Biostimulant Effect and Antioxidant Responses of Carrot Extract and the Viability of Rice Seeds Under Salt Stress
Abstract
1. Introduction
2. Materials and Methods
2.1. Plant Materials and Growth Conditions
2.2. Germination and Seedling Performance Evaluation
2.3. Determination of Antioxidant Enzyme Activity
2.4. Determination of Peroxide Content and Lipid Peroxidation
2.5. Statistical Analysis
3. Results
3.1. Seed Germination and Seedling Performance
3.2. Activity of Antioxidant Enzymes
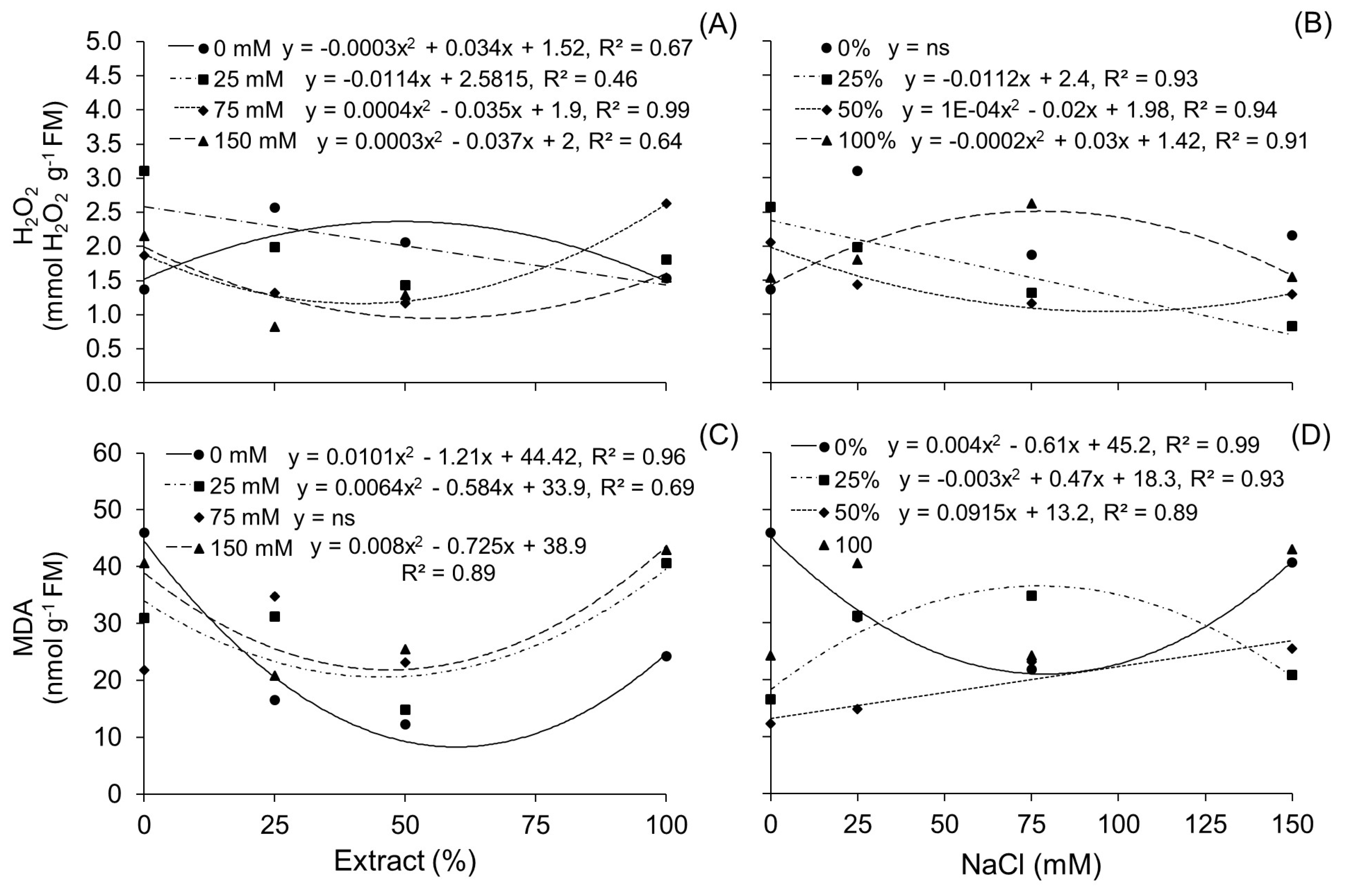
3.3. H2O2 Content and Lipid Peroxidation
4. Discussion
5. Conclusions
Author Contributions
Funding
Data Availability Statement
Conflicts of Interest
References
- El Hasini, S.; Halima, O.I.; Azzouzi, M.E.; Douaik, A.; Azim, K.; Zouahri, A. Organic and inorganic remediation of soils affected by salinity in the sebkha of sed el mesjoune—Marrakech (Morocco). Soil Tillage Res. 2019, 193, 153–160. [Google Scholar] [CrossRef]
- Mukhopadhyay, R.; Sarkar, B.; Jat, H.S.; Sharma, P.C.; Bolan, N.S. Soil salinity under climate change: Challenges for sustainable agriculture and food security. J. Environ. Manag. 2021, 280, 111736. [Google Scholar] [CrossRef]
- Rajput, S.; Sengupta, P.; Kohli, I.; Varma, A.; Singh, P.K.; Joshi, N.C. Role of Piriformospora indica in inducing soil microbial communities and drought stress tolerance in plants. In New and Future Developments in Microbial Biotechnology and Bioengineering; Elsevier: Amsterdam, The Netherlands, 2022; pp. 93–110. [Google Scholar] [CrossRef]
- Ahmed, N.; Ahsen, S.; Ali, M.A.; Hussain, M.B.; Hussain, S.B.; Rasheed, M.K.; Butt, B.; Irshad, I.; Danish, S. Rhizobacteria and silicon synergy modulates the growth, nutrition and yield of mungbean under saline soil. Pak. J. Bot. 2020, 52, 9–15. [Google Scholar] [CrossRef]
- Carmona, F.C.; Anghinoni, I.; Holzschuh, M.J.; Martins, A.P. Attributes of Irrigated Rice as Affected by Soil Sodicity and Potassic Fertilizer Application. Rev. Bras. Ciência Solo 2011, 35, 889–897. [Google Scholar] [CrossRef]
- Sehgal, A.; Sita, K.; Siddique, K.H.; Kumar, R.; Bhogireddy, S.; Varshney, R.K.; HanumanthaRao, B.; Nair, R.M.; Prasad, P.V.; Nayyar, H. Drought or/and heat-stress effects on seed filling in food crops: Impacts on functional biochemistry, seed yields, and nutritional quality. Front. Plant Sci. 2018, 9, 1705. [Google Scholar] [CrossRef]
- Munns, R.; James, R.A.; Läuchli, A. Approaches to Increasing the Salt Tolerance of Wheat and Other Cereals. J. Exp. Bot. 2006, 57, 1025–1043. [Google Scholar] [CrossRef]
- Asch, F.; Dingkuhn, M.; Dörffling, K.; Miezan, K. Leaf K/Na Ratio Predicts Salinity Induced Yield Loss in Irrigated Rice. Euphytica 2000, 113, 109–118. [Google Scholar] [CrossRef]
- Ashraf, M.; Foolad, M.R. Roles of Glycine Betaine and Proline in Improving Plant Abiotic Stress Resistance. Environ. Exp. Bot. 2007, 59, 206–216. [Google Scholar] [CrossRef]
- Gomes-Filho, E.; Lima, C.R.F.M.; Costa, J.H.; da Silva, A.C.M.; Lima, M.d.G.S.; de Lacerda, C.F.; Prisco, J.T. Cowpea Ribonuclease: Properties and Effect of NaCl-Salinity on Its Activation during Seed Germination and Seedling Establishment. Plant Cell Rep. 2008, 27, 147–157. [Google Scholar] [CrossRef]
- Fleming, T.R.; Fleming, C.C.; Levy, C.C.B.; Repiso, C.; Hennequart, F.; Nolasco, J.B.; Liu, F. Biostimulants enhance growth and drought tolerance in Arabidopsis thaliana and exhibit chemical priming action. Ann. Appl. Biol. 2019, 174, 153–165. [Google Scholar] [CrossRef]
- Rêgo Júnior, N.O.; Fernandez, L.G.; de Castro, R.D.; Silva, L.C.; Gualberto, S.A.; Pereira, M.L.A.; da Silva, M.V. Compostos Bioativos e Atividade Antioxidante de Extratos Brutos de Espécies Vegetais Da Caatinga. Braz. J. Food Technol. 2011, 14, 50–57. [Google Scholar] [CrossRef]
- McDonald, S.; Prenzler, P.D.; Antolovich, M.; Robards, K. Phenolic Content and Antioxidant Activity of Olive Extracts. Food Chem. 2001, 73, 73–84. [Google Scholar] [CrossRef]
- Mercier, J.; Roussel, D.; Charles, M.T.; Arul, J. Systemic and local responses associated with UV-induced and pathogen induced resistance to Botrytis cinerea in stored carrot. Phytopathology 2000, 90, 981–986. [Google Scholar] [CrossRef]
- Sircar, D.; Mitra, A. Accumulation of p-hydroxybenzoic acid in hairy roots of Daucus carota 2: Confirming biosynthetic steps through feeding of inhibitors and precursors. J. Plant Physiol. 2009, 166, 1370–1380. [Google Scholar] [CrossRef]
- Mukherjee, C.; Samanta, T.; Mitra, A. Redirection of metabolite biosynthesis from hydroxybenzoates to volatile terpenoids in green hairy roots of Daucus carota. Planta 2016, 243, 305–320. [Google Scholar] [CrossRef]
- Zeb, A.; Mehmood, S. Carotenoid contents from various sources and their potential health applications. Pak. J. Nutr. 2004, 3, 199–204. [Google Scholar] [CrossRef]
- Sabater-Jara, A.B.; Pedreno, M.A. Use of -cyclodextrins to enhance phytosterol production in cell suspension cultures of carrot (Daucus carota L.). Plant Cell Tissue Org. 2013, 114, 1657. [Google Scholar] [CrossRef]
- Perrin, F.; Brahem, M.; Dubois-Laurent, C.; Huet, S.; Jourdan, M.; Geoffriau, E.; Peltier, D.; Gagné, S. Differential pigment accumulation in carrot leaves and roots during two growing periods. J. Agric. Food Chem. 2016, 64, 906–912. [Google Scholar]
- Ombódi, A.; Daood, H.G.; Helyes, L. Carotenoid and tocopherol composition of an orange-colored carrot as affected by water supply. HortScience 2014, 49, 729–733. [Google Scholar] [CrossRef]
- Teixeira, S.B.; Pires, S.N.; Ávila, G.E.; Moura, D.d.S.; Peter, R.; Bobrowski, V.L.; Deuner, S. Cytogenetic Activity of Root Meristems of Rice in Response to Conditioning in Carrot Extract and Salinity. J. Exp. Agric. Int. 2018, 24, 1–12. [Google Scholar] [CrossRef]
- Ministério da Agricultura, Pecuária e Abastecimento Secretaria de Defesa Agropecuária Brasil. Regras Para Análise de Sementes; Ministério da Agricultura Pecuária e Abastecimento Secretaria de Defesa Agropecuária, Ed.; Mapa/ACS: Brasília, DF, Brazil, 2009.
- Bradford, M.M. A Rapid and Sensitive Method for the Quantitation of Microgram Quantities of Protein Utilizing the Principle of Protein-Dye Binding. Anal. Biochem. 1976, 72, 248–254. [Google Scholar] [CrossRef] [PubMed]
- Giannopolitis, C.N.; Ries, S.K. Superoxide Dismutases: I. Occurrence in Higher Plants. Plant Physiol. 1977, 59, 309–314. [Google Scholar] [CrossRef] [PubMed]
- Beauchamp, C.; Fridovich, I. Superoxide Dismutase: Improved Assays and an Assay Applicable to Acrylamide Gels. Anal. Biochem. 1971, 44, 276–287. [Google Scholar] [CrossRef] [PubMed]
- Azevedo, R.A.; Alas, R.M.; Smith, R.J.; Lea, P.J. Response of Antioxidant Enzymes to Transfer from Elevated Carbon Dioxide to Air and Ozone Fumigation, in the Leaves and Roots of Wild-Type and a Catalase-Deficient Mutant of Barley. Physiol. Plant. 1998, 104, 280–292. [Google Scholar] [CrossRef]
- Nakano, Y.; Asada, K. H2O2 Is Scavenged by Ascorbate-Specific Peroxidase in Spinach Chloroplasts. Plant Cell Physiol. 1981, 22, 867–880. [Google Scholar] [CrossRef]
- Cakmak, I.; Horst, W.J. Effect of Aluminium on Lipid Peroxidation, Superoxide Dismutase, Catalase, and Peroxidase Activities in Root Tips of Soybean (Glycine max). Physiol. Plant. 1991, 83, 463–468. [Google Scholar] [CrossRef]
- Velikova, V.; Yordanov, I.; Edreva, A. Oxidative Stress and Some Antioxidant Systems in Acid Rain-Treated Bean Plants. Plant Sci. 2000, 151, 59–66. [Google Scholar] [CrossRef]
- Soares, M.M.; Junior, H.C.D.S.; Simões, M.G.; Pazzin, D.; Da Silva, L.J. Estresse Hídrico e Salino Em Sementes de Soja Classificadas Em Diferentes Tamanhos. Pesqui. Agropecuária Tropical. 2015, 45, 370–378. [Google Scholar] [CrossRef]
- Anbumalarmathi, J.; Mehta, P. Effect of Salt Stress on Germination of Indica Rice Varieties. Eur. J. Biol. Sci. 2013, 6, 1–6. [Google Scholar]
- Vibhuti, V.; Shahi, C.; Bargali, K.; Bargali, S.S. Seed Germination and Seedling Growth Parameters of Rice (Oryza sativa) Varieties as Affected by Salt and Water Stress. Indian J. Agric. Sci. 2015, 85, 102–108. [Google Scholar] [CrossRef]
- Ullah, S.M.; Soja, G.; Gerzabek, M.H. Ion Uptake, Osmoregolation and Plant-Water Relations in Faba Beans (Vicia faba L.) under Salt Stress. Originalarbeiten 1994, 44, 291–301. [Google Scholar]
- Hakim, M.A.; Juraimi, A.S.; Begum, M.; Hanafi, M.M.; Ismail, M.R.; Selamat, A. Effect of Salt Stress on Germination and Early Seedling Growth of Rice (Oryza sativa L.). Afr. J. Biotechnol. 2010, 9, 1911–1918. [Google Scholar]
- Çavuşoğlu, K.; Kılıç, S.; Kabar, K. Some Morphological and Anatomical Observations during Alleviation of Salinity (NaCI) Stress on Seed Germination and Seedling Growth of Barley by Polyamines. Acta Physiol. Plant. 2007, 29, 551–557. [Google Scholar] [CrossRef]
- Çavuşoğlu, K.; Kaya, F.; Kılıç, S. Effects of Boric Acid Pretreatment on the Seed Germination, Seedling Growth and Leaf Anatomy of Barley under Saline Conditions. J. Food Agric. Environ. 2013, 11, 376–380. [Google Scholar]
- Abbas, S.M.; Akladious, S.A. Application of Carrot Root Extract Induced Salinity Tolerance in Cowpea (Vigna sinensis L.) Seedlings. Pak. J. Bot. 2013, 45, 795–806. [Google Scholar]
- Çavusoglu, K.; Karaferyeli, S. Effects of Ginkgo biloba L. Extract on the Seed Germination, Seedling Growth and Leaf Anatomy of Barley under Saline Conditions. Bangladesh J. Bot. 2015, 44, 117–123. [Google Scholar] [CrossRef]
- Çavuşoğlu, D.; Tabur, S.; Çavuşoğlu, K. The Effects of Aloe vera L. Leaf Extract on Some Physiological and Cytogenetical Parameters in Allium cepa L. Seeds Germinated under Salt Stress. Cytologia 2016, 81, 103–110. [Google Scholar]
- Parihar, P.; Singh, S.; Singh, R.; Singh, V.P.; Prasad, S.M. Effect of Salinity Stress on Plants and Its Tolerance Strategies: A Review. Environ. Sci. Pollut. Res. 2015, 22, 4056–4075. [Google Scholar] [CrossRef]
- Meng, L.-B.; Chen, Y.-B.; Lu, T.-C.; Wang, Y.-F.; Qian, C.-R.; Yu, Y.; Ge, X.-L.; Li, X.-H.; Wang, B.-C. A Systematic Proteomic Analysis of NaCl-Stressed Germinating Maize Seeds. Mol. Biol. Rep. 2014, 41, 3431–3443. [Google Scholar] [CrossRef]
- Ozhan, N.; Hajibabaei, M. Studies on Effectiveness of Plant Phytohormones in Reduction of Salinity Effects on Germination of Some Cultivar of Spring Wheat. Int. J. Adv. Biol. Biom. Res. 2014, 2, 2860–2866. [Google Scholar]
- Othman, Y.; Al-Karaki, G.; Al-Tawaha, A.R.; Al-Horani, A. Variation in Germination and Ion Uptake in Barley Genotypes under Salinity Conditions. World J. Agric. Sci. 2006, 2, 11–15. [Google Scholar]
- McCue, K.F.; Hanson, A.D. Drought and Salt Tolerance: Towards Understanding and Application. Trends Biotechnol. 1990, 8, 358–362. [Google Scholar] [CrossRef]
- Imran, S.; Afzal, I.; Amjad, M.; Akram, A.; Khawar, K.M.; Pretorius, S. Seed Priming with Aqueous Plant Extracts Improved Seed Germination and Seedling Growth under Chilling Stress in Lentil (Lens culinaris Medik). Acta Adv. Agric. Sci. 2014, 11, 58–69. [Google Scholar]
- İlbaş, A.İ.; Gönen, U.; Yilmaz, S.; Dadandi, M.Y. Cytotoxicity of Aloe vera Gel Extracts on Allium cepa Root Tip Cells. Turk. J. Bot. 2012, 36, 263–268. [Google Scholar] [CrossRef]
- Chen, B.H.; Peng, H.Y.; Chen, H.E. Changes of carotenoids, Color, and Vitamin A contents during Processing of carrot juice. J. Agric. Food Chem. 1995, 25, 515. [Google Scholar] [CrossRef]
- Hu, Y.; Schmidhalter, U. Drought and Salinity: A Comparison of Their Effects on Mineral Nutrition of Plants. J. Plant Nutr. Soil Sci. 2005, 168, 541–549. [Google Scholar] [CrossRef]
- Amirjani, M.R. Effect of NaCl on Some Physiological Parameters of Rice. Eur. J. Biol. Sci. 2010, 3, 6–16. [Google Scholar]
- Mekawy, A.M.M.; Assaha, D.V.M.; Yahagi, H.; Tada, Y.; Ueda, A.; Saneoka, H. Growth, Physiological Adaptation, and Gene Expression Analysis of Two Egyptian Rice Cultivars under Salt Stress. Plant Physiol. Biochem. 2015, 87, 17–25. [Google Scholar] [CrossRef]
- Cremonez, F.E.; Cremonez, P.A.; de Camargo, M.P.; Feiden, A. Principais Plantas Com Potencial Alelopático Encontradas Nos Sistemas Agrícolas Brasileiros. Acta Iguazu 2013, 2, 70–88. [Google Scholar]
- Çavuşoğlu, D.; Tabur, S.; Çavuşoğlu, K. Role of Ginkgo biloba L. Leaf Extract on Some Physiological and Cytogenetical Parameters in Allium cepa L. Seeds Exposed to Salt Stress. Cytologia 2016, 81, 207–213. [Google Scholar] [CrossRef][Green Version]
- de Souza Borges, C.; Cuchiara, C.C.; Maculan, K.; da Silva Sopezki, M.; Bobrowski, V.L. Alelopatia Do Extrato de Folhas Secas de Mamona (Ricinus communis L.). Rev. Bras. Biociências 2007, 5, 747–749. [Google Scholar]
- Silva, R.R.; de Sousa Silva, M.D.; Diniz, N.B.; Coelho, M.J. Efeito Alelopático de Extrato Seco de Mamona (Ricinus cummunis L.) No Desenvolvimento Inicial de Feijão (Vigna unguiculata (L.) (Walp.). Cad. Agroecol. 2011, 6, 1–4. [Google Scholar]
- Giannakoula, A.; Moustakas, M.; Syros, T.; Yupsanis, T. Aluminum Stress Induces Up-Regulation of an Efficient Antioxidant System in the Al-Tolerant Maize Line but Not in the Al-Sensitive Line. Environ. Exp. Bot. 2010, 67, 487–494. [Google Scholar]
- Kibria, M.G.; Hossain, M.; Murata, Y.; Hoque, M.A. Antioxidant Defense Mechanisms of Salinity Tolerance in Rice Genotypes. Rice Sci. 2017, 24, 155–162. [Google Scholar]
- Mittova, V.; Tal, M.; Volokita, M.; Guy, M. Up-Regulation of the Leaf Mitochondrial and Peroxisomal Antioxidative Systems in Response to Salt-Induced Oxidative Stress in the Wild Salt-Tolerant Tomato Species Lycopersicon pennellii. Plant Cell Environ. 2003, 26, 845–856. [Google Scholar] [CrossRef]
- Banu, M.N.A.; Hoque, M.A.; Watanabe-Sugimoto, M.; Matsuoka, K.; Nakamura, Y.; Shimoishi, Y.; Murata, Y. Proline and Glycine betaine Induce Antioxidant Defense Gene Expression and Suppress Cell Death in Cultured Tobacco Cells under Salt Stress. J. Plant Physiol. 2009, 166, 146–156. [Google Scholar] [CrossRef]
- El-Shabrawi, H.; Kumar, B.; Kaul, T.; Reddy, M.K.; Singla-Pareek, S.L.; Sopory, S.K. Redox Homeostasis, Antioxidant Defense, and Methylglyoxal Detoxification as Markers for Salt Tolerance in Pokkali Rice. Protoplasma 2010, 245, 85–96. [Google Scholar] [CrossRef]
- Demiral, T.; Türkan, İ. Comparative Lipid Peroxidation, Antioxidant Defense Systems and Proline Content in Roots of Two Rice Cultivars Differing in Salt Tolerance. Environ. Exp. Bot. 2005, 53, 247–257. [Google Scholar]
- Doğan, M. Antioxidative and Proline Potentials as a Protective Mechanism in Soybean Plants under Salinity Stress. Afr. J. Biotechnol. 2011, 10, 5972–5978. [Google Scholar]
- Hasanuzzaman, M.; Alam, M.M.; Rahman, A.; Hasanuzzaman, M.; Nahar, K.; Fujita, M. Exogenous Proline and Glycine Betaine Mediated Upregulation of Antioxidant Defense and Glyoxalase Systems Provides Better Protection against Salt-Induced Oxidative Stress in Two Rice (Oryza sativa L.) Varieties. BioMed Res. Int. 2014, 2014, 757219. [Google Scholar]
- Das, P.; Seal, P.; Biswas, A.K. Regulation of Growth, Antioxidants and Sugar Metabolism in Rice (Oryza sativa L.) Seedlings by NaCl and Its Reversal by Silicon. Am. J. Plant Sci. 2016, 7, 623–638. [Google Scholar] [CrossRef]







| Carrot Extract (%) | pH | Ψs (MPa) | EC (mS cm−1) |
|---|---|---|---|
| 25 | 6.04 | −0.13 | 1.19 |
| 50 | 6.04 | −0.31 | 1.98 |
| 100 | 6.04 | −0.61 | 3.63 |
| NaCl (mM) | Carrot Extract Concentration (%) | Average | SE | CV (%) | ||||
|---|---|---|---|---|---|---|---|---|
| 0 | 25 | 50 | 100 | |||||
| SOD | 0 | 521.98 | 430.24 | 524.15 | 532.58 | 502.20 ns | 4.82 | 10.61 |
| 25 | 472.73 | 407.80 | 485.33 | 565.63 | 482.90 ns | |||
| 75 | 435.97 | 605.91 | 539.74 | 392.41 | 493.50 ns | |||
| 150 | 527.67 | 473.09 | 355.20 | 571.20 | 481.80 ns | |||
| APX | 0 | 30.75 ab | 24.06 a | 19.57 a | 20.95 b | 23.83 | 1.66 | 19.37 |
| 25 | 26.97 b | 24.25 a | 14.59 a | 21.59 b | 21.85 | |||
| 75 | 32.92 ab | 30.65 a | 20.80 a | 15.78 b | 25.04 | |||
| 150 | 40.19 a | 29.12 a | 17.84 a | 31.49 a | 29.66 | |||
| CAT | 0 | 0.37 b | 0.34 a | 0.33 a | 0.34 ab | 0.34 | 0.01 | 13.83 |
| 25 | 0.49 a | 0.31 a | 0.43 a | 0.30 ab | 0.38 | |||
| 75 | 0.54 a | 0.40 a | 0.37 a | 0.23 b | 0.38 | |||
| 150 | 0.47 a | 0.40 a | 0.38 a | 0.39 a | 0.41 | |||
| NaCl (mM) | Carrot Extract Concentration (%) | Average | SE | CV (%) | ||||
|---|---|---|---|---|---|---|---|---|
| 0 | 25 | 50 | 100 | |||||
| SOD | 0 | 213.20 | 171.80 | 180.4 | 221.63 | 196.80 ns | 5.32 | 13.8 |
| 25 | 158.82 | 248.49 | 185.6 | 179.50 | 193.10 ns | |||
| 75 | 209.10 | 187.20 | 189.6 | 196.38 | 195.60 ns | |||
| 150 | 184.03 | 166.48 | 158.9 | 186.77 | 174.10 ns | |||
| CAT | 0 | 0.20 b | 0.14 b | 0.14 b | 0.19 b | 0.17 | 0.04 | 16.8 |
| 25 | 0.16 b | 0.40 a | 0.22 ab | 0.23 b | 0.25 | |||
| 75 | 0.25 ab | 0.42 a | 0.31 a | 0.28 ab | 0.32 | |||
| 150 | 0.35 a | 0.33 a | 0.27 a | 0.38 a | 0.33 | |||
| APX | 0 | 13.59 a | 12.94 b | 9.82 b | 12.10 a | 12.12 | 0.60 | 24.5 |
| 25 | 11.14 a | 18.79 a | 16.51 a | 12.53 a | 14.76 | |||
| 75 | 12.83 a | 15.81 ab | 12.55 ab | 12.79 a | 13.51 | |||
| 150 | 13.77 a | 11.71 b | 10.53 b | 13.58 a | 12.40 | |||
| NaCl (mM) | Carrot Extract Concentration (%) | Average | SE | CV (%) | ||||
|---|---|---|---|---|---|---|---|---|
| 0 | 25 | 50 | 100 | |||||
| H2 O2 | 0 | 1.37 c | 2.57 a | 2.06 a | 1.54 b | 1.88 | 0.13 | 12.77 |
| 25 | 3.10 a | 1.98 b | 1.43 b | 1.80 b | 2.08 | |||
| 75 | 1.87 b | 1.31 c | 1.16 b | 2.62 a | 1.74 | |||
| 150 | 2.15 b | 0.82 d | 1.29 b | 1.54 b | 1.45 | |||
| MDA | 0 | 45.90 a | 16.56 b | 12.22 b | 24.17 b | 24.71 | 1.75 | 15.81 |
| 25 | 30.90 b | 31.18 a | 14.76 b | 40.53 a | 29.34 | |||
| 75 | 21.79 c | 34.77 a | 23.12 a | 24.24 b | 25.98 | |||
| 150 | 40.64 a | 20.80 b | 25.48 a | 42.93 a | 32.46 | |||
| NaCl (mM) | Carrot Extract Concentration (%) | Average | SE | CV (%) | ||||
|---|---|---|---|---|---|---|---|---|
| 0 | 25 | 50 | 100 | |||||
| H2 O2 | 0 | 1.12 a | 1.41 ab | 1.63 a | 1.18 a | 0.13 | 0.01 | 27.3 |
| 25 | 1.26 a | 1.61 a | 0.71 b | 0.69 a | 0.11 | |||
| 75 | 0.92 a | 0.81 b | 1.04 ab | 0.82 a | 0.09 | |||
| 150 | 1.02 a | 0.98 b | 1.10 ab | 1.28 a | 0.11 | |||
| MDA | 0 | 12.19 b | 11.25 b | 9.53 b | 13.2 a | 11.55 | 1.60 | 13.2 |
| 25 | 12.76 b | 13.79 b | 8.71 b | 5.71 b | 10.24 | |||
| 75 | 15.99 ab | 10.90 b | 16.34 a | 13.92 a | 14.28 | |||
| 150 | 18.84 a | 20.08 a | 17.36 a | 13.56 a | 17.46 | |||
Disclaimer/Publisher’s Note: The statements, opinions and data contained in all publications are solely those of the individual author(s) and contributor(s) and not of MDPI and/or the editor(s). MDPI and/or the editor(s) disclaim responsibility for any injury to people or property resulting from any ideas, methods, instructions or products referred to in the content. |
© 2025 by the authors. Licensee MDPI, Basel, Switzerland. This article is an open access article distributed under the terms and conditions of the Creative Commons Attribution (CC BY) license (https://creativecommons.org/licenses/by/4.0/).
Share and Cite
Teixeira, S.B.; Pires, S.N.; Thiel, C.H.; Deuner, C.; Moura, D.d.S.; Garcia, N.d.S.; Carlos, F.S.; Souza, F.R.d.; Tseng, T.M.; Deuner, S. Biostimulant Effect and Antioxidant Responses of Carrot Extract and the Viability of Rice Seeds Under Salt Stress. Seeds 2025, 4, 17. https://doi.org/10.3390/seeds4020017
Teixeira SB, Pires SN, Thiel CH, Deuner C, Moura DdS, Garcia NdS, Carlos FS, Souza FRd, Tseng TM, Deuner S. Biostimulant Effect and Antioxidant Responses of Carrot Extract and the Viability of Rice Seeds Under Salt Stress. Seeds. 2025; 4(2):17. https://doi.org/10.3390/seeds4020017
Chicago/Turabian StyleTeixeira, Sheila Bigolin, Stefânia Nunes Pires, Caroline Hernke Thiel, Cristiane Deuner, Diogo da Silva Moura, Natalia da Silva Garcia, Filipe Selau Carlos, Fernanda Reolon de Souza, Te Ming Tseng, and Sidnei Deuner. 2025. "Biostimulant Effect and Antioxidant Responses of Carrot Extract and the Viability of Rice Seeds Under Salt Stress" Seeds 4, no. 2: 17. https://doi.org/10.3390/seeds4020017
APA StyleTeixeira, S. B., Pires, S. N., Thiel, C. H., Deuner, C., Moura, D. d. S., Garcia, N. d. S., Carlos, F. S., Souza, F. R. d., Tseng, T. M., & Deuner, S. (2025). Biostimulant Effect and Antioxidant Responses of Carrot Extract and the Viability of Rice Seeds Under Salt Stress. Seeds, 4(2), 17. https://doi.org/10.3390/seeds4020017

