Investigating the Effects of Soil Type and Potassium Fertiliser Timing on Potassium Leaching: A Five-Soil Lysimeter Study
Abstract
1. Introduction
2. Materials and Methods
2.1. Description of the Soil Lysimeter Facility and the Soil Characteristics
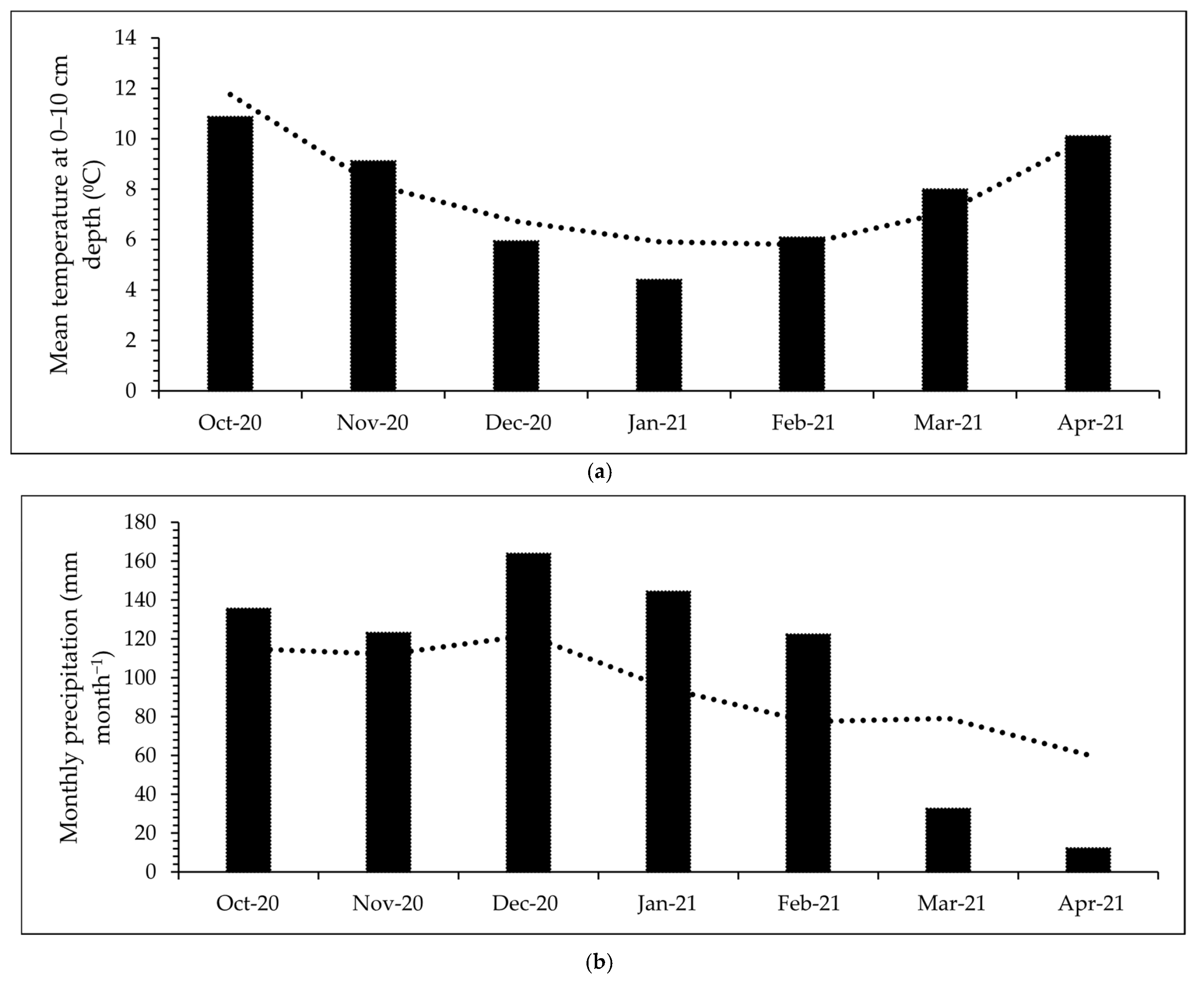
2.2. Meteorological Data
2.3. Experimental Design
2.4. Sward Maintenance
2.5. Sward Yield and Grass Mineral Analysis
2.6. Measurement of Sward K Uptake
2.7. Measurement of Leachate and Analysis
2.8. Soil Analysis
2.9. Calculating Available Water Holding Capacity (AWHC)
2.10. Data Processing and Statistical Analysis
2.11. Temporal Parameters
2.12. Cumulative and Total Parameters
3. Results
3.1. Meteorological Data Results
3.2. Temporal K Leaching
3.3. Potassium Concentrations in Leachate
3.4. K Leachate Load
3.5. Cumulative K Leached
3.6. Grassland Production and Nutrient Uptake
3.7. Soil K Fertility Levels
4. Discussion
4.1. Temporal K Leaching and Soil Type Effects
4.2. Effect of K Timing on K Leaching
4.3. Grassland Production and Sward Nutrient Uptake
4.4. Effects on Soil Test Potassium Level
5. Conclusions
Author Contributions
Funding
Data Availability Statement
Acknowledgments
Conflicts of Interest
Abbreviations
| AFK | Artificial fertiliser potassium |
| ANOVA | Analysis of variance |
| AWHC | Available water holding capacity |
| C | Carbon |
| Ca | Calcium |
| CEC | Cation exchange capacity |
| CO2e | Carbon dioxide equivalent |
| DM | Dry matter |
| DMY | Dry matter yield |
| Ha | Hectare |
| K | Potassium |
| KCl | Potassium chloride |
| Kg | Kilogram |
| Kt1 | Autumn-applied fertiliser K |
| Kt2 | Mid-winter-applied fertiliser K |
| Kt3 | Early-spring-applied fertiliser K |
| Mg | Magnesium |
| Mg L−1 | Milligram per litre |
| N | Nitrogen |
| Na | Sodium |
| NH4AOc | Ammonium acetate |
| NO3−−N | Nitrate nitrogen |
| OM | Organic matter |
| P | Phosphorous |
| PSD | Pooled standard deviation |
| PTF | Pedotransfer function |
| SOC | Soil organic carbon |
| STK | Soil test K |
| UK | United Kingdom |
| USA | United States of America |
| USDA | United States Department of Agriculture |
References
- Penuelas, J.; Coello, F.; Sardans, J. A better use of fertilizers is needed for global food security and environmental sustainability. Agric. Food Secur. 2023, 12, 5. [Google Scholar] [CrossRef]
- Barbier, M. Characterizing Polyhalite Plant Nutritional Properties. Agric. Res. Technol. Open Access J. 2017, 6, 555690. [Google Scholar] [CrossRef]
- Johnston, A. Understanding Potassium and Its Use in Agriculture; European Fertilizer Manufacturers Association: Brussels, Belgium, 2003. [Google Scholar]
- Kelbel, G. Understanding Fertilizer Emissions for Carbon Regulation. 2024. Available online: https://www.carbonchain.com/blog/understand-your-synthetic-fertilizer-emissions (accessed on 12 September 2025).
- Alfaro, M.A.; Alfaro, M.A.; Jarvis, S.C.; Gregory, P.J. Factors affecting potassium leaching in different soils. Soil Use Manag. 2004, 20, 182–189. [Google Scholar] [CrossRef]
- Alfaro, M.A.; Gregory, P.J.; Jarvis, S.C. Dynamics of Potassium Leaching on a Hillslope Grassland Soil. J. Environ. Qual. 2004, 33, 192–200. [Google Scholar] [CrossRef]
- McCarthy, T.; Wall, D.P.; Casey, I.A.; Humphreys, J.; Forrestal, P.J. Integrating Soil Potassium Status and Fertilisation Strategies to Increase Grassland Production and Mitigate Potassium Management Induced Metabolic Disorders in Grazing Livestock. Soil Use Manag. 2025, 41, 1–19. [Google Scholar] [CrossRef]
- White, P.J. Improving potassium acquisition and utilisation by crop plants. J. Plant Nutr. Soil Sci. 2013, 176, 305–316. [Google Scholar] [CrossRef]
- Johnston, A.E.; Goulding, K.W.T. Potassium Concentrations in Surface and Groundwaters and the Loss of Potassium in Relation to Land Use. In Proceedings of the 23rd Colloquiumof the International Potash Instituteheld, Prague, Czech Republic, 12–16 October 1992; pp. 135–158. [Google Scholar]
- Kayser, M.; Müller, J.; Isselstein, J. Potassium leaching from cut grassland and from urine patches. Soil Use Manag. 2007, 23, 384–392. [Google Scholar] [CrossRef]
- Wang, N.; Dorman, R.A.; Kunz, J.L.; Cleveland, D.; Steevens, J.A.; Dunn, S.; Martinez, A.D. Influence of Water Hardness on Chronic Toxicity of Potassium Chloride to a Unionid Mussel (Lampsilis siliquoidea). Environ. Toxicol. Chem. 2023, 42, 1085–1093. [Google Scholar] [CrossRef]
- Gartner, J.A. Gartner Effect of fertilizer nitrogen on a dense sward of Kikuyu Paspalumn and carpet grass 2 Interactions with phosphorus and potassium Queensl. J. Agric. Anim. Sci. 1969, 26, 365–372. [Google Scholar]
- Mengel, K. Potassium Requirements of crops. In Proceedings of the 11th Congress of the International Potash Institute, Rønne-Bornholm, Denmark, 4–8 September 1978; IPI Research Topics No. 7; International Potash Institute: Bern, Switzerland, 1978; pp. 225–342. [Google Scholar]
- Ryan, M. Grassland Productivity: Effect of Potassium on Herbage DM Yield at 26 Sites. Irish J. Agric. Res. 1977, 16, 1–10. [Google Scholar]
- Dampney, P.M.R. The effect of timing and rate of potash application on the yield and herbage composition of grass grown for silage. Grass Forage Sci. 1992, 47, 280–289. [Google Scholar] [CrossRef]
- Moir, J.; Seidel, M.; Kayser, M. Potassium dynamics of four grassland soils contrasting in soil K management history. Grassl. Sci. 2013, 59, 1–10. [Google Scholar] [CrossRef]
- Fageria, N.K. Enhancing Nitrogen Use Efficiency in Crops. Adv. Agron. 2005, 88, 97–185. [Google Scholar]
- Fageria, N.K. The Use of Nutrients in Crop Plants; CRC Press: Boca Raton, FL, USA; Taylor & Francis Group LLC: West Chester, PA, USA, 2009. [Google Scholar] [CrossRef]
- Huber, S. Role of potassium in photosynthesis and respiration. In Potassium in Agriculture; American Society of Agronomy: Madison, WI, USA, 1985; pp. 369–396. [Google Scholar]
- Humphreys, J.; Jansen, T.; Culleton, N.; Macnaeidhe, F.S.; Storey, T. Soil potassium supply and Rumex obtusifolius and Rumex crispus abundance in silage and grazed grassland swards. Weed Res. 1999, 39, 1–13. [Google Scholar] [CrossRef]
- Egan, G.; McKenzie, P.; Crawley, M.; Fornara, D.A. Effects of grassland management on plant nitrogen use efficiency (NUE): Evidence from a long-term experiment. Basic Appl. Ecol. 2019, 41, 33–43. [Google Scholar] [CrossRef]
- Bertsch, P.M.; Thomas, G.W. Potassium Status of Temperate Region Soils. In Potassium in Agriculture; ASA, CSSA, and SSSA Books; American Society of Agronomy: Madison, WI, USA, 1985; pp. 131–157. [Google Scholar]
- Fleming, G.; Coulter, B. Mineral elements in pasture plants; Changes in content with advancing maturity with special reference to potassium. In Proceedings of the Potassium in Relation to Grassland Production, Wexford, Ireland, 2–4 July 1963; International Potash Institute: Zug, Switzerland, 1963. [Google Scholar]
- Herlihy, M.; Moss, P. Availability of Soil Potassium to Ryegrass: 1. Quantity and Intensity Measurements. Irish J. Agric. Res. 1970, 9, 95–108. [Google Scholar]
- Dawson, C.J.; Hilton, J. Fertiliser availability in a resource-limited world: Production and recycling of nitrogen and phosphorus. Food Policy 2011, 36, S14–S22. [Google Scholar] [CrossRef]
- McCarthy, T. Potassium Cycling in Temperate Grassland Soils: Integrating Soil Fertility and Fertilisation Strategies with Sustainable Grassland Productivity. Ph.D. Thesis, South Eastern Technological University, Waterford, Ireland, 2025. [Google Scholar]
- Johnston, A.E.; Poulton, P.R.; Goulding, K.W.; Macdonald, A.J.; Glendining, M.J. Potassium management in soils and crops: A review. In Proceedings of the International Fertiliser Society, Budapest, Hungary, 23 June 2016; Volume 4. [Google Scholar]
- Keady, T.W.J.; O’Kiely, P. An evaluation of potassium and nitrogen fertilization of grassland, and date of harvest, on fermentation, effluent production, dry-matter recovery and predicted feeding value of silage. Grass Forage Sci. 1998, 53, 326–337. [Google Scholar] [CrossRef]
- Rogers, P.; Murphy, W. Levels of Dry Matter, Major Elements (calcium, magnesium, nitrogen, phosphorus, potassium, sodium and sulphur) and Trace Elements (cobalt, copper, iodine, manganese, molybdenum, selenium and zinc) in Irish Grass, Silage and Hay. 2000. Available online: http://homepage.tinet.ie/~progers/0forage.htm (accessed on 19 February 2025).
- Leigh, R.A.; Wyn Jones, R.G. A hypothesis relating critical potassium concentrations for growth to the distribution and functions of this ion in the plant cell. New Physiol. 1984, 97, 1–23. [Google Scholar] [CrossRef]
- Metrosatz, M.B. Nutrient balances and the need for potassium. In Proceedings of the 13th Congress of the International Potash Institute, Reims, France, 25–28 August 1986; pp. 93–105. [Google Scholar]
- Hemingway, G. Potassium Requirements for Crass Cut Silage—A Review; The International Fertiliser Society: Cambridge, UK, 2003; pp. 19–34. [Google Scholar]
- Williams, P.H. The fate of potassium in grazed dairy pastures. Ph.D. Thesis, Massey University, Palmerston North, New Zealand, 1988. [Google Scholar]
- Aarons, S.R.; Gourley, C.J.P.; Powell, J.M. Nutrient intake, excretion and use efficiency of grazing lactating herds on commercial dairy farms. Animals 2020, 10, 390. [Google Scholar] [CrossRef]
- Wall, D.; Plunkett, M. Nutrient Advice for Productive Agricutural Crops; Teagasc: Carlow, Ireland, 2020. [Google Scholar]
- Schonewille, J.T.; Ram, L.; Van’t Klooster, A.T.; Wouterse, H.; Beynen, A.C. Intrinsic potassium in grass silage and magnesium absorption in dry cows. Livest. Prod. Sci. 1997, 48, 99–110. [Google Scholar] [CrossRef]
- McAllister, T.A.; Ribeiro, G.; Stanford, K.; Wang, Y. Forage-Induced Animal Disorders. In Forages; Wiley-Blackwell: Hoboken, NJ, USA, 2020; pp. 839–860. [Google Scholar] [CrossRef]
- McCarthy, T.; Wall, D.P.; Forrestal, P.J.; Casey, I.A.; Humphreys, J. Circularity of potassium in a grassland-based dairy farm on a clay loam soil. Eur. J. Agron. 2024, 160, 127329. [Google Scholar] [CrossRef]
- Haynes, R.J.; Williams, P.H. Nutrient Cycling and Soil Fertility in the Grazed Pasture Ecosystem. Adv. Agron. 1993, 49, 119–199. [Google Scholar] [CrossRef]
- Alfaro, M.A.; Jarvis, S.C.; Gregory, P.J. Potassium budgets in grassland systems as affected by nitrogen and drainage. Soil Use Manag. 2003, 19, 89–95. [Google Scholar] [CrossRef]
- Kayser, M.; Isselstein, J. Potassium cycling and losses in grassland systems: A review. Grass Forage Sci. 2005, 60, 213–224. [Google Scholar] [CrossRef]
- Moss, P.; Herlihy, M. Availability of Soil Potassium to Ryegrass: 2. Potassium Buffering Capacity. Irish J. Agric. Res. 1970, 9, 109–117. [Google Scholar]
- Edmeades, D.C.; Morton, J.D.; Waller, J.E.; Metherell, A.K.; Roberts, A.H.C.; Carey, P. The diagnosis and correction of potassium deficiency in New Zealand pastoral soils: A review. N. Z. J. Agric. Res. 2010, 53, 151–173. [Google Scholar] [CrossRef]
- McCarthy, T.; Humphreys, J.; Forrestal, P.J.; Casey, I.A.; Wall, D.P. Potassium dynamics in temperate grassland soils: Inherent soil characteristics regulating potassium availability. Plant Soil 2025. [Google Scholar]
- Ryan, M.; Fanning, A. Effects of fertiliser N and slurry on nitrate leaching—Lysimeter studies on 5 soils. Irish Geogr. 1996, 29, 126–136. [Google Scholar] [CrossRef]
- IUSSWorking Group, W.R.B. World Reference Base for Soil Resources. International Soil Classification System for Naming Soils and Creating Legends for Soil Maps; IUSSWorking Group, W.R.B. World Reference Base for Soil Resources: Vienna, Austria, 2022. [Google Scholar]
- Gardiner, M.; Ryan, P. National Soil Survey of Ireland. In Soils of Co. Wexford; Foras Talúntais: Wexford, Ireland, 1966; Volume 1. [Google Scholar]
- Aspel, C.; Murphy, P.N.C.; McLaughlin, M.J.; Forrestal, P.J. Sulfur fertilization strategy affects grass yield, nitrogen uptake, and nitrate leaching: A field lysimeter study. J. Plant Nutr. Soil. Sci. 2022, 185, 209–220. [Google Scholar] [CrossRef]
- Ashekuzzaman, S.M.; Fenton, O.; Meers, E.; Forrestal, P.J. Differing phosphorus crop availability of aluminium and calcium precipitated dairy processing sludge potential recycled alternatives to mineral phosphorus fertiliser. Agronomy 2021, 11, 427. [Google Scholar] [CrossRef]
- Lunnan, T.; Øgaard, A.F.; Krogstad, T. Potassium fertilization of timothy-based cut grassland—Effects on herbage yield, mineral composition and critical K concentration on soils with different K status. Grass Forage Sci. 2018, 73, 500–509. [Google Scholar] [CrossRef]
- Ross, D.; Kettering, Q. Recommended methods for determining soil cation exchange capacity. In Recommended Soil Testing Procedures for the Northeastern United States Coop Bull No 493; University of Delaware: Newark, Delaware, 2011; Chapter 9; pp. 75–86. [Google Scholar]
- USDA. Kellogg Soil Survey Laboratory Methods Manual; USDA: Washington, DC, USA, 2014.
- Bagnall, D.K.; Morgan, C.L.S.; Cope, M.; Bean, G.M.; Cappellazzi, S.; Greub, K.; Liptzin, D.; Norris, C.L.; Rieke, E.; Tracy, P.; et al. Carbon-sensitive pedotransfer functions for plant available water. Soil Phys. Hydrol. 2022, 86, 612–629. [Google Scholar] [CrossRef]
- Saxton, K.; Rawls, W. Soil Water Characteristic Estimates by Texture and Organic Matter for Hydrologic Solutions. Soil Sci. Soc. Am. J. 2006, 70, 1569–1578. [Google Scholar] [CrossRef]
- Preston, R.L.; Linsner, J.R. Potassium in Agriculture; American Society of Agronomy: Madison, WI, USA, 1985. [Google Scholar]
- Portela, E.; Monteiro, F.; Fonseca, M.; Abreu, M.M. Effect of soil mineralogy on potassium fixation in soils developed on different parent material. Geoderma 2019, 343, 226–234. [Google Scholar] [CrossRef]
- Zhang, F.; Niu, J.; Zhang, W.; Chen, X.; Li, C.; Yuan, L.; Xie, J. Potassium nutrition of crops under varied regimes of nitrogen supply. Plant Soil 2010, 335, 21–34. [Google Scholar] [CrossRef]
- Kavanagh, S.; Sheil, T.; Wall, D.P.; Lalor, S.T.J. Temporal variation in mineral concentrations in grass swards. In Agricultural Research Forum 2014; Fertiliser Association of Ireland: Tipperary, Ireland, 2014; Volume 50. [Google Scholar]
- Magdoff, F.R.; Bartlett, R.J. Effect of liming acid soils on potassium availability. Soil Sci. 1980, 129, 12–14. [Google Scholar] [CrossRef]
- Wulff, F.; Schulz, V.; Jungk, A.; Ciaassen, N. Potassium fertilization on sandy soils in relation to soil test, crop yield and K-leaching. J. Plant Nutr. Soil Sci. 1998, 161, 591–599. [Google Scholar] [CrossRef]






| Soil Name | (a) Oakpark | (b) Elton | (c) Clonroche | (d) Castlecomer | (e) Rathangan |
|---|---|---|---|---|---|
| Soil Type | Haplic Cambisol | Cutanic Luvisol | Haplic Cambisol | Albic Gleyic Lixsol | Luvic Stagnosol |
| Parent Material | Fluvioglacial gravels | Glacial drift | Glacial drift | Fine loamy with siliceous stones | Glacial sea drift |
| Drainage | Very well | Well | Well | Poor | Poor |
| Soil Texture | Coarse sandy loam | Gravelly Loam | Clay loam | Clay loam | Clay loam |
| Clay (%) | 16.3 | 17 | 27.4 | 33 | 24.8 |
| Silt (%) | 17.9 | 35 | 33.5 | 38.6 | 28 |
| Sand (%) | 65.7 | 48 | 39.1 | 28.4 | 47.3 |
| CEC (cmol+ kg soil−1) | 10.6 | 15.6 | 13.0 | 14.5 | 37.8 |
| pH (water) | 6.3 | 5.9 | 6 | 6 | 5.9 |
| Total C (%) | 3.5 | 3.6 | 3.6 | 4.6 | 3.5 |
| Organic matter (g kg soil−1) | 69 | 86 | 92 | 103 | 79 |
| Total N (%) | 0.29 | 0.38 | 0.36 | 0.38 | 0.32 |
| Total S (%) | 0.025 | 0.034 | 0.04 | 0.034 | 0.035 |
| Morgan’s soil test P (mg L−1) | 6.2 | 7.1 | 7.7 | 7.9 | 6.5 |
| Morgan’s soil test K (mg L−1) | 132 | 144 | 121 | 148 | 127 |
| Soil AWHC (%) | 24.8 | 26.9 | 29.1 | 33.5 | 27.8 |
| K Concentration in Leachate (mg L−1) | K Leachate Load (kg ha−1) | |
|---|---|---|
| Oakpark | ||
| K timing | NS | NS |
| Sample date | * | *** |
| K timing × Sample date | NS | * |
| Elton | ||
| K timing | NS | NS |
| Sample date | *** | *** |
| K timing × Sample date | NS | NS |
| Clonroche | ||
| K timing | NS | NS |
| Sample date | NS | *** |
| K timing × Sample date | NS | NS |
| Castlecomer | ||
| K timing | NS | NS |
| Sample date | *** | *** |
| K timing × Sample date | *** | * |
| Rathangan | ||
| K timing | * | * |
| Sample date | * | *** |
| K timing × Sample date | NS | * |
| Grass DMY March 2021 | K Uptake in Grass DM March 2021 | N uptake in Grass DM March 2021 | STK April 2021 | Cumulative K Leached | ||
|---|---|---|---|---|---|---|
| Soil Type | K Application Date | kg K ha−1 | kg K ha−1 | kg K ha−1 | Mg L−1 | kg K ha−1 |
| Oakpark | Kt1—28 October 2020 | 1382bac | 24bc | 25bc | 322bac | 4.2abcd |
| Kt2—17 December 2020 | 1205bc | 24bc | 23c | 316bdac | 18.4a | |
| Kt3—18 February 2021 | 1183bc | 23bc | 22c | 316bdac | 6.7ab | |
| Elton | Kt1—28 October 2020 | 1469bac | 34ba | 30bac | 229e | 0.5e |
| Kt2—17 December 2020 | 1322bac | 24bc | 25bc | 291ebdac | 0.6e | |
| Kt3—18 February 2021 | 1345bac | 25bac | 27bac | 263ebdc | 3.0bcde | |
| Clonroche | Kt1—28 October 2020 | 1522bac | 30bac | 26bac | 344a | 3.6ab |
| Kt2—17 December 2020 | 1177bc | 22bc | 23c | 337a | 1.2abcd | |
| Kt3—18 February 2021 | 1094c | 21c | 22c | 348ba | 1.1de | |
| Castlecomer | Kt1—28 October 2020 | 1278bac | 25bac | 24bc | 289ebdac | 5.5abcd |
| Kt2—17 December 2020 | 1412bac | 30bac | 25bac | 270ebdc | 4.0abc | |
| Kt3—18 February 2021 | 1276bac | 22bc | 25bac | 319bdac | 4.1abc | |
| Rathangan | Kt1—28 October 2020 | 1644ba | 34ba | 32bac | 243edc | 3.6abcd |
| Kt2—17 December 2020 | 1766a | 37a | 35a | 248edc | 1.2bcde | |
| Kt3—18 February 2021 | 1538bac | 37a | 34ba | 252ed | 1.1cde | |
| PSD | 317 | 8.0 | 6.4 | 53.6 | 0.9 | |
| Effects | ||||||
| Soil Type | NS | * | ** | *** | *** | |
| K timing | NS | NS | NS | NS | NS | |
| Soil Type × K timing interaction | NS | NS | NS | NS | NS | |
Disclaimer/Publisher’s Note: The statements, opinions and data contained in all publications are solely those of the individual author(s) and contributor(s) and not of MDPI and/or the editor(s). MDPI and/or the editor(s) disclaim responsibility for any injury to people or property resulting from any ideas, methods, instructions or products referred to in the content. |
© 2025 by the authors. Licensee MDPI, Basel, Switzerland. This article is an open access article distributed under the terms and conditions of the Creative Commons Attribution (CC BY) license (https://creativecommons.org/licenses/by/4.0/).
Share and Cite
McCarthy, T.P.; Murphy, J.B.; Forrestal, P.J. Investigating the Effects of Soil Type and Potassium Fertiliser Timing on Potassium Leaching: A Five-Soil Lysimeter Study. Soil Syst. 2025, 9, 110. https://doi.org/10.3390/soilsystems9040110
McCarthy TP, Murphy JB, Forrestal PJ. Investigating the Effects of Soil Type and Potassium Fertiliser Timing on Potassium Leaching: A Five-Soil Lysimeter Study. Soil Systems. 2025; 9(4):110. https://doi.org/10.3390/soilsystems9040110
Chicago/Turabian StyleMcCarthy, Thomas P., John B. Murphy, and Patrick J. Forrestal. 2025. "Investigating the Effects of Soil Type and Potassium Fertiliser Timing on Potassium Leaching: A Five-Soil Lysimeter Study" Soil Systems 9, no. 4: 110. https://doi.org/10.3390/soilsystems9040110
APA StyleMcCarthy, T. P., Murphy, J. B., & Forrestal, P. J. (2025). Investigating the Effects of Soil Type and Potassium Fertiliser Timing on Potassium Leaching: A Five-Soil Lysimeter Study. Soil Systems, 9(4), 110. https://doi.org/10.3390/soilsystems9040110
