Dynamic NOx Emission Modeling in a Utility Circulating Fluidized Bed Boiler Considering Denoising and Multi-Frequency Domain Information
Abstract
1. Introduction
2. Object Description and Variable Selection
2.1. Fundamental Information on Circulating Fluidized Bed Boilers
2.2. Variable Selection
3. Methodology
3.1. Data Processing
3.1.1. Data Standardization
3.1.2. Outlier Detection and Missing Values Handling
3.2. The Structure of TimesNet
3.2.1. FFT Algorithm Capturing Data Patterns
3.2.2. Transforming 1D Variations into 2D Variations
3.2.3. The Details About TimesBlock
3.3. Performance Evaluation Metrics
4. Result Analysis
4.1. Analysis of Data Preprocessing Results
4.2. Analysis of Single-Step Prediction Results
4.2.1. Baseline Prediction Analysis
4.2.2. The Impact of Different Hyperparameters
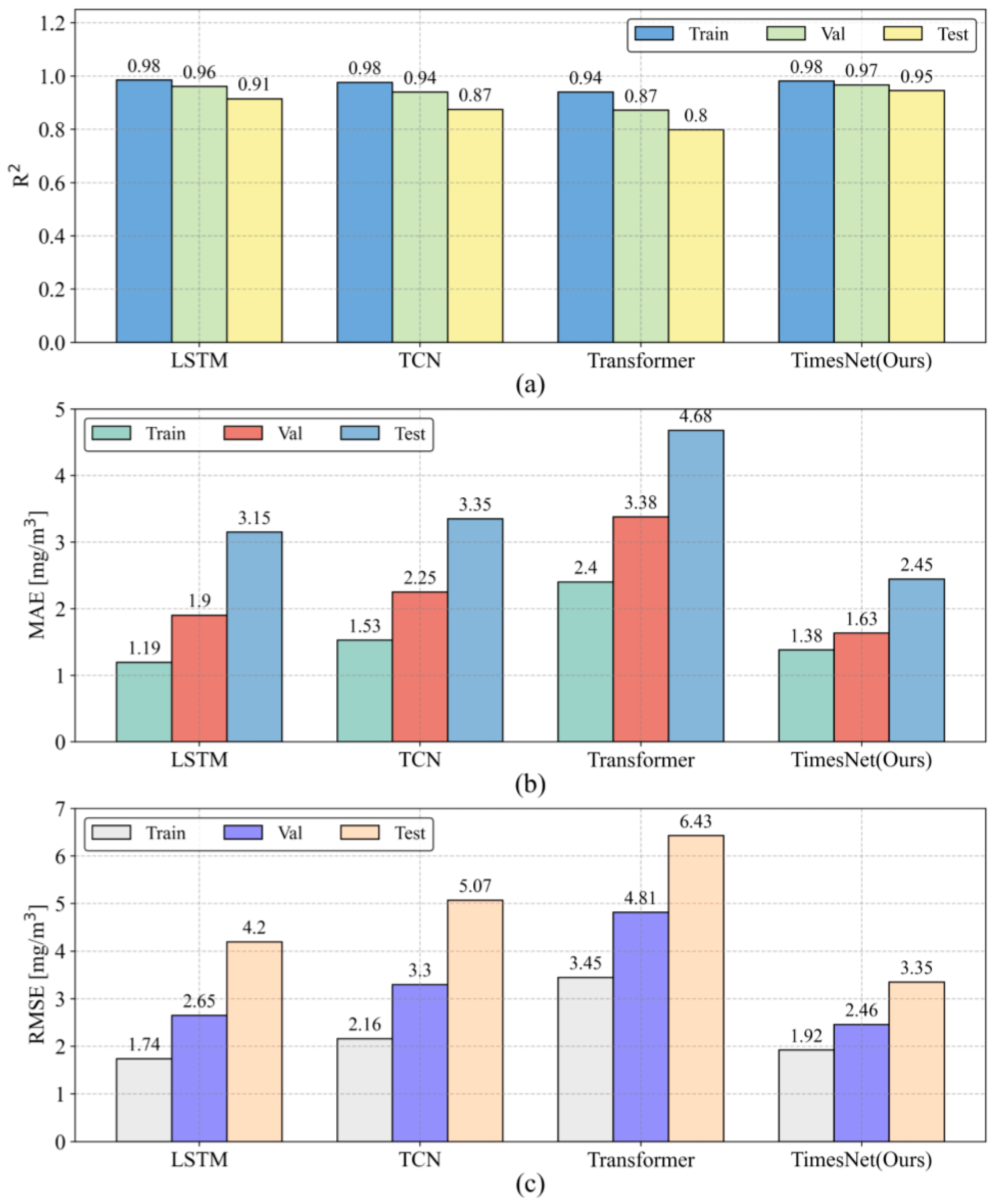
4.2.3. Comparison with Other Methods
4.3. Analysis of Multi-Step Prediction Results
5. Conclusions
Author Contributions
Funding
Data Availability Statement
Acknowledgments
Conflicts of Interest
References
- Cheng, L.; Ji, J.; Wei, Y.; Wang, Q.; Fang, M.; Luo, Z.; Ni, M.; Cen, K. A note on large-size supercritical CFB technology development. Powder Technol. 2020, 363, 398–407. [Google Scholar] [CrossRef]
- Zhang, H.; Lyu, J.; Yue, G. A review on research and development of CFB combustion technology in China. Powder Technol. 2023, 414, 118090. [Google Scholar] [CrossRef]
- Tan, Y.; Nookuea, W.; Li, H.; Thorin, E.; Yan, J. Property impacts on Carbon Capture and Storage (CCS) processes: A review. Energy Convers. Manag. 2016, 118, 204–222. [Google Scholar] [CrossRef]
- Zhu, Y.; Yu, C.; Jin, W.; Shi, L.; Chen, B.; Xu, P. Mechanism-enhanced data-driven method for the joint optimization of boiler combustion and selective catalytic reduction systems considering gas temperature deviations. Energy 2024, 291, 130432. [Google Scholar] [CrossRef]
- Chen, S.; Yu, C.; Zhu, Y.; Fan, W.; Yu, H.; Zhang, T. NOx formation model for utility boilers using robust two-step steady-state detection and multimodal residual convolutional auto-encoder. J. Taiwan Inst. Chem. Eng. 2024, 155, 105252. [Google Scholar] [CrossRef]
- Zhu, Y.; Yu, C.; Fan, W.; Yu, H.; Jin, W.; Chen, S.; Liu, X. A novel NOx emission prediction model for multimodal operational utility boilers considering local features and prior knowledge. Energy 2023, 280, 128128. [Google Scholar] [CrossRef]
- Ji, J.; Cheng, L.; Wei, Y.; Wang, J.; Gao, X.; Fang, M.; Wang, Q. Predictions of NOx/N2O emissions from an ultra-supercritical CFB boiler using a 2-D comprehensive CFD combustion model. Particuology 2020, 49, 77–87. [Google Scholar] [CrossRef]
- Cheng, F.; Zhang, Y.; Zhang, G.; Zhang, K.; Wu, J.; Zhang, D. Eliminating environmental impact of coal mining wastes and coal processing by-products by high temperature oxy-fuel CFB combustion for clean power Generation: A review. Fuel 2024, 373, 132341. [Google Scholar] [CrossRef]
- Hong, F.; Chen, J.; Wang, R.; Long, D.; Yu, H.; Gao, M. Realization and performance evaluation for long-term low-load operation of a CFB boiler unit. Energy 2021, 214, 118877. [Google Scholar] [CrossRef]
- Xiao, Y.; Song, G.; Yang, Z.; Yang, X.; Wang, C.; Ji, Z.; Lyu, Q.; Zhang, X. Application of post-combustion ultra-low NOx emissions technology on coal slime solid waste circulating fluidized bed boilers. Waste Manag. 2022, 137, 72–80. [Google Scholar] [CrossRef]
- Zhou, W.; Zhao, C.S.; Duan, L.B.; Chen, X.P.; Liang, C. Two-dimensional computational fluid dynamics simulation of nitrogen and sulfur oxides emissions in a circulating fluidized bed combustor. Chem. Eng. J. 2011, 173, 564–573. [Google Scholar] [CrossRef]
- Zhao, J.; Liu, Y.; Yang, H.; Qi, H. Eulerian investigation of the mechanism of Ultra-low NOx emissions from CFB boilers with finer bed material. Fuel 2024, 359, 130180. [Google Scholar] [CrossRef]
- Yu, C.; Xiong, W.; Ma, H.; Zhou, J.; Si, F.; Jiang, X.; Fang, X. Numerical investigation of combustion optimization in a tangential firing boiler considering steam tube overheating. Appl. Therm. Eng. 2019, 154, 87–101. [Google Scholar] [CrossRef]
- Lv, Y.; Hong, F.; Yang, T.; Fang, F.; Liu, J. A dynamic model for the bed temperature prediction of circulating fluidized bed boilers based on least squares support vector machine with real operational data. Energy 2017, 124, 284–294. [Google Scholar] [CrossRef]
- Cui, Y.; Zou, Y.; Jiang, S.; Zhong, W. Scale-up prediction of supercritical CO2 circulating fluidized bed boiler based on adaptive, PSO-SVM. Powder Technol. 2023, 419, 118328. [Google Scholar] [CrossRef]
- Rahat, A.A.; Wang, C.; Everson, R.M.; Fieldsend, J.E. Data-driven multi-objective optimisation of coal-fired boiler combustion systems. Appl. Energy 2018, 229, 446–458. [Google Scholar] [CrossRef]
- Adams, D.; Oh, D.H.; Kim, D.W.; Lee, C.H.; Oh, M. Prediction of SOx–NOx emission from a coal-fired CFB power plant with machine learning: Plant data learned by deep neural network and least square support vector machine. J. Clean. Prod. 2020, 270, 122310. [Google Scholar] [CrossRef]
- Xu, J.; Cui, Z.; Ma, S.; Wang, X.; Zhang, Z.; Zhang, G. Data based digital twin for operational performance optimization in CFB boilers. Energy 2024, 306, 132532. [Google Scholar] [CrossRef]
- Pan, S.; Shi, X.; Dong, B.; Skvaril, J.; Zhang, H.; Liang, Y.; Li, H. Multivariate time series prediction for CO2 concentration and flowrate of flue gas from biomass-fired power plants. Fuel 2024, 359, 130344. [Google Scholar] [CrossRef]
- Dragomiretskiy, K.; Zosso, D. Variational mode decomposition. IEEE Trans. Signal Process. 2013, 62, 531–544. [Google Scholar] [CrossRef]
- Duhamel, P.; Vetterli, M. Fast Fourier transforms: A tutorial review and a state of the art. Signal Process. 1990, 19, 259–299. [Google Scholar] [CrossRef]
- Wu, H.; Hu, T.; Liu, Y.; Zhou, H.; Wang, J.; Long, M. Timesnet: Temporal 2d-variation modeling for general time series analysis. arXiv 2022, arXiv:2210.02186. [Google Scholar]









| Feature Name | Number of Variables | Units | Values Range | Values Change |
|---|---|---|---|---|
| Unit load | 1 | MW | [137.56, 306.62] | 169.06 |
| Bed temperature | 1 | °C | [812.86, 942.76] | 129.9 |
| Furnace outlet temperature | 1 | °C | [691.38, 996.06] | 304.68 |
| Outlet oxygen content | 1 | % | [0.01, 21.29] | 21.28 |
| Coal feeding rate 1–8 | 8 | t/h | [0, 36.02] | 36.02 |
| SA flow rate A/B | 2 | km3/h | [56.91, 268.99] | 212.08 |
| PA flow rate A/B | 2 | km3/h | [116.74, 176.34] | 59.6 |
| Furnace pressure drop | 1 | kPa | [0.36, 1.19] | 0.83 |
| Bed pressure | 1 | kPa | [4.01, 8.2] | 4.19 |
| SA damper opening | 40 | % | [12.16, 100] | 87.84 |
| Atmosphere temperature 1–2 | 2 | °C | [−9.63, 12.08] | 21.71 |
| Dilution water flow rate | 1 | m3/h | [0, 0.45] | 0.45 |
| Urea flow rate | 1 | m3/h | [0.01, 2.1] | 2.09 |
| Urea volumetric fraction | 1 | / | [0.31, 45.51] | 45.2 |
| Recirculating flue gas flow | 1 | km3/h | [0, 15.143] | 15.143 |
| NOx concentration (object) | 1 | mg/Nm3 | [0.11, 182.32] | 182.21 |
Disclaimer/Publisher’s Note: The statements, opinions and data contained in all publications are solely those of the individual author(s) and contributor(s) and not of MDPI and/or the editor(s). MDPI and/or the editor(s) disclaim responsibility for any injury to people or property resulting from any ideas, methods, instructions or products referred to in the content. |
© 2025 by the authors. Licensee MDPI, Basel, Switzerland. This article is an open access article distributed under the terms and conditions of the Creative Commons Attribution (CC BY) license (https://creativecommons.org/licenses/by/4.0/).
Share and Cite
Li, Q.; Wang, G.; Li, X.; Bao, Q.; Li, W.; Zhu, Y.; Yu, C.; Ma, H. Dynamic NOx Emission Modeling in a Utility Circulating Fluidized Bed Boiler Considering Denoising and Multi-Frequency Domain Information. Energies 2025, 18, 790. https://doi.org/10.3390/en18040790
Li Q, Wang G, Li X, Bao Q, Li W, Zhu Y, Yu C, Ma H. Dynamic NOx Emission Modeling in a Utility Circulating Fluidized Bed Boiler Considering Denoising and Multi-Frequency Domain Information. Energies. 2025; 18(4):790. https://doi.org/10.3390/en18040790
Chicago/Turabian StyleLi, Qianyu, Guanglong Wang, Xian Li, Qing Bao, Wei Li, Yukun Zhu, Cong Yu, and Huan Ma. 2025. "Dynamic NOx Emission Modeling in a Utility Circulating Fluidized Bed Boiler Considering Denoising and Multi-Frequency Domain Information" Energies 18, no. 4: 790. https://doi.org/10.3390/en18040790
APA StyleLi, Q., Wang, G., Li, X., Bao, Q., Li, W., Zhu, Y., Yu, C., & Ma, H. (2025). Dynamic NOx Emission Modeling in a Utility Circulating Fluidized Bed Boiler Considering Denoising and Multi-Frequency Domain Information. Energies, 18(4), 790. https://doi.org/10.3390/en18040790

