Journal Description
Condensed Matter
Condensed Matter
is an international, peer-reviewed, open access journal on the physics of condensed matter published quarterly online by MDPI.
- Open Access— free for readers, with article processing charges (APC) paid by authors or their institutions.
- High Visibility: indexed within Scopus, ESCI (Web of Science), Inspec, CAPlus / SciFinder, and other databases.
- Rapid Publication: manuscripts are peer-reviewed and a first decision is provided to authors approximately 20.1 days after submission; acceptance to publication is undertaken in 2.7 days (median values for papers published in this journal in the first half of 2025).
- Recognition of Reviewers: reviewers who provide timely, thorough peer-review reports receive vouchers entitling them to a discount on the APC of their next publication in any MDPI journal, in appreciation of the work done.
Impact Factor:
1.5 (2024);
5-Year Impact Factor:
1.5 (2024)
Latest Articles
Spectral Characterization of CeF3-YF3-TbF3 Nanoparticles for Temperature Sensing in 80–320 K Temperature Range
Condens. Matter 2025, 10(4), 62; https://doi.org/10.3390/condmat10040062 (registering DOI) - 3 Dec 2025
Abstract
The studied Ce0.5Y0.5−XTbXF3 (X = 0, 0.001, 0.002, 0.005, 0.01, and 0.05) nanoparticles were synthesized via the water-based co-precipitation method. All the samples demonstrated diameters in the 17–20 nm range and a hexagonal phase corresponding to
[...] Read more.
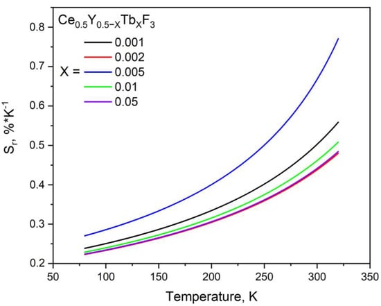
The studied Ce0.5Y0.5−XTbXF3 (X = 0, 0.001, 0.002, 0.005, 0.01, and 0.05) nanoparticles were synthesized via the water-based co-precipitation method. All the samples demonstrated diameters in the 17–20 nm range and a hexagonal phase corresponding to the phase of CeF3. Under 266 nm excitation (4f–5d absorption band of Ce3+), the luminescence spectrum shape was notably dependent on temperature. The integrated luminescence intensity ratio (LIR) of Ce3+ and Tb3+ (5D4–7F3) peaks was chosen as a temperature-dependent parameter. It was shown that the LIR functions linearly decay. The rate of decay decreases with the increase in Tb3+ concentration. This was explained by the fact that in the case of low Tb3+ concentrations, the spectral temperature dependence is mostly based on effective thermal quenching of Ce3+ luminescence. At higher Tb3+ concentrations, there is a higher probability of Ce3+ to Tb3+ energy transfer. Here, the efficiency of the temperature dependence of this process is lower, and the rate of LIR decay is lower as well.
Full article
(This article belongs to the Section Spectroscopy and Imaging in Condensed Matter)
►
Show Figures
Open AccessFeature PaperArticle
Magnetic-Field Oscillations of the Critical Temperature in Ultraclean, Two-Dimensional Type-I Superconductors
by
Aiying Zhao, Richard A. Klemm and Qiang Gu
Condens. Matter 2025, 10(4), 61; https://doi.org/10.3390/condmat10040061 (registering DOI) - 29 Nov 2025
Abstract
►▼
Show Figures
We investigate the influence of Landau Levels (LLs) and Zeeman energy, induced by an applied magnetic field , on the critical temperature for two-dimensional (2D) ultraclean superconductors using a fully quantum mechanical approach within the Bardeen–Cooper–Schrieffer (BCS) theory. In contrast
[...] Read more.
We investigate the influence of Landau Levels (LLs) and Zeeman energy, induced by an applied magnetic field , on the critical temperature for two-dimensional (2D) ultraclean superconductors using a fully quantum mechanical approach within the Bardeen–Cooper–Schrieffer (BCS) theory. In contrast to standard BCS theory, it allows for Cooper pair formation between electrons with opposite spins and momenta along the direction, both on the same or on neighboring LLs. Our quantum mechanical treatment of LLs reveals that the critical temperature for electrons paired on the same LL exhibits oscillations around the BCS critical temperature at low magnetic fields. The Zeeman energy leads to a decrease in with increasing for electrons paired both on the same and on neighboring LLs. Notably, as the g-factor increases, decreases faster as the magnetic field increases for a larger g-factor than for a smaller one.
Full article

Graphical abstract
Open AccessArticle
Transitions from Coplanar Double-Q to Noncoplanar Triple-Q States Induced by High-Harmonic Wave-Vector Interaction
by
Satoru Hayami
Condens. Matter 2025, 10(4), 60; https://doi.org/10.3390/condmat10040060 (registering DOI) - 28 Nov 2025
Abstract
►▼
Show Figures
We theoretically investigate topological transitions between coplanar and noncoplanar magnetic states in centrosymmetric itinerant magnets on a square lattice. A canonical effective spin model incorporating bilinear and biquadratic exchange interactions at finite wave vectors is analyzed to elucidate the emergence of multiple-Q
[...] Read more.
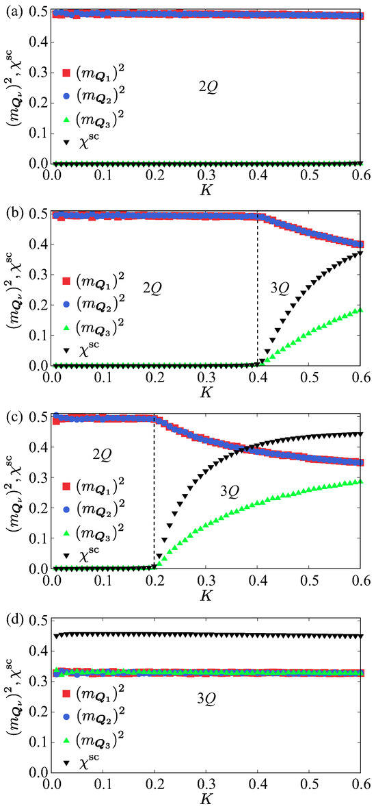
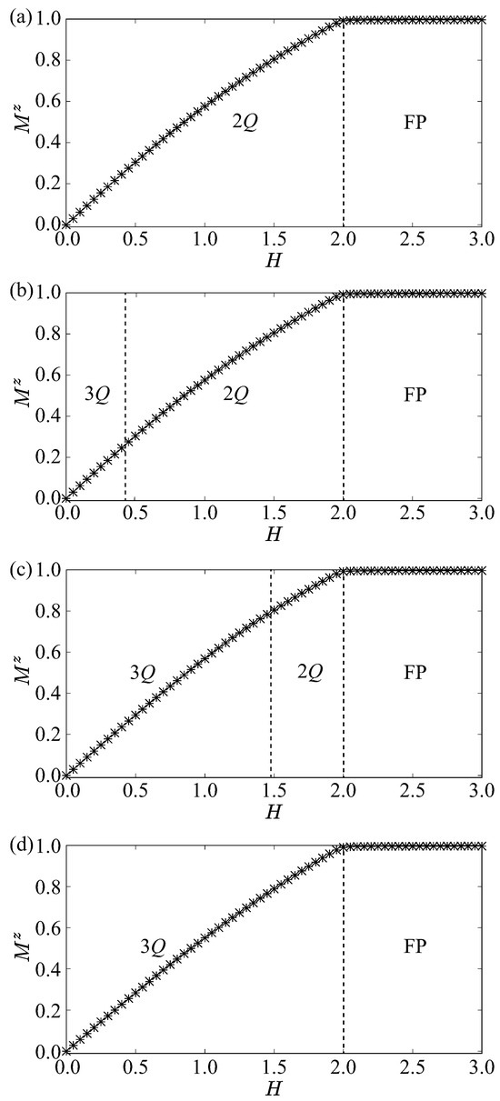
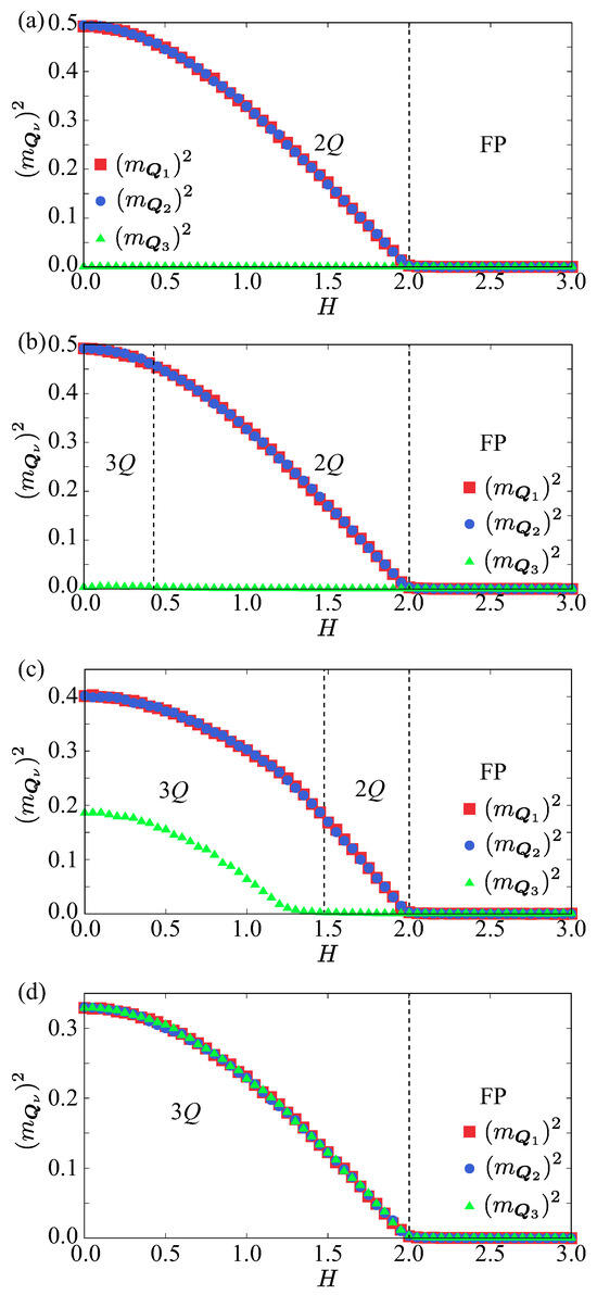
We theoretically investigate topological transitions between coplanar and noncoplanar magnetic states in centrosymmetric itinerant magnets on a square lattice. A canonical effective spin model incorporating bilinear and biquadratic exchange interactions at finite wave vectors is analyzed to elucidate the emergence of multiple-Q magnetic orders. By taking into account high-harmonic wave-vector interactions, we demonstrate that a coplanar double-Q spin texture continuously evolves into a noncoplanar triple-Q state carrying a finite scalar spin chirality. The stability of these multiple-Q states is examined using simulated annealing as a function of the relative strengths of the high-harmonic coupling, the biquadratic interaction, and the external magnetic field. The resulting phase diagrams reveal a competition between double-Q and triple-Q states, where the noncoplanar triple-Q phase is stabilized through the cooperative effect of the high-harmonic and biquadratic interactions. Real-space spin textures, spin structure factors, and scalar spin chirality distributions are analyzed to characterize the distinct magnetic phases and the topological transitions connecting them. These findings provide a microscopic framework for understanding the emergence of noncoplanar magnetic textures driven by the interplay between two- and four-spin interactions in centrosymmetric itinerant magnets.
Full article

Figure 1
Open AccessOpinion
Conservation in High-Field Quantum Transport
by
Mukunda P. Das and Frederick Green
Condens. Matter 2025, 10(4), 59; https://doi.org/10.3390/condmat10040059 (registering DOI) - 27 Nov 2025
Abstract
This article provides an overview of the role of microscopic conservation in charge transport at small scales and at driving fields beyond the linear-response limit. As a practical example, we recall the measurement and theory of interband coupling effects in a quantum point
[...] Read more.
This article provides an overview of the role of microscopic conservation in charge transport at small scales and at driving fields beyond the linear-response limit. As a practical example, we recall the measurement and theory of interband coupling effects in a quantum point contact driven far from equilibrium.
Full article
(This article belongs to the Special Issue New Advances in Condensed Matter Physics, 2nd Edition)
►▼
Show Figures

Figure 1
Open AccessReview
de Gennes–Suzuki–Kubo Quantum Ising Mean-Field Dynamics: Applications to Quantum Hysteresis, Heat Engines, and Annealing
by
Soumyaditya Das, Soumyajyoti Biswas, Muktish Acharyya and Bikas K. Chakrabarti
Condens. Matter 2025, 10(4), 58; https://doi.org/10.3390/condmat10040058 - 20 Nov 2025
Abstract
►▼
Show Figures
We briefly review the early development of the mean-field dynamics for cooperatively interacting quantum many-body systems, mapped to pseudo-spin (Ising-like) systems. We start with (Anderson, 1958) pseudo-spin mapping the BCS (1957) Hamiltonian of superconductivity, reducing it to a mean-field Hamiltonian of the XY
[...] Read more.
We briefly review the early development of the mean-field dynamics for cooperatively interacting quantum many-body systems, mapped to pseudo-spin (Ising-like) systems. We start with (Anderson, 1958) pseudo-spin mapping the BCS (1957) Hamiltonian of superconductivity, reducing it to a mean-field Hamiltonian of the XY (or effectively Ising) model in a transverse field. Then, we obtain the mean-field estimate for the equilibrium gap in the ground-state energy at different temperatures (gap disappearing at the transition temperature), which fits Landau’s (1949) phenomenological theory of superfluidity. We then present in detail a general dynamical extension (for non-equilibrium cases) of the mean-field theory of quantum Ising systems (in a transverse field), following de Gennes’ (1963) decomposition of the mean field into the orthogonal classical cooperative (longitudinal) component and the quantum (transverse) component, with each of the component following Suzuki–Kubo (1968) mean-field dynamics. Next, we discuss its applications to quantum hysteresis in Ising magnets (in the presence of an oscillating transverse field), to quantum heat engines (employing the transverse Ising model as a working fluid), and to the quantum annealing of the Sherrington–Kirkpatrick (1975) spin glass by tuning down (to zero) the transverse field, which provides us with a very fast computational algorithm, leading to ground-state energy values converging to the best-known analytic estimate for the model. Finally, we summarize the main results obtained and draw conclusions about the effectiveness of the de Gennes–Suzuki–Kubo mean-field equations for the study of various dynamical aspects of quantum condensed matter systems.
Full article

Figure 1
Open AccessArticle
Impact of Overdeposition on Magnetic Behavior in Ferromagnetic Nanowire Arrays
by
Oleksandr Pastukh
Condens. Matter 2025, 10(4), 57; https://doi.org/10.3390/condmat10040057 - 12 Nov 2025
Abstract
►▼
Show Figures
Owing to their dimensions and high aspect ratio, magnetic nanowires possess distinctive physical and chemical properties and are of great importance in building nanoelectronics devices. Nanowires are traditionally produced by electrochemical deposition methods using alumina or polycarbonate membranes, and their parameters (porosity, size,
[...] Read more.
Owing to their dimensions and high aspect ratio, magnetic nanowires possess distinctive physical and chemical properties and are of great importance in building nanoelectronics devices. Nanowires are traditionally produced by electrochemical deposition methods using alumina or polycarbonate membranes, and their parameters (porosity, size, and arrangement of pores) strongly influence the magnetic properties of nanowires. However, very often, the effect that cannot be neglected during synthesis is overdeposition. The influence of overdeposition on the magnetic properties of nanowires is often overlooked, but it can strongly alter the magnetic behavior of the system. In this study, we use micromagnetic simulations to investigate how different levels of overdeposition affect the hysteretic behavior of nanowires and their magnetization switching mechanism. It was shown that the formation of hemispherical caps on the ends of the nanowires may alter the out-of-plane magnetic anisotropy of the nanowires and strongly influence the squareness of the hysteresis loop. The demagnetizing field distribution for nanowires with overdeposition was also investigated, showing a strong influence of its spatial distribution change on the reversal mechanism and interaction between nanowires. The obtained results were compared to existing experimental observations, showing good agreement with the magnetic behavior of the system. Performed research can be of great interest to experimental groups, as it highlights the importance of controlling overdeposition during nanowire synthesis and its potential influence on magnetic performance.
Full article

Figure 1
Open AccessPerspective
Nanoscale Lattice Heterostructure in High-Tc Superconductors
by
Annette Bussmann-Holder, Jürgen Haase, Hugo Keller, Reinhard K. Kremer, Sergei I. Mukhin, Alexey P. Menushenkov, Andrei Ivanov, Alexey Kuznetsov, Victor Velasco, Steven D. Conradson, Gaetano Campi and Antonio Bianconi
Condens. Matter 2025, 10(4), 56; https://doi.org/10.3390/condmat10040056 - 30 Oct 2025
Abstract
Low-temperature superconductivity has been known since 1957 to be described by BCS theory for effective single-band metals controlled by the density of states at the Fermi level, very far from band edges, the electron–phonon coupling constant l, and the energy of the boson
[...] Read more.
Low-temperature superconductivity has been known since 1957 to be described by BCS theory for effective single-band metals controlled by the density of states at the Fermi level, very far from band edges, the electron–phonon coupling constant l, and the energy of the boson in the pairing interaction w0, but BCS has failed to predict high-temperature superconductivity in different materials above about 23 K. High-temperature superconductivity above 35 K, since 1986, has been a matter of materials science, where manipulating the lattice complexity of high-temperature superconducting ceramic oxides (HTSCs) has driven materials scientists to grow new HTSC quantum materials up to 138 K in HgBa2Ca2Cu3O8 (Hg1223) at ambient pressure and near room temperature in pressurized hydrides. This perspective covers the major results of materials scientists over the last 39 years in terms of investigating the role of lattice inhomogeneity detected in these new quantum complex materials. We highlight the nanoscale heterogeneity in these complex materials and elucidate their special role played in the physics of HTSCs. Especially, it is highlighted that the geometry of lattice and charge complex heterogeneity at the nanoscale is essential and intrinsic in the mechanism of rising quantum coherence at high temperatures.
Full article
(This article belongs to the Special Issue Superstripes Physics, 4th Edition)
►▼
Show Figures

Figure 1
Open AccessArticle
Photonic Glasses in Ferrofluid Thin Films
by
Alberto Tufaile and Adriana Pedrosa Biscaia Tufaile
Condens. Matter 2025, 10(4), 55; https://doi.org/10.3390/condmat10040055 - 27 Oct 2025
Abstract
►▼
Show Figures
This study investigates the dynamic magneto-optical properties of ferrofluid thin films, focusing on how magnetic fields induce light–matter interactions using a device known as Ferrocell. Our findings reveal that incident light interacts with self-assembled, anisotropic nanoparticle structures, transforming the ferrofluid into a highly
[...] Read more.
This study investigates the dynamic magneto-optical properties of ferrofluid thin films, focusing on how magnetic fields induce light–matter interactions using a device known as Ferrocell. Our findings reveal that incident light interacts with self-assembled, anisotropic nanoparticle structures, transforming the ferrofluid into a highly responsive optical medium. Monochromatic laser experiments confirmed the direct correlation between laser color and diffracted light color offering direct insights into particle orientation and aggregate morphology. We observed significant chromatic shifts, especially in regions under strong perpendicular magnetic fields, which provide compelling evidence of structural colors. This phenomenon stems from wavelength-selective interference and diffraction, reminiscent of photonic crystal behavior, yet characterized by short-range order, classifying the material as a photonic glass.
Full article

Figure 1
Open AccessEditorial
Breakthroughs in Interdisciplinary Research with High-Energy Accelerators by Guido Barbiellini
by
Antonio Bianconi
Condens. Matter 2025, 10(4), 54; https://doi.org/10.3390/condmat10040054 - 24 Oct 2025
Abstract
The National Laboratories in Frascati (LNF INFN) were conceived and created by a group of collaborators of Enrico Fermi, including Edoardo Amaldi, Gilberto Bernardini, and Enrico Persico, after World War II, with the goal of hosting a 1 GeV electron synchrotron for nuclear
[...] Read more.
The National Laboratories in Frascati (LNF INFN) were conceived and created by a group of collaborators of Enrico Fermi, including Edoardo Amaldi, Gilberto Bernardini, and Enrico Persico, after World War II, with the goal of hosting a 1 GeV electron synchrotron for nuclear physics [...]
Full article
(This article belongs to the Special Issue The Universe Observed With Particle Detectors: Celebrating the Scientific Legacy of Prof. Guido Barbiellini Amidei)
►▼
Show Figures

Figure 1
Open AccessArticle
Exploring Low Energy Excitations in the d5 Iridate Double Perovskites La2BIrO6 (B = Zn, Mg)
by
Abhisek Bandyopadhyay, Dheeraj Kumar Pandey, Carlo Meneghini, Anna Efimenko, Marco Moretti Sala and Sugata Ray
Condens. Matter 2025, 10(4), 53; https://doi.org/10.3390/condmat10040053 - 6 Oct 2025
Abstract
We experimentally investigate the structural, magnetic, transport, and electronic properties of two d5 iridate double perovskite materials La2BIrO6 (B = Mg, Zn). Notably, despite similar crystallographic structure, the two compounds show distinctly different magnetic behaviors. The M
[...] Read more.
We experimentally investigate the structural, magnetic, transport, and electronic properties of two d5 iridate double perovskite materials La2BIrO6 (B = Mg, Zn). Notably, despite similar crystallographic structure, the two compounds show distinctly different magnetic behaviors. The M = Mg compound shows an antiferromagnetic-like linear field-dependent isothermal magnetization below its transition temperature, whereas the M = Zn counterpart displays a clear hysteresis loop followed by a noticeable coercive field, indicative of ferromagnetic components arising from a non-collinear Ir spin arrangement. The local structure studies authenticate perceptible M/Ir antisite disorder in both systems, which complicates the magnetic exchange interaction scenario by introducing Ir-O-Ir superexchange pathways in addition to the nominal Ir-O-B-O-Ir super-superexchange interactions expected for an ideally ordered structure. While spin–orbit coupling (SOC) plays a crucial role in establishing insulating behavior for both these compounds, the rotational and tilting distortions of the IrO6 (and MO6) octahedral units further lift the ideal cubic symmetry. Finally, by measuring the Ir-L3 edge resonant inelastic X-ray scattering (RIXS) spectra for both the compounds, giving evidence of spin–orbit-derived low-energy inter-J-state (intra t2g) transitions (below ~1 eV), the charge transfer (O 2p → Ir 5d), and the crystal field (Ir t2g → eg) excitations, we put forward a qualitative argument for the interplay among effective SOC, non-cubic crystal field, and intersite hopping in these two compounds.
Full article
(This article belongs to the Section Quantum Materials)
►▼
Show Figures

Figure 1
Open AccessArticle
Impact of Molecular π-Bridge Modifications on Triphenylamine-Based Donor Materials for Organic Photovoltaic Solar Cells
by
Duvalier Madrid-Úsuga, Omar J. Suárez and Alfonso Portacio
Condens. Matter 2025, 10(4), 52; https://doi.org/10.3390/condmat10040052 - 25 Sep 2025
Abstract
This study presents a computational investigation into the design of triphenylamine-based donor chromophores incorporating 2-(1,1-dicyanomethylene)rhodanine as the acceptor unit. Three molecular architectures (System-1 to System-3) were developed by introducing distinct thiophene-derived -bridges to modulate their electronic and optical characteristics for potential application
[...] Read more.
This study presents a computational investigation into the design of triphenylamine-based donor chromophores incorporating 2-(1,1-dicyanomethylene)rhodanine as the acceptor unit. Three molecular architectures (System-1 to System-3) were developed by introducing distinct thiophene-derived -bridges to modulate their electronic and optical characteristics for potential application in bulk heterojunction organic solar cells (OSCs). Geometrical optimizations were performed at the B3LYP/6-31+G(d,p) level, while excited-state and absorption properties were evaluated using TD-DFT with the CAM-B3LYP functional. Frontier orbital analysis revealed efficient charge transfer from donor to acceptor moieties, with System-3 showing the narrowest HOMO–LUMO gap (1.96 eV) and the lowest excitation energy (2.968 eV). Charge transport properties, estimated from reorganization energies, indicated that System-2 exhibited the most favorable balance for ambipolar transport, featuring the lowest electron reorganization energy (0.317 eV) and competitive hole mobility. Photovoltaic parameters calculated with PC61BM as acceptor predicted superior , , and fill factor values for System-2, resulting in the highest theoretical power conversion efficiency (10.95%). These findings suggest that -bridge engineering in triphenylamine-based systems can significantly enhance optoelectronic performance, offering promising donor materials for next-generation OSC devices.
Full article
(This article belongs to the Section Condensed Matter Theory)
►▼
Show Figures

Figure 1
Open AccessArticle
Role of the Electron–Phonon Interaction in the Superconductivity of the 2-Dimensional Sn/Si(111) Interface
by
Fernando Flores, Daniel G. Trabada, Álvaro Martín-Rodero and José Ortega
Condens. Matter 2025, 10(3), 51; https://doi.org/10.3390/condmat10030051 - 15 Sep 2025
Abstract
In order to elucidate the mechanism creating superconductivity in the 2-dimensional layer of a p-doped Sn/Si(111) surface, we have analyzed the many-body effects associated with the electron-phonon (e-ph) coupling and the electron–electron interaction. First, we have calculated the DFT surface band of the
[...] Read more.
In order to elucidate the mechanism creating superconductivity in the 2-dimensional layer of a p-doped Sn/Si(111) surface, we have analyzed the many-body effects associated with the electron-phonon (e-ph) coupling and the electron–electron interaction. First, we have calculated the DFT surface band of the system and the coupling associated with the different interactions. In our calculations we find a mean field (DFT) electron bandwidth of 0.54 eV, an attractive coupling eV associated with the e-ph coupling and an effective electron–electron Hubbard repulsion of eV. Then, we analyze the Hubbard Hamiltonian, neglecting in this step the e-ph coupling that is much smaller than the Hubbard coupling, by considering a p-doping in this Hamiltonian of 10%; by means of a Dynamical Mean Field (DMF) approach combined with an interpolative calculation for the self-energy, we deduce the local density of states (DOS) and show that the quasi-particle DOS induced by the doping is not large enough to induce magnetism in the Sn-monolayer. This leads us to analyze the possibility of having superconductivity by considering the attractive interaction induced by the e-ph coupling within an appropriate BCS-Hamiltonian. Our calculations show that the quasiparticle metallic system has a superconductivity critical temperature of ≈7–9 K, in good agreement with experiments.
Full article
(This article belongs to the Special Issue New Advances in Condensed Matter Physics, 2nd Edition)
►▼
Show Figures

Figure 1
Open AccessArticle
Geometry-Driven Tunability of Edge States in Topological Core–Shell Nanowires
by
Nicolás Legnazzi and Omar Osenda
Condens. Matter 2025, 10(3), 50; https://doi.org/10.3390/condmat10030050 - 13 Sep 2025
Abstract
►▼
Show Figures
The study of new nanoscopic heterostructures composed of different materials follows the idea that the presence of boundary conditions, interfaces and combinations of materials will produce appropriate spectral properties or quantum states, resulting in new devices. Here, we present a detailed study of
[...] Read more.
The study of new nanoscopic heterostructures composed of different materials follows the idea that the presence of boundary conditions, interfaces and combinations of materials will produce appropriate spectral properties or quantum states, resulting in new devices. Here, we present a detailed study of two kinds of nanowires formed using topological insulators. First, we consider cylindrical nanowires with a cylindrical core of constant radius along the wire, covered by a shell of uniform width. The core and the shell materials are different topological insulators. We thoroughly study the spectra of distinct wires, considering combinations of materials and sizes of the core and shell radii. We also study the expectation values of the spin operators. Then, we consider wires with only a cylindrical shell. For this case, we pay special attention to the limit when the width of the shell is approximately an order of magnitude smaller than the inner and outer radii of the shell. As we use a high-accuracy variational method to obtain the spectra and quantum states, we also study information-like quantities such as the fidelity and quantum entropy of the topological and normal states of the wires.
Full article

Figure 1
Open AccessArticle
The Superconducting Properties of Elemental Pb Under Pressure
by
Shu-Ke Xuan, Yuan-Fang Yue, Xiao-Ming Li and Xun-Wang Yan
Condens. Matter 2025, 10(3), 49; https://doi.org/10.3390/condmat10030049 - 12 Sep 2025
Abstract
Based on first-principles calculations, we systematically investigate the crystal structure, electronic structure, and superconductivity of metallic lead under pressure. The results show that with the increase of pressure, the crystal structure of lead evolves from face-centered cubic (fcc) to hexagonal close-packed (hcp) and
[...] Read more.
Based on first-principles calculations, we systematically investigate the crystal structure, electronic structure, and superconductivity of metallic lead under pressure. The results show that with the increase of pressure, the crystal structure of lead evolves from face-centered cubic (fcc) to hexagonal close-packed (hcp) and then to body-centered cubic (bcc). In different crystal structure phases, the variation laws of electronic structure and superconducting properties with pressure are studied. It is found that the superconducting transition temperature decreases with the increase of pressure in fcc, hcp, and bcc phases. The physical mechanism for this change is explained. The calculation results indicate that elemental metallic lead remains metallic with the increase of pressure, but the electron density of states at the Fermi level decreases, leading to the decrease of the electron-phonon coupling constant ( ) and superconducting transition temperature ( ) from 7.1 K to 0.04 K. In addition, with the increase of pressure, there is no phenomenon of s electrons transforming into d electrons, which is different from the superconducting behavior of zirconium metal under pressure. These studies explain the superconductivity of elemental metallic lead under high pressure and provide theoretical support for the experiments and applications of lead-based superconductors.
Full article
(This article belongs to the Section Superconductivity)
►▼
Show Figures

Figure 1
Open AccessArticle
The Response of a Linear, Homogeneous and Isotropic Dielectric and Magnetic Sphere Subjected to an External Field, DC or Low-Frequency AC, of Any Form
by
Dimosthenis Stamopoulos
Condens. Matter 2025, 10(3), 48; https://doi.org/10.3390/condmat10030048 - 1 Sep 2025
Cited by 1
Abstract
►▼
Show Figures
Maxwell’s equations epitomize our knowledge of standard electromagnetic theory in vacuums and matter. Here, we report the clearcut results of an extensive, ongoing investigation aiming to mathematically digest Maxwell’s equations in virtually all problems based on the three standard building units, dielectric and
[...] Read more.
Maxwell’s equations epitomize our knowledge of standard electromagnetic theory in vacuums and matter. Here, we report the clearcut results of an extensive, ongoing investigation aiming to mathematically digest Maxwell’s equations in virtually all problems based on the three standard building units, dielectric and magnetic, found in practice (i.e., spheres, cylinders and plates). Specifically, we address the static/quasi-static case of a linear, homogeneous and isotropic dielectric and magnetic sphere subjected to a DC/low-frequency AC external scalar potential, (vector field, ), of any form, produced by a primary/free source residing outside the sphere. To this end, we introduce an expansion-based mathematical strategy that enables us to obtain immediate access to the response of the dielectric and magnetic sphere, i.e., to the internal scalar potential, (vector field, ), produced by the induced secondary/bound source. Accordingly, the total scalar potential, = + (vector field, = + ), is immediately accessible as well. Our approach provides ready-to-use expressions for and ( and ) in all space, i.e., both inside and outside the dielectric and magnetic sphere, applicable for any form of (). Using these universal expressions, we can obtain and ( and ) in essentially one step, without the need to solve each particular problem of different () every time from scratch. The obtained universal relation between and ( and ) provides a means to tailor the responses of dielectric and magnetic spheres at all instances, thus facilitating applications. Our approach surpasses conventional mathematical procedures that are employed to solve analytically addressable problems of electromagnetism.
Full article

Figure 1
Open AccessPerspective
Very High-Energy Cosmic Ray Particles from the Kerr Black Hole at the Galaxy Center
by
Orlando Panella, Simone Pacetti, Giorgio Immirzi and Yogendra Srivastava
Condens. Matter 2025, 10(3), 47; https://doi.org/10.3390/condmat10030047 - 23 Aug 2025
Abstract
After a just tribute to Guido Barbiellini, we show how the notion of a maximum force ( Newtons) present on the event horizon of a black hole (BH) can be
[...] Read more.
After a just tribute to Guido Barbiellini, we show how the notion of a maximum force ( Newtons) present on the event horizon of a black hole (BH) can be used in conjunction with the Wilson area rule to obtain the surface confinement of the mass of a BH analogous to the surface confinement of quarks. This is then translated into the central result of the paper that PeV scale protons exist on the surface of the Kerr BH residing at our galactic center, a result in complete agreement with the HAWC Collaboration result of a Pevatron at the galactic center. We conjecture that the supermassive BHs present at the center of most galaxies are not born out of a galactic collapse but that they must have been present since the formation of their hosting galaxy.
Full article
(This article belongs to the Special Issue The Universe Observed With Particle Detectors: Celebrating the Scientific Legacy of Prof. Guido Barbiellini Amidei)
Open AccessArticle
Beyond Wave-Nature Signatures: h-Independent Transport in Strongly-Scattering Quasi-2D Quantum Channels
by
Er’el Granot
Condens. Matter 2025, 10(3), 46; https://doi.org/10.3390/condmat10030046 - 14 Aug 2025
Abstract
The Landauer-Büttiker formalism provides a fundamental framework for mesoscopic transport, typically expressing conductance in units of the quantum of conductance, e2/h. Here, we present a theoretical study of electron transport in a quasi two-dimensional (2D) quantum wire. This system
[...] Read more.
The Landauer-Büttiker formalism provides a fundamental framework for mesoscopic transport, typically expressing conductance in units of the quantum of conductance, e2/h. Here, we present a theoretical study of electron transport in a quasi two-dimensional (2D) quantum wire. This system features a wide transverse confinement and a longitudinal, high-energy, narrow potential barrier. The derivation, performed within the Landauer framework, yields an analytical expression for the total conductance that is explicitly independent of Planck’s constant (h). Instead, the conductance is found to depend solely on the Fermi energy, the electron effective mass, the wire width, and the effective barrier strength. We interpret this as an emergent phenomenon where the explicit signature of the electron’s wave-like nature, commonly manifest through Planck’s constant (h) in the overall scaling of conductance, is effectively absorbed within the energy- and geometry-dependent sum of transmission probabilities. This allows the conductance to be primarily governed by the Fermi energy, representing a ‘state-counting’ quantum parameter rather than more wave-like characteristic.
Full article
(This article belongs to the Section Quantum Materials)
►▼
Show Figures

Figure 1
Open AccessArticle
The Solution to Hardy’s Paradox
by
Ivan Arraut
Condens. Matter 2025, 10(3), 45; https://doi.org/10.3390/condmat10030045 - 10 Aug 2025
Abstract
By using both the weak-value formulation as well as the standard probabilistic approach, we analyze Hardy’s experiment introducing a complex and dimensionless parameter ( ), which eliminates the assumption of complete annihilation when both the electron and the positron departing from a
[...] Read more.
By using both the weak-value formulation as well as the standard probabilistic approach, we analyze Hardy’s experiment introducing a complex and dimensionless parameter ( ), which eliminates the assumption of complete annihilation when both the electron and the positron departing from a common origin cross the intersection point P. We then find that the paradox does not exist for all the possible values taken by the parameter. The apparent paradox only appears when , which is just a singular value. In this paper we demonstrate that this particular value is forbidden inside the scenario proposed by the experiment.
Full article
(This article belongs to the Section Condensed Matter Theory)
►▼
Show Figures

Figure 1
Open AccessArticle
Effect of Surface Passivation on the Quasi-Two-Dimensional Perovskite X2Cs(n−1) PbnI(3n+1)
by
Min Li, Haoyan Zheng, Xianliang Ke, Dawei Zhang and Jie Huang
Condens. Matter 2025, 10(3), 44; https://doi.org/10.3390/condmat10030044 - 9 Aug 2025
Abstract
►▼
Show Figures
The two-dimensional (2D) Ruddlesden–Popper perovskite exhibits superior chemical stability but suffers from compromised photoelectric properties due to the van der Waals gap. This study presents a novel investigation of surface passivation effects on quasi-2D perovskite X2Csn−1PbnI3n+1
[...] Read more.
The two-dimensional (2D) Ruddlesden–Popper perovskite exhibits superior chemical stability but suffers from compromised photoelectric properties due to the van der Waals gap. This study presents a novel investigation of surface passivation effects on quasi-2D perovskite X2Csn−1PbnI3n+1 (n = 1–6; X = MA, FA, PEA) using DFT methods, revealing three key advances: First, we demonstrate that organic cation passivation (MA+, FA+, PEA+) enables exceptional stability improvements, with FA-passivated structures showing optimal stability—a crucial finding for materials design. Second, we identify a critical thickness effect (n > 3) where bandgaps converge to <1.6 eV (approaching bulk values) while maintaining strong absorption, establishing the minimum layer requirement for optimal performance. Third, we reveal that effective masses balance and absorption strengthens significantly when n > 3. These fundamental insights provide a transformative strategy to simultaneously enhance both stability and optoelectronic properties in quasi-2D perovskites.
Full article

Figure 1
Open AccessEssay
Beyond Space and Time: Quantum Superposition as a Real-Mental State About Choices
by
Antoine Suarez
Condens. Matter 2025, 10(3), 43; https://doi.org/10.3390/condmat10030043 - 6 Aug 2025
Abstract
This contribution aims to honour Guido Barbiellini’s profound interest in the interpretation and impact of quantum mechanics by examining the implications of the so-called before–before Experiment on quantum entanglement. This experiment was inspired by talks and discussions with John Bell at CERN. This
[...] Read more.
This contribution aims to honour Guido Barbiellini’s profound interest in the interpretation and impact of quantum mechanics by examining the implications of the so-called before–before Experiment on quantum entanglement. This experiment was inspired by talks and discussions with John Bell at CERN. This was during the years when John and Guido co-worked, promoting the mission of the laboratory: “to advance the boundaries of human knowledge”. As the experiment uses measuring devices in motion, it can be considered a complement to entanglement experiments using stationary measuring devices, which have meanwhile been awarded the 2022 Nobel Prize in Physics. The before–before Experiment supports the idea that the quantum realm exists beyond space and time and that the quantum state is a real mental entity concerning choices. As it also leads us to a better understanding of the ‘quantum collapse’ and the measurement process, we pay homage to Guido’s work on detectors, such as his collaborations on the DELPHI experiment at CERN, on cosmic ray detection at the International Space Station, and gamma-ray astrophysics during a large NASA space mission.
Full article
(This article belongs to the Special Issue The Universe Observed With Particle Detectors: Celebrating the Scientific Legacy of Prof. Guido Barbiellini Amidei)
Journal Menu
► ▼ Journal Menu-
- Condensed Matter Home
- Aims & Scope
- Editorial Board
- Reviewer Board
- Topical Advisory Panel
- Instructions for Authors
- Special Issues
- Topics
- Sections
- Article Processing Charge
- Indexing & Archiving
- Editor’s Choice Articles
- Most Cited & Viewed
- Journal Statistics
- Journal History
- Conferences
- Editorial Office
Journal Browser
► ▼ Journal BrowserHighly Accessed Articles
Latest Books
E-Mail Alert
News
Topics
Conferences
Special Issues
Special Issue in
Condensed Matter
Disorder Engineering in Quantum Materials
Guest Editor: Mihail CroitoruDeadline: 31 March 2026
Special Issue in
Condensed Matter
Selected Papers from the 3-Day International Conference on Materials Science (3D-ICOMAS)
Guest Editors: Norbert Nickel, Adriano Bernardin, Sławomir KaczmarekDeadline: 31 March 2026
Special Issue in
Condensed Matter
Flexible Matter for Electronics, Photonics, and Energy Conversion
Guest Editors: Wenke Xie, Xu XiaoDeadline: 31 March 2026
Special Issue in
Condensed Matter
Tuning Metal–Organic Frameworks for Enhanced Functional Performance
Guest Editor: Fatemeh KeshavarzDeadline: 31 March 2026






