Next Article in Journal
Modulating Natural Methane Release from Rumen Fermentation through the Use of Ficus glomerata Leaf Tannins in Murrah Buffalo (Bubalus bubalis)
Previous Article in Journal
Methane Oxidation via Chemical and Biological Methods: Challenges and Solutions
Previous Article in Special Issue
Effect of Pressure on Hydrogen Isotope Fractionation in Methane during Methane Hydrate Formation at Temperatures Below the Freezing Point of Water
 
 
Font Type:
Arial Georgia Verdana
Font Size:
Aa Aa Aa
Line Spacing:
Column Width:
Background:
Review

Review of Biosurfactants Gas Hydrate Promoters

by
Cornelius B. Bavoh
1,2,*,
Eric Broni-Bediako
2,3 and
Solomon Adjei Marfo
1,2
1
Department of Chemical and Petrochemical Engineering, University of Mines and Technology, Tarkwa P.O. Box 237, Ghana
2
School of Petroleum Studies, University of Mines and Technology, Tarkwa P.O. Box 237, Ghana
3
Department of Petroleum and Natural Engineering, University of Mines and Technology, Tarkwa P.O. Box 237, Ghana
*
Author to whom correspondence should be addressed.
Methane 2023, 2(3), 304-318; https://doi.org/10.3390/methane2030020
Submission received: 18 June 2023 / Revised: 26 July 2023 / Accepted: 1 August 2023 / Published: 8 August 2023
(This article belongs to the Special Issue Perspective in Natural Gas Hydrate)

Abstract

Biosurfactants are promising additives for gas hydrate technology applications. They are believed to have better eco properties than conventional kinetic hydrate promoters such as sodium dodecyl sulfate (SDS). In this article, the research advances on the use of biosurfactants for gas hydrate formation enhancement have been reviewed and discussed in detail to provide current knowledge on their progress in green chemistry technologies. Specifically, the use of bio promoters in carbon capture, gas storage and transportation are discussed. By far, biosurfactants seem to perform better than conventional hydrate promoters and have the potential to lead to the commercialization of gas hydrate-based technologies in terms of improving hydrate kinetics.

1. Introduction

Gas hydrates are inclusion compounds that consist of gas and water molecules [1,2,3]. In the hydrate structure, the hydrogen-bonded water molecules engage the gas molecules at low temperatures and high-pressure conditions [4,5,6,7]. The stories and issues of hydrate have majorly been associated with flow assurance challenges in the oil and gas industry, where they mostly form and plug oil and gas transmission pipelines [8,9,10,11]. However, in recent times, gas hydrate has found several useful applications in areas of gas storage and separations, desalination, potential energy sources, and CO2 capture and sequestration. This recent advancement is driven by the desire to develop and search for novel gas hydrate additives to enhance the gas hydrate application techniques.
Contrary to the use of hydrate inhibitors to prevent gas hydrate formation in pipelines, gas hydrate promoters are used to enhance hydrate formation in hydrate application-based techniques. The purpose of hydrate promoters is to speed up the hydrate formation kinetics of these processes. Generally, to achieve this, surfactants are mostly used. The commonly used surfactant in the literature is sodium dodecyl sulfate (SDS) [1,11,12,13]. The gas hydrate promotional mechanisms of SDS have been extensively reported in the literature [14,15,16,17,18]. Aside from the high hydrate promotional impact of synthetic surfactants, they are generally toxic and difficult to dispose of. Hence, the search for environmental and biodegradable additives for gas hydrate promotion in hydrate-based applications is imminent.
In the search for alternative hydrate promoters, biosurfactants are potential candidates that could provide the required green regulatory requirements without compromising hydrate promotional efficiency [19]. Aside from their green nature, biosurfactants are very stable at high pH, temperature, and saline conditions [20,21,22,23]. Literature has shown that their class of surfactants are by far prospective candidates that could replace the use of conventional gas hydrate kinetics promoters [22,24]. Despite the presence of comprehensive reviews on the use of conventional surfactants in hydrate-based applications, there is no concise collective and focused review on the use of biosurfactants in hydrate-based technologies [24,25,26]. The absence of such reviews places the process of biosurfactants technology in gas hydrate application on a poor knowledge-based level with no critical understanding of the state-of-the-art research advance made by far. This knowledge gap, if well filled, would provide the gas hydrate community with relevant in-depth ideas on the kind of biosurfactants to use or develop towards technological commercialization. Such a piece of work would also guide and provide relevant knowledge for future biosurfactant development for hydrates application purposes.
Therefore, in this review, we discussed the effect of various biosurfactants on the thermodynamics and kinetics of hydrate formation. A detailed discussion on the effect of each biosurfactant on gas hydrate formation behaviour is also presented. Also, the mechanism of action of different biosurfactants on hydrate formation is presented with possible prospects and recommendations towards the development of more efficient bio-additives for hydrate-based technologies.

2. Biosurfactants and Their Application in Gas Hydrate Technologies

Biosurfactants are microorganism-based extracted surface-active molecules. They are mostly considered green alternative additives to surfactants. Due to their environmental and biodegradability potential, they are mostly used in areas such as pharmaceuticals and therapeutics, cosmetics, food additives, emulsifiers, detergents and cleaners, and dispersants for bioremediation. Gas hydrate-based technologies such as gas storage and transportation, carbon capture, gas separations, and gas hydrate inhibition have found the use of biosurfactants very useful as shown in Figure 1. In Gas hydrate technological applications, the use of biosurfactants has hydrate-forming capabilities. One of the areas in which biosurfactants can improve is by using hydrate methods for gas separations and transportation. The storage and transportation of liquefied natural gas (LNG) is mostly accompanied by high energy costs and explosive hazards. Thus, the use of hydrate methods is believed to reduce the energy and hazard factors for better transportation. However, finding the best way to form natural gas storage faster and keep it solid for longer periods is a challenge. It is in this regard that biosurfactants are relevant in this area of gas hydrate formation.
In the area of carbon dioxide capture and disposal, attention has been drawn to the use of a gas hydrate-based approach. The hydrate-based gas separation process (HBGS) specifically is a potential method for separating and capturing CO2 from fuel and flue gas mixtures. This process uses the gas hydrate phase behaviour conditions to select CO2 from the mixtures. With the thermodynamic feasibility zone for CO2 capture from hydrates, biosurfactants are green solvents that have been suggested to potentially overcome the slow hydrate formation behaviour for effective and fast separations. Also, in the storage of CO2 hydrate in gas hydrate formations and geological sediments, the use of biosurfactants becomes necessary to resolve the existing low CO2 hydrate formation in the sediments. Biosurfactants are also potential gas hydrate anti-agglomerate inhibitors that can prevent hydrate plugs in oil and gas pipelines with less environmental issues.
Biosurfactants in all gas hydrate-based technologies aim to enhance gas hydrate formation process by either increasing the nucleation time, hydrate formation rate, and storage capacity. Specifically, biosurfactants are able to promote or enhance gas hydrate formation by increasing gas solubility, supporting micelle formation, and providing the nucleation sites for hydrate formation (see Figure 2). This promising gas hydrate formation enhancement could potentially influence the commercialization prospect of most gas hydrate-based technologies. In the field of gas hydrates, biosurfactants have recently been spotted and explored due to their natural existence in hydrate deposit environments in the marine and permafrost areas via culture-independent studies. Since then, several types of biosurfactants for most plant and bacterial sources have been used for hydrate studies. Table 1 shows the biosurfactants used for hydrate promotion studies in the literature. From Table 1, biosurfactants from bacterial sources are the most widely studied biosurfactants for hydrate studies.
The main reason biosurfactants are used for gas hydrate application purposes resides in their biodegradability and low toxicity levels [42,43,44]. Aside from that, they can be synthesized to have varying chain lengths and active hydrophilic and hydrophobic groups for higher surface activity in aqueous systems. An additional advantage of biosurfactants is their stability at extreme temperatures, salinity, and pH conditions. However, they require some add-on facilities and time for their purification and separation from the microbial solution.

3. The Impact of Biosurfactants on Hydrate Formation

In hydrate-based technological applications, chemicals are mostly used to promote the hydrate formation process. This is mostly achieved kinetically or thermodynamically in the presence of chemicals. The kinetics hydrate promoters are used to achieve fast hydrate onset formation times, a high rate of hydrate formation, and a high gas storage or consumption capacity. SDS is the most common kinetic hydrate promoter [1,12,13,45,46,47,48]. On the other hand, thermodynamic hydrate promoters such as tetrabutylammonium bromide (TBAB), tetrahydrofuran (THF), and acetone are used to increase the temperature and pressure conditions required for hydrate formation [49,50]. Since the use of biosurfactants as hydrate promoters is still actively ongoing, their thermodynamic promotional effect on hydrate formation is discussed alongside their kinetic behaviour. Table 2 presents the list of biosurfactants used for hydrate storage and CO2 capture. The gas hydrate guest molecules studied in the presence of biosurfactants are CO2, CH4, and natural gas (consisting of CH4, C2H6, and C3H8), with much emphasis on CH4 hydrates.

3.1. Thermodynamic Impact

The thermodynamic hydrate promotion of additives is key to overcoming the high pressure and low temperature of hydrate formation suitable for commercial hydrate technologies. Generally, surfactants are known as kinetic hydrate promoters and not thermodynamic promoters. This implies that surfactants have a negligible effect on hydrate thermodynamic properties. However, this is mainly known for conventional gas hydrate kinetic promoters and some studied surfactants in the literature. In the presence of biosurfactants, the thermodynamic behaviour of the gas hydrate formation conditions has not been extensively reported on CO2 and natural gas hydrates. Contrary to the status quo, Arora et al. [32] claimed that the presence of rhamnolipids biosurfactant promotes methane hydrate phase boundary conditions by increasing the hydrate formation region in the pressure range of 9–11 MPa in a silica-gel porous-media system. These findings are staggering if well confirmed in different systems since such findings suggest a dual hydrate promotional impact of biosurfactant. However, in their study, they further estimated the CH4 hydrate dissociation enthalpies in the presence of biosurfactants. The CH4 dissociation enthalpies were 17–22 KJ/mol K with and without rhamnolipids biosurfactant. However, the widely reported methane hydrate dissociation enthalpies with and without most additives in the range from 50 to 60 KJ/mol K, depending on the pressure. This inconsistency could be due to the presence of the rhamnolipids biosurfactant, the porous media systems, or experimental errors. If the latter is not the case, then the rhamnolipids biosurfactant and/or the porous media might have some potential impact on the hydrate crystal structure, which is likely not the case. Thus, we recommend hydrate crystal structure analyses and simulations such as RAMAN or NMR to further verify this phenomenon. However, Hou et al. [33] confirmed the hydrate structural characteristics and morphology using powder X-ray diffraction, Raman spectroscopy and cryo-scanning electron microscopy. They showed that rhamnolipid did not affect hydrate structure, but it could increase the large and small cavity ratio value and hydration number. In general, surfactants are considered kinetic promoters and not thermodynamic promoters. The next sections discuss the studies of gas hydrates in the presence of biosurfactants.

3.2. Kinetic Impact

The use of kinetic gas hydrate biosurfactants promoters has been reported more in the literature compared with thermodynamic biosurfactants. Although biosurfactant has been used for different gas hydrate technologies, their kinetic behaviour on gas hydrate formation can be useful to other hydrate-based technologies. Thus, the priority of this discussion is not to limit the performance of each studied biosurfactant to a specific hydrate technology, but rather show how each biosurfactant performs kinetically in various hydrate former systems.

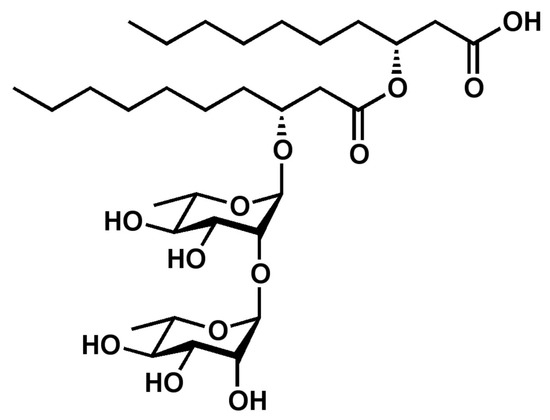
3.2.1. Rhamnolipids

Rhamnolipids are common biosurfactants consisting of crystalline acids that are mainly made up of rhamnose-based β-hydroxy fatty acids as shown in Figure 3. Pseudomonas aeruginosa is the main productional source of rhamnolipids [51,52,53]. Rhamnolipids are the most studied biosurfactant for gas hydrate applications, especially for CO2 capture. Like SDS, most biosurfactants including rhamnolipids have strong hydrophilic and hydrophobic heads. During hydrate formation in biosurfactants, the hydrate formation promotional effect is governed by the strong interaction between the water molecules and the biosurfactants’ hydrophilic head. The hydrophobic head of the biosurfactants on the other hand interacts with the gas molecules. In addition, the micelles’ formation of biosurfactants at high concentrations leads to the formation of more hydrates because the micelles act as hydrate nucleating sites, which promote the solubility of the guest molecules in the aqueous bulk liquid phase.
A rhamnolipid solution produced from Pseudomonas aeruginosa is reported as an effective biosurfactant for enhancing CO2 hydrate formation with a high formation rate [48]. The presence of rhamnolipids reduces the induction time and the total time of the process by 99% and 84% compared to SDS. Furthermore, the use of rhamnolipids increases CO2 replacement with CH4 and also improves CH4 recovery. Jadav et al. [30] also confirmed that 200 ppm of rhamnolipid solution yields a hydrate conversion of about 14% more than SDS and increases the amount of gas consumed by 20%, with the hydrate kinetic growth rate enhanced to seven times higher than that of SDS. Despite the hydrate promotion impact of rhamnolipids, they are known for their anti-agglomerate behaviour, which arises from their surfactant nature [33].

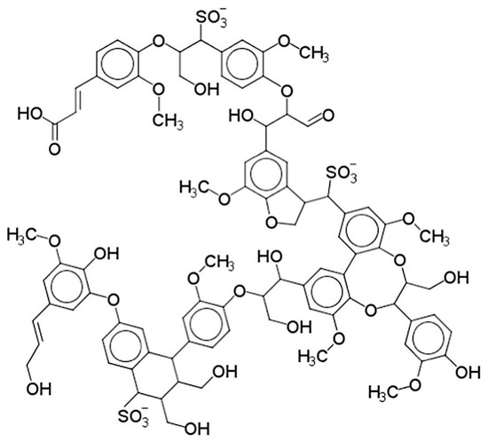
3.2.2. Lignosulfonates

Lignosulfonates are bio-based additives produced from wood pulp using sulfite pulping. They are amorphous and water-soluble anionic polyelectrolytes [54,55]. The chemical structure of lignosulfonates is shown in Figure 4. The biomass origin, sulfite pulping conditions, post-extraction fractionation, and chemical modifications determine the lignosulfonate composition, structure, molecular weight distribution, and abundance of functional groups. The three tested derivatives are calcium-lignosulfonates (Ca-LS), sodium-lignosulfonates (Na-LS), and potassium-lignosulfonates (K-LS). Ca-LS promotes hydrate formation in a similar range as Na-LS and K-LS. The optimum Ca-LS concentration of 0.50 wt.% yields a high gas uptake and volumetric capacity of 167 v/v in 1000 min. Also, the induction time of hydrate formation was improved (shortened) in the lignosulfonates systems. At high concentrations, the lignosulfonates gas hydrate promotion strength is reduced [39].

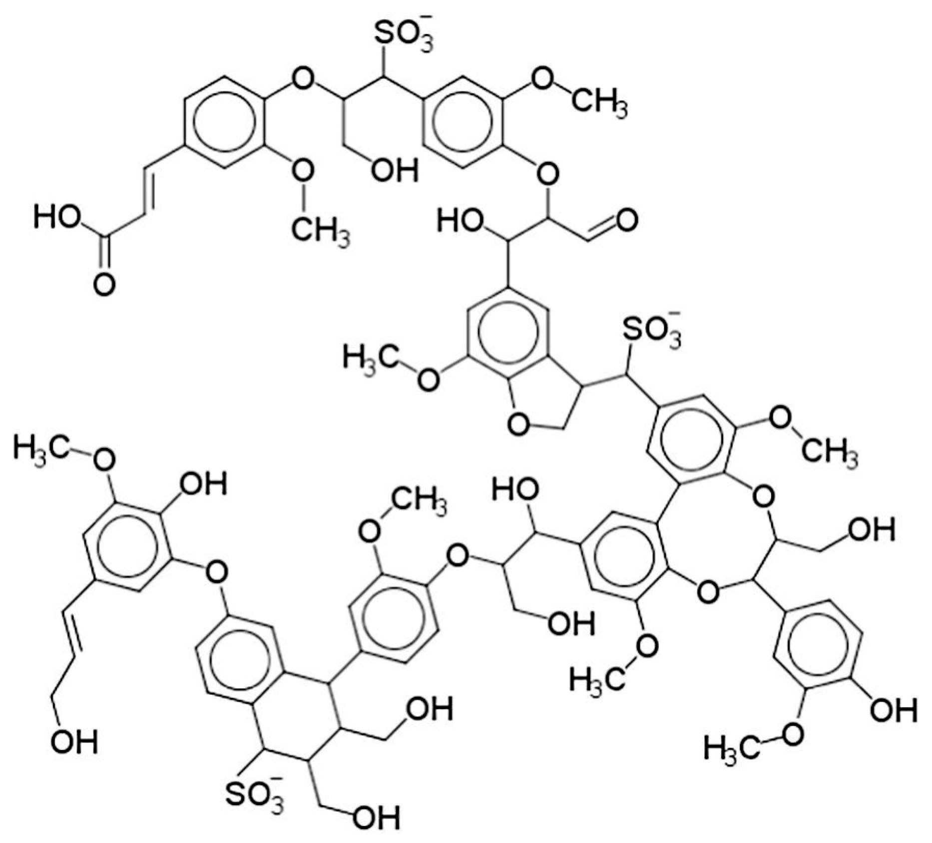
3.2.3. Surfactin

Surfactin is a biosurfactant, which is originally made from the culture broth of bacillussubtilis [56,57,58]. Surfactin is a cyclic lipopeptide (Figure 5) of seven amino acids and different 3-hydroxy fatty acids, with the main component being 3-hydroxy-13-methyl-myristic acid. In hydrate studies, the surfactin used is produced from marine-derived bacterial species using the Polymerase Chain Reaction (PCR) technique [36]. According to Bhattacharjee et al. [36], surfactin significantly promotes methane hydrate formation compared to pure water and SDS (at 1 wt.%). Bacillussubtilis bacterium from the ATCC 21332 species has also been used for hydrate studies [35]. The Bacillussubtilis bacterium was cultured anaerobically with glucose as a carbon source. The hydrate testing in porous media confirmed that the surfactin shorten the hydrate nucleation time and increased the hydrate formation markedly. The hydrate morphology in the presence of surfactin appears to be large and nodule-like under the anaerobically generated surfactin. The morphology is similar to marine hydrate formation in anaerobic bacteria.
The production of the surfactin biosurfactant via anaerobic activities in hydrate formation zones controls the hydrate stability and growth formation in hydrate sediments [35]. Jadav et al. [30] also tested surfactin on methane hydrate formation and claimed that lower concentrations of surfactin (<200 ppm) have a negligible impact on methane nucleation. At 400 ppm, surfactin exhibits higher hydrate formation than water due to its hydrate promotional impact at such a concentration. In comparison to rhamnolipid and SDS, rhamnolipid performs better than surfactin at lower concentrations (200 ppm), while surfactin is better that rhamnolipid at slightly higher concentrations (400 ppm) [30]. However, it is advisable not to study their hydrate promotional impact above 400 ppm. This is because at such concentrations, their performance reduces and might lead to hydrate inhibition. It is recommended that for hydrate inhibition purposes, both rhamnolipid and surfactin can be tested at concentrations below their CMC but not at less than 400 ppm [30].

3.2.4. Sunflower Oil-Based Promoters (SFOPs)

SFOPs are surfactants specifically synthesized to exhibit suitable hydrophilic and hydrophobic properties for gas hydrate-based applications. They could appear in different forms but for gas hydrate-related studies, only two types of SFOPs are used (see Figure 6). The two types are similar in the presence of branched structures with several carboxylic acid and sulfonate groups but differ in the number of hydrophilic groups [41].
Through an experimental and molecular dynamics simulation study, Farhadian et al. [41] proved that sunflower oil-based promoters (SFOPs) have the potential to promote methane hydrate formation behaviour more than SDS. Specifically, SFOP with six hydrophilic groups increased the methane hydrate formation rate constant of SDS by 2.5 times. However, their ability to reduce hydrate nucleation time was poor compared with SDS. Thus, aside from being used as promoters, SFOPs might have some potential as anti-agglomerate gas hydrate inhibitors.

3.2.5. Cocos Nucifera

Cocos nucifera biosurfactant produced from the fatty acids of coconut has been studied for its gas hydrate formation enhancement and storage for gas storage and transportation applications. Experimental evidence exhibits that CDS acts as a good gas hydrate promotor like SDS. It also exhibited mild foaming behaviour than SDS [34]. In the methane hydrate system, Cocos nucifera has similar promotional strength as SDS. In the area of gas storage, CDS has proven to lower the hydrate decomposition rate by maintaining about 90% of gas stored in it for 12 days under certain thermodynamic conditions [34].

3.2.6. Sulfonated Lignin (SL)

Sulfonates lignin is a soluble polymer with anionic properties. It is mostly synthesized from by-products of wood pulp using sulfite pulping [59,60,61]. SL is a novel surfactant used for hydrate applications as a gas hydrate promoter. Ge et al. [37] recently claimed that SL could promote natural gas hydrate formation and store the hydrate under controlled thermodynamic conditions. In natural gas systems, SL increases the hydrate storage capacity from 300 ppm to 500 ppm, however above 500 ppm, the hydrate storage capacity is similar with no significate changes. Compared to other surfactants (sodium dodecyl sulfate, silicone surfactant, and ethylene diamine tetraacetamide), SL performs better in hydrate storage capacity [37]. Like most surfactants, SL does not exhibit a significant effect on gas hydrate phase behaviour. Mofrad et al. [40] further confirmed that SL stores more natural gas as a hydrate than SDS by 14% at 500 ppm. SL could store hydrates in solid form for longer periods with a slower decomposition rate than SDS. SL also has similar behaviour to sunflower biosurfactants in terms of hydrate formation nucleation effect. They both prolong hydrate nucleation time. However, SL further promotes CO2/CH4 gas mixture hydrate systems with a higher gas consumption capacity than SDS, THF, and tetra-n-butyl phosphonium bromide (TBPB). The SL hydrate promotional performance is enhanced when mixed with THF [38].

3.2.7. Comparative Analysis on the Impact of Biosurfactants on Hydrate Formation

To evaluate the performance of reported biosurfactants in the literature, a relative hydrate promotional potential method was reported by Bavoh et al. [62]. This method was used in an attempt to overcome the barriers or limitations that affect gas hydrate kinetic behaviour [63,64], especially the effects of reactor type, roughness, stirring speed, cooling gradient, etc. In Figure 7, it is observed that almost all reported biosurfactants have the ability to enhance the hydrate nucleation processes, which is a key property or ability for their use in most gas hydrate applications. Amongst the reported biosurfactants, SFOPs have demonstrated a strong superiority in promoting gas hydrate formation nucleation time within 71–89% promotional strength. The performance of SFOPs on hydrate formation kinetics is supported by the work of Farhadian et al. [41]. They confirmed that SFOPs increased the transfer of gas molecules to the growing hydrate surface, which led to enhancing the kinetics of methane hydrate formation by their ability to improve the hydrogen bonds between water–water molecules.
Aside SFOPs, surfactin could promote the gas hydrate formation rate and time more than rhamnolipid, fatty acid, emulsan, snomax, DPPS, POPC, and DMPC as shown in Figure 7 and Figure 8. All the biosurfactants promote both the hydrate nucleation time and rate of formation except fatty acids. Fatty acid turns out to have a slow impact on hydrate growth rate, which could disadvantage its application in gas hydrate technologies such as gas separation and storage. However, this behaviour of fatty acid could be useful in the flow assurance industry to manage gas hydrate plug formation. The performance of surfactin over these biosurfactants is due to their higher ionic nature and capability of interacting with the hydrate-forming media than the other biosurfactants. Also, surfactin supports a more favourable environment with a high surface adsorption, micellar formation, and hydrophilic and hydrophobic moieties that allows it to bring together hydrocarbon gases in the hydrate forming system than other biosurfactants.

4. Modelling/Simulation Studies

In the quest to find potential green chemicals of gas hydrate technological applications, the use of experimental results provides poor information on the atomistic and macroscopic behaviour of additives on hydrate formation. However, understanding the macroscopic mechanism and the interaction between different additives and the hydrate systems is very important to develop new additives and tailor additive synthesis for specific hydrate applications. Aside studying the microscopic behaviour of biosurfactants in gas hydrate systems, the use of empirical models to predict the hydrate formation behaviour in the presence of biosurfactants is useful for design and operational purposes. In view of this molecular dynamics (MD) simulation method is an effective tool that is used to provide atomistic studies of hydrates in the presence of additives. Also, the use of modified gas hydrate thermodynamic or kinetic models is also employed to predict the hydrate formation behaviour in additives.
Modelling and simulation studies on the use of biosurfactants for hydrate applications are rarely reported in the literature. The modelling study by Palodkar and Jana [27] was designed to give more insight to hydrate formation behaviour in silica-gel porous media with a biosurfactants (rhamnolipids) system. Their model is basically a mathematic approach, which incorporates the chemical potential of important factors that affects hydrate promotions in porous media and surfactant systems. The models also incorporate other critical factors such as porous material nonuniform size and shape of internal pores, hydrates surface rekindling effect, hydrate formation in the interstitial and interior pore spaces of the unconsolidated porous particles, surface tension effect, and effect of salt ions on hydrate nucleation and growth. The model performance in relation to experimental data shows an average absolute relative deviation (AARD) of 3.45–7.78. However, the model is quite flexible and can predict a wide range of porous media systems, such as varying biosurfactants concentrations, different temperatures and pressures, diverse porous material and their particle sizes, and fixed bed saturation [27].
A molecular dynamic (MD) simulation by Farhadian et al. [41] using Gromacs 5.1.4 package was used to study the hydrate promotion behaviour of sunflower oil biosurfactants. The molecular structures of the biosurfactants and water molecules were built using the Gaussian 03 program package and TIP4P/ice, respectively. The LINCS algorithm was used to constrain all bonds including hydrogen atoms. They proposed that the presence of enhanced hydrogen bonds between water–water molecules mainly controls the hydrate promotion impact of biosurfactants. This behaviour leads to an increasing transfer of gas molecules to the growing hydrate surface [41]. The current modelling and simulation studies lack a detailed representation of the behaviour of most studied biosurfactants on hydrate formation behaviour. Especially in areas for providing molecular-level hydrate promotion mechanisms using biosurfactants for different gas hydrate formers.

5. Biosurfactants Hydrate Promotional Mechanism

The impact of biosurfactants is similar to conventional surfactants. Palodkar and Jana [27] postulated an interfacial tension reduction-enhanced hydrate formation growth mechanism for biosurfactants. This mechanism is based on the ability of biosurfactants to disrupt and reduce the interfacial tension between the parental phases of the hydrate structure. Thus, increasing the ability of the hydrate crystals to form favourable structures for further hydrate growth or gas uptake. This behaviour is controlled by several properties of the biosurfactants. The main factors that affect the biosurfactants’ hydrate promotional impact are the critical micelle concentration and kraft point temperatures. Aside from the critical micelle concentration and the kraft point, other parameters such as the interfacial tension, adhesion energy, and contact forces mostly affect the hydrate promotional behaviour of biosurfactants (Figure 9). The interfacial tension and contact forces reduction, which leads to hydrate promotion, are achieved by minimizing the surface energy and forces connected to the gas hydrate systems. This is mostly controlled by the hydrophilic and hydrophobic properties of the biosurfactants [35]. Hou et al. [33] showed that the presence of biosurfactants in hydrate systems smoothens the hydrate morphology of the hydrate structure. This was confirmed via powder diffraction (PXRD) analysis. They claimed that increasing the biosurfactant (rhamnolipid) concentration further smoothens the hydrate surface. This morphological smoothening effect was speculated as an ordered surface-motivated hydrate anti-agglomeration effect. Based on a research perspective, the promotional mechanism of biosurfactants is not well established in the literature and thus requires critical attention from the gas hydrate community, especially natural gas hydrate formation systems [37,40].

6. Recommendations and Prospects

The use of biosurfactants for gas hydrate-based applications has shown promising performances in lab-scale experimental evidence as discussed in this paper. Therefore, in relation to the maturity of commercializing hydrate-based technologies, the rate of hydrate formation using biosurfactants should be improved with more experimental studies on new biosurfactants on different gas hydrate formers. Also, synergistic studies of biosurfactants and conventional surfactants and other biomolecules (such as amino acids) could possibly yield an improved additive for high hydrate formation yields. The regeneration of biosurfactants takes time and poses as a demerit for their applications. It is therefore recommended to develop biosurfactants that could easily be regenerated in chemical processes. In systems like gas separations and capture, the selectivity of biosurfactants is very critical and requires more experimental investigations in varying mixed-gas systems. The hydrate promotion mechanism of biosurfactants is poorly discussed in the literature. This knowledge gap needs to be filled to provide insight into screening, selecting, and modelling biosurfactant behaviour for hydrate-based technologies. Hence, the use of MD simulations to study the molecular behaviour of biosurfactants is needed in the literature. Techno-economic analysis alongside pilot scale testing of gas hydrate technologies in the presence of biosurfactants is needed to pave the way for the successful application of surfactants in gas hydrate-based technologies.

7. Conclusions

In this manuscript, we reviewed almost all the relevant literature on the use of biosurfactants in gas hydrate applications. The findings of this work conclude that biosurfactants are potential molecules that could replace conventional surfactants in gas hydrate-based technologies. The widely used biosurfactants for gas hydrate studies are from bacterial sources with a few others from plant sources. The use of biosurfactants enhances the hydrate formation kinetics by increasing their gas-to-hydrate storage capacity while providing substantial self-preservation potentials. The gas hydrate nucleation time and growth rate can be increased by 18–89% and 78–279%, respectively, in the presence of biosurfactants. Specifically, surfactin, rhamnolipid, and sunflower-based biosurfactants are the best bio-additives that could be used in the gas hydrate technological-piloting stage. Biosurfactants promote hydrate formation by the ability of their hydrophobic and hydrophilic to alter and reduce the interfacial tension, adhesion energy, and contact forces between hydrate, water, and gas molecules. The behaviour of biosurfactants as hydrate promoters can be potentially adopted for anti-agglomerate hydrate inhibition application. By far, biosurfactants exhibit a negligible effect on hydrate structural and phase behaviour properties. Nonetheless, further experimental, modelling, and MD simulations are needed to fully comprehend the role of biosurfactants on gas hydrate promotional mechanisms. Such studies will unfold the potential of biosurfactants for commercial future hydrate-based technologies.

Author Contributions

Conceptualization, C.B.B.; methodology, C.B.B. and E.B.-B.; software, E.B.-B.; validation, C.B.B., E.B.-B. and S.A.M.; formal analysis, C.B.B., E.B.-B. and S.A.M.; investigation, C.B.B., E.B.-B. and S.A.M.; resources, C.B.B., E.B.-B. and S.A.M.; data curation, C.B.B. and E.B.-B.; writing—original draft preparation, C.B.B., E.B.-B. and S.A.M.; writing—review and editing, C.B.B., E.B.-B. and S.A.M.; visualization, C.B.B.; supervision, C.B.B. and E.B.-B.; project administration, C.B.B. and E.B.-B.; and funding acquisition, C.B.B. and E.B.-B. All authors have read and agreed to the published version of the manuscript.

Funding

This research received no external funding.

Institutional Review Board Statement

Not applicable.

Informed Consent Statement

Not applicable.

Data Availability Statement

No new data were created or analysed in this study. Data sharing is not applicable to this article.

Acknowledgments

The authors thank the University of Mines and Technology, Tarkwa for providing the facilities for this work.

Conflicts of Interest

The authors declare no conflict of interest.

References

  1. Rehman, A.; Bavoh, C.; Lal, B.; Sabil, K.; Sangwai, J. Insights on CO2 Hydrate Formation and Dissociation Kinetics of Amino Acids in a Brine Solution. Ind. Eng. Chem. Res. 2022, 61, 13863–13876. [Google Scholar]
  2. Rehman, A.N.; Bavoh, C.B.; Pendyala, R.; Lal, B. Research Advances, Maturation, and Challenges of Hydrate-Based CO2 Sequestration in Porous Media. ACS Sustain. Chem. Eng. 2021, 9, 15075–15108. [Google Scholar] [CrossRef]
  3. Sabil, K.M.; Nashed, O.; Lal, B.; Ismail, L.; Japper-Jaafar, A.; Nashed, O.; Lal, B.; Ismail, L. Experimental investigation on the dissociation conditions of methane hydrate in the presence of imidazolium-based ionic liquids. J. Chem. Thermodyn. 2015, 84, 7–13. [Google Scholar] [CrossRef]
  4. Broni-Bediako, E.; Amorin, R.; Bavoh, C.B. Gas hydrate formation phase boundary behaviour of synthetic natural gas system of the Keta basin of Ghana. Open Pet. Eng. J. 2017, 10, 64–72. [Google Scholar] [CrossRef]
  5. Yuha, Y.B.M.; Bavoh, C.B.; Lal, B.; Broni-bediako, E. South African Journal of Chemical Engineering Methane hydrate phase behaviour in EMIM-Cl water based mud (WBM): An experimental and modelling study. S. Afr. J. Chem. Eng. 2020, 34, 47–56. [Google Scholar]
  6. Bavoh, C.B.; Nashed, O.; Khan, M.S.; Partoon, B.; Lal, B.; Sharif, A.M. The impact of amino acids on methane hydrate phase boundary and formation kinetics. J. Chem. Thermodyn. 2018, 117, 48–53. [Google Scholar] [CrossRef]
  7. Bavoh, C.B.; Sambo, C.; Quainoo, A.K.; Lal, B. Intelligent prediction of methane hydrate phase boundary conditions in ionic liquids using deep learning algorithms. Pet. Sci. Technol. 2023, 0, 1–20. [Google Scholar] [CrossRef]
  8. Sloan, E.D. Gas hydrates: Review of physical/chemical properties. Energy Fuels 1998, 12, 191–196. [Google Scholar] [CrossRef]
  9. Bavoh, C.B.; Ofei, T.N.; Lal, B. Investigating the Potential Cuttings Transport Behavior of Ionic Liquids in Drilling Mud in the Presence of sII Hydrates. Energy Fuels 2020, 34, 2903–2915. [Google Scholar] [CrossRef]
  10. Rehman, A.N.; Pendyala, R.; Lal, B. Effect of brine on the kinetics of Carbon dioxide hydrate formation and dissociation in porous media. Mater. Today Proc. 2021, 47, 1366–1370. [Google Scholar] [CrossRef]
  11. Bavoh, C.B.; Lal, B.; Lau, K.K. Introduction to Gas Hydrates; Springer: Cham, Switzerland, 2020. [Google Scholar]
  12. Nashed, O.; Partoon, B.; Lal, B.; Sabil, K.M.; Shariff, A.M. Investigation of functionalized carbon nanotubes’ performance on carbon dioxide hydrate formation. Energy 2019, 174, 602–610. [Google Scholar]
  13. Partoon, B.; Malik, S.N.A.; Azemi, M.H.; Sabil, K.M. Experimental investigations on the potential of SDS as low-dosage promoter for carbon dioxide hydrate formation. ASIA-PACIFIC J. Chem. Eng. 2013, 8, 258–261. [Google Scholar] [CrossRef]
  14. Xie, N.; Liu, Z.; Yang, S.; Tan, C. Energy Efficiency Analysis of Postcombustion Hydrate-Based CO2 Capture with Tetrahydrofuran and Tetra- n-butylammonium Bromide. Ind. Eng. Chem. Res. 2020, 59, 802–813. [Google Scholar] [CrossRef]
  15. Xie, N.; Chen, B.; Tan, C.; Liu, Z. Energy Consumption and Exergy Analysis of MEA-Based and Hydrate-Based CO2 Separation. Ind. Eng. Chem. Res. 2017, 56, 15094–15101. [Google Scholar]
  16. Lal, B.; Bavoh, C.B.; Ofei, T.N. Hydrate Control in Drilling Mud; Springer: Cham, Switzerland, 2022; ISBN 978-3-030-94129-1. [Google Scholar]
  17. Xu, C.G.; Li, X.S. Research Progress of Hydrate-based CO2 Separation and Capture from Gas Mixtures. RSC Adv. 2014, 4, 18301–18316. [Google Scholar]
  18. Zheng, J.; Lee, Y.K.; Babu, P.; Zhang, P.; Linga, P. Impact of fixed bed reactor orientation, liquid saturation, bed volume and temperature on the clathrate hydrate process for pre-combustion carbon capture. J. Nat. Gas Sci. Eng. 2016, 35, 1499–1510. [Google Scholar] [CrossRef]
  19. Banat, I.M.; Carboué, Q.; Saucedo-Castañeda, G.; de Jesús Cázares-Marinero, J. Biosurfactants: The green generation of speciality chemicals and potential production using Solid-State fermentation (SSF) technology. Bioresour. Technol. 2021, 320, 124222. [Google Scholar] [PubMed]
  20. Mallik, T.; Banerjee, D. Biosurfactants: The Potential Green Surfactants in The 21st Century. J. Adv. Sci. Res. 2022, 13, 97–106. [Google Scholar] [CrossRef]
  21. Marti, M.E.; Colonna, W.J.; Patra, P.; Zhang, H.; Green, C.; Reznik, G.; Pynn, M.; Jarrell, K.; Nyman, J.A.; Somasundaran, P.; et al. Production and characterization of microbial biosurfactants for potential use in oil-spill remediation. Enzyme Microb. Technol. 2014, 55, 31–39. [Google Scholar] [CrossRef]
  22. Perfumo, A.; Banat, I.M.; Marchant, R. Going Green and Cold: Biosurfactants from Low-Temperature Environments to Biotechnology Applications. Trends Biotechnol. 2018, 36, 277–289. [Google Scholar] [CrossRef]
  23. Jahan, R.; Bodratti, A.M.; Tsianou, M.; Alexandridis, P. Biosurfactants, natural alternatives to synthetic surfactants: Physicochemical properties and applications. Adv. Colloid Interface Sci. 2020, 275, 102061. [Google Scholar] [CrossRef]
  24. He, Y.; Sun, M.T.; Chen, C.; Zhang, G.D.; Chao, K.; Lin, Y.; Wang, F. Surfactant-based promotion to gas hydrate formation for energy storage. J. Mater. Chem. A 2019, 7, 21634–21661. [Google Scholar] [CrossRef]
  25. Xia, Z.; Zhao, Q.; Chen, Z.; Li, X.; Zhang, Y.; Xu, C.; Yan, K. Review of methods and applications for promoting gas hydrate formation process. J. Nat. Gas Sci. Eng. 2022, 101, 104528. [Google Scholar]
  26. Jiang, L.; Xu, N.; Liu, Q.; Cheng, Z.; Liu, Y.; Zhao, J. Review of Morphology Studies on Gas Hydrate Formation for Hydrate-Based Technology. Cryst. Growth Des. 2020, 20, 8148–8161. [Google Scholar]
  27. Palodkar, A.V.; Jana, A.K. Clathrate hydrate dynamics with synthetic- and bio-surfactant in porous media: Model formulation and validation. Chem. Eng. Sci. 2020, 213, 115386. [Google Scholar]
  28. Rogers, R.E.; Kothapalli, C.; Lee, M.S.; Woolsey, J.R. Catalysis of gas hydrates by biosurfactants in seawater-saturated sand/clay. Can. J. Chem. Eng. 2003, 81, 973–980. [Google Scholar] [CrossRef]
  29. Rogers, R.; Zhang, G.; Dearman, J.; Woods, C. Investigations into surfactant/gas hydrate relationship. J. Pet. Sci. Eng. 2007, 56, 82–88. [Google Scholar] [CrossRef]
  30. Jadav, S.; Sakthipriya, N.; Doble, M.; Sangwai, J.S. Effect of biosurfactants produced by Bacillus subtilis and Pseudomonas aeruginosa on the formation kinetics of methane hydrates. J. Nat. Gas Sci. Eng. 2017, 43, 156–166. [Google Scholar]
  31. Arora, A.; Cameotra, S.S.; Balomajumder, C.; Kumar, R.; Singh, A.K.; Santhakumari, B.; Kumar, P.; Laik, S. Rhamonolipids produced by Pseudomonas aeruginosa promotes methane hydrates formation in fixed bed silica gel medium. Mar. Geophys. Res. 2021, 42, 1–11. [Google Scholar]
  32. Arora, A.; Cameotra, S.S.; Kumar, R.; Balomajumder, C.; Singh, A.K.; Santhakumari, B.; Kumar, P.; Laik, S. Biosurfactant as a Promoter of Methane Hydrate Formation: Thermodynamic and Kinetic Studies. Sci. Rep. 2016, 6, 20893. [Google Scholar] [CrossRef]
  33. Hou, G.; Liang, D.; Li, X. Experimental study on hydrate anti-agglomeration in the presence of rhamnolipid. RSC Adv. 2018, 8, 39511–39519. [Google Scholar]
  34. Mahant, B.; Kushwaha, O.S.; Kumar, R. Synthesis of Cocos nucifera derived surfactant and its application in growth kinetics of methane gas hydrates for energy storage and transportation. Energy Convers. Manag. 2022, 269, 116044. [Google Scholar] [CrossRef]
  35. Zhang, G.; Rogers, R.E.; French, W.T.; Lao, W. Investigation of microbial influences on seafloor gas-hydrate formations. Mar. Chem. 2007, 103, 359–369. [Google Scholar] [CrossRef]
  36. Bhattacharjee, G.; Barmecha, V.; Pradhan, D.; Naik, R.; Zare, K.; Mawlankar, R.B.; Dastager, S.G.; Kushwaha, O.S.; Kumar, R. The Biosurfactant Surfactin as a Kinetic Promoter for Methane Hydrate Formation. Energy Procedia 2017, 105, 5011–5017. [Google Scholar] [CrossRef]
  37. Ge, B.B.; Li, X.Y.; Zhong, D.L.; Lu, Y.Y. Investigation of natural gas storage and transportation by gas hydrate formation in the presence of bio-surfactant sulfonated lignin. Energy 2022, 244, 122665. [Google Scholar] [CrossRef]
  38. Yi, J.; Zhong, D.L.; Yan, J.; Lu, Y.Y. Impacts of the surfactant sulfonated lignin on hydrate based CO2 capture from a CO2/CH4 gas mixture. Energy 2019, 171, 61–68. [Google Scholar]
  39. Wang, W.; Huang, Z.; Chen, H.; Tan, Z.; Chen, C.; Sun, L. Methane hydrates with a high capacity and a high formation rate promoted by biosurfactants. Chem. Commun. 2012, 48, 11638–11640. [Google Scholar] [CrossRef] [PubMed]
  40. Mofrad, R.H.; Ganji, H.; Nazari, K.; Kameli, M.; Rezaie Rod, A.; Kakavand, M. Rapid formation of dry natural gas hydrate with high capacity and low decomposition rate using a new effective promoter. J. Pet. Sci. Eng. 2016, 147, 756–759. [Google Scholar] [CrossRef]
  41. Farhadian, A.; Heydari, A.; Maddah, M.; Hosseini, M.S.; Sadeh, E.; Peyvandi, K.; Varaminian, F. Renewable biosurfactants for energy-efficient storage of methane: An experimental and computational investigation. Chem. Eng. J. 2022, 427, 131723. [Google Scholar] [CrossRef]
  42. Souza, E.C.; Vessoni-Penna, T.C.; De Souza Oliveira, R.P. Biosurfactant-enhanced hydrocarbon bioremediation: An overview. Int. Biodeterior. Biodegrad. 2014, 89, 88–94. [Google Scholar]
  43. Johnson, P.; Trybala, A.; Starov, V.; Pinfield, V.J. Effect of synthetic surfactants on the environment and the potential for substitution by biosurfactants. Adv. Colloid Interface Sci. 2021, 288, 102340. [Google Scholar] [CrossRef]
  44. Karlapudi, A.P.; Venkateswarulu, T.C.; Tammineedi, J.; Kanumuri, L.; Ravuru, B.K.; Ramu Dirisala, V.; Kodali, V.P. Role of biosurfactants in bioremediation of oil pollution—A review. Petroleum 2018, 4, 241–249. [Google Scholar] [CrossRef]
  45. Yang, M.; Song, Y.; Liu, W.; Zhao, J.; Ruan, X.; Jiang, L.; Li, Q. Effects of additive mixtures (THF/SDS) on carbon dioxide hydrate formation and dissociation in porous media. Chem. Eng. Sci. 2012, 90, 69–76. [Google Scholar]
  46. Kakati, H.; Mandal, A.; Laik, S. Effect of SDS/THF on thermodynamic and kinetic properties of formation of hydrate from a mixture of gases (CH4 + C2H6 + C3H8) for storing gas as hydrate. J. Energy Chem. 2016, 25, 409–417. [Google Scholar]
  47. Nashed, O.; Lal, B.; Partoon, B.; Sabil, K.; Hamed, Y. Kinematic Study of Methane Hydrate Formation and Self-Preservation in the Presence of Functionalized Carbon Nanotubes. Energy Fuels 2019, 33, 7684–7695. [Google Scholar] [CrossRef]
  48. Heydari, A.; Peyvandi, K. Study of biosurfactant effects on methane recovery from gas hydrate by CO2 replacement and depressurization. Fuel 2020, 272, 117681. [Google Scholar] [CrossRef]
  49. Ma, Z.W.; Zhang, P.; Bao, H.S.; Deng, S. Review of fundamental properties of CO2 hydrates and CO2 capture and separation using hydration method. Renew. Sustain. Energy Rev. 2016, 53, 1273–1302. [Google Scholar]
  50. Eslamimanesh, A.; Gharagheizi, F.; Illbeigi, M.; Mohammadi, A.H.; Fazlali, A.; Richon, D. Phase equilibrium modeling of clathrate hydrates of methane, carbon dioxide, nitrogen, and hydrogen+water soluble organic promoters using Support Vector Machine algorithm. Fluid Phase Equilib. 2012, 316, 34–45. [Google Scholar] [CrossRef]
  51. Chong, H.; Li, Q. Microbial production of rhamnolipids: Opportunities, challenges and strategies. Microb. Cell Fact. 2017, 16, 1–12. [Google Scholar] [CrossRef] [PubMed]
  52. Ahmadi-Ashtiani, H.R.; Baldisserotto, A.; Cesa, E.; Manfredini, S.; Zadeh, H.S.; Gorab, M.G.; Khanahmadi, M.; Zakizadeh, S.; Buso, P.; Vertuani, S. Microbial biosurfactants as key multifunctional ingredients for sustainable cosmetics. Cosmetics 2020, 7, 1–34. [Google Scholar]
  53. Abdel-Mawgoud, A.M.; Lépine, F.; Déziel, E. Rhamnolipids: Diversity of structures, microbial origins and roles. Appl. Microbiol. Biotechnol. 2010, 86, 1323–1336. [Google Scholar] [CrossRef]
  54. Gonçalves, S.; Ferra, J.; Paiva, N.; Martins, J.; Carvalho, L.H.; Magalhães, F.D. Lignosulphonates as an alternative to non-renewable binders in wood-based materials. Polymers 2021, 13, 4196. [Google Scholar] [CrossRef] [PubMed]
  55. Ruwoldt, J. A Critical Review of the Physicochemical Properties of Lignosulfonates: Chemical Structure and Behavior in Aqueous Solution, at Surfaces and Interfaces. Surfaces 2020, 3, 622–648. [Google Scholar]
  56. Janek, T.; Gudiña, E.J.; Połomska, X.; Biniarz, P.; Jama, D.; Rodrigues, L.R.; Rymowicz, W.; Lazar, Z. Sustainable surfactin production by bacillus subtilis using crude glycerol from different wastes. Molecules 2021, 26, 3488. [Google Scholar] [CrossRef] [PubMed]
  57. Fox, S.L.; Bala, G.A. Production of surfactant from Bacillus subtilis ATCC 21332 using potato substrates. Bioresour. Technol. 2000, 75, 235–240. [Google Scholar] [CrossRef]
  58. Al-Wahaibi, Y.; Joshi, S.; Al-Bahry, S.; Elshafie, A.; Al-Bemani, A.; Shibulal, B. Biosurfactant production by Bacillus subtilis B30 and its application in enhancing oil recovery. Colloids Surf. B Biointerfaces 2014, 114, 324–333. [Google Scholar] [CrossRef]
  59. Tribot, A.; Amer, G.; Abdou Alio, M.; de Baynast, H.; Delattre, C.; Pons, A.; Mathias, J.D.; Callois, J.M.; Vial, C.; Michaud, P.; et al. Wood-lignin: Supply, extraction processes and use as bio-based material. Eur. Polym. J. 2019, 112, 228–240. [Google Scholar] [CrossRef]
  60. Naseem, A.; Tabasum, S.; Zia, K.M.; Zuber, M.; Ali, M.; Noreen, A. Lignin-derivatives based polymers, blends and composites: A review. Int. J. Biol. Macromol. 2016, 93, 296–313. [Google Scholar] [CrossRef]
  61. Alwadani, N.; Fatehi, P. Synthetic and lignin-based surfactants: Challenges and opportunities. Carbon Resour. Convers. 2018, 1, 126–138. [Google Scholar] [CrossRef]
  62. Bavoh, C.B.; Ntow, T.; Lal, B.; Sharif, A.M.; Shahpin, M.H.B.A.; Sundramoorthy, J.D. Assessing the impact of an ionic liquid on NaCl / KCl / polymer water-based mud ( WBM ) for drilling gas hydrate-bearing sediments. J. Mol. Liq. 2019, 294, 111643. [Google Scholar] [CrossRef]
  63. Bavoh, C.B.; Yuha, Y.B.; Tay, W.H.; Ofei, T.N.; Lal, B.; Mukhtar, H. Experimental and Modelling of the impact of Quaternary Ammonium Salts / Ionic Liquid on the rheological and hydrate inhibition properties of Xanthan gum water-based muds for Drilling Gas Hydrate-Bearing Rocks. J. Pet. Sci. Eng. 2019, 183, 106468. [Google Scholar]
  64. Bavoh, C.B.; Lal, B.; Ben-Awuah, J.; Khan, M.S.; Ofori-Sarpong, G. Kinetics of Mixed Amino Acid and Ionic Liquid on CO2 Hydrate Formation. IOP Conf. Ser. Mater. Sci. Eng. 2019, 495, 012073. [Google Scholar] [CrossRef]
Figure 1. Common gas hydrate–based technologies that could potentially use biosurfactants.
Figure 1. Common gas hydrate–based technologies that could potentially use biosurfactants.
Methane 02 00020 g001
Figure 2. Properties of biosurfactants suitable for gas hydrate promotion.
Figure 2. Properties of biosurfactants suitable for gas hydrate promotion.
Methane 02 00020 g002
Figure 3. General chemical structure of rhamnolipids.
Figure 3. General chemical structure of rhamnolipids.
Methane 02 00020 g003
Figure 4. General chemical structure of lignosulfonates.
Figure 4. General chemical structure of lignosulfonates.
Methane 02 00020 g004
Figure 5. General chemical structure of surfactin.
Figure 5. General chemical structure of surfactin.
Methane 02 00020 g005
Figure 6. General chemical structure of sunflower oil−based promoters.
Figure 6. General chemical structure of sunflower oil−based promoters.
Methane 02 00020 g006
Figure 7. Relative induction time promotional potential of some reported biosurfactants [28,41].
Figure 7. Relative induction time promotional potential of some reported biosurfactants [28,41].
Methane 02 00020 g007
Figure 8. Relative rate of hydrate formation promotional potential of some reported biosurfactants [28].
Figure 8. Relative rate of hydrate formation promotional potential of some reported biosurfactants [28].
Methane 02 00020 g008
Figure 9. Factors that control and affect hydrate promotion in biosurfactants.
Figure 9. Factors that control and affect hydrate promotion in biosurfactants.
Methane 02 00020 g009
Table 1. Biosurfactants synthesized by various microbes for gas hydrate applications.
Table 1. Biosurfactants synthesized by various microbes for gas hydrate applications.
BiosurfactantMicroorganismsRef.
RhamnolipidPseudomonas aeruginosa[27,28,29,30,31,32,33]
Cocos nuciferaCocos nucifera oil[34]
SurfactinBacillus subtilis
bacterium
[29,30,35,36]
Sulfonated lignin/lignosulfonateWood pulp/biomass[37,38,39,40]
Sunflower oil-based promoters (SFOPs)Sunflower oil[41]
EmulsanAcinetobacter calcoaceticus[28,29]
Hydroxylated fatty acidCorynebacterium Lepus[28]
SnomaxPseudomonas syringae[28]
PhospholipidsThiobacillus species, Corynebacterium species[28]
Table 2. List of biosurfactants used for hydrate-based application.
Table 2. List of biosurfactants used for hydrate-based application.
BiosurfactantGas SystemConc. (ppm)RemarksRef.
RhamnolipidCO20.001156 g/mL
  • Rhamnolipid reduces the hydrate formation time of SDS by 20 times.
  • Rhamnolipid forms hydrate seven times quicker and 20% more than SDS.
  • Rhamnolipid increases CH4–CO2 replacement ability by 72, with more CO2 storage capacity.
[48]
Cocos nuciferaCH40.01–0.05 mol
  • CDS excellently promotes gas hydrate formation like SDS and exhibits less forming effect.
  • 90% CH4 could be stored as hydrate pellets for 12 days under controlled conditions in CDS.
[34]
Bacillus subtilisbacterium0.90 CH4 + 0.06 C2H6 + 0.04 C3H8100
  • The biosurfactant produced large nodule-like hydrates, which demonstrate their ability to stabilize formation in porous media.
[29]
Sulfonated ligninCH4 and CO2300–1000
  • The sulfonated lignin promotes hydrate formation more than SDS. It also has the ability to stabilize dissociation.
[38,40]
Sunflower oil-based promoters (SFOPs)CH4286–1500
  • SFOP slightly reduces hydrate nucleation time, growth rate, and storage capacity compared to SDS.
[41]
Rhamnolipid and surfactinCH4200–1000
  • Rhamnolipid and surfactin perform better as hydrate promoters than SDS.
[30]
SurfactinCH40.5–1 wt.%
  • Surfactin perform better as a hydrate promoter than SDS.
[36]
Calcium, sodium, and potassium lignosulfonateCH40.1–5 wt.%
  • Lignosulfonates have the ability to promote CH4 hydrate growth and rate with a high capacity of up to 170 v/v.
[39]
RhamnolipidCH40.1–1 wt.%
  • At 0.5 wt.%, rhamnolipid can minimise hydrate agglomeration.
[33]
Hydroxylated fatty acid, rhamnolipid, emulsan,
snomax, surfactin, and phospholipid
0.90 CH4 + 0.06 C2H6 + 0.04 C3H81000
  • Biosurfactants promote natural gas hydrate formation in sand/clay porous media systems with and with seawater.
[29]
RhamnolipidsCH4100–1000
  • Rhamnolipids are green gas hydrate kinetic promoters in silica gel systems.
[31]
RhamnolipidsCH4100–1000
  • Rhamnolipids are green gas hydrate kinetic promoters in silica gel systems.
[32]
Disclaimer/Publisher’s Note: The statements, opinions and data contained in all publications are solely those of the individual author(s) and contributor(s) and not of MDPI and/or the editor(s). MDPI and/or the editor(s) disclaim responsibility for any injury to people or property resulting from any ideas, methods, instructions or products referred to in the content.

Share and Cite

MDPI and ACS Style

Bavoh, C.B.; Broni-Bediako, E.; Marfo, S.A. Review of Biosurfactants Gas Hydrate Promoters. Methane 2023, 2, 304-318. https://doi.org/10.3390/methane2030020

AMA Style

Bavoh CB, Broni-Bediako E, Marfo SA. Review of Biosurfactants Gas Hydrate Promoters. Methane. 2023; 2(3):304-318. https://doi.org/10.3390/methane2030020

Chicago/Turabian Style

Bavoh, Cornelius B., Eric Broni-Bediako, and Solomon Adjei Marfo. 2023. "Review of Biosurfactants Gas Hydrate Promoters" Methane 2, no. 3: 304-318. https://doi.org/10.3390/methane2030020

APA Style

Bavoh, C. B., Broni-Bediako, E., & Marfo, S. A. (2023). Review of Biosurfactants Gas Hydrate Promoters. Methane, 2(3), 304-318. https://doi.org/10.3390/methane2030020

Article Metrics

Back to TopTop