-type p53) and 786-O (loss-of-function in p53 and PTEN) cells, olivomycin A markedly inhibited migratory capacity and reversed epithelial–mesenchymal transition (EMT), as shown by downregulation of nuclear Snail and the mesenchymal marker N-cadherin and restoration of the epithelial markers, E-cadherin and ZO-1. In parallel, olivomycin A induced apoptosis through distinct p53-dependent mechanisms: In A-498 cells, apoptosis was primarily mediated through the intrinsic pathway, characterized by the upregulation of Puma, Bak, and activation of caspase-9. In 786-O cells, caspase-8 activation and Bid truncation were observed alongside mitochondrial involvement, suggesting possible cross-talk apoptotic cascades. Notably, in p53-mutant 786-O cells, treatment with olivomycin A elicited severe genotoxic stress accompanied by robust DNA damage signaling, excessive reactive oxygen species (ROS) accumulation, and lysosomal activation, culminating in extensive mitochondrial removal. Such changes were weaker in p53-wild-type A-498 cells, suggesting that the altered p53 context sensitizes RCC cells to olivomycin A-mediated mitochondrial quality control mechanisms. Collectively, our findings delineate a multifaceted mechanism whereby olivomycin A coordinates EMT suppression, apoptotic induction, and mitochondrial clearance. Thus, olivomycin A has potential as a therapeutic candidate that can target both survival and metastatic pathways in heterogeneous genetic backgrounds. Full article
(This article belongs to the Section Health Outcomes of Antioxidants and Oxidative Stress)
Show Figures

Graphical abstract

18 pages, 1672 KB  
Article
Synthetic Food Preservatives Modulate Apoptotic Gene Expression in HepG2 Cells: Divergent Effects of Sodium Benzoate, Potassium Sorbate, and Sodium Metabisulfite
by Márton Pintér, John M. Macharia, Orsolya Liza Kövesdi, Nóra Rozmann, Afshin Zand, Katalin Szerb, Tímea Varjas and Bence László Raposa
Nutrients 2025, 17(21), 3466; https://doi.org/10.3390/nu17213466 - 3 Nov 2025
Viewed by 918
Abstract
Background: The accelerated lifestyle of modern society has increased reliance on processed foods preserved with synthetic additives. Although these substances effectively extend shelf life, several studies have raised concerns about potential adverse effects, suggesting that excessive or long-term exposure may interfere with essential [...] Read more.
Background: The accelerated lifestyle of modern society has increased reliance on processed foods preserved with synthetic additives. Although these substances effectively extend shelf life, several studies have raised concerns about potential adverse effects, suggesting that excessive or long-term exposure may interfere with essential cellular processes, including apoptosis. Objectives: This study aimed to investigate the impact of three widely used synthetic food preservatives; sodium benzoate (SB), potassium sorbate (PS), and sodium metabisulfite (SMB) on apoptosis-related gene expression in the human hepatocellular carcinoma cell line (HepG2). Methods: HepG2 cells were exposed to five increasing concentrations (6.25, 12.5, 25, 50, and 100 mg/L) of SB, PS, or SMB for 24 and 48 h. The transcriptional changes of key apoptotic genes (CASP3, CASP8, BAX, and BCL2) were quantified by real-time quantitative reverse transcription PCR (RT-qPCR) to evaluate their potential effects on intrinsic and extrinsic apoptotic pathways. Results: SB and PS induced dose-dependent transcriptional changes in apoptosis-related genes. Both preservatives upregulated BAX and downregulated BCL2, indicating an intrinsic pathway response, while simultaneously decreasing CASP3 and CASP8 expression associated with the extrinsic pathway. In contrast, SMB did not cause significant gene expression changes. Conclusions: SB and PS induced concentration- and time-dependent transcriptional alterations in apoptosis-related genes in HepG2 cells. In contrast, SMB did not elicit significant gene expression changes under the same conditions. These gene-level modulations were most evident at higher concentrations, which exceed typical dietary exposure levels. Therefore, while SB and PS were associated with transcriptional alterations at higher, experimentally relevant concentrations, additional research using primary human hepatocytes is needed to determine whether similar patterns occur in normal liver cells under physiological exposure conditions. Full article
(This article belongs to the Special Issue Dietary Effects on Gene Expression and Metabolic Profiles)
Show Figures

Figure 1

25 pages, 2193 KB  
Article
Immunomodulatory Effects of Juzentaihoto on Fas-Mediated Apoptosis: Insights from Cancer Patients and In Vitro Models
by Quang Trung Ngo, Jorge Luis Espinoza, Hongyang Li, Masafumi Inokuchi, Yosuke Nakanishi, Eriko Morishita, Takamasa Katagiri, Akihiro Kawahara, Tomokazu Yoshizaki, Akiyoshi Takami and Keiko Ogawa-Ochiai
Pharmaceuticals 2025, 18(11), 1658; https://doi.org/10.3390/ph18111658 - 1 Nov 2025
Viewed by 763
Abstract
Background/Objectives: Juzentaihoto (JTT), a traditional Kampo formula composed of ten medicinal herbs, is widely prescribed in Japan for immune enhancement and general health maintenance. This exploratory, open-label pilot study aimed to evaluate the feasibility and immunomodulatory effects of JTT in cancer patients and [...] Read more.
Background/Objectives: Juzentaihoto (JTT), a traditional Kampo formula composed of ten medicinal herbs, is widely prescribed in Japan for immune enhancement and general health maintenance. This exploratory, open-label pilot study aimed to evaluate the feasibility and immunomodulatory effects of JTT in cancer patients and to explore its potential mechanisms of action. Methods: Ten cancer patients received oral JTT (7.5 g/day) for 14 days, while healthy volunteers served as a reference group. Peripheral natural killer (NK) cell phenotypes and CD95 expression were analyzed by flow cytometry, and serum Fas ligand (FasL) concentrations were measured by ELISA. Complementary in vitro assays using PBS-extracted, autoclaved JTT were conducted to assess Fas/FasL-mediated apoptosis in Jurkat and primary T cells by flow cytometry and Western blotting for cleaved caspase-8 and -3. Additional experiments with staurosporine (intrinsic apoptosis) and TRAIL in OSC-19 carcinoma cells were performed to determine pathway specificity. Results: In patients, most NK-cell markers showed no statistically significant within-subject changes, although a trend-level increase in NKp46 and a significant reduction in NK-cell CD95 expression (paired p = 0.014) were observed. Between-group differences primarily reflected baseline disparities between cancer patients and healthy controls. In vitro, JTT (50–100 µg/mL) partially attenuated FasL-induced apoptosis and reduced cleaved caspase-3 without affecting cleaved caspase-8, suggesting selective downstream modulation of the extrinsic pathway. Conclusions: Within the limitations of a small, non-randomized cohort without placebo, these findings are hypothesis-generating and indicate that JTT selectively modulates Fas-mediated lymphocyte apoptosis without promoting tumor immune evasion. Further randomized trials and mechanistic studies incorporating co-culture or 3D tumor–immune models are warranted to confirm these observations and identify active constituents. Full article
(This article belongs to the Special Issue Natural Products as an Alternative for Treatment of Human Diseases)
Show Figures

Figure 1

Back to TopTop