Sign in to use this feature.

Years

Between: -

Subjects

remove_circle_outline
remove_circle_outline
remove_circle_outline
remove_circle_outline
remove_circle_outline
remove_circle_outline
remove_circle_outline

Journals

Article Types

Countries / Regions

Search Results (59)

Search Parameters:
Keywords = CFB boiler

Order results
Result details
Results per page
Select all
Export citation of selected articles as:
20 pages, 3227 KB  
Article
Feasibility Study on Direct Co-Firing of Typical Biomass Types in Coal-Fired Circulating Fluidized Bed Boilers
by Haoteng Zhang, Lihui Yu, Bingyi Jiang, Cuina Qin, Shuo Jiang and Chunjiang Yu
Energies 2026, 19(6), 1492; https://doi.org/10.3390/en19061492 - 17 Mar 2026
Viewed by 340
Abstract
This study experimentally investigated the movement, combustion, and potassium (K) and chlorine (Cl) migration behaviors of three biomass types: densified wood pellets (heavy), corn straw (lightweight), and wheat straw (lightweight, friable). The experiments were conducted under conditions representative of industrial coal-fired circulating fluidized [...] Read more.
This study experimentally investigated the movement, combustion, and potassium (K) and chlorine (Cl) migration behaviors of three biomass types: densified wood pellets (heavy), corn straw (lightweight), and wheat straw (lightweight, friable). The experiments were conducted under conditions representative of industrial coal-fired circulating fluidized bed (CFB) boilers, with a temperature range of 850–950 °C and a fluidization velocity of 6–8 m/s. Results show that densified wood pellets sink into the dense-phase zone and release volatiles slowly, in about 50 s. As the volatiles are nearly fully released, the pellets fracture multiple times along their length, eventually forming nearly spherical particles. Their movement and combustion processes closely resemble those of coal, making them suitable for direct co-firing in coal-fired CFB boilers. Conversely, corn straw and wheat straw exhibit low density, high volatile release rates (2 and 10 times that of wood pellets, respectively), rapid char fragmentation and abrasion, and high inherent K and Cl content (with >50% of K and >90% of Cl released). These properties lead to particle segregation, shortened gas-phase combustion time, an upward shift in heat release distribution, and potential risks such as high-temperature KCl corrosion, HCl dew point corrosion, ash slagging, and bed agglomeration. Therefore, untreated corn straw and wheat straw are unsuitable for co-firing in conventional coal-fired CFB boilers. This study provides essential data and engineering guidance: strict quality control is necessary for wood pellets to prevent Cl contamination, while pretreatment is mandatory for straw fuels. These findings offer practical insights for implementing diverse biomass co-firing strategies in coal-fired CFB boilers. Full article
(This article belongs to the Section A4: Bio-Energy)
Show Figures

Figure 1

25 pages, 5276 KB  
Review
Progress and Perspectives on Erosion in Circulating Fluidized Bed Boilers: Mechanisms, Numerical Simulation, and Mitigation Strategies
by Ruiqi Bai, Tuo Zhou, Tong Wang, Xinyun Wan, Xin Meng, Man Zhang and Hairui Yang
Processes 2026, 14(5), 860; https://doi.org/10.3390/pr14050860 - 8 Mar 2026
Viewed by 418
Abstract
Erosion is widely encountered in circulating fluidized bed (CFB) boilers. Investigations into erosion mechanisms and mitigation strategies are essential for improving the operational reliability and reducing economic losses. This paper presents a bibliometric analysis and review of recent progress in erosion-related studies for [...] Read more.
Erosion is widely encountered in circulating fluidized bed (CFB) boilers. Investigations into erosion mechanisms and mitigation strategies are essential for improving the operational reliability and reducing economic losses. This paper presents a bibliometric analysis and review of recent progress in erosion-related studies for CFB boilers, identifying three main research hotspots: CFD-based erosion prediction from flow dynamics, anti-wear coatings from materials science that consider chemical corrosion, and boiler design adaptations for biomass. Building upon classical studies on solid particle erosion mechanisms and accounting for the high-temperature and reactive chemical environments characteristic of CFB boilers, the erosion mechanisms in CFB boilers are systematically summarized. It is revealed that particle flow parameters dominate the erosion process, coupled with chemical corrosion. Subsequently, the application of computational fluid dynamics (CFD) methods to erosion prediction and mitigation in CFB boilers is reviewed, and the characteristics of various anti-wear techniques are discussed. It is found that CFD can serve as an effective tool for the design of anti-wear techniques; however, the design must account not only for erosion resistance but also for the resulting impacts on boiler heat transfer and thermal inertia. Finally, perspectives and future research directions for erosion studies in CFB boilers are outlined. Full article
(This article belongs to the Special Issue Simulation of Particle Flow and Discrete Element)
Show Figures

Figure 1

14 pages, 1865 KB  
Article
Quality Management of Inert Material During Fluidized Bed Combustion of Biomass
by Marta Wesolowska, Krystian Wisniewski, Jaroslaw Krzywanski, Wojciech Nowak and Agnieszka Kijo-Kleczkowska
Materials 2026, 19(2), 288; https://doi.org/10.3390/ma19020288 - 10 Jan 2026
Viewed by 675
Abstract
Fluidized bed combustion of biomass requires maintaining stable properties of the inert bed material, which plays a key role in heat transfer, temperature stabilization and uniform fuel distribution in circulating fluidized bed (CFB) boilers. During long-term operation, quartz sand, i.e., the most commonly [...] Read more.
Fluidized bed combustion of biomass requires maintaining stable properties of the inert bed material, which plays a key role in heat transfer, temperature stabilization and uniform fuel distribution in circulating fluidized bed (CFB) boilers. During long-term operation, quartz sand, i.e., the most commonly used inert material, undergoes physical and chemical degradation processes such as attrition, sintering and coating with alkali-rich ash, leading to changes in particle size distribution (PSD), deterioration of fluidization quality, temperature non-uniformities and an increased risk of bed agglomeration. This study analyzes quality management strategies for inert bed materials in biomass-fired CFB systems, with particular emphasis on the influence of PSD on boiler hydrodynamics and thermal behavior. Based on industrial operating data, sieve analyses and CFD simulations performed under representative operating conditions, a recommended mean particle diameter range of approximately 150–200 μm is identified as critical for maintaining stable circulation and uniform temperature fields. Numerical results demonstrate that deviations toward coarser bed materials significantly reduce solids circulation, promote segregation in the lower furnace region and lead to local temperature increases, thereby increasing agglomeration risk. The study further discusses practical approaches to bed material monitoring, regeneration and make-up management in relation to biomass type and ash characteristics. The results confirm that systematic control of inert bed material quality is an essential prerequisite for reliable, efficient and low-emission operation of biomass-fired CFB boilers. Full article
Show Figures

Figure 1

13 pages, 1449 KB  
Article
Analysis of Commissioning Problems and Improvement Measures for a Biomass Circulating Fluidized Bed Gasifier Coupled with a 20 t/h Gas-Fired Steam Boiler System
by Shan Gu, Weijun Zhu, Xiaoye Liang and Li Yang
Processes 2025, 13(12), 3864; https://doi.org/10.3390/pr13123864 - 30 Nov 2025
Viewed by 511
Abstract
Addressing the challenges of high cost and complex configuration in conventional circulating fluidized bed (CFB) gasification-boiler systems, which stem from their reliance on auxiliary cooling and pressurization units, this paper proposes a novel solution. The approach involves the direct feeding of high-temperature syngas [...] Read more.
Addressing the challenges of high cost and complex configuration in conventional circulating fluidized bed (CFB) gasification-boiler systems, which stem from their reliance on auxiliary cooling and pressurization units, this paper proposes a novel solution. The approach involves the direct feeding of high-temperature syngas from a biomass CFB gasifier into a gas-fired boiler for combustion. This design not only fundamentally circumvents the problem of tar condensation but also renders the auxiliary systems unnecessary, resulting in a significant reduction in investment and operational expenses. Taking a biomass CFB gasifier coupled with a 20 t/h gas-fired steam boiler system (in Jiangsu Province, China) as a case study, this paper analyzes the main problems encountered during the commissioning period in the gasifier and gas-fired boiler, including slagging in the gas-fired boiler furnace, ash deposition on the tail heating surface of the gas-fired boiler and elevated exhaust gas temperature, air leakage at the lower part of the gasifier’s secondary cyclone separator, and insufficient capacity of the spiral ash cooler. Effective improvement measures are proposed. These findings provide valuable references for coupling biomass CFB gasifiers with industrial boilers and offer practical guidance for scaling up biomass CFB gasification technology. Full article
(This article belongs to the Section Environmental and Green Processes)
Show Figures

Figure 1

18 pages, 2778 KB  
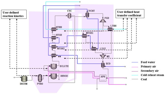
Article
Prediction Modeling of External Heat Exchangers in a 660 MW Ultra-Supercritical Circulating Fluidized Bed Boiler Based on Model Reduction
by Qiang Zhang, Chen Yang, Xiangyu Tao and Zonglong Zhang
Energies 2025, 18(20), 5390; https://doi.org/10.3390/en18205390 - 13 Oct 2025
Viewed by 621
Abstract
To ensure the safe operation of the external heat exchanger (EHE) in a circulating fluidized bed (CFB) boiler, it is essential to obtain real-time information on the flow conditions within the bed. This paper establishes a predictive model for the external heat exchanger [...] Read more.
To ensure the safe operation of the external heat exchanger (EHE) in a circulating fluidized bed (CFB) boiler, it is essential to obtain real-time information on the flow conditions within the bed. This paper establishes a predictive model for the external heat exchanger of the high-temperature reheater in an ultra-supercritical CFB boiler by combining computational fluid dynamics (CFD) with model order reduction and artificial neural networks. The model enables rapid prediction of the solid volume fraction, solid temperature, and gas temperature within the external heat exchanger. The results show that the three predictive models can accurately forecast flow field information under unknown operating conditions. For inlet velocities of 0.225 m/s and 0.325 m/s, the calculation errors are 2.89%, 1.04%, 1.03% and 2.99%, 1.08%, 1.09%, respectively. The predictive models significantly save computational resources, reducing the computation time from 6000 min for the full-order model to approximately 1 s. This lays the foundation for real-time monitoring of the external heat exchanger. Full article
(This article belongs to the Section J1: Heat and Mass Transfer)
Show Figures

Figure 1

21 pages, 5207 KB  
Article
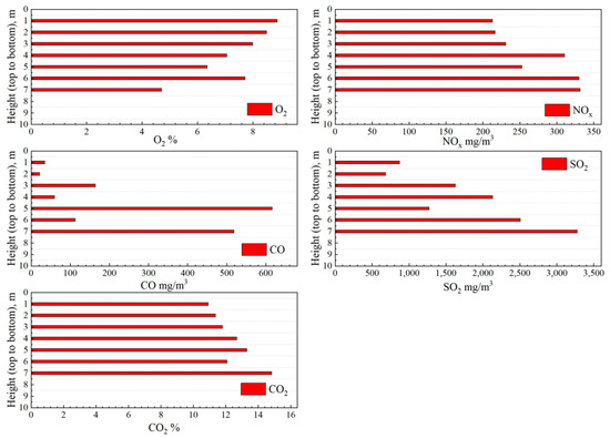
Experimental Study on Co-Firing of Coal and Biomass in Industrial-Scale Circulating Fluidized Bed Boilers
by Haoteng Zhang and Chunjiang Yu
Energies 2025, 18(14), 3832; https://doi.org/10.3390/en18143832 - 18 Jul 2025
Cited by 5 | Viewed by 3324
Abstract
Based on the low-carbon transition needs of coal-fired boilers, this study conducted industrial trials of direct biomass co-firing on a 620 t/h high-temperature, high-pressure circulating fluidized bed (CFB) boiler, gradually increasing the co-firing ratio. It used compressed biomass pellets, achieving stable 20 wt% [...] Read more.
Based on the low-carbon transition needs of coal-fired boilers, this study conducted industrial trials of direct biomass co-firing on a 620 t/h high-temperature, high-pressure circulating fluidized bed (CFB) boiler, gradually increasing the co-firing ratio. It used compressed biomass pellets, achieving stable 20 wt% (weight percent) operation. By analyzing boiler parameters and post-shutdown samples, the comprehensive impact of biomass co-firing on the boiler system was assessed. The results indicate that biomass pellets were blended with coal at the last conveyor belt section before the furnace, successfully ensuring operational continuity during co-firing. Further, co-firing biomass up rates of to 20 wt% do not significantly impact the fuel combustion efficiency (gaseous and solid phases) or boiler thermal efficiency and also have positive effects in reducing the bottom ash and SOx and NOx emissions and lowering the risk of low-temperature corrosion. The biomass co-firing slightly increases the combustion share in the dense phase zone and raises the bed temperature. The strong ash adhesion characteristics of the biomass were observed, which were overcome by increasing the ash blowing frequency. Under 20 wt% co-firing, the annual CO2 emissions reductions can reach 130,000 tons. This study provides technical references and practical experience for the engineering application of direct biomass co-firing in industrial-scale CFB boilers. Full article
(This article belongs to the Section A4: Bio-Energy)
Show Figures

Figure 1

22 pages, 3326 KB  
Article
Collaborative Multi-Objective Optimization of Combustion and Emissions in Circulating Fluidized Bed Boilers Using the Bidirectional Temporal Convolutional Network and Hybrid Dung Beetle Optimizer
by Gang Chen, Daxin Yin and Feipeng Chen
Sustainability 2025, 17(11), 5225; https://doi.org/10.3390/su17115225 - 5 Jun 2025
Cited by 2 | Viewed by 1441
Abstract
With the increasing global focus on sustainable development, circulating fluidized bed (CFB) boilers, as highly efficient and low-pollution combustion equipment, play an important role in energy production and environmental protection. However, the combustion efficiency and emission control of CFB boilers still face challenges, [...] Read more.
With the increasing global focus on sustainable development, circulating fluidized bed (CFB) boilers, as highly efficient and low-pollution combustion equipment, play an important role in energy production and environmental protection. However, the combustion efficiency and emission control of CFB boilers still face challenges, and there is an urgent need for multi-objective optimization through advanced technologies to support the goal of sustainable development. This study proposes an intelligent framework integrating Bidirectional Temporal Convolutional Network (BiTCN) and Hybrid Dung Beetle Optimizer (HDBO) for multi-objective optimization of combustion efficiency and NOx/SO2 emissions in CFB boilers. The BiTCN model captures bidirectional temporal dependencies between dynamic parameters (e.g., air-coal ratio, bed temperature) and target variables through operational data analysis. Three key improvements are implemented in DBO: (1) Chaotic initialization via sequential pattern mining (SPM) enhances population diversity and spatial coverage; (2) The osprey optimization algorithm (OOA) hunting mechanism replaces the original rolling update strategy, improving global exploration; (3) t-Distribution perturbation is applied to foraging beetles in later iterations, leveraging its “sharp peak and thick tail” characteristics to dynamically balance exploitation and exploration. Experimental results demonstrate 0.5–1% combustion efficiency improvement and 15.1%/30% reductions in NOx/SO2 emissions for a typical CFB boiler. Full article
(This article belongs to the Special Issue Technology Applications in Sustainable Energy and Power Engineering)
Show Figures

Figure 1

23 pages, 1945 KB  
Article
Tuning of ILADRC for CFB Boiler Combustion System Based on LF-DCSSA Algorithm
by Qi Wang, Chi Zhang, Aoqi Xiao, Xinchun Jia, Shikui Chen and Rongsen Fan
Energies 2025, 18(9), 2164; https://doi.org/10.3390/en18092164 - 23 Apr 2025
Viewed by 759
Abstract
Aiming at the problem that it is difficult to adjust the parameters of the controller in the circulating fluidized bed (CFB) boiler combustion system due to its multivariable and strong coupling, an improved linear active disturbance rejection controller (ILADRC) parameter tuning strategy based [...] Read more.
Aiming at the problem that it is difficult to adjust the parameters of the controller in the circulating fluidized bed (CFB) boiler combustion system due to its multivariable and strong coupling, an improved linear active disturbance rejection controller (ILADRC) parameter tuning strategy based on the Lévy flight double chaotic sparrow search algorithm (LF-DCSSA) is proposed. The LF-DCSSA algorithm is used to tune the parameters of the ILADRC controller in the multivariable coupled combustion control system of the CFB boiler built by Simulink, so that its control effect can reach the best state. The step response simulation and perturbation simulation are carried out with the theoretically tuned PID and ILADRC. The simulation results show that LF-DCSSA-ILADRC has obvious advantages in the three indexes of time–domain response, such as adjustment time, overshoot, and ITAE, which is more efficient and accurate than that of the theoretical setting, providing a new strategy for the control of the CFB boiler combustion system. Full article
(This article belongs to the Section L: Energy Sources)
Show Figures

Figure 1

22 pages, 7725 KB  
Article
Robust Dynamic Modeling of Bed Temperature in Utility Circulating Fluidized Bed Boilers Using a Hybrid CEEMDAN-NMI–iTransformer Framework
by Qianyu Li, Guanglong Wang, Xian Li, Cong Yu, Qing Bao, Lai Wei, Wei Li, Huan Ma and Fengqi Si
Processes 2025, 13(3), 816; https://doi.org/10.3390/pr13030816 - 11 Mar 2025
Cited by 2 | Viewed by 1372
Abstract
Circulating fluidized bed (CFB) boilers excel in low emissions and high efficiency, with bed temperature serving as a critical indicator of combustion stability, heat transfer efficiency, and pollutant reduction. This study proposes a novel framework for predicting bed temperature in CFB boilers under [...] Read more.
Circulating fluidized bed (CFB) boilers excel in low emissions and high efficiency, with bed temperature serving as a critical indicator of combustion stability, heat transfer efficiency, and pollutant reduction. This study proposes a novel framework for predicting bed temperature in CFB boilers under complex operating conditions. The framework begins by collecting historical operational data from a power plant Distributed Control System (DCS) database. Next, the Complete Ensemble Empirical Mode Decomposition with Adaptive Noise (CEEMDAN) algorithm is employed to decompose the raw signals into distinct modes. By analyzing the trade-offs of combining modes with different energy levels, data denoising and outlier reconstruction are achieved. Key features are then selected using Normalized Mutual Information (NMI), and the inflection point of NMI values is used to determine the number of variables included. Finally, an iTransformer-based model is developed to capture long-term dependencies in bed temperature dynamics. Results show that the CEEMDAN-NMI–iTransformer framework effectively adapts to diverse datasets and performs better in capturing spatiotemporal relationships and delivering superior single-step prediction accuracy, compared to Gated Recurrent Unit (GRU), Long Short-Term Memory (LSTM), and Transformer models. For multi-step predictions, the model achieves accurate forecasts within 6 min and maintains an R2 above 0.95 for 24 min predictions, demonstrating robust predictive performance and generalization. Full article
(This article belongs to the Section Energy Systems)
Show Figures

Figure 1

16 pages, 5082 KB  
Article
Dynamic NOx Emission Modeling in a Utility Circulating Fluidized Bed Boiler Considering Denoising and Multi-Frequency Domain Information
by Qianyu Li, Guanglong Wang, Xian Li, Qing Bao, Wei Li, Yukun Zhu, Cong Yu and Huan Ma
Energies 2025, 18(4), 790; https://doi.org/10.3390/en18040790 - 8 Feb 2025
Cited by 4 | Viewed by 1307
Abstract
Climate change poses a significant global challenge that necessitates concerted efforts toward carbon neutrality. Circulating fluidized bed (CFB) boilers have gained prominence in various industries due to their adaptability and reduced emissions. However, many current control systems rely heavily on manual operator intervention [...] Read more.
Climate change poses a significant global challenge that necessitates concerted efforts toward carbon neutrality. Circulating fluidized bed (CFB) boilers have gained prominence in various industries due to their adaptability and reduced emissions. However, many current control systems rely heavily on manual operator intervention and lack advanced automation, which constrains the operational efficiency. This study addressed the need for dynamic models capable of monitoring and optimizing NOx emissions in CFB boilers, especially under fluctuating loads and strict regulatory standards. We introduced the TimesNet model, which utilizes fast Fourier transform (FFT) to extract key frequency components, transforming 1D time series data into 2D tensors for enhanced feature representation. The model employs Inception blocks for multi-scale feature extraction and incorporates residual connections with amplitude-weighted aggregation to mitigate catastrophic forgetting during training. The results indicated that TimesNet achieved R2 values of 0.98, 0.97, and 0.95 across training, validation, and testing datasets, respectively, surpassing conventional models with a reduced MAE of 1.63 mg/m3 and RMSE of 3.35 mg/m3. Additionally, it excelled in multi-step predictions and effectively managed long-term dependencies. In conclusion, TimesNet provides an innovative solution for the precise monitoring of NOx emissions in CFB boilers by enhancing predictive stability and robustness and addressing salient limitations in existing models to optimize combustion efficiency and regulatory compliance. Full article
(This article belongs to the Section B: Energy and Environment)
Show Figures

Figure 1

20 pages, 3843 KB  
Article
Combustion Process of Coal–Açai Seed Mixtures in a Circulating Fluidized Bed Boiler
by Gabriel C. P. Soares, João V. R. Moreira, Fernando H. B. Santos, Danielle R. S. Guerra and Manoel F. M. Nogueira
Energies 2024, 17(18), 4635; https://doi.org/10.3390/en17184635 - 17 Sep 2024
Cited by 4 | Viewed by 2012
Abstract
This study investigates the effects of the co-combustion of coal and açai seed in circulating fluidized bed (CFB) boilers, highlighting the increase in thermal efficiency and relevance of a less-polluting source of energy. Using the computer software 1.5D CeSFaMB™® v4.3.0, simulations of [...] Read more.
This study investigates the effects of the co-combustion of coal and açai seed in circulating fluidized bed (CFB) boilers, highlighting the increase in thermal efficiency and relevance of a less-polluting source of energy. Using the computer software 1.5D CeSFaMB™® v4.3.0, simulations of the co-combustion process of coal and biomass were carried out in a CFB boiler, obtaining results such as the temperature profile, boiler efficiency and emissions. The work acquired data regarding the equipment in real operational conditions, consisting of the fundamental geometric and operational parameters used in the simulation campaign. The thermal and chemical properties of the fuels were analyzed by carrying out proximate, ultimate, heating value, particle size and specific mass analyses. The model validation was achieved by simulating the boiler in its real operating conditions and comparing the obtained results with the real data; the obtained error was below 10%. Simulations with different fractions of açai seed for energy replacement (10% and 30%) were carried out. As a result, an increase in the average temperature of the bed was observed, highlighting the region immediately above the dense bed. An increase in boiler efficiency was verified from 56% to 85% with 10% açai and to 83% with 30% açai seed. Decreases in SO2 and CO emissions with the insertion of açai were obtained, showing that co-combustion is more complete, while CO2 emissions were increased due to the higher quantity of fuel inserted into the equipment. The fossil CO2 emissions were reduced. Full article
(This article belongs to the Collection Feature Papers in Energy, Environment and Well-Being)
Show Figures

Figure 1

17 pages, 5227 KB  
Article
Experimental Study on Preparation of Inorganic Fibers from Circulating Fluidized Bed Boilers Ash
by Qingjia Wang, Tuo Zhou, Zhiao Li, Yi Ding, Qiang Song, Man Zhang, Nan Hu and Hairui Yang
Materials 2024, 17(15), 3800; https://doi.org/10.3390/ma17153800 - 1 Aug 2024
Cited by 4 | Viewed by 1369
Abstract
The ash generated by Circulating Fluidized Bed (CFB) boilers is featured by its looseness and porosity, low content of glassy substances, and high contents of calcium (Ca) and sulfur (S), thus resulting in a low comprehensive utilization rate. Currently, the predominant treatment approach [...] Read more.
The ash generated by Circulating Fluidized Bed (CFB) boilers is featured by its looseness and porosity, low content of glassy substances, and high contents of calcium (Ca) and sulfur (S), thus resulting in a low comprehensive utilization rate. Currently, the predominant treatment approach for CFB ash and slag is stacking, which may give rise to issues like environmental pollution. In this paper, CFB ash (with a CaO content of 7.64% and an SO3 content of 1.77%) was used as the main raw material. The high-temperature melting characteristics, viscosity–temperature characteristics, and initial crystallization temperature of samples with different acidity coefficients were investigated. The final drawing temperature range of the samples was determined, and mechanical property tests were conducted on the prepared inorganic fibers. The results show that the addition of dolomite powder has a significant reducing effect on the complete liquid phase temperature. The final drawing temperatures of the samples with different acidity coefficients range as follows: 1270–1318 °C; 1272–1351 °C; 1250–1372 °C; 1280–1380 °C; 1300–1382 °C; and 1310–1384 °C. The drawing temperature of this system is slightly lower than that of basalt fibers. Based on the test results of the mechanical properties of inorganic fibers, the Young’s modulus of the inorganic fibers prepared through the experiment lies between 55 GPa and 74 GPa, which basically meets the performance requirements of inorganic fibers. Consequently, the method of preparing inorganic fibers by using CFB ash and dolomite powder is entirely feasible. Full article
(This article belongs to the Special Issue Obtaining and Characterization of New Materials (5th Edition))
Show Figures

Figure 1

26 pages, 7520 KB  
Review
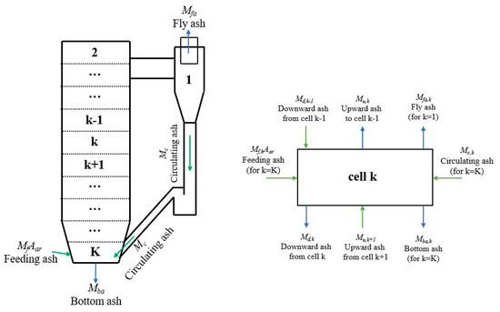
Research Progress on the Dynamic Characteristics of Circulating Fluidized Bed Boilers While Processing Rapid Variable Loads
by Huanzhou Wei, Shahong Zhu, Yulin Mao, Junjie Gao, Zifan Shen, Jiaxing Li and Hairui Yang
Energies 2024, 17(14), 3549; https://doi.org/10.3390/en17143549 - 19 Jul 2024
Cited by 8 | Viewed by 3373
Abstract
In order to achieve the “dual-carbon” goal, China’s energy sector is rapidly evolving towards a green and low-carbon future, with the integration of large-scale new energy into the power grid. However, due to the fluctuating characteristics of new energy generation, the difficulty of [...] Read more.
In order to achieve the “dual-carbon” goal, China’s energy sector is rapidly evolving towards a green and low-carbon future, with the integration of large-scale new energy into the power grid. However, due to the fluctuating characteristics of new energy generation, the difficulty of grid peaking has gradually increased. Consequently, enhancing flexibility and achieving wide and rapid peak shaving have emerged as the primary development directions for thermal power units. Circulating fluidized bed (CFB) boilers have been widely developed due to their excellent coal adaptability, large load regulation range, and low-cost pollutant removal ability. However, the flexibility of load variations in most CFB units is not high, limited by the substantial inertia of the furnace side and fluctuating pollutant emissions. This review is conducted with respect to the boiler side to analyze inertia sources and effects on the system while processing rapid variable loads, including gas–solid flow inertia, fuel combustion inertia, and heat transfer inertia. It discusses the development of numerical simulation models for CFB boilers and points out corresponding applications and limitations in simulating dynamic characteristics during load changes. Through experimental bench tests and numerical simulation, it investigates the dynamic characteristics of pivotal parameters in the variable load process. Moreover, the pivotal elements influencing the variable load performance and viable regulatory techniques are revealed, thereby furnishing theoretical guidance for enhancing the unit flexibility and peak shifting rates of China’s CFB boilers. Full article
(This article belongs to the Section B2: Clean Energy)
Show Figures

Figure 1

37 pages, 39603 KB  
Review
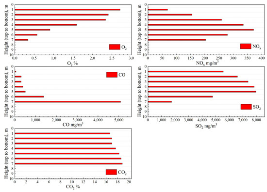
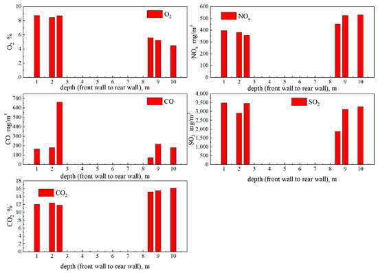
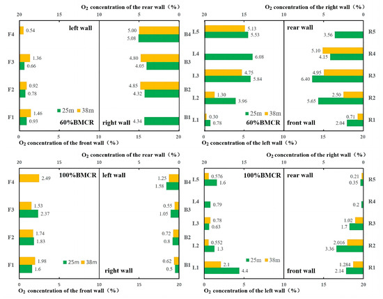
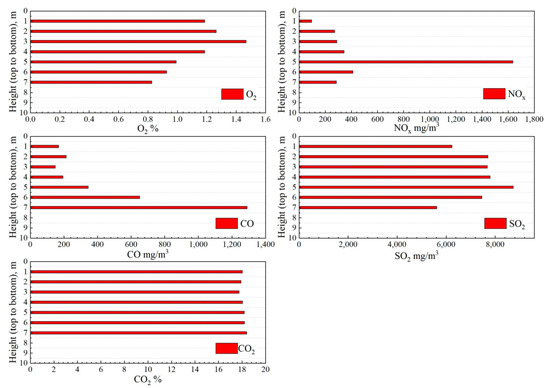
Methods and Applications of Full-Scale Field Testing for Large-Scale Circulating Fluidized Bed Boilers
by Zhonghao Dong, Xiaofeng Lu, Rongdi Zhang, Jianbo Li, Zhaoliang Wu, Zhicun Liu, Yanting Yang, Quanhai Wang and Yinhu Kang
Energies 2024, 17(4), 889; https://doi.org/10.3390/en17040889 - 14 Feb 2024
Cited by 5 | Viewed by 2626
Abstract
Circulating fluidized bed (CFB) boilers offer a technically viable and environmentally friendly means for the clean and efficient utilization of solid fuels. However, the complex gas–solid two-phase flow processes within them have hindered a thorough resolution of prediction issues related to coupled combustion, [...] Read more.
Circulating fluidized bed (CFB) boilers offer a technically viable and environmentally friendly means for the clean and efficient utilization of solid fuels. However, the complex gas–solid two-phase flow processes within them have hindered a thorough resolution of prediction issues related to coupled combustion, heat transfer, and pollutant generation characteristics. To address the deficiencies in scientific research, meet the practical operational needs of CFB boilers, and comply with new carbon emission policies, conducting full-scale field tests on large-scale CFB boilers is needed, so that the complex gas–solid flow, combustion, and heat transfer mechanisms in the furnace can be comprehended. In this paper, issues related to large-scale CFB boilers, including the uniformity of air distribution, secondary air injection range, spatial distribution of oxygen consumption and combustion reactions, distribution of pollutant generation, hydrodynamic and heat transfer characteristics, coal feeding distribution characteristics, coal diffusion characteristics under thermal operating conditions, and engineering research on anti-wear technology, are reviewed. By integrating practical engineering applications, the basic methods and measurement techniques used in full-scale field tests for large-scale CFB boilers are summarized, providing a practical reference for conducting engineering tests with large-scale CFB boilers. Full article
(This article belongs to the Section I2: Energy and Combustion Science)
Show Figures

Figure 1

17 pages, 8821 KB  
Article
Computational Particle Fluid Dynamics Simulation on Combustion Characteristics of Blended Fuels of Coal, Biomass, and Oil Sludge in a 130 t h−1 Circulating Fluidized Bed Boiler
by Yang Wang, Xiangyu Chen, Liping Xu, Mingwei Ma, Xiaole Huang, Feng Han, Yong Zhou, Chen Du, Yaodong Da and Lei Deng
Energies 2024, 17(1), 149; https://doi.org/10.3390/en17010149 - 27 Dec 2023
Cited by 8 | Viewed by 2445
Abstract
In this study, the co-combustion of coal and biomass, and the tri-combustion of coal, biomass, and oil sludge in a 130 t h−1 circulating fluidized bed (CFB) boiler are investigated via the computational particle fluid dynamics (CPFD) approach. Furthermore, the effect of [...] Read more.
In this study, the co-combustion of coal and biomass, and the tri-combustion of coal, biomass, and oil sludge in a 130 t h−1 circulating fluidized bed (CFB) boiler are investigated via the computational particle fluid dynamics (CPFD) approach. Furthermore, the effect of biomass feeding position is also comprehensively evaluated. The results show that for the co-combustion of coal and biomass, the O2 mole fraction at the furnace outlet rises from 0.0541 to 0.0640 as the biomass blending ratio enhances from 40% to 100%, while the CO2 mole fraction reduces from 0.1357 to 0.1267. The mole fraction of NOx and SO2 at the furnace outlet decreases from 4.5867 × 10−5 to 3.9096 × 10−5 and 2.8253 × 10−4 to 4.6635 × 10−5, respectively. For the tri-combustion of three fuels, the average NOx mole fraction initially grows quickly and then declines gradually, ranging from 4.1173 × 10−5 to 4.2556 × 10−5. The mole fraction of SO2 at the furnace outlet increases from 3.5176 × 10−4 to 4.7043 × 10−4 when the ratio of oil sludge rises from 10% to 20%. The uniformity of temperature and gas components distribution is “new inlet > secondary air inlet > feed inlet”. As for the three inlet positions, the mole fractions of NOx at the furnace outlet are between 3.9096 × 10−5 and 5.1537 × 10−5, while those for SO2 are between 2.5978 × 10−4 and 2.5278 × 10−4. Full article
(This article belongs to the Section A4: Bio-Energy)
Show Figures

Figure 1

Back to TopTop