Understory Limits Surface Runoff and Soil Loss in Teak Tree Plantations of Northern Lao PDR
Abstract
1. Introduction
2. Materials and Methods
2.1. Study Area and Experimental Plots
2.2. Teak Trees and Understory Structure Assessment
2.3. Rainfall Measurements
2.4. Surface Runoff, Soil Loss, and Soil Surface Features Assessment
2.5. Statistical Analysis and Modelling
3. Results
3.1. Rainfall
3.2. Height and Cover of Teak Trees and of Understory
3.3. Soil Surface Features and Pedestal Features
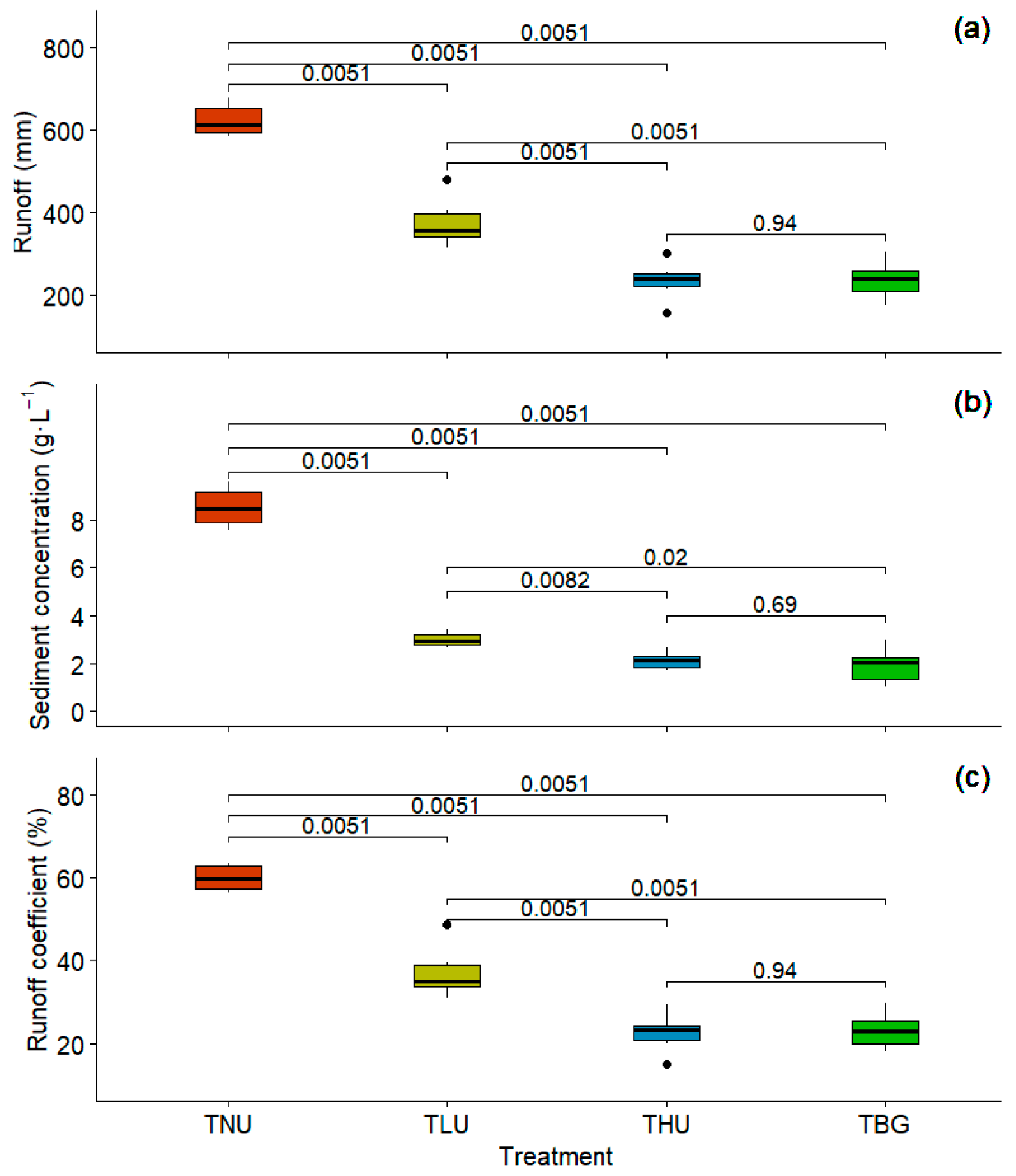
3.4. Relationship between Surface Runoff and Soil Loss across Four Treatments
3.5. Effect of Understory on Soil Loss and Surface Runoff Generation
3.6. Runoff Coefficient and Soil Loss in Relation to Soil Surface Features and Understory Cover
4. Discussion
4.1. Understory Limits Surface Runoff and Soil Erosion
4.2. Broom Grass Grown in Teak Tree Plantations: Agronomic Aspects and Ecosystem Services
4.3. Percentage of Cover of Pedestal Features: An Indicator of Soil Erosion
5. Conclusions
- Understory cover acts as an umbrella that protects soil surface from rain splash despite the height of teak trees and the large size of their leaves which contribute to produce raindrops of high kinetic energy. Teak tree plantation owners could divide soil loss by 14 by keeping understory, such as broom grass, within teak tree plantations. Hence, growing understory under teak trees is a mitigation management practice that can be reliably promoted to limit surface runoff and soil erosion.
- Residues from both teak tree leaves and understory not only protect the soil but also enhance the infiltrability of water into the soil. In contrast, the main driver of surface runoff and soil erosion is the percentage of crusted area.
- Understory such as broom grass provides several benefits to the relevant stakeholders in the area, in terms of incomes and ecosystem services. For example, the farmers can sell the brooms made from broom grass.
- The percentage of cover of pedestal features appears as a good indicator of soil erosion that farmers and teak tree plantations owners could easily use to assess the degradation of their land.
Supplementary Materials
Author Contributions
Funding
Acknowledgments
Conflicts of Interest
References
- Gerstengarbe, F.W.; Werner, P.C. Precipitation Pattern. In Encyclopedia of Ecology; Jørgensen, S.E., Fath, B.D., Eds.; Elsevier Science: Amsterdam, The Netherlands, 2008; pp. 2916–2923. [Google Scholar] [CrossRef]
- Descroix, L.; González Barrios, J.L.; Viramontes, D.; Poulenard, J.; Anaya, E.; Esteves, M.; Estrada, J. Gully and sheet erosion on subtropical mountain slopes: Their respective roles and the scale effect. Catena 2008, 72, 325–339. [Google Scholar] [CrossRef]
- Valentin, C.; Agus, F.; Alamban, R.; Boosaner, A.; Bricquet, J.-P.; Chaplot, V.; De Guzman, T.; De Rouw, A.; Janeau, J.-L.; Orange, D. Runoff and sediment losses from 27 upland catchments in Southeast Asia: Impact of rapid land use changes and conservation practices. Agric. Ecosyst. Environ. 2008, 128, 225–238. [Google Scholar] [CrossRef]
- Nandi, A.; Luffman, I. Erosion related changes to physicochemical properties of Ultisols distributed on calcareous sedimentary rocks. J. Sustain. Dev. 2012, 5, 52. [Google Scholar] [CrossRef]
- Valentin, C.; Rajot, J.L. Erosion and Principles of Soil Conservation. In Soils as a Key Component of the Critical Zone 5: Degradation and Rehabilitation; Johns Hopkins University Press: Baltimore, MD, USA, 2018; Volume 5, pp. 39–82. [Google Scholar]
- Sartori, M.; Philippidis, G.; Ferrari, E.; Borrelli, P.; Lugato, E.; Montanarella, L.; Panagos, P. A linkage between the biophysical and the economic: Assessing the global market impacts of soil erosion. Land Use Policy 2019, 86, 299–312. [Google Scholar] [CrossRef]
- Panagos, P.; Borrelli, P.; Poesen, J.; Ballabio, C.; Lugato, E.; Meusburger, K.; Montanarella, L.; Alewell, C. The new assessment of soil loss by water erosion in Europe. Environ. Sci. Policy 2015, 54, 438–447. [Google Scholar] [CrossRef]
- Pimentel, D.; Burgess, M. Soil erosion threatens food production. Agriculture 2013, 3, 443–463. [Google Scholar] [CrossRef]
- Pimentel, D. Soil erosion: A food and environmental threat. Environ. Dev. Sustain. 2006, 8, 119–137. [Google Scholar] [CrossRef]
- Owens, P.; Batalla, R.; Collins, A.; Gomez, B.; Hicks, D.; Horowitz, A.; Kondolf, G.; Marden, M.; Page, M.; Peacock, D. Fine-grained sediment in river systems: Environmental significance and management issues. River. Res. Appl. 2005, 21, 693–717. [Google Scholar] [CrossRef]
- Yuan, S.; Tang, H.; Xiao, Y.; Xia, Y.; Melching, C.; Li, Z. Phosphorus Contamination of the Surface Sediment at a River Confluence. J. Hydrol. 2019, 573, 568–580. [Google Scholar] [CrossRef]
- Chartin, C.; Evrard, O.; Onda, Y.; Patin, J.; Lefèvre, I.; Ottlé, C.; Ayrault, S.; Lepage, H.; Bonté, P. Tracking the early dispersion of contaminated sediment along rivers draining the Fukushima radioactive pollution plume. Anthropocene 2013, 1, 23–34. [Google Scholar] [CrossRef]
- Turner, J.N.; Brewer, P.A.; Macklin, M.G. Fluvial-controlled metal and As mobilisation, dispersal and storage in the Rio Guadiamar, SW Spain and its implications for long-term contaminant fluxes to the Donana wetlands. Sci. Total. Environ. 2008, 394, 144–161. [Google Scholar] [CrossRef] [PubMed]
- Domagalski, J.L.; Kuivila, K.M. Distributions of pesticides and organic contaminants between water and suspended sediment, San Francisco Bay, California. Estuaries 1993, 16, 416–426. [Google Scholar] [CrossRef]
- Gateuille, D.; Evrard, O.; Lefevre, I.; Moreau-Guigon, E.; Alliot, F.; Chevreuil, M.; Mouchel, J.M. Mass balance and decontamination times of Polycyclic Aromatic Hydrocarbons in rural nested catchments of an early industrialized region (Seine River basin, France). Sci. Total. Environ. 2014, 470, 608–617. [Google Scholar] [CrossRef] [PubMed]
- Ribolzi, O.; Cuny, J.; Sengsoulichanh, P.; Mousques, C.; Soulileuth, B.; Pierret, A.; Huon, S.; Sengtaheuanghoung, O. Land use and water quality along a Mekong tributary in northern Lao P.D.R. Environ. Manag. 2011, 47, 291–302. [Google Scholar] [CrossRef] [PubMed]
- Boithias, L.; Choisy, M.; Souliyaseng, N.; Jourdren, M.; Quet, F.; Buisson, Y.; Thammahacksa, C.; Silvera, N.; Latsachack, K.; Sengtaheuanghoung, O.; et al. Hydrological Regime and Water Shortage as Drivers of the Seasonal Incidence of Diarrheal Diseases in a Tropical Montane Environment. PLoS. Negl. Trop. Dis. 2016, 10, e0005195. [Google Scholar] [CrossRef] [PubMed]
- Kim, M.; Boithias, L.; Cho, K.H.; Sengtaheuanghoung, O.; Ribolzi, O. Modeling the Impact of Land Use Change on Basin-scale Transfer of Fecal Indicator Bacteria: SWAT Model Performance. J. Environ. Qual. 2018, 47, 1115–1122. [Google Scholar] [CrossRef]
- Thothong, W.; Huon, S.; Janeau, J.-L.; Boonsaner, A.; de Rouw, A.; Planchon, O.; Bardoux, G.; Parkpian, P. Impact of land use change and rainfall on sediment and carbon accumulation in a water reservoir of North Thailand. Agric. Ecosyst. Environ. 2011, 140, 521–533. [Google Scholar] [CrossRef]
- Zarris, D.; Vlastara, M.; Panagoulia, D. Sediment Delivery Assessment for a Transboundary Mediterranean Catchment: The Example of Nestos River Catchment. Water Resour. Manag. 2011, 25, 3785. [Google Scholar] [CrossRef]
- Efthimiou, N.; Lykoudi, E.; Panagoulia, D.; Karavitis, C. Assessment of soil susceptibility to erosion using the EPM and RUSLE Models: The case of Venetikos River Catchment. Global NEST J. 2016, 18, 164–179. [Google Scholar]
- Sidle, R.C.; Ziegler, A.D.; Negishi, J.N.; Nik, A.R.; Siew, R.; Turkelboom, F. Erosion processes in steep terrain—Truths, myths, and uncertainties related to forest management in Southeast Asia. For. Ecol. Manag. 2006, 224, 199–225. [Google Scholar] [CrossRef]
- Patin, J.; Mouche, E.; Ribolzi, O.; Chaplot, V.; Sengtahevanghoung, O.; Latsachak, K.O.; Soulileuth, B.; Valentin, C. Analysis of runoff production at the plot scale during a long-term survey of a small agricultural catchment in Lao PDR. J. Hydrol. 2012, 426, 79–92. [Google Scholar] [CrossRef]
- Ziegler, A.D.; Giambelluca, T.W.; Tran, L.T.; Vana, T.T.; Nullet, M.A.; Fox, J.; Vien, T.D.; Pinthong, J.; Maxwell, J.F.; Evett, S. Hydrological consequences of landscape fragmentation in mountainous northern Vietnam: Evidence of accelerated overland flow generation. J. Hydrol. 2004, 287, 124–146. [Google Scholar] [CrossRef]
- Ziegler, A.D.; Giambelluca, T.W.; Nullet, M.A.; Sutherland, R.A.; Tantasarin, C.; Vogler, J.B.; Negishi, J.N. Throughfall in an evergreen-dominated forest stand in northern Thailand: Comparison of mobile and stationary methods. Agric. For. Meteorol. 2009, 149, 373–384. [Google Scholar] [CrossRef]
- Valentin, C. (Ed.) Soil Surface Crusting of Soil and Water Harvesting. In Soils as a Key Component of the Critical Zone 5: Degradation and Rehabilitation; John Wiley & Sons: New York, NY, USA, 2018; Volume 5, pp. 21–38. [Google Scholar]
- Goebes, P.; Seitz, S.; Kühn, P.; Li, Y.; Niklaus, P.A.; Oheimb, G.v.; Scholten, T. Throughfall kinetic energy in young subtropical forests: Investigation on tree species richness effects and spatial variability. Agric. For. Meteorol. 2015, 213, 148–159. [Google Scholar] [CrossRef]
- Lacombe, G.; Ribolzi, O.; de Rouw, A.; Pierret, A.; Latsachak, K.; Silvera, N.; Pham Dinh, R.; Orange, D.; Janeau, J.L.; Soulileuth, B.; et al. Contradictory hydrological impacts of afforestation in the humid tropics evidenced by long-term field monitoring and simulation modelling. Hydrol. Earth Syst. Sci. 2016, 20, 2691–2704. [Google Scholar] [CrossRef]
- Ribolzi, O.; Evrard, O.; Huon, S.; de Rouw, A.; Silvera, N.; Latsachack, K.O.; Soulileuth, B.; Lefevre, I.; Pierret, A.; Lacombe, G.; et al. From shifting cultivation to teak plantation: Effect on overland flow and sediment yield in a montane tropical catchment. Sci. Rep. 2017, 7, 3987. [Google Scholar] [CrossRef]
- Lacombe, G.; Valentin, C.; Sounyafong, P.; de Rouw, A.; Soulileuth, B.; Silvera, N.; Pierret, A.; Sengtaheuanghoung, O.; Ribolzi, O. Linking crop structure, throughfall, soil surface conditions, runoff and soil detachment: 10 land uses analyzed in Northern Laos. Sci. Total. Environ. 2018, 616, 1330–1338. [Google Scholar] [CrossRef]
- Patin, J.; Mouche, E.; Ribolzi, O.; Sengtahevanghoung, O.; Latsachak, K.O.; Soulileuth, B.; Chaplot, V.; Valentin, C. Effect of land use on interrill erosion in a montane catchment of Northern Laos: An analysis based on a pluri-annual runoff and soil loss database. J. Hydrol. 2018, 563, 480–494. [Google Scholar] [CrossRef]
- Ribolzi, O.; Patin, J.; Bresson, L.M.; Latsachack, K.O.; Mouche, E.; Sengtaheuanghoung, O.; Silvera, N.; Thiébaux, J.P.; Valentin, C. Impact of slope gradient on soil surface features and infiltration on steep slopes in northern Laos. Geomorphology 2011, 127, 53–63. [Google Scholar] [CrossRef]
- Chaplot, V.; Khampaseuth, X.; Valentin, C.; Bissonnais, Y.L. Interrill erosion in the sloping lands of northern Laos subjected to shifting cultivation. Earth Surf. Process. Landf. 2007, 32, 415–428. [Google Scholar] [CrossRef]
- Vannoppen, W.; Vanmaercke, M.; De Baets, S.; Poesen, J. A review of the mechanical effects of plant roots on concentrated flow erosion rates. Earth Sci. Rev. 2015, 150, 666–678. [Google Scholar] [CrossRef]
- Shinohara, Y.; Otani, S.; Kubota, T.; Otsuki, K.; Nanko, K. Effects of plant roots on the soil erosion rate under simulated rainfall with high kinetic energy. Hydrol. Sci. J. 2016, 61, 2435–2442. [Google Scholar] [CrossRef]
- Roose, E. Land Husbandry: Components and Strategy; FAO: Rome, Italy, 1996. [Google Scholar]
- Ehigiator, O.A.; Anyata, B.U. Effects of land clearing techniques and tillage systems on runoff and soil erosion in a tropical rain forest in Nigeria. J. Environ. Manag. 2011, 92, 2875–2880. [Google Scholar] [CrossRef] [PubMed]
- Cerdà, A.; Rodrigo-Comino, J.; Giménez-Morera, A.; Novara, A.; Pulido, M.; Kapović-Solomun, M.; Keesstra, S.D. Policies can help to apply successful strategies to control soil and water losses. The case of chipped pruned branches (CPB) in Mediterranean citrus plantations. Land Use Policy 2018, 75, 734–745. [Google Scholar] [CrossRef]
- Li, X.; Niu, J.; Xie, B. The effect of leaf litter cover on surface runoff and soil erosion in Northern China. PLoS ONE 2014, 9, e107789. [Google Scholar] [CrossRef]
- Durán Zuazo, V.H.; Martínez, J.R.F.; Pleguezuelo, C.R.R.; Martínez Raya, A.; Rodríguez, B.C. Soil-erosion and runoff prevention by plant covers in a mountainous area (se spain): Implications for sustainable agriculture. Environmentalist 2006, 26, 309–319. [Google Scholar] [CrossRef]
- Poesen, J. Conditions for gully formation in the Belgian loam belt and some ways to control them. In Proceedings of the of Soil Erosion Protection Measures in Europe. Proc. EC Workshop, Freising, Germany, 24–26 May 1988; pp. 39–52. [Google Scholar]
- Valentin, C.; Ruiz Figueroa, J. Effects of kinetic energy and water application rate on the development of crusts in a fine sandy loam soil using sprinkling irrigation and rainfall simulation. Micromorphol. Sols 1987, 401–408. [Google Scholar]
- Van Dijk, A.; Bruijnzeel, L.; Eisma, E. A methodology to study rain splash and wash processes under natural rainfall. Hydrol. Process. 2003, 17, 153–167. [Google Scholar] [CrossRef]
- Neyret, M.; Robain, H.; de Rouw, A.; Janeau, J.-L.; Durand, T.; Kaewthip, J.; Trisophon, K.; Valentin, C. Higher runoff and soil detachment in rubber tree plantations compared to annual cultivation is mitigated by ground cover in steep mountainous Thailand. Catena 2020, 189, 104472. [Google Scholar] [CrossRef]
- Pachas, A.N.A.; Newby, J.C.; Siphommachan, P.; Sakanphet, S.; Dieters, M.J. Broom grass in Lao PDR: A market chain analysis in Luang Prabang Province. For. Trees Livelihoods 2020, 1–18. [Google Scholar] [CrossRef]
- Olson, D.M.; Dinerstein, E.; Wikramanayake, E.D.; Burgess, N.D.; Powell, G.V.N.; Underwood, E.C.; D’amico, J.A.; Itoua, I.; Strand, H.E.; Morrison, J.C.; et al. Terrestrial Ecoregions of the World: A New Map of Life on Earth: A new global map of terrestrial ecoregions provides an innovative tool for conserving biodiversity. Bioscience 2001, 51, 933–938. [Google Scholar] [CrossRef]
- Pachas, A.; Sakanphet, S.; Midgley, S.; Dieters, M. Teak (Tectona grandis) silviculture and research: Applications for smallholders in Lao PDR. Aust. For. 2019, 82, 94–105. [Google Scholar] [CrossRef]
- Casenave, A.; Valentin, C. A runoff capability classification system based on surface features criteria in semi-arid areas of West Africa. J. Hydrol. 1992, 130, 231–249. [Google Scholar] [CrossRef]
- Ribolzi, O.; Lacombe, G.; Pierret, A.; Robain, H.; Sounyafong, P.; de Rouw, A.; Soulileuth, B.; Mouche, E.; Huon, S.; Silvera, N. Interacting land use and soil surface dynamics control groundwater outflow in a montane catchment of the lower Mekong basin. Agric. Ecosyst. Environ. 2018, 268, 90–102. [Google Scholar] [CrossRef]
- Janeau, J.L.; Bricquet, J.P.; Planchon, O.; Valentin, C. Soil crusting and infiltration on steep slopes in northern Thailand. Eur. J. Soil. Sci. 2003, 54, 543–554. [Google Scholar] [CrossRef]
- Valentin, C.; Casenave, A. Infiltration into sealed soils as influenced by gravel cover. Soil Sci. Soc. Am. J. 1992, 56, 1667–1673. [Google Scholar] [CrossRef]
- Lacombe, G.; Ribolzi, O.; de Rouw, A.; Pierret, A.; Latsachak, K.; Silvera, N.; Pham Dinh, R.; Orange, D.; Janeau, J.L.; Soulileuth, B.; et al. Afforestation by natural regeneration or by tree planting: Examples of opposite hydrological impacts evidenced by long-term field monitoring in the humid tropics. Hydrol. Earth Syst. Sci. 2015, 12, 12615–12648. [Google Scholar] [CrossRef]
- Janeau, J.-L.; Gillard, L.-C.; Grellier, S.; Jouquet, P.; Le, T.P.Q.; Luu, T.N.M.; Ngo, Q.A.; Orange, D.; Pham, D.R.; Tran, D.T.; et al. Soil erosion, dissolved organic carbon and nutrient losses under different land use systems in a small catchment in northern Vietnam. Agric. Water Manag. 2014, 146, 314–323. [Google Scholar] [CrossRef]
- Vigiak, O.; Ribolzi, O.; Pierret, A.; Sengtaheuanghoung, O.; Valentin, C. Trapping efficiencies of cultivated and natural riparian vegetation of northern Laos. J. Environ. Qual. 2008, 37, 889–897. [Google Scholar] [CrossRef]
- Valentin, C.; Bresson, L.-M. Morphology, genesis and classification of surface crusts in loamy and sandy soils. Geoderma 1992, 55, 225–245. [Google Scholar] [CrossRef]
- Quinn, G.; Keough, M. Experimental Design and Data Analysis for Biologists; Cambridge University Press: Cambridge, UK, 2002. [Google Scholar]
- Abdi, H. Partial least squares regression and projection on latent structure regression (PLS Regression). Wiley Interdiscip. Rev. Comput. Stat. 2010, 2, 97–106. [Google Scholar] [CrossRef]
- Zaldívar Santamaría, E.; Molina Dagá, D.; Palacios García, A.T. Statistical Modelization of the Descriptor “Minerality” Based on the Sensory Properties and Chemical Composition of Wine. Beverages 2019, 5, 66. [Google Scholar]
- Wold, S. PLS for multivariate linear modeling. Chemom. Methods Mol. Des. 1995, 195–218. [Google Scholar]
- Bu, C.-F.; Wu, S.-F.; Yang, K.-B. Effects of physical soil crusts on infiltration and splash erosion in three typical Chinese soils. Int. J. Sediment Res. 2014, 29, 491–501. [Google Scholar] [CrossRef]
- Fox, D.; Bryan, R.; Fox, C. Changes in pore characteristics with depth for structural crusts. Geoderma 2004, 120, 109–120. [Google Scholar] [CrossRef]
- Neave, M.; Rayburg, S. A field investigation into the effects of progressive rainfall-induced soil seal and crust development on runoff and erosion rates: The impact of surface cover. Geomorphology 2007, 87, 378–390. [Google Scholar] [CrossRef]
- Rey, F.; Ballais, J.-L.; Marre, A.; Rovéra, G. Rôle de la végétation dans la protection contre l’érosion hydrique de surface. C. R. Geosci. 2004, 336, 991–998. [Google Scholar] [CrossRef]
- Angelsen, A.; Kaimowitz, D. Is agroforestry likely to reduce deforestation. In Agroforestry and Biodiversity Conservation in Tropical Landscapes; Schroth, G., Fonseca, G.A.d., Harvey, C.A., Gascon, C., Vasconcelos, H.L., Izac, A.-M.N., Eds.; Island Press: Washington, DC, USA, 2004; pp. 87–106. [Google Scholar]
- Blanco, J.A.; Lo, Y.-H. Forest Ecosystems: More Than Just Trees; BoD–Books on Demand: Norderstedt, Germany, 2012. [Google Scholar]
- Podwojewski, P.; Orange, D.; Jouquet, P.; Valentin, C.; Janeau, J.; Tran, D.T. Land-use impacts on surface runoff and soil detachment within agricultural sloping lands in Northern Vietnam. Catena 2008, 74, 109–118. [Google Scholar] [CrossRef]
- Kosmas, C.; Danalatos, N.; Cammeraat, L.H.; Chabart, M.; Diamantopoulos, J.; Farand, R.; Gutierrez, L.; Jacob, A.; Marques, H.; Martinez-Fernandez, J. The effect of land use on runoff and soil erosion rates under Mediterranean conditions. Catena 1997, 29, 45–59. [Google Scholar] [CrossRef]
- Nouwakpo, S.K.; Weltz, M.A.; Green, C.H.M.; Arslan, A. Combining 3D data and traditional soil erosion assessment techniques to study the effect of a vegetation cover gradient on hillslope runoff and soil erosion in a semi-arid catchment. Catena 2018, 170, 129–140. [Google Scholar] [CrossRef]
- Calder, I.R.; Hall, R.L.; Prasanna, K. Hydrological impact of Eucalyptus plantation in India. J. Hydrol. 1993, 150, 635–648. [Google Scholar] [CrossRef]
- Geißler, C.; Kühn, P.; Böhnke, M.; Bruelheide, H.; Shi, X.; Scholten, T. Splash erosion potential under tree canopies in subtropical SE China. Catena 2012, 91, 85–93. [Google Scholar] [CrossRef]
- Le, H.T.; Rochelle-Newall, E.; Ribolzi, O.; Janeau, J.L.; Huon, S.; Latsachack, K.; Pommier, T. Land use strongly influences soil organic carbon and bacterial community export in runoff in tropical uplands-. Land. Degrad. Dev. 2020, 31, 118–132. [Google Scholar] [CrossRef]
- Fernández-Moya, J.; Alvarado, A.; Forsythe, W.; Ramírez, L.; Algeet-Abarquero, N.; Marchamalo-Sacristán, M. Soil erosion under teak (Tectona grandis Lf) plantations: General patterns, assumptions and controversies. Catena 2014, 123, 236–242. [Google Scholar] [CrossRef]
- Jadidoleslam, N.; Mantilla, R.; Krajewski, W.F.; Goska, R. Investigating the role of antecedent SMAP satellite soil moisture, radar rainfall and MODIS vegetation on runoff production in an agricultural region. J. Hydrol. 2019, 579, 124210. [Google Scholar] [CrossRef]
- Phan Ha, H.A.; Huon, S.; Henry des Tureaux, T.; Orange, D.; Jouquet, P.; Valentin, C.; De Rouw, A.; Tran Duc, T. Impact of fodder cover on runoff and soil erosion at plot scale in a cultivated catchment of North Vietnam. Geoderma 2012, 177, 8–17. [Google Scholar] [CrossRef]
- Santamaría Leandro, F. Evaluación de la Pérdida de Suelo en Plantaciones de Teca, Bajo la Aplicación de Sistemas de Conservación de Suelos en Nicoya, Guanacaste. 1992. Available online: http://www.sidalc.net/cgi-bin/wxis.exe/?IsisScript=rednia.xis&method=post&formato=2&cantidad=1&expresion=mfn=005930 (accessed on 2 February 2019).
- Cao, X.; Song, C.; Xiao, J.; Zhou, Y. The optimal width and mechanism of riparian buffers for storm water nutrient removal in the Chinese eutrophic Lake Chaohu watershed. Water 2018, 10, 1489. [Google Scholar] [CrossRef]
- Koonkhunthod, N.; Sakurai, K.; Tanaka, S. Composition and diversity of woody regeneration in a 37-year-old teak (Tectona grandis L.) plantation in Northern Thailand. For. Ecol. Manag. 2007, 247, 246–254. [Google Scholar] [CrossRef]
- Kumar, D.; Bijalwan, A.; Kalra, A.; Dobriyal, M.J. Effect of shade and organic manure on growth and yield of patchouli [Pogostemon cablin (blanco) benth.] under teak (Tectona grandis lf) based agroforestry system. Indian For. 2016, 142, 1121–1129. [Google Scholar]
- Schroeder, P. Agroforestry systems: Integrated land use to store and conserve carbon. Clim. Res. 1993, 3, 53–60. [Google Scholar] [CrossRef]
- Chitra-Tarak, R.; Ruiz, L.; Dattaraja, H.S.; Kumar, M.M.; Riotte, J.; Suresh, H.S.; McMahon, S.M.; Sukumar, R. The roots of the drought: Hydrology and water uptake strategies mediate forest-wide demographic response to precipitation. J. Ecol. 2018, 106, 1495–1507. [Google Scholar] [CrossRef]
- Balmford, A.; Whitten, T. Who should pay for tropical conservation, and how could the costs be met? Oryx 2003, 37, 238–250. [Google Scholar] [CrossRef]
- Harvey, C.A.; Villalobos, J.A.G. Agroforestry systems conserve species-rich but modified assemblages of tropical birds and bats. Biodivers. Conserv. 2007, 16, 2257–2292. [Google Scholar] [CrossRef]
- Wunderle, J.M., Jr. The role of animal seed dispersal in accelerating native forest regeneration on degraded tropical lands. For. Ecol. Manag. 1997, 99, 223–235. [Google Scholar] [CrossRef]
- Imron, M.; Tantaryzard, M.; Satria, R.; Maulana, I.; Pudyatmoko, S. Understory Avian Community In A Teak Forest Of Cepu, Central Java. J. Trop. For. Sci. 2018, 30, 509–518. [Google Scholar] [CrossRef]
- Perrin, R. Pest management in multiple cropping systems. Agro-Ecosystems 1976, 3, 93–118. [Google Scholar] [CrossRef]
- Monaghan, R.; Smith, L.; Muirhead, R. Pathways of contaminant transfers to water from an artificially-drained soil under intensive grazing by dairy cows. Agric. Ecosyst. Environ. 2016, 220, 76–88. [Google Scholar] [CrossRef]
- Annandale, G.W. Reservoir sedimentation. In Encyclopedia of Hydrological Sciences; Wiley: New York, NY, USA, 2006. [Google Scholar] [CrossRef]
- Boithias, L.; Terrado, M.; Corominas, L.; Ziv, G.; Kumar, V.; Marques, M.; Schuhmacher, M.; Acuna, V. Analysis of the uncertainty in the monetary valuation of ecosystem services—A case study at the river basin scale. Sci. Total. Environ. 2016, 543, 683–690. [Google Scholar] [CrossRef]
- Crowder, B.M. Economic costs of reservoir sedimentation: A regional approach to estimating cropland erosion damage. J. Soil Water Conserv. 1987, 42, 194–197. [Google Scholar]
- McHenry, J.R. RESERVOIR SEDIMENTATION 1. J. Am. Water Resour. Assoc. 1974, 10, 329–337. [Google Scholar] [CrossRef]
- Dang, T.D.; Cochrane, T.A.; Arias, M.E. Quantifying suspended sediment dynamics in mega deltas using remote sensing data: A case study of the Mekong floodplains. Int. J. Appl. Earth Obs. Geoinf. 2018, 68, 105–115. [Google Scholar] [CrossRef]
- Arias, M.E.; Cochrane, T.A.; Kummu, M.; Lauri, H.; Holtgrieve, G.W.; Koponen, J.; Piman, T. Impacts of hydropower and climate change on drivers of ecological productivity of Southeast Asia’s most important wetland. Ecol. Model. 2014, 272, 252–263. [Google Scholar] [CrossRef]
- Bhat, S.A.; Dar, M.U.D.; Meena, R.S. Soil erosion and management strategies. In Sustainable Management of Soil and Environment; Springer: New York, NY, USA, 2019; pp. 73–122. [Google Scholar]
- Ahmad, N.S.B.N.; Mustafa, F.B.; Gideon, D. A systematic review of soil erosion control practices on the agricultural land in Asia. Int. Soil Water Conserv. Res. 2020. [Google Scholar] [CrossRef]










| Treatment | Teak Height (m) | Teak Stem Diameter (cm) | Teak Cover (%) | Tree Density (tree·ha−1) | Teak Age (Years) | Altitude (m) | Slope (%) | Latitude (°) | Longitude (°) |
|---|---|---|---|---|---|---|---|---|---|
| TNU | 22 | 15.3 | 35 | 1200 | 15 | 325 | 39.2 | 19.8577 | 102.21269 |
| TLU | 22 | 17.0 | 30 | 1000 | 18 | 316 | 40.7 | 19.85641 | 102.21202 |
| THU | 20 | 15.4 | 70 | 800 | 15 | 325 | 41.5 | 19.85735 | 102.21237 |
| TBG | 20 | 16.4 | 60 | 1000 | 12 | 358 | 45.5 | 19.85475 | 102.21666 |
| Variables | Rc | Sl | Fa | Fg | Tc | Sc | Ec | Gc | Cha | Res | Wor | Alg | Mos | Ped |
|---|---|---|---|---|---|---|---|---|---|---|---|---|---|---|
| Sl | 0.97 **** | |||||||||||||
| Fa | −0.72 **** | −0.77 **** | ||||||||||||
| Fg | 0.84 **** | 0.86 **** | −0.72 **** | |||||||||||
| Tc | 0.89 **** | 0.90 **** | −0.87 **** | 0.84 **** | ||||||||||
| Sc | 0.89 **** | 0.90 **** | −0.87 **** | 0.83 **** | 0.99 **** | |||||||||
| Ec | 0.62 ** | 0.64 *** | −0.58 ** | 0.44 * | 0.67 *** | 0.66 *** | ||||||||
| Gc | 0.87 **** | 0.90 **** | −0.78 **** | 0.90 **** | 0.91 **** | 0.90 **** | 0.70 *** | |||||||
| Cha | 0.48 * | 0.44 * | −0.39 | 0.32 | 0.52 ** | 0.52 ** | 0.49 * | 0.43 * | ||||||
| Res | −0.87 **** | −0.89 **** | 0.77 **** | −0.88 **** | −0.97 **** | −0.97 **** | −0.66 *** | −0.94 **** | −0.53 ** | |||||
| Wor | −0.47 * | −0.42 * | −0.07 | −0.46 * | −0.27 | −0.27 | −0.15 | −0.37 | −0.13 | 0.39 | ||||
| Alg | 0.55 ** | 0.53 ** | −0.31 | 0.49 * | 0.45 * | 0.45 * | 0.16 | 0.44 * | 0.28 | −0.47 * | −0.23 | |||
| Mos | −0.26 | −0.34 | 0.27 | −0.25 | −0.39 | −0.38 | −0.32 | −0.37 | −0.10 | 0.42 * | 0.26 | −0.13 | ||
| Ped | 0.89 **** | 0.91 **** | −0.80 **** | 0.82 **** | 0.94 **** | 0.94 **** | 0.73 **** | 0.91 **** | 0.54 ** | −0.92 **** | −0.30 | 0.38 | −0.31 | |
| Und | −0.91 **** | −0.93 **** | 0.89 **** | −0.86 **** | −0.98 **** | −0.98 **** | −0.63 ** | −0.91 **** | −0.49 * | 0.95 **** | 0.26 | −0.47 * | 0.36 | −0.92 **** |
© 2020 by the authors. Licensee MDPI, Basel, Switzerland. This article is an open access article distributed under the terms and conditions of the Creative Commons Attribution (CC BY) license (http://creativecommons.org/licenses/by/4.0/).
Share and Cite
Song, L.; Boithias, L.; Sengtaheuanghoung, O.; Oeurng, C.; Valentin, C.; Souksavath, B.; Sounyafong, P.; de Rouw, A.; Soulileuth, B.; Silvera, N.; et al. Understory Limits Surface Runoff and Soil Loss in Teak Tree Plantations of Northern Lao PDR. Water 2020, 12, 2327. https://doi.org/10.3390/w12092327
Song L, Boithias L, Sengtaheuanghoung O, Oeurng C, Valentin C, Souksavath B, Sounyafong P, de Rouw A, Soulileuth B, Silvera N, et al. Understory Limits Surface Runoff and Soil Loss in Teak Tree Plantations of Northern Lao PDR. Water. 2020; 12(9):2327. https://doi.org/10.3390/w12092327
Chicago/Turabian StyleSong, Layheang, Laurie Boithias, Oloth Sengtaheuanghoung, Chantha Oeurng, Christian Valentin, Bounthan Souksavath, Phabvilay Sounyafong, Anneke de Rouw, Bounsamay Soulileuth, Norbert Silvera, and et al. 2020. "Understory Limits Surface Runoff and Soil Loss in Teak Tree Plantations of Northern Lao PDR" Water 12, no. 9: 2327. https://doi.org/10.3390/w12092327
APA StyleSong, L., Boithias, L., Sengtaheuanghoung, O., Oeurng, C., Valentin, C., Souksavath, B., Sounyafong, P., de Rouw, A., Soulileuth, B., Silvera, N., Lattanavongkot, B., Pierret, A., & Ribolzi, O. (2020). Understory Limits Surface Runoff and Soil Loss in Teak Tree Plantations of Northern Lao PDR. Water, 12(9), 2327. https://doi.org/10.3390/w12092327

