PUMA–p53 Dysregulation and Ki-67 Overexpression Define Unfavorable Prognostic Signatures in Colorectal Cancer
Simple Summary
Abstract
1. Introduction
2. Materials and Methods
2.1. Patients
2.2. Tissue Processing and Tissue Microarray (TMA) Construction
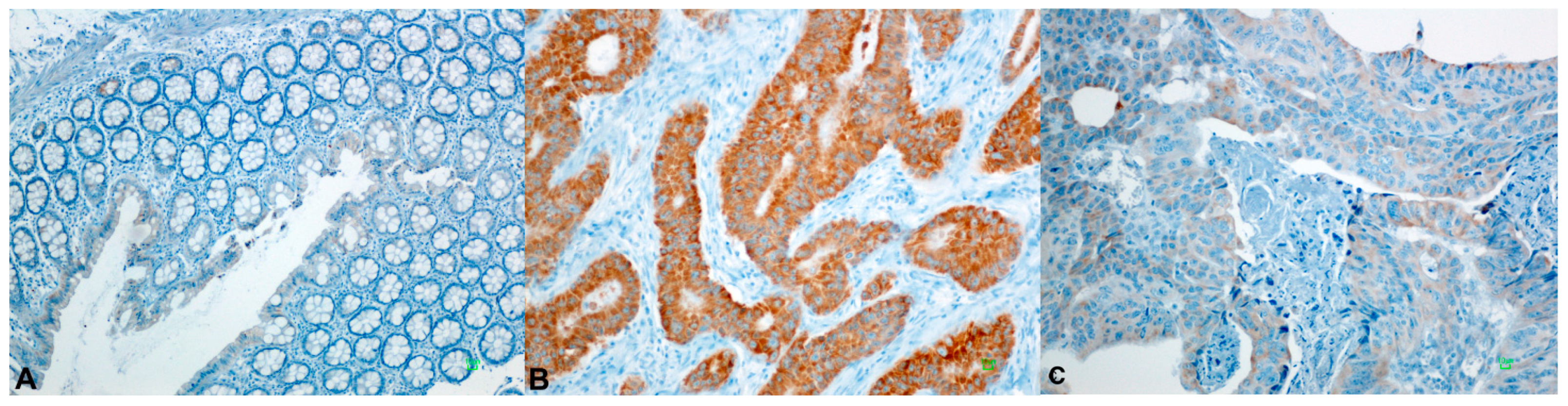
2.3. Immunohistochemistry (IHC) and Interpretation of IHC Results
2.4. Statistical Analysis
3. Results
3.1. Clinicopathologic Features and Tumor Characteristics
3.2. Protein Marker Expression by Immunohistochemistry (IHC)
3.3. Correlations Between Molecules and Clinicopathological Variables
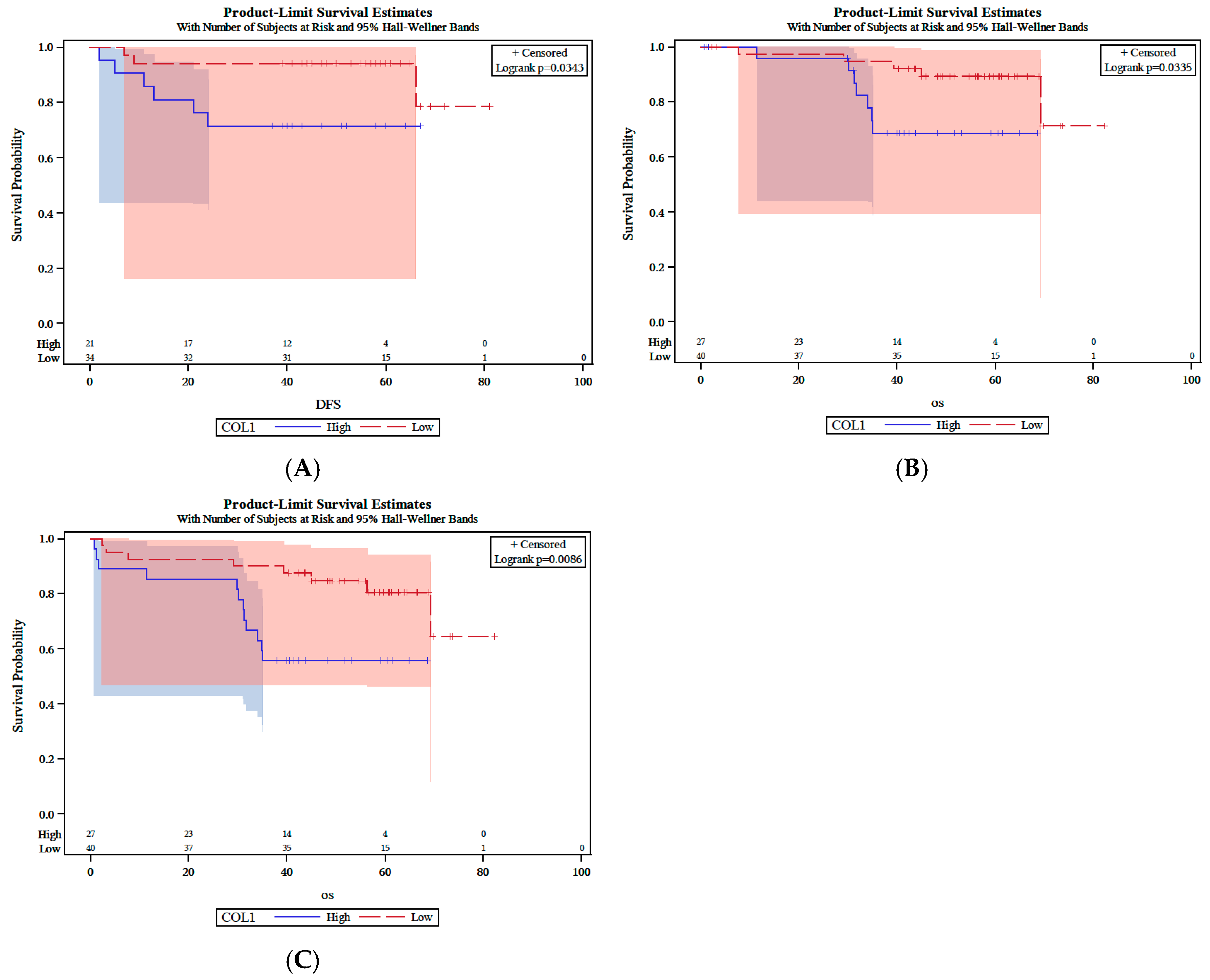
3.4. Survival and Prognostic Factors
4. Discussion
5. Conclusions
Supplementary Materials
Author Contributions
Funding
Institutional Review Board Statement
Informed Consent Statement
Data Availability Statement
Conflicts of Interest
References
- Biller, L.H.; Schrag, D. Diagnosis and Treatment of Metastatic Colorectal Cancer: A Review. JAMA 2021, 325, 669–685. [Google Scholar] [CrossRef] [PubMed]
- Salem, M.E.; Yin, J.; Goldberg, R.M.; Pederson, L.D.; Wolmark, N.; Alberts, S.R.; Taieb, J.; Marshall, J.L.; Lonardi, S.; Yoshino, T.; et al. Evaluation of the change of outcomes over a 10-year period in patients with stage III colon cancer: Pooled analysis of 6501 patients treated with fluorouracil, leucovorin, and oxaliplatin in the ACCENT database. Ann. Oncol. 2020, 31, 480–486. [Google Scholar] [CrossRef] [PubMed] [PubMed Central]
- Orlandi, G.; Roncucci, L.; Carnevale, G.; Sena, P. Different Roles of Apoptosis and Autophagy in the Development of Human Colorectal Cancer. Int. J. Mol. Sci. 2023, 24, 10201. [Google Scholar] [CrossRef] [PubMed] [PubMed Central]
- Siegel, R.L.; Wagle, N.S.; Cercek, A.; Smith, R.A.; Jemal, A. Colorectal cancer statistics, 2023. CA Cancer J. Clin. 2023, 73, 233–254. [Google Scholar] [CrossRef] [PubMed]
- Lindner, A.U.; Concannon, C.G.; Boukes, G.J.; Cannon, M.D.; Llambi, F.; Ryan, D.; Boland, K.; Kehoe, J.; McNamara, D.A.; Murray, F.; et al. Systems analysis of Bcl-2 protein family interactions establishes a model to predict responses to chemotherapy. Cancer Res. 2013, 73, 519–528. [Google Scholar] [CrossRef] [PubMed]
- Ramesh, P.; Medema, J.P. BCL-2 family deregulation in colorectal cancer: Potential for BH3 mimetics in therapy. Apoptosis 2020, 25, 305–320. [Google Scholar] [CrossRef] [PubMed] [PubMed Central]
- Chaudhry, G.E.; Akim, A.M.; Sung, Y.Y.; Muhammad, T.S.T. Cancer and Apoptosis. Methods Mol. Biol. 2022, 2543, 191–210. [Google Scholar] [CrossRef] [PubMed]
- Qian, S.; Wei, Z.; Yang, W.; Huang, J.; Yang, Y.; Wang, J. The role of Bcl-2 family proteins in regulating apoptosis and cancer therapy. Front. Oncol. 2022, 12, 985363. [Google Scholar] [CrossRef] [PubMed] [PubMed Central]
- Kaloni, D.; Diepstraten, S.T.; Strasser, A.; Kelly, G.L. Bcl-2 protein family: Attractive targets for cancer therapy. Apoptosis 2023, 28, 20–38. [Google Scholar] [CrossRef] [PubMed] [PubMed Central]
- Delbridge, A.R.; Strasser, A. The Bcl-2 protein family, BH3-mimetics and cancer therapy. Cell Death Differ. 2015, 22, 1071–1080. [Google Scholar] [CrossRef] [PubMed] [PubMed Central]
- Shangary, S.; Ding, K.; Qiu, S.; Nikolovska-Coleska, Z.; Bauer, J.A.; Liu, M.; Wang, G.; Lu, Y.; McEachern, D.; Bernard, D.; et al. Reactivation of p53 by a specific MDM2 antagonist (MI-43) leads to p21-mediated cell cycle arrest and selective cell death in colon cancer. Mol. Cancer Ther. 2008, 7, 1533–1542. [Google Scholar] [CrossRef] [PubMed]
- Li, X.-L.; Zhou, J.; Chen, Z.-R.; Chng, W.-J. p53 mutations in colorectal cancer- molecular pathogenesis and pharmacological reactivation. World J. Gastroenterol. 2015, 21, 84–93. [Google Scholar] [CrossRef] [PubMed]
- Wu, M.; Wu, X.; Han, J. KIF20A Promotes CRC Progression and the Warburg Effect through the C-Myc/HIF-1α Axis. Protein Pept. Lett. 2024, 31, 107–115. [Google Scholar] [CrossRef] [PubMed]
- Xu, Z.; Yu, Y.; Ni, H.; Sun, W.; Kuang, Y. LINC01836 Promotes Colorectal Cancer Progression and Functions as ceRNA to Target SLC17A9 by Sponging miR-1226-3p. Protein Pept. Lett. 2024, 31, 43–60. [Google Scholar] [CrossRef] [PubMed]
- Richardsen, E.; Andersen, S.; Al-Saad, S.; Rakaee, M.; Nordby, Y.; Pedersen, M.I.; Ness, N.; Grindstad, T.; Movik, I.; Dønnem, T.; et al. Evaluation of the proliferation marker Ki-67 in a large prostatectomy cohort. PLoS ONE 2017, 15, e0186852. [Google Scholar] [CrossRef] [PubMed] [PubMed Central]
- Li, L.T.; Jiang, G.; Chen, Q.; Zheng, J.N. Ki67 is a promising molecular target in the diagnosis of cancer (review). Mol. Med. Rep. 2015, 11, 1566–1572. [Google Scholar] [CrossRef] [PubMed]
- Rahmanzadeh, R.; Hüttmann, G.; Gerdes, J.; Scholzen, T. Chromophore-assisted light inactivation of pKi-67 leads to inhibition of ribosomal RNA synthesis. Cell Prolif. 2007, 40, 422–430. [Google Scholar] [CrossRef] [PubMed Central]
- Tong, G.; Zhang, G.; Liu, J.; Zheng, Z.; Chen, Y.; Niu, P.; Xu, X. Cutoff of 25% for Ki67 expression is a good classification tool for prognosis in colorectal cancer in the AJCC-8 stratification. Oncol. Rep. 2020, 43, 1187–1198. [Google Scholar] [CrossRef] [PubMed] [PubMed Central]
- Luo, Z.W.; Zhu, M.G.; Zhang, Z.Q.; Ye, F.J.; Huang, W.H.; Luo, X.Z. Increased expression of Ki-67 is a poor prognostic marker for colorectal cancer patients: A meta analysis. BMC Cancer 2019, 19, 123. [Google Scholar] [CrossRef] [PubMed] [PubMed Central]
- Kasprzak, A. Prognostic Biomarkers of Cell Proliferation in Colorectal Cancer (CRC): From Immunohistochemistry to Molecular Biology Techniques. Cancers 2023, 15, 4570. [Google Scholar] [CrossRef] [PubMed] [PubMed Central]
- Watson, A.J.M. Apoptosis and colorectal cancer. Gut 2004, 53, 1701. [Google Scholar] [CrossRef] [PubMed]
- Wang, L.; Liu, Z.; Fisher, K.W.; Ren, F.; Lv, J.; Davidson, D.D.; Baldridge, L.A.; Du, X.; Cheng, L. Prognostic value of programmed death ligand 1, p53, and Ki-67 in patients with advanced-stage colorectal cancer. Hum. Pathol. 2018, 71, 20–29. [Google Scholar] [CrossRef] [PubMed]
- Huang, Q.; Li, S.; Cheng, P.; Deng, M.; He, X.; Wang, Z.; Yang, C.-H.; Zhao, X.-Y.; Huang, J. High expression of anti-apoptotic protein Bcl-2 is a good prognostic factor in colorectal cancer: Result of a meta-analysis. World J. Gastroenterol. 2017, 23, 5018–5033. [Google Scholar] [CrossRef] [PubMed]
- Rich, J.T.; Neely, J.G.; Paniello, R.C.; Voelker, C.C.J.; Nussenbaum, B.; Wang, E.W. A practical guide to understanding Kaplan-Meier curves. Otolaryngol. Neck Surg. 2010, 143, 331–336. [Google Scholar] [CrossRef] [PubMed]
- Garrity, M.M.; Burgart, L.J.; Mahoney, M.R.; E Windschitl, H.; Salim, M.; Wiesenfeld, M.; E Krook, J.; Michalak, J.C.; Goldberg, R.M.; O’Connell, M.J.; et al. Prognostic value of proliferation, apoptosis, defective DNA mismatch repair, and p53 overexpression in patients with resected Dukes’ B2 or C colon cancer: A North Central Cancer Treatment Group Study. J. Clin. Oncol. 2004, 22, 1572–1582. [Google Scholar] [CrossRef] [PubMed]
- Elkablawy, M.A.; Maxwell, P.; Williamson, K.; Anderson, N.; Hamilton, P.W. Apoptosis and cell-cycle regulatory proteins in colorectal carcinoma: Relationship to tumour stage and patient survival. J. Pathol. 2001, 194, 436–443. [Google Scholar] [CrossRef] [PubMed]
- Buglioni, S.; D’Agnano, I.; Cosimelli, M.; Vasselli, S.; D’Angelo, C.; Tedesco, M.; Zupi, G.; Mottolese, M. Evaluation of multiple bio-pathological factors in colorectal adenocarcinomas: Independent prognostic role of p53 and bcl-2. Int. J. Cancer 1999, 84, 545–552. [Google Scholar] [CrossRef] [PubMed]
- Yu, J.; Zhang, L. PUMA, a potent killer with or without p53. Oncogene 2008, 27, S71–S83. [Google Scholar] [CrossRef] [PubMed] [PubMed Central]
- Zalata, K.R.; Elshal, M.F.; Foda, A.A.; Shoma, A. Genetic dissimilarity between primary colorectal carcinomas and their lymph node metastases: Ploidy, p53, bcl-2, and c-myc expression—A pilot study. Tumor Biol. 2015, 36, 6579–6584. [Google Scholar] [CrossRef] [PubMed]
- Kim, M.R.; Jeong, E.G.; Chae, B.; Lee, J.W.; Soung, Y.H.; Nam, S.W.; Lee, J.Y.; Yoo, N.J.; Lee, S.H. Pro-apoptotic PUMA and anti-apoptotic phospho-BAD are highly expressed in colorectal carcinomas. Dig. Dis. Sci. 2007, 52, 2751–2756. [Google Scholar] [CrossRef] [PubMed]
- Sugiura, K.; Seo, Y.; Tajima, Y.; Kikuchi, H.; Hirata, A.; Nakadai, J.; Baba, H.; Kondo, T.; Makino, A.; Kato, Y.; et al. Prognostic Impact of Main Lymph Node Metastasis in Patients with Colon Cancer. World J. Surg. 2023, 47, 1292–1302. [Google Scholar] [CrossRef] [PubMed]
- Zhang, M.; Zhao, F.; Wu, A.; Du, X.; Zhou, L.; Mei, S.; Wei, F.; Hu, S.; Liu, X.; Yang, H.; et al. Metastatic Patterns of Apical Lymph Node and Prognostic Analysis in Rectal and Sigmoid Colon Cancer-A Multicenter Retrospective Cohort Study of 2809 Cases. Cancers 2025, 17, 2389. [Google Scholar] [CrossRef] [PubMed] [PubMed Central]
- Mroczkowski, P.; Kim, S.; Otto, R.; Lippert, H.; Zajdel, R.; Zajdel, K.; Merecz-Sadowska, A. Prognostic Value of Metastatic Lymph Node Ratio and Identification of Factors Influencing the Lymph Node Yield in Patients Undergoing Curative Colon Cancer Resection. Cancers 2024, 16, 218. [Google Scholar] [CrossRef] [PubMed] [PubMed Central]
- Eng, C.; Yoshino, T.; Ruíz-García, E.; Mostafa, N.; Cann, C.G.; O’Brian, B.; Benny, A.; Perez, R.O.; Cremolini, C. Colorectal cancer. Lancet 2024, 404, 294–310. [Google Scholar] [CrossRef] [PubMed]
- Skancke, M.; Arnott, S.M.; Amdur, R.L.; Siegel, R.S.; Obias, V.J.; Umapathi, B.A. Lymphovascular Invasion and Perineural Invasion Negatively Impact Overall Survival for Stage II Adenocarcinoma of the Colon. Dis. Colon Rectum 2019, 62, 181–188. [Google Scholar] [CrossRef] [PubMed]
- Akagi, Y.; Adachi, Y.; Ohchi, T.; Kinugasa, T.; Shirouzu, K. Prognostic impact of lymphatic invasion of colorectal cancer: A single-center analysis of 1616 patients over 24 years. Anticancer Res. 2013, 33, 2965–2970. [Google Scholar] [PubMed]
- Parnaby, C.N.; Scott, N.W.; Ramsay, G.; MacKay, C.; Samuel, L.; Murray, G.I.; Loudon, M.A. Prognostic value of lymph node ratio and extramural vascular invasion on survival for patients undergoing curative colon cancer resection. Br. J. Cancer 2015, 113, 212–219. [Google Scholar] [CrossRef] [PubMed] [PubMed Central]
- Emile, S.H.; Horesh, N.; Garoufalia, Z.; Wignakumar, A.; Boutros, M.; Wexner, S.D. Association between lymphovascular invasion and lymph node metastases in colon cancer: A National Cancer Database analysis. Color. Dis. 2025, 27, e17256. [Google Scholar] [CrossRef] [PubMed]
- Inoue, M.; Kanemitsu, Y.; Tsukamoto, S.; Moritani, K.; Takamizawa, Y.; Daiko, H. Prognostic impact of primary tumour location after curative resection in Stage I-III colorectal cancer: A single-centre retrospective study. Jpn. J. Clin. Oncol. 2024, 54, 753–760. [Google Scholar] [CrossRef] [PubMed]
- Ishihara, S.; Murono, K.; Sasaki, K.; Yasuda, K.; Otani, K.; Nishikawa, T.; Tanaka, T.; Kiyomatsu, T.; Kawai, K.; Hata, K.; et al. Impact of Primary Tumor Location on Postoperative Recurrence and Subsequent Prognosis in Nonmetastatic Colon Cancers: A Multicenter Retrospective Study Using a Propensity Score Analysis. Ann. Surg. 2018, 267, 917–921. [Google Scholar] [CrossRef] [PubMed]
- Diez-Alonso, M.; Mendoza-Moreno, F.; Ortega, M.A.; Aguado, H.; Matías, B.; Vera, C.; Soto, S.; Quiroga, A.; Blazquez, S.B.; de Mon, M.A.; et al. Differences in Colorectal Cancer Survival Based on Primary Tumor Location: Retrospective Study from a Single Institution. J. Cancer 2023, 14, 2444–2454. [Google Scholar] [CrossRef] [PubMed] [PubMed Central]
- Colebunders, J.; Mullebrouck, B.; Liégeois, V.; Peeters, M.; Vanhoutte, G.; Van Damme, N.; Janssens, K.; Vandamme, T. Prognosis in stage II colorectal cancer: The effect of the primary tumour location and biomarkers—A retrospective cohort study. Oncologist 2025, 30, oyaf317. [Google Scholar] [CrossRef] [PubMed]
- Sugano, N.; Suda, T.; Godai, T.; Tsuchida, K.; Shiozawa, M.; Sekiguchi, H.; Yoshihara, M.; Matsukuma, S.; Sakuma, Y.; Tsuchiya, E.; et al. MDM2 gene amplification in colorectal cancer is associated with disease progression at the primary site, but inversely correlated with distant metastasis. Genes Chromosom. Cancer 2010, 49, 620–629. [Google Scholar] [CrossRef] [PubMed]
- Zhang, L.; Zhu, D.; Jiang, J.; Min, Z.; Fa, Z. The ubiquitin E3 ligase MDM2 induces chemoresistance in colorectal cancer by degradation of ING3. Carcinogenesis 2023, 44, 562–575. [Google Scholar] [CrossRef] [PubMed]
- Xiong, H.; Zhang, J. Expression and clinical significance of ATM and PUMA gene in patients with colorectal cancer. Oncol. Lett. 2017, 14, 7825–7828. [Google Scholar] [CrossRef] [PubMed] [PubMed Central]
- Gao, W.; Yuan, Z.; Zhao, X.; Wang, S.; Lai, S.; Ni, K.; Zhan, Y.; Liu, Z.; Liu, L.; Xin, R.; et al. The prognostic and clinical value of p53 upregulated modulator of apoptosis expression in solid tumors: A meta-analysis and TCGA data review. Expert Rev. Mol. Diagn. 2022, 22, 811–819. [Google Scholar] [CrossRef] [PubMed]
- Sinicrope, F.A.; Rego, R.L.; Okumura, K.; Foster, N.R.; O’Connell, M.J.; Sargent, D.J.; Windschitl, H.E. Prognostic impact of bim, puma, and noxa expression in human colon carcinomas. Clin. Cancer Res. 2008, 14, 5810–5818. [Google Scholar] [CrossRef] [PubMed] [PubMed Central]
- Wang, X.; Li, M.; Wang, J.; Yeung, C.M.; Zhang, H.; Kung, H.F.; Jiang, B.; Lin, M.C. The BH3-only protein, PUMA, is involved in oxaliplatin-induced apoptosis in colon cancer cells. Biochem. Pharmacol. 2006, 71, 1540–1550. [Google Scholar] [CrossRef] [PubMed]
- Tat, S.S.; Mandal, K.; Sharma, T.; Ghate, N.B.; Barik, G.K.; Gachhe, R.N.; Santra, M.K. The multifaceted role of PUMA in cell death pathways: Its therapeutic potential across cancer types. Cell Commun. Signal. 2025, 23, 499. [Google Scholar] [CrossRef] [PubMed] [PubMed Central]
- Lumachi, F.; Orlando, R.; Marino, F.; Chiara, G.B.; Basso, S.M. Expression of p53 and Ki-67 as prognostic factors for survival of men with colorectal cancer. Anticancer. Res. 2012, 32, 3965–3967. [Google Scholar] [PubMed]
- Adamina, M.; ECCStGallen Scientific Committee. Abstracts presented at the 13th European Colorectal Congress (#ECCStGallen), 1-5.12.2019, St. Gallen, Switzerland. Tech. Coloproctol. 2020, 24, 657–658. [Google Scholar] [CrossRef]
- Mekras, A.; Bobos, M.; Vasilakou, A.; Atamer, C.; Tsoulfas, G.; Mekras, D.; Kalles, V.; Michalopoulos, A. Combined High Expression of PUMA and Ki-67 with Low Expression of p53 Are Independent Unfavourable Prognostic Indicators for Both the Overall Survival (OS) and Cancer Specific Survival (CSS) in Resectable Colorectal Adenocarcinomas. J. Am. Coll. Surg. 2019, 229, e89. [Google Scholar] [CrossRef]





| Antigen | Clone/P | AR/Τ/WB | AD | I | DTS/P | SP |
|---|---|---|---|---|---|---|
| BAD | ab32445, Rabbit polyclonal (1) | ER1/HP, 20′/PBS | 1:250 | 30′ | Polymer HRP/DAB (3) | C |
| Bcl2 | 124, Mouse monoclonal (2) | ER1/HP, 20′/PBS | 1:80 | 20′ | Polymer HRP/DAB (3) | C |
| BID | ab32060, Rabbit polyclonal (1) | ER1/HP, 20′/PBS | 1:100 | 15 | Polymer HRP/DAB (3) | C |
| Ki-67 | MIB1, Mouse monoclonal (2) | ER2/HP, 20′/PBS | 1:70 | 70′ | Polymer HRP/DAB (3) | N |
| MDM2 | SMP14, Mouse monoclonal (1) | ER2/HP, 20′/PBS | 1:50 | 30′ | Envision (2) | C/N |
| p53 | DO-7, Mouse monoclonal (2) | ER2/HP, 20′/PBS | 1:100 | 30′ | Polymer HRP/DAB (3) | N |
| PUMA | ab 33906, Rabbit polyclonal (1) | ER1/HP, 20′/PBS | 1:30 | 30′ | Polymer HRP/DAB (3) | C |
| Total | Colon | Rectum | p-Value | ||
|---|---|---|---|---|---|
| N | 130 (100%) | 91 (70%) | 39 (30%) | ||
| Age | |||||
| Mean (SD) | 69.8 (10.5) | 72.4 (9.7) | 63.7 (9.7) | ||
| Min–Max | 32–91 | 49–91 | 32–79 | ||
| Age | |||||
| <65 | 37 (28.4%) | 18 (19.8%) | 19 (48.8%) | 0.001 | |
| ≥65 | 93 (71.6%) | 73 (80.2%) | 20 (51.2%) | ||
| Sex | |||||
| Female | 59 (45.4%) | 43 (47.2%) | 16 (41%) | 0.513 | |
| Male | 71 (54.6%) | 48 (52.8%) | 23 (59%) | ||
| Tumor primary site | |||||
| Rectum | 39 (30%) | 39 (100%) | - | ||
| Left colon | 52 (40%) | 52 (57.2%) | - | - | |
| Right colon | 39 (30%) | 39 (42.8%) | - | - | |
| Tumor size | |||||
| ≤3 | 39 (30%) | 30 (33%) | 9 (23%) | 0.259 | |
| >3 | 91 (70%) | 61 (67%) | 30 (77%) | ||
| LVI | |||||
| Yes | 39 (30%) | 24 (26.4%) | 15 (38.4%) | 0.168 | |
| No | 91 (70%) | 67 (73.6%) | 24 (61.6%) | ||
| Grade | |||||
| Low | 16 (12.4%) | 12 (13.2%) | 4 (10.2%) | 0.363 | |
| High | 21 (16.2%) | 12 (13.2%) | 9 (23%) | ||
| Intermediate | 93 (71.6%) | 67 (73.6%) | 26 (66.6%) | ||
| Astler–Coller | |||||
| Classification | B2 | 65 (50%) | 50 (55%) | 15 (38.4%) | 0.085 |
| C1-C2 | 65 (50%) | 41 (45%) | 24 (61.6%) | ||
| T(TNM) | |||||
| T2 | 6 (4.6%) | 4 (4.4%) | 2 (5.2%) | 0.855 | |
| T3-T4 | 124 (95.4%) | 87 (95.6%) | 37 (94.8%) | ||
| N(ΤΝΜ) | |||||
| N0 | 65 (50%) | 50 (55%) | 15 (38.4%) | 0.009 | |
| N1 | 37 (28.4%) | 28 (30.8%) | 9 (23%) | ||
| N2 | 28 (21.6%) | 13 (14.2%) | 15 (38.4%) | ||
| AJCC Stage | |||||
| IIA | 65 (50%) | 50 (55%) | 15 (38.4%) | 0.058 | |
| IIIA | 4 (3%) | 3 (3.2%) | 1 (2.6%) | ||
| IIIB | 52 (40%) | 35 (38.4%) | 17 (43.6%) | ||
| IIIC | 9 (7%) | 3 (3.2%) | 6 (15.4%) | ||
| Recurrence | |||||
| No | 99(79.2) | 68 (79.1) | 31 (79.5) | 0.958 | |
| Yes | 26(20.8) | 18 (20.9) | 8 (20.5) | ||
| CTx | |||||
| Yes | 88 (67.6%) | 54 (59.4%) | 34 (87.2%) | 0.003 | |
| No | 40 (30.8%) | 35 (38.4%) | 5 (12.8%) | ||
| Not reported | 2 (1.6%) | 2 (2.2%) | - | ||
| CTx Schemes | |||||
| Not reported | 2 (1.6%) | 2 (2.2%) | - | 0.026 | |
| FOLFOX | 55 (42.4%) | 33 (36.2%) | 22 (56.4%) | ||
| None | 40 (30.8%) | 35 (38.4%) | 5 (12.8%) | ||
| 5FU-LV | 10 (7.6%) | 7 (7.6%) | 3 (7.6%) | ||
| XELOX | 23 (17.6%) | 14 (15.4%) | 9 (23%) |
| BAD | BCL2 | BID | Ki-67 | MDM2 | p53 | ||||||||||||||
|---|---|---|---|---|---|---|---|---|---|---|---|---|---|---|---|---|---|---|---|
| H | L | p | H | L | p | H | L | p | H | L | p | H | L | p | H | L | p | ||
| BCL2 | H | 30 (56.6) | 30 (42.9) | 0.131 | |||||||||||||||
| L | 23 (43.4) | 40 (57.1) | |||||||||||||||||
| BID | H | 33 (62.3) | 22 (31.4) | 0.001 | 26 (43.3) | 29 (46.8) | |||||||||||||
| L | 20 (37.7) | 48 (68.6) | 34 (56.7) | 33 (53.2) | |||||||||||||||
| Ki-67 | H | 27 (52.9) | 25 (35.7) | 0.059 | 28 (47.5) | 24 (39.3) | 0.37 | 27 (50.9) | 25 (37.3) | 0.135 | |||||||||
| L | 24 (47.1) | 45 (64.3) | 31 (52.5) | 37 (60.7) | 26 (49.1) | 42 (62.7) | |||||||||||||
| MDM2 | H | 30 (56.6) | 30 (44.8) | 0.198 | 32 (53.3) | 27 (45.8) | 0.409 | 28 (51.9) | 32 (48.5) | 0.714 | 25 (48.1) | 33 (50.8) | 0.772 | ||||||
| L | 23 (43.4) | 37 (55.2) | 28 (46.7) | 32 (54.2) | 26 (48.1) | 34 (51.5) | 27 (51.9) | 32 (49.2) | |||||||||||
| p53 | H | 24 (46.2) | 34 (49.3) | 0.734 | 24 (40.7) | 33 (54.1) | 0.141 | 28 (51.9) | 29 (43.9) | 0.388 | 28 (53.8) | 29 (42.6) | 0.223 | 34 (57.6) | 22 (37.9) | 0.033 | |||
| L | 28 (53.8) | 35 (50.7) | 35 (59.3) | 28 (45.9) | 26 (48.1) | 37 (56.1) | 24 (46.2) | 39 (57.4) | 25 (42.4) | 36 (62.1) | |||||||||
| PUMA | H | 41 (78.8) | 41 (58.6) | 0.018 | 44 (74.6) | 38 (61.3) | 0.118 | 40 (74.1) | 42 (62.7) | 0.183 | 47 (90.4) | 35 (51.5) | 0 | 38 (65.5) | 42 (70.0) | 0.602 | 42 (73.7) | 40 (64.5) | 0.28 |
| L | 11 (21.2) | 29 (41.4) | 15 (25.4) | 24 (38.7) | 14 (25.9) | 25 (37.3) | 5 (9.6) | 33 (48.5) | 20 (34.5) | 18 (30.0) | 15 (26.3) | 22 (35.5) | |||||||
| MDM2 | BID | Ki-67 | BAD | BCL2 | p53 | PUMA | ||||||||||||||||
|---|---|---|---|---|---|---|---|---|---|---|---|---|---|---|---|---|---|---|---|---|---|---|
| High | Low | p | High | Low | p | High | Low | p | High | Low | p | High | Low | p | High | Low | p | High | Low | p | ||
| CTx | No | 20 (37) | 18 (27) | 0.231 | 18 (35) | 19 (28.4) | 0.465 | 15 (25.0) | 22 (37.3) | 0.148 | 15 (28.3) | 23 (33.3) | 0.552 | 20 (33.9) | 18 (29.0) | 0.564 | 17 (29.3) | 20 (32.8) | 0.682 | 28 (34.1) | 10 (26.3) | 0.391 |
| Yes | 34 (63) | 49 (73) | 34 (65) | 48 (71.6) | 45 (75.0) | 37 (62.7) | 38 (71.7) | 46 (66.7) | 39 (66.1) | 44 (71.0) | 41 (70.7) | 41 (67.2) | 54 (65.9) | 28 (73.7) | ||||||||
| CTS | FOLFOX | 24 (44) | 28 (42) | 0.325 | 24 (46) | 28 (41.8) | 0.292 | 26 (43.3) | 25 (42.4) | 0.379 | 23 (43.4) | 30 (43.5) | 0.889 | 23 (39.0) | 30 (48.4) | 0.683 | 26 (44.8) | 26 (42.6) | 0.247 | 38 (46.3) | 14 (36.8) | 0.205 |
| No | 20 (37) | 18 (27) | 18 (35) | 19 (28.4) | 15 (25.0) | 22 (37.3) | 15 (28.3) | 23 (33.3) | 20 (33.9) | 18 (29.0) | 17 (29.3) | 20 (32.8) | 28 (34.1) | 10 (26.3) | ||||||||
| 5FU/LV | 2 (4) | 7 (10) | 1 (2) | 7 (10.4) | 5 (8.3) | 4 (6.8) | 4 (7.5) | 5 (7.2) | 4 (6.8) | 5 (8.1) | 7 (12.1) | 2 (3.3) | 5 (6.1) | 3 (7.9) | ||||||||
| XELOX | 8 (15) | 14 (21) | 9 (17) | 13 (19.4) | 14 (23.3) | 8 (13.6) | 11 (20.8) | 11 (15.9) | 12 (20.3) | 9 (14.5) | 8 (13.8) | 13 (21.3) | 11 (13.4) | 11 (28.9) | ||||||||
| Age | <65 | 12 (22) | 22 (32) | 0.194 | 12 (23) | 21 (30.4) | 0.368 | 15 (25.0) | 18 (30.0) | 0.540 | 17 (32.1) | 18 (25.4) | 0.411 | 16 (26.7) | 19 (30.2) | 0.668 | 19 (32.8) | 15 (23.8) | 0.274 | 20 (24.4) | 14 (35.0) | 0.220 |
| ≥65 | 43 (78) | 46 (68) | 40 (77) | 48 (69.6) | 45 (75.0) | 42 (70.0) | 36 (67.9) | 53 (74.6) | 44 (73.3) | 44 (69.8) | 39 (67.2) | 48 (76.2) | 62 (75.6) | 26 (65.0) | ||||||||
| G | L | 7 (13) | 8 (12) | 0.568 | 9 (18) | 6 (8.7) | 0.340 | 8 (13.3) | 7 (11.7) | 0.962 | 9 (17.0) | 6 (8.5) | 0.051 | 6 (10.0) | 9 (14.3) | 0.036 | 10 (17.2) | 5 (7.9) | 0.190 | 10 (12.2) | 5 (12.5) | 0.743 |
| H | 11 (20.0) | 9 (13) | 7 (13) | 12 (17.4) | 10 (16.7) | 10 (16.7) | 12 (22.6) | 8 (11.3) | 5 (8.3) | 15 (23.8) | 10 (17.2) | 8 (12.7) | 12 (14.6) | 8 (20.0) | ||||||||
| I | 37 (67) | 51 (75) | 36 (69) | 51 (73.9) | 42 (70.0) | 43 (71.7) | 32 (60.4) | 57 (80.3) | 49 (81.7) | 39 (61.9) | 38 (65.5) | 50 (79.4) | 60 (73.2) | 27 (67.5) | ||||||||
| LI | No | 33 (60) | 52 (76.5) | 0.049 | 36 (69) | 48 (69.6) | 0.968 | 41 (68.3) | 41 (68.3) | 1.000 | 32 (60.4) | 54 (76.1) | 0.061 | 45 (75.0) | 40 (63.5) | 0.167 | 39 (67.2) | 46 (73.0) | 0.488 | 55 (67.1) | 29 (72.5) | 0.543 |
| Yes | 22 (40) | 16 (23.5) | 16 (31) | 21 (30.4) | 19 (31.7) | 19 (31.7) | 21 (39.6) | 17 (23.9) | 15 (25.0) | 23 (36.5) | 19 (32.8) | 17 (27.0) | 27 (32.9) | 11 (27.5) | ||||||||
| MTD (cm) | ≤3 | 25 (45.5) | 13 (19) | 0.002 | 22 (42) | 15 (21.7) | 0.015 | 16 (26.7) | 22 (36.7) | 0.239 | 19 (35.8) | 19 (26.8) | 0.277 | 20 (33.3) | 18 (28.6) | 0.568 | 19 (32.8) | 18 (28.6) | 0.617 | 30 (36.6) | 8 (20.0) | 0.063 |
| >3 | 30 (54.5) | 55 (81) | 30 (58) | 54 (78.3) | 44 (73.3) | 38 (63.3) | 34 (64.2) | 52 (73.2) | 40 (66.7) | 45 (71.4) | 39 (67.2) | 45 (71.4) | 52 (63.4) | 32 (80.0) | ||||||||
| Sex | F | 25 (45.5) | 30 (44) | 0.882 | 26 (50.0) | 28 (40.6) | 0.302 | 27 (45.0) | 25 (41.7) | 0.713 | 22 (41.5) | 33 (46.5) | 0.582 | 28 (46.7) | 27 (42.9) | 0.671 | 26 (44.8) | 28 (44.4) | 0.966 | 38 (46.3) | 16 (40.0) | 0.508 |
| M | 30 (54.5) | 38 (56) | 26 (50.0) | 41 (59.4) | 33 (55.0) | 35 (58.3) | 31 (58.5) | 38 (53.5) | 32 (53.3) | 36 (57.1) | 32 (55.2) | 35 (55.6) | 44 (53.7) | 24 (60.0) | ||||||||
| AC Cl. | B2 | 24 (44) | 36 (53) | 0.305 | 24 (46) | 35 (50.7) | 0.619 | 29 (48.3) | 31 (51.7) | 0.715 | 29 (54.7) | 32 (45.1) | 0.288 | 33 (55.0) | 27 (42.9) | 0.178 | 33 (56.9) | 27 (42.9) | 0.123 | 40 (48.8) | 20 (50.0) | 0.899 |
| C1-C2 | 31 (56) | 32 (47) | 28 (54) | 34 (49.3) | 31 (51.7) | 29 (48.3) | 24 (45.3) | 39 (54.9) | 27 (45.0) | 36 (57.1) | 25 (43.1) | 36 (57.1) | 42 (51.2) | 20 (50.0) | ||||||||
| ΤΝΜ (N) | N0 | 24 (44) | 36 (53) | 0.311 | 24 (46) | 35 (50.7) | 0.810 | 29 (48.3) | 31 (51.7) | 0.901 | 29 (54.7) | 32 (45.1) | 0.132 | 33 (55.0) | 27 (42.9) | 0.127 | 33 (56.9) | 27 (42.9) | 0.024 | 40 (48.8) | 20 (50.0) | 0.992 |
| N1 | 15 (27) | 20 (29) | 15 (29) | 20 (29.0) | 16 (26.7) | 16 (26.7) | 10 (18.9) | 25 (35.2) | 18 (30.0) | 17 (27.0) | 10 (17.2) | 25 (39.7) | 23 (28.0) | 11 (27.5) | ||||||||
| N2 | 16 (29) | 12 (18) | 13 (25) | 14 (20.3) | 15 (25.0) | 13 (21.7) | 14 (26.4) | 14 (19.7) | 9 (15.0) | 19 (30.2) | 15 (25.9) | 11 (17.5) | 19 (23.2) | 9 (22.5) | ||||||||
| TMN (T) | T2 | 2 (4) | 4 (6) | 0.565 | 2 (4) | 4 (5.8) | 0.625 | 3 (5.0) | 3 (5.0) | 1.000 | 2 (3.8) | 4 (5.6) | 0.633 | 5 (8.3) | 1 (1.6) | 0.083 | 3 (5.2) | 3 (4.8) | 0.917 | 3 (3.7) | 2 (5.0) | 0.726 |
| T3-T4 | 53 (96) | 64 (94) | 50 (96) | 65 (94.2) | 57 (95.0) | 57 (95.0) | 51 (96.2) | 67 (94.4) | 55 (91.7) | 62 (98.4) | 55 (94.8) | 60 (95.2) | 79 (96.3) | 38 (95.0) | ||||||||
| AJCC | IIA | 24 (44) | 36 (53) | 0.336 | 24 (46) | 35 (50.7) | 0.501 | 29 (48.3) | 31 (51.7) | 0.753 | 29 (54.7) | 32 (45.1) | 0.454 | 33 (55.0) | 27 (42.9) | 0.057 | 33 (56.9) | 27 (42.9) | 0.412 | 40 (48.8) | 20 (50.0) | 0.919 |
| IIIA | 1 (2) | 3 (4) | 2 (4) | 2 (2.9) | 3 (5.0) | 1 (1.7) | 1 (1.9) | 3 (4.2) | 4 (6.7) | 2 (3.4) | 2 (3.2) | 2 (2.4) | 1 (2.5) | |||||||||
| IIIB | 27 (49) | 23 (34) | 20 (38.5) | 29 (42.0) | 24 (40.0) | 23 (38.3) | 18 (34.0) | 32 (45.1) | 20 (33.3) | 30 (47.6) | 19 (32.8) | 30 (47.6) | 33 (40.2) | 17 (42.5) | ||||||||
| IIIC | 3 (5) | 6 (9) | 6 (11.5) | 3 (4.3) | 4 (6.7) | 5 (8.3) | 5 (9.4) | 4 (5.6) | 3 (5.0) | 6 (9.5) | 4 (6.9) | 4 (6.3) | 7 (8.5) | 2 (5.0) | ||||||||
| TL | Colon | 42 (76.4) | 45 (66.2) | 0.217 | 39 (75.0) | 46 (66.7) | 0.321 | 44 (73.3) | 40 (66.7) | 0.426 | 34 (64.2) | 53 (74.6) | 0.206 | 43 (71.7) | 43 (68.3) | 0.680 | 44 (75.9) | 41 (65.1) | 0.195 | 59 (72.0) | 26 (65.0) | 0.433 |
| Rectum | 13 (23.6) | 23 (33.8) | 13 (25.0) | 23 (33.3) | 16 (26.7) | 20 (33.3) | 19 (35.8) | 18 (25.4) | 17 (28.3) | 20 (31.7) | 14 (24.1) | 22 (34.9) | 23 (28.0) | 14 (35.0) | ||||||||
| Description | HazardRatio | WaldLower | WaldUpper | ProbChiSq |
|---|---|---|---|---|
| Stage_N_N1 vs. N0 | 0.145 | 0.017 | 1.277 | 0.0819 |
| Stage_N_N2(a + b) vs. N0 | 1.394 | 0.431 | 4.510 | 0.5795 |
| Invasion Yes vs. No | 4.166 | 1.205 | 14.402 | 0.0242 |
| KI67_High vs. Low | 3.199 | 1.081 | 9.461 | 0.0356 |
| BAD_High vs. Low | 2.968 | 0.934 | 9.425 | 0.0651 |
| Description | HazardRatio | WaldLower | WaldUpper | ProbChiSq |
|---|---|---|---|---|
| Stage_N_N1 | 0.451 | 0.113 | 1.804 | 0.2601 |
| Stage_N_N2(a + b) | 2.843 | 0.897 | 9.013 | 0.0759 |
| Invasion Yes | 0.920 | 0.280 | 3.018 | 0.0532 |
| Rectum vs Colon | 3.407 | 1.104 | 10.510 | 0.8902 |
| Right vs. Left Colon | 2.866 | 0.985 | 8.333 | 0.0330 |
| KI67_High | 1.315 | 0.230 | 7.505 | 0.1104 |
| PUMA_p53_high/high | 4.599 | 0.847 | 24.982 | 0.7579 |
| PUMA_p53_high/low | 2.674 | 0.382 | 18.729 | 0.0772 |
| PUMA_p53_low/high | 2.222 | 0.834 | 5.924 | 0.3221 |
Disclaimer/Publisher’s Note: The statements, opinions and data contained in all publications are solely those of the individual author(s) and contributor(s) and not of MDPI and/or the editor(s). MDPI and/or the editor(s) disclaim responsibility for any injury to people or property resulting from any ideas, methods, instructions or products referred to in the content. |
© 2025 by the authors. Licensee MDPI, Basel, Switzerland. This article is an open access article distributed under the terms and conditions of the Creative Commons Attribution (CC BY) license.
Share and Cite
Mekras, A.; Tsavdaris, D.; Mekras, D.; Vasilakou, A.; Paramythiotis, D.; Michalopoulos, A.; Bobos, M. PUMA–p53 Dysregulation and Ki-67 Overexpression Define Unfavorable Prognostic Signatures in Colorectal Cancer. Cancers 2026, 18, 72. https://doi.org/10.3390/cancers18010072
Mekras A, Tsavdaris D, Mekras D, Vasilakou A, Paramythiotis D, Michalopoulos A, Bobos M. PUMA–p53 Dysregulation and Ki-67 Overexpression Define Unfavorable Prognostic Signatures in Colorectal Cancer. Cancers. 2026; 18(1):72. https://doi.org/10.3390/cancers18010072
Chicago/Turabian StyleMekras, Alexandros, Dimitrios Tsavdaris, Dimosthenis Mekras, Alexandra Vasilakou, Daniel Paramythiotis, Antonios Michalopoulos, and Mattheos Bobos. 2026. "PUMA–p53 Dysregulation and Ki-67 Overexpression Define Unfavorable Prognostic Signatures in Colorectal Cancer" Cancers 18, no. 1: 72. https://doi.org/10.3390/cancers18010072
APA StyleMekras, A., Tsavdaris, D., Mekras, D., Vasilakou, A., Paramythiotis, D., Michalopoulos, A., & Bobos, M. (2026). PUMA–p53 Dysregulation and Ki-67 Overexpression Define Unfavorable Prognostic Signatures in Colorectal Cancer. Cancers, 18(1), 72. https://doi.org/10.3390/cancers18010072

