Punching up the Fun: A Comparison of Enjoyment and In-Task Valance in Virtual Reality Boxing and Treadmill Running
Abstract
1. Introduction
2. Materials and Methods
2.1. Participants
2.2. Sample Size Calculation
2.3. Procedures
2.4. Virtual Reality Boxing
2.5. MICE
2.6. Measures
2.6.1. The Physical Activity Enjoyment Scale (PACES)
2.6.2. Feeling Scale (FS)
2.6.3. Rating of Perceived Exertion (RPE)
2.6.4. Heart Rate (HR)
2.7. Data Analysis
3. Results
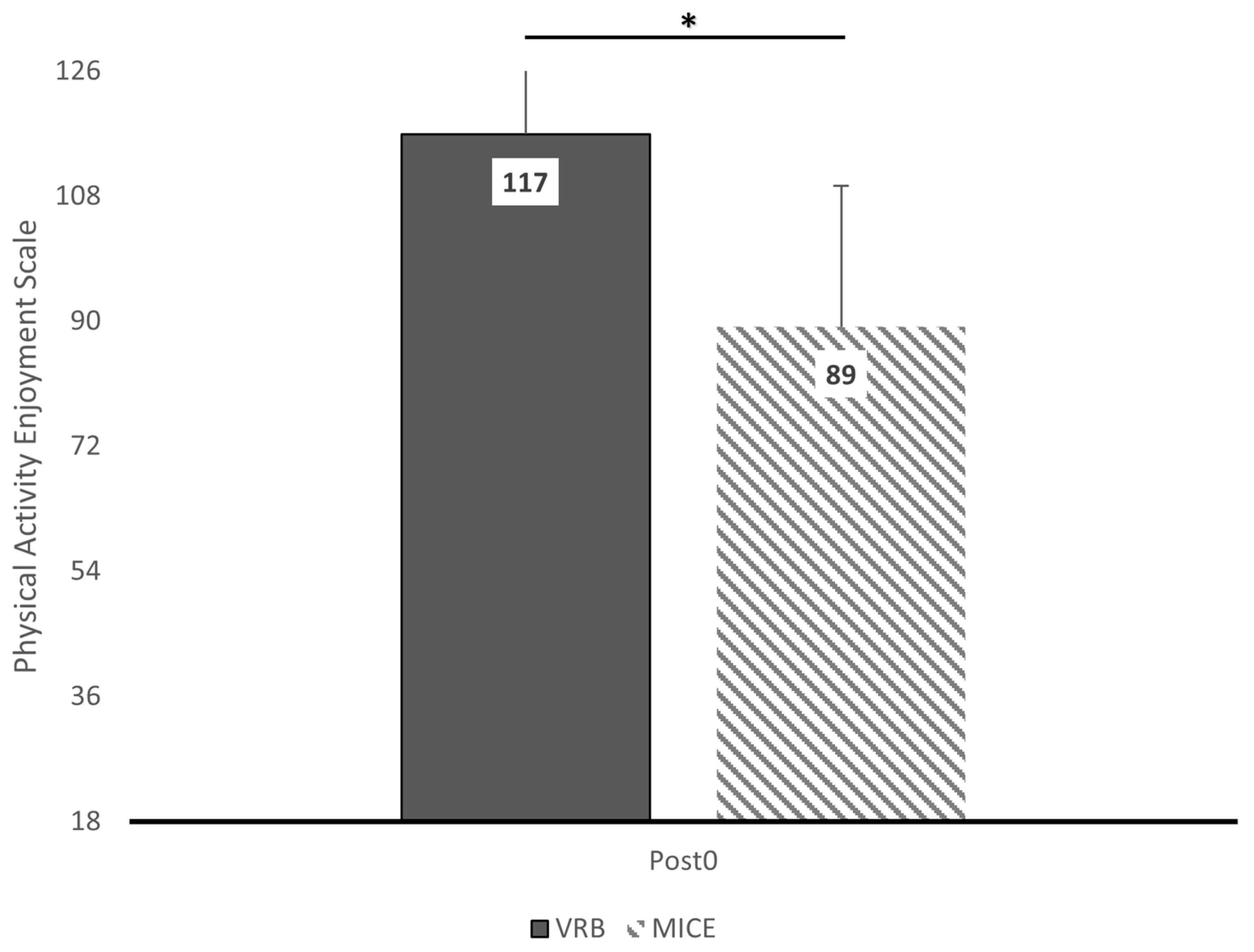
3.1. Enjoyment
3.2. Feeling Scale
3.3. Manipulation Check
4. Discussion
5. Conclusions
Author Contributions
Funding
Institutional Review Board Statement
Informed Consent Statement
Data Availability Statement
Conflicts of Interest
Correction Statement
References
- Martinez, M.W.; Kim, J.H.; Shah, A.B.; Phelan, D.; Emery, M.S.; Wasfy, M.M.; Fernandez, A.B.; Bunch, T.J.; Dean, P.; Danielian, A. Exercise-induced cardiovascular adaptations and approach to exercise and cardiovascular disease: JACC state-of-the-art review. J. Am. Coll. Cardiol. 2021, 78, 1453–1470. [Google Scholar] [CrossRef] [PubMed]
- Magkos, F.; Hjorth, M.F.; Astrup, A. Diet and exercise in the prevention and treatment of type 2 diabetes mellitus. Nat. Rev. Endocrinol. 2020, 16, 545–555. [Google Scholar] [CrossRef] [PubMed]
- Kyu, H.H.; Bachman, V.F.; Alexander, L.T.; Mumford, J.E.; Afshin, A.; Estep, K.; Veerman, J.L.; Delwiche, K.; Iannarone, M.L.; Moyer, M.L. Physical activity and risk of breast cancer, colon cancer, diabetes, ischemic heart disease, and ischemic stroke events: Systematic review and dose-response meta-analysis for the Global Burden of Disease Study 2013. BMJ 2016, 354, i3857. [Google Scholar] [CrossRef] [PubMed]
- Posadzki, P.; Pieper, D.; Bajpai, R.; Makaruk, H.; Könsgen, N.; Neuhaus, A.L.; Semwal, M. Exercise/physical activity and health outcomes: An overview of Cochrane systematic reviews. BMC Public Health 2020, 20, 1724. [Google Scholar] [CrossRef]
- Björkman, F.; Ekblom, Ö. Physical exercise as a treatment for PTSD: A systematic review and meta-analysis. Mil. Med. 2022, 187, e1103–e1113. [Google Scholar] [CrossRef]
- Oppizzi, L.M.; Umberger, R. The Effect of Physical Activity on PTSD. Issues Ment. Health Nurs. 2018, 39, 179–187. [Google Scholar] [CrossRef]
- Morres, I.D.; Hatzigeorgiadis, A.; Stathi, A.; Comoutos, N.; Arpin-Cribbie, C.; Krommidas, C.; Theodorakis, Y. Aerobic exercise for adult patients with major depressive disorder in mental health services: A systematic review and meta-analysis. Depress. Anxiety 2019, 36, 39–53. [Google Scholar] [CrossRef] [PubMed]
- Aylett, E.; Small, N.; Bower, P. Exercise in the treatment of clinical anxiety in general practice—A systematic review and meta-analysis. BMC Health Serv. Res. 2018, 18, 559. [Google Scholar] [CrossRef]
- Abildso, C.G. Prevalence of meeting aerobic, muscle-strengthening, and combined physical activity guidelines during leisure time among adults, by rural-urban classification and region—United States, 2020. MMWR. Morb. Mortal. Wkly. Rep. 2023, 72, 85–89. [Google Scholar] [CrossRef]
- Guthold, R.; Stevens, G.A.; Riley, L.M.; Bull, F.C. Worldwide trends in insufficient physical activity from 2001 to 2016: A pooled analysis of 358 population-based surveys with 1· 9 million participants. Lancet Glob. Health 2018, 6, e1077–e1086. [Google Scholar] [CrossRef]
- Shin, H.-R.; Varghese, C. WHO Western Pacific regional action plan for the prevention and control of NCDs (2014–2020). Epidemiol. Health 2014, 36, e2014007. [Google Scholar] [CrossRef] [PubMed]
- Lee, I.-M.; Shiroma, E.J.; Lobelo, F.; Puska, P.; Blair, S.N.; Katzmarzyk, P.T. Effect of physical inactivity on major non-communicable diseases worldwide: An analysis of burden of disease and life expectancy. Lancet 2012, 380, 219–229. [Google Scholar] [CrossRef] [PubMed]
- Kilpatrick, M.; Hebert, E.; Bartholomew, J. College students’ motivation for physical activity: Differentiating men’s and women’s motives for sport participation and exercise. J. Am. Coll. Health 2005, 54, 87–94. [Google Scholar] [CrossRef] [PubMed]
- Ebben, W.; Brudzynski, L. Motivations and barriers to exercise among college students. J. Exerc. Physiol. Online 2008, 11, 1–11. [Google Scholar]
- Valenzuela, T.; Okubo, Y.; Woodbury, A.; Lord, S.R.; Delbaere, K. Adherence to technology-based exercise programs in older adults: A systematic review. J. Geriatr. Phys. Ther. 2018, 41, 49–61. [Google Scholar] [CrossRef] [PubMed]
- Lyons, E.J.; Tate, D.F.; Ward, D.S.; Bowling, J.M.; Ribisl, K.M.; Kalyararaman, S. Energy expenditure and enjoyment during video game play: Differences by game type. Med. Sci. Sports Exerc. 2011, 43, 1987. [Google Scholar] [CrossRef]
- Lyons, E.J.; Tate, D.F.; Ward, D.S.; Ribisl, K.M.; Bowling, J.M.; Kalyanaraman, S. Engagement, enjoyment, and energy expenditure during active video game play. Health Psychol. 2014, 33, 174. [Google Scholar] [CrossRef]
- McDonough, D.J.; Pope, Z.C.; Zeng, N.; Lee, J.E.; Gao, Z. Comparison of college students’ energy expenditure, physical activity, and enjoyment during exergaming and traditional exercise. J. Clin. Med. 2018, 7, 433. [Google Scholar] [CrossRef] [PubMed]
- Gottfried, J.; Sidoti, O. Teens and video games. Pew Research Center. 2024. Available online: https://www.pewresearch.org/wp-content/uploads/sites/20/2024/05/PI_2024.05.09_Video-Games_REPORT.pdf (accessed on 11 October 2024).
- Ćwil, M.; Howe, W.T. Cross-cultural analysis of gamer identity: A comparison of the United States and Poland. Simul. Gaming 2020, 51, 785–801. [Google Scholar] [CrossRef]
- Kowert, R.; Griffiths, M.D.; Oldmeadow, J.A. Geek or chic? Emerging stereotypes of online gamers. Bull. Sci. Technol. Soc. 2012, 32, 471–479. [Google Scholar] [CrossRef]
- Taylor, T.L. Raising the Stakes: E-Sports and the Professionalization of Computer Gaming; MIT Press: Cambridge, MA, USA, 2012. [Google Scholar]
- Zeng, N.; Pope, Z.; Gao, Z. Acute effect of virtual reality exercise bike games on college students’ physiological and psychological outcomes. Cyberpsychology Behav. Soc. Netw. 2017, 20, 453–457. [Google Scholar] [CrossRef] [PubMed]
- Shaw, L.A.; Wuensche, B.C.; Lutteroth, C.; Buckley, J.; Corballis, P. Evaluating sensory feedback for immersion in exergames. In Proceedings of the Australasian Computer Science Week Multiconference, Geelong, Australia, 30 January–3 February 2017; Volume 11, pp. 1–6. [Google Scholar] [CrossRef]
- Bird, J.M.; Karageorghis, C.I.; Baker, S.J.; Brookes, D.A. Effects of music, video, and 360-degree video on cycle ergometer exercise at the ventilatory threshold. Scand. J. Med. Sci. Sports 2019, 29, 1161–1173. [Google Scholar] [CrossRef] [PubMed]
- Dębska, M.; Polechoński, J.; Mynarski, A.; Polechoński, P. Enjoyment and intensity of physical activity in immersive virtual reality performed on innovative training devices in compliance with recommendations for health. Int. J. Environ. Res. Public Health 2019, 16, 3673. [Google Scholar] [CrossRef]
- Ijaz, K.; Ahmadpour, N.; Wang, Y.; Calvo, R.A. Player experience of needs satisfaction (PENS) in an immersive virtual reality exercise platform describes motivation and enjoyment. Int. J. Hum.–Comput. Interact. 2020, 36, 1195–1204. [Google Scholar] [CrossRef]
- Greene, D.R.; Greenlee, T.A.; Petruzzello, S.J. That feeling I get: Examination of the exercise intensity-affect-enjoyment relationship. Psychol. Sport Exerc. 2018, 35, 39–46. [Google Scholar] [CrossRef]
- Borg, G. Borg’s Perceived Exertion and Pain Scales; Human Kinetics: Champaign, IL, USA, 1998. [Google Scholar]
- Faul, F.; Erdfelder, E.; Buchner, A.; Lang, A.G. Statistical power analyses using G*Power 3.1: Tests for correlation and regression analyses. Behav. Res. Methods 2009, 41, 1149–1160. [Google Scholar] [CrossRef]
- Thomas, S.; Reading, J.; Shephard, R.J. Revision of the Physical Activity Readiness Questionnaire (PAR-Q). Can. J. Sport Sci. 1992, 17, 338–345. [Google Scholar] [PubMed]
- Timme, S.; Brand, R. Affect and exertion during incremental physical exercise: Examining changes using automated facial action analysis and experiential self-report. PLoS ONE 2020, 15, e0228739. [Google Scholar] [CrossRef]
- Box, A.G.; Petruzzello, S.J. Why do they do it? Differences in high-intensity exercise-affect between those with higher and lower intensity preference and tolerance. Psychol. Sport Exerc. 2020, 47, 101521. [Google Scholar] [CrossRef]
- Kilpatrick, M.W.; Robertson, R.J.; Powers, J.M.; Mears, J.L.; Ferrer, N.F. Comparisons of RPE before, during, and after self-regulated aerobic exercise. Med. Sci. Sports Exerc. 2009, 41, 682–687. [Google Scholar] [CrossRef]
- Haines, M.; Broom, D.; Gillibrand, W.; Stephenson, J. Effects of three low-volume, high-intensity exercise conditions on affective valence. J. Sports Sci. 2020, 38, 121–129. [Google Scholar] [CrossRef] [PubMed]
- Farias-Junior, L.F.; Browne, R.A.; Astorino, T.A.; Costa, E.C. Physical activity level and perceived exertion predict in-task affective valence to low-volume high-intensity interval exercise in adult males. Physiol. Behav. 2020, 224, 112960. [Google Scholar] [CrossRef] [PubMed]
- Garber, C.E.; Blissmer, B.; Deschenes, M.R.; Franklin, B.A.; Lamonte, M.J.; Lee, I.M.; Nieman, D.C.; Swain, D.P.; American College of Sports Medicine position stand. Quantity and quality of exercise for developing and maintaining cardiorespiratory, musculoskeletal, and neuromotor fitness in apparently healthy adults: Guidance for prescribing exercise. Med. Sci. Sports Exerc. 2011, 43, 1334–1359. [Google Scholar] [CrossRef]
- Kendzierski, D.; DeCarlo, K.J. Physical activity enjoyment scale: Two validation studies. J. Sport Exerc. Psychol. 1991, 13, 50–64. [Google Scholar] [CrossRef]
- Roman, P.A.L.; Pinillos, F.G.; Martínez, A.N.; Rus, T.I. Validity and reliability of Physical Activity Enjoyment Scale questionnaire (PACES) in children with asthma. J. Asthma 2014, 51, 633–638. [Google Scholar] [CrossRef]
- Ekkekakis, P.; Petruzzello, S.J. Acute aerobic exercise and affect: Current status, problems and prospects regarding dose-response. Sports Med. 1999, 28, 337–347. [Google Scholar] [CrossRef]
- Ueda, T.; Kurokawa, T. Validity of heart rate and ratings of perceived exertion as indices of exercise intensity in a group of children while swimming. Eur. J. Appl. Physiol. Occup. Physiol. 1991, 63, 200–204. [Google Scholar] [CrossRef] [PubMed]
- Cohen, J. Statistical Power Analysis for the Behavioral Sciences, 2nd ed.; Lawrence Erlbaum: Hillsdale, NJ, USA, 1988. [Google Scholar]
- Gignac, G.E.; Szodorai, E.T. Effect size guidelines for individual differences researchers. Personal. Individ. Differ. 2016, 102, 74–78. [Google Scholar] [CrossRef]
- Ekkekakis, P.; Dafermos, M. Exercise is a many-splendored thing but for some it does not feel so splendid: Staging a resurgence of hedonistic ideas in the quest to understand exercise behavior. In Oxford Handbook of Exercise Psychology; Oxford University Press: New York, NY, USA, 2012; pp. 295–333. [Google Scholar]
- Rhodes, R.E.; Fiala, B.; Conner, M. A Review and Meta-Analysis of Affective Judgments and Physical Activity in Adult Populations. Ann. Behav. Med. 2010, 38, 180–204. [Google Scholar] [CrossRef]
- Rhodes, R.E.; Kates, A. Can the Affective Response to Exercise Predict Future Motives and Physical Activity Behavior? A Systematic Review of Published Evidence. Ann. Behav. Med. 2015, 49, 715–731. [Google Scholar] [CrossRef]
- Stork, M.J.; Santos, A.; Locke, S.R.; Little, J.P.; Jung, M.E. Can In-Task Affect During Interval and Continuous Exercise Predict 12-Month Physical Activity Behavior? Findings from a Randomized Trial. Int. J. Behav. Med. 2023. [Google Scholar] [CrossRef] [PubMed]
- Lacharité-Lemieux, M.; Brunelle, J.-P.; Dionne, I.J. Adherence to exercise and affective responses: Comparison between outdoor and indoor training. Menopause 2015, 22, 731–740. [Google Scholar] [CrossRef] [PubMed]
- Ekkekakis, P. Pleasure and displeasure from the body: Perspectives from exercise. Cogn. Emot. 2003, 17, 213–239. [Google Scholar] [CrossRef]
- Ekkekakis, P.; Hall, E.E.; Petruzzello, S.J. Variation and homogeneity in affective responses to physical activity of varying intensities: An alternative perspective on dose–response based on evolutionary considerations. J. Sports Sci. 2005, 23, 477–500. [Google Scholar] [CrossRef] [PubMed]
- Ekkekakis, P.; Hall, E.E.; Petruzzello, S.J. The relationship between exercise intensity and affective responses demystified: To crack the 40-year-old nut, replace the 40-year-old nutcracker! Ann. Behav. Med. 2008, 35, 136–149. [Google Scholar] [CrossRef] [PubMed]
- Kilpatrick, M.; Kraemer, R.; Bartholomew, J.; Acevedo, E.; Jarreau, D. Affective responses to exercise are dependent on intensity rather than total work. Med. Sci. Sports Exerc. 2007, 39, 1417. [Google Scholar] [CrossRef]
- Mouatt, B.; Smith, A.E.; Mellow, M.L.; Parfitt, G.; Smith, R.T.; Stanton, T.R. The use of virtual reality to influence motivation, affect, enjoyment, and engagement during exercise: A scoping review. Front. Virtual Real. 2020, 1, 564664. [Google Scholar] [CrossRef]
- Wilson, O.W.; Zou, Z.H.; Bopp, M.; Bopp, C.M. Comparison of obesity classification methods among college students. Obes. Res. Clin. Pract. 2019, 13, 430–434. [Google Scholar] [CrossRef]




| Variable | All (N = 20) | Females (n = 8) | Males (n = 12) | Sex Differences | ||||
|---|---|---|---|---|---|---|---|---|
| M | SD | M | SD | M | SD | Mdiff | sig. | |
| Age (yrs) | 26.05 | 7.22 | 27.25 | 7.25 | 25.25 | 7.40 | 2.00 | 0.558 |
| Height (cm) | 170.82 | 9.43 | 163.51 | 5.42 | 175.68 | 8.34 | 12.17 | 0.002 |
| Body mass (kg) | 77.59 | 20.30 | 66.22 | 15.92 | 85.17 | 19.84 | 18.94 | 0.037 |
| BMI (kg·m−2) | 26.41 | 5.82 | 24.80 | 6.08 | 27.48 | 5.65 | 2.69 | 0.325 |
Disclaimer/Publisher’s Note: The statements, opinions and data contained in all publications are solely those of the individual author(s) and contributor(s) and not of MDPI and/or the editor(s). MDPI and/or the editor(s) disclaim responsibility for any injury to people or property resulting from any ideas, methods, instructions or products referred to in the content. |
© 2024 by the authors. Licensee MDPI, Basel, Switzerland. This article is an open access article distributed under the terms and conditions of the Creative Commons Attribution (CC BY) license (https://creativecommons.org/licenses/by/4.0/).
Share and Cite
Greene, D.R.; Rougeau, K.M. Punching up the Fun: A Comparison of Enjoyment and In-Task Valance in Virtual Reality Boxing and Treadmill Running. Psychol. Int. 2024, 6, 842-854. https://doi.org/10.3390/psycholint6040054
Greene DR, Rougeau KM. Punching up the Fun: A Comparison of Enjoyment and In-Task Valance in Virtual Reality Boxing and Treadmill Running. Psychology International. 2024; 6(4):842-854. https://doi.org/10.3390/psycholint6040054
Chicago/Turabian StyleGreene, Daniel R., and Kathryn M. Rougeau. 2024. "Punching up the Fun: A Comparison of Enjoyment and In-Task Valance in Virtual Reality Boxing and Treadmill Running" Psychology International 6, no. 4: 842-854. https://doi.org/10.3390/psycholint6040054
APA StyleGreene, D. R., & Rougeau, K. M. (2024). Punching up the Fun: A Comparison of Enjoyment and In-Task Valance in Virtual Reality Boxing and Treadmill Running. Psychology International, 6(4), 842-854. https://doi.org/10.3390/psycholint6040054

