Linking Error Estimation in Haberman Linking
Abstract
1. Introduction
2. Pairwise Haberman Linking Approach
3. Linking Error Estimation in the Pairwise Haberman Linking Approach
3.1. Standard Error
3.2. Linking Error
3.3. Bias-Corrected Linking Error
3.4. Total Error
3.5. Nonlinear Transformation
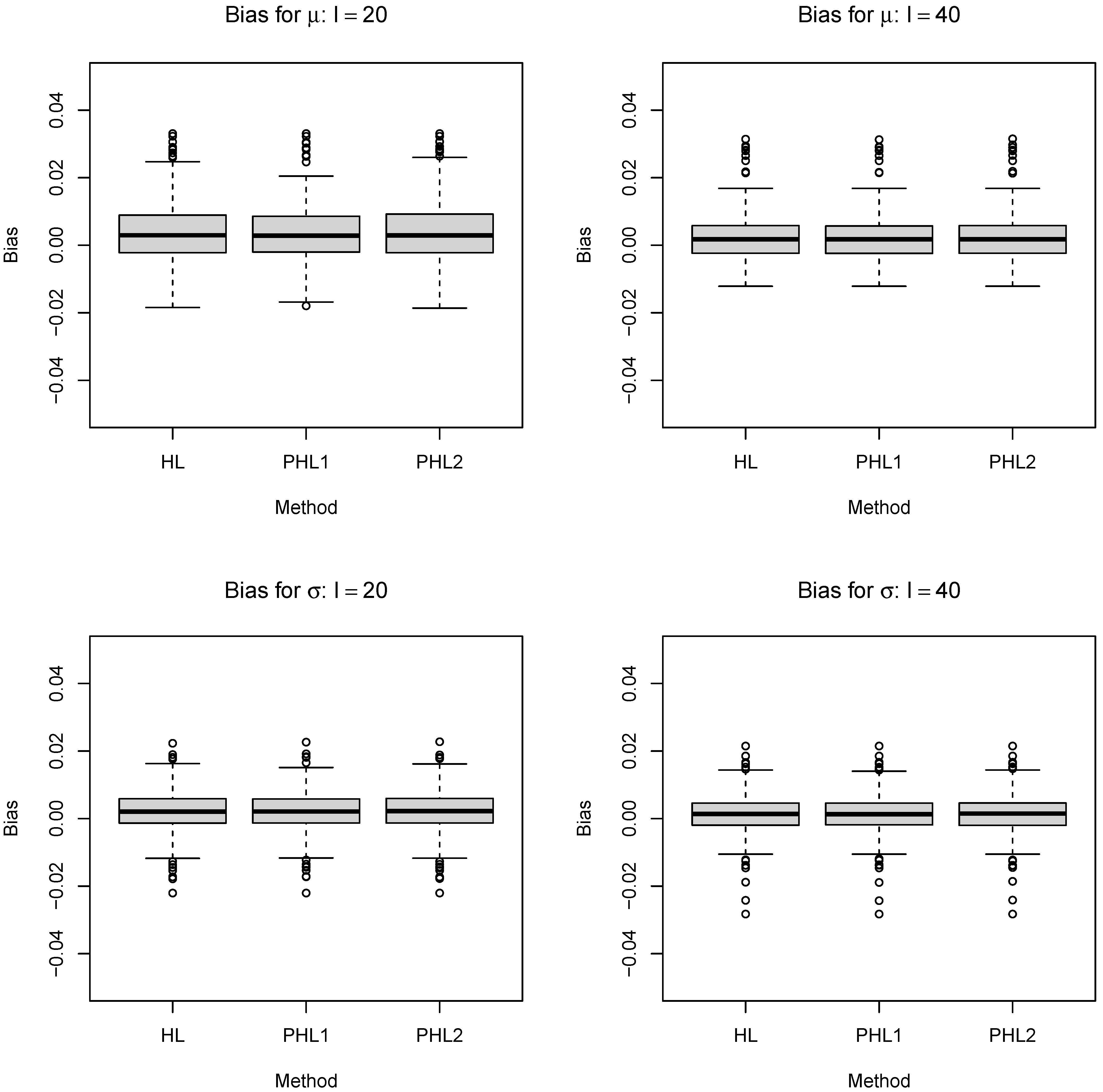
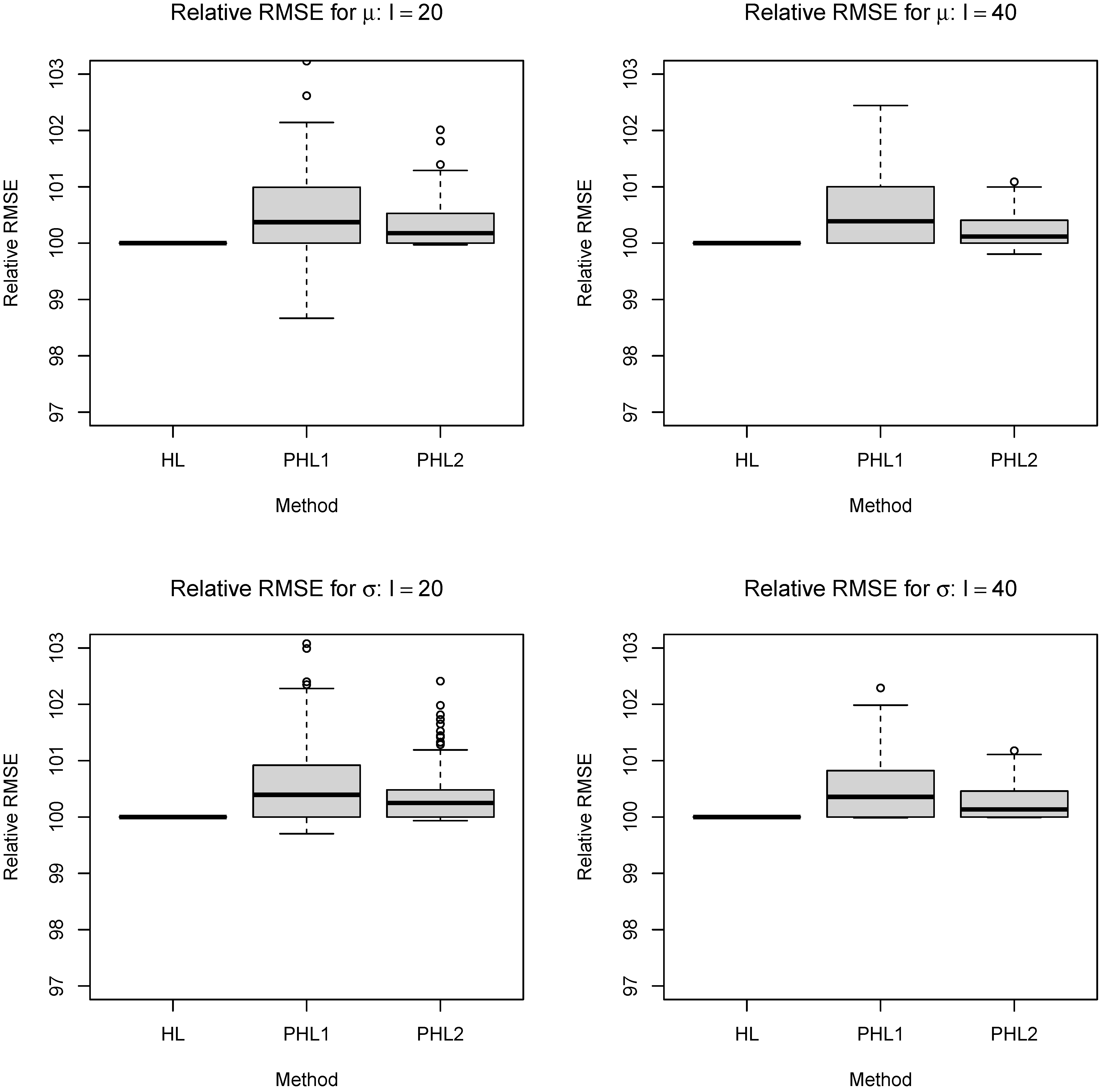
4. Simulation Study
4.1. Method
4.2. Results
5. Discussion
Funding
Institutional Review Board Statement
Informed Consent Statement
Data Availability Statement
Conflicts of Interest
Abbreviations
| 2PL | two-parameter logistic |
| DIF | differential item functioning |
| HL | Haberman linking |
| IA | invariance alignment |
| IRF | item response function |
| IRT | item response theory |
| MML | marginal maximum likelihood |
| LE | linking error |
| RMSE | root mean square error |
| SD | standard deviation |
| TE | total error |
| bias-corrected total error |
References
- Bock, R.D.; Gibbons, R.D. Item Response Theory; Wiley: Hoboken, NJ, USA, 2021. [Google Scholar] [CrossRef]
- Chen, Y.; Li, X.; Liu, J.; Ying, Z. Item response theory—A statistical framework for educational and psychological measurement. Stat. Sci. 2024; epub ahead of print. Available online: https://rb.gy/1yic0e (accessed on 19 November 2024).
- van der Linden, W.J. Unidimensional logistic response models. In Handbook of Item Response Theory, Volume 1: Models; van der Linden, W.J., Ed.; CRC Press: Boca Raton, FL, USA, 2016; pp. 11–30. [Google Scholar] [CrossRef]
- Xu, X.; von Davier, M. Fitting the structured general diagnostic model to NAEP data. ETS Res. Rep. Ser. 2008, 2008, i-18. [Google Scholar] [CrossRef]
- Casabianca, J.M.; Lewis, C. IRT item parameter recovery with marginal maximum likelihood estimation using loglinear smoothing models. J. Educ. Behav. Stat. 2015, 40, 547–578. [Google Scholar] [CrossRef]
- Birnbaum, A. Some latent trait models and their use in inferring an examinee’s ability. In Statistical Theories of Mental Test Scores; Lord, F.M., Novick, M.R., Eds.; MIT Press: Reading, MA, USA, 1968; pp. 397–479. [Google Scholar]
- San Martin, E. Identification of item response theory models. In Handbook of Item Response Theory, Volume 2: Statistical Tools; van der Linden, W.J., Ed.; CRC Press: Boca Raton, FL, USA, 2016; pp. 127–150. [Google Scholar] [CrossRef]
- Baker, F.B.; Kim, S.H. Item Response Theory: Parameter Estimation Techniques; CRC Press: Boca Raton, FL, USA, 2004. [Google Scholar] [CrossRef]
- Glas, C.A.W. Maximum-likelihood estimation. In Handbook of Item Response Theory, Volume 2: Statistical Tools; van der Linden, W.J., Ed.; CRC Press: Boca Raton, FL, USA, 2016; pp. 197–216. [Google Scholar] [CrossRef]
- Kolen, M.J.; Brennan, R.L. Test Equating, Scaling, and Linking; Springer: New York, NY, USA, 2014. [Google Scholar] [CrossRef]
- Holland, P.W.; Wainer, H. (Eds.) Differential Item Functioning: Theory and Practice; Lawrence Erlbaum: Hillsdale, NJ, USA, 1993. [Google Scholar] [CrossRef]
- Meredith, W. Measurement invariance, factor analysis and factorial invariance. Psychometrika 1993, 58, 525–543. [Google Scholar] [CrossRef]
- Penfield, R.D.; Camilli, G. Differential item functioning and item bias. In Handbook of Statistics, Vol. 26: Psychometrics; Rao, C.R., Sinharay, S., Eds.; Elsevier: Amsterdam, The Netherlands, 2007; pp. 125–167. [Google Scholar] [CrossRef]
- Wells, C.S. Assessing Measurement Invariance for Applied Research; Cambridge University Press: Cambridge, UK, 2021. [Google Scholar] [CrossRef]
- Millsap, R.E. Statistical Approaches to Measurement Invariance; Routledge: New York, NY, USA, 2011. [Google Scholar] [CrossRef]
- González, J.; Wiberg, M. Applying Test Equating Methods. Using R; Springer: New York, NY, USA, 2017. [Google Scholar] [CrossRef]
- Lee, W.C.; Lee, G. IRT linking and equating. In The Wiley Handbook of Psychometric Testing: A Multidisciplinary Reference on Survey, Scale and Test; Irwing, P., Booth, T., Hughes, D.J., Eds.; Wiley: New York, NY, USA, 2018; pp. 639–673. [Google Scholar] [CrossRef]
- Sansivieri, V.; Wiberg, M.; Matteucci, M. A review of test equating methods with a special focus on IRT-based approaches. Statistica 2017, 77, 329–352. [Google Scholar] [CrossRef]
- Brennan, R.L. Generalizabilty Theory; Springer: New York, NY, USA, 2001. [Google Scholar] [CrossRef]
- Michaelides, M.P. A review of the effects on IRT item parameter estimates with a focus on misbehaving common items in test equating. Front. Psychol. 2010, 1, 167. [Google Scholar] [CrossRef]
- Michaelides, M.P.; Haertel, E.H. Selection of common items as an unrecognized source of variability in test equating: A bootstrap approximation assuming random sampling of common items. Appl. Meas. Educ. 2014, 27, 46–57. [Google Scholar] [CrossRef]
- Sachse, K.A.; Roppelt, A.; Haag, N. A comparison of linking methods for estimating national trends in international comparative large-scale assessments in the presence of cross-national DIF. J. Educ. Meas. 2016, 53, 152–171. [Google Scholar] [CrossRef]
- Sachse, K.A.; Haag, N. Standard errors for national trends in international large-scale assessments in the case of cross-national differential item functioning. Appl. Meas. Educ. 2017, 30, 102–116. [Google Scholar] [CrossRef]
- Battauz, M. Multiple equating of separate IRT calibrations. Psychometrika 2017, 82, 610–636. [Google Scholar] [CrossRef]
- Monseur, C.; Berezner, A. The computation of equating errors in international surveys in education. J. Appl. Meas. 2007, 8, 323–335. [Google Scholar] [PubMed]
- OECD. PISA 2012. Technical Report; OECD: Paris, France, 2014; Available online: https://bit.ly/2YLG24g (accessed on 5 November 2024).
- Robitzsch, A.; Lüdtke, O. Linking errors in international large-scale assessments: Calculation of standard errors for trend estimation. Assess. Educ. 2019, 26, 444–465. [Google Scholar] [CrossRef]
- Robitzsch, A. Robust and nonrobust linking of two groups for the Rasch model with balanced and unbalanced random DIF: A comparative simulation study and the simultaneous assessment of standard errors and linking errors with resampling techniques. Symmetry 2021, 13, 2198. [Google Scholar] [CrossRef]
- Wu, M. Measurement, sampling, and equating errors in large-scale assessments. Educ. Meas. 2010, 29, 15–27. [Google Scholar] [CrossRef]
- Robitzsch, A. Linking error in the 2PL model. J 2023, 6, 58–84. [Google Scholar] [CrossRef]
- Robitzsch, A. Estimation of standard error, linking error, and total error for robust and nonrobust linking methods in the two-parameter logistic model. Stats 2024, 7, 592–612. [Google Scholar] [CrossRef]
- Robitzsch, A. Analytical approximation of the jackknife linking error in item response models utilizing a Taylor expansion of the log-likelihood function. AppliedMath 2023, 3, 49–59. [Google Scholar] [CrossRef]
- Robitzsch, A. Bias and linking error in fixed item parameter calibration. AppliedMath 2024, 4, 1181–1191. [Google Scholar] [CrossRef]
- Haberman, S.J. Linking parameter estimates derived from an item response model through separate calibrations. ETS Res. Rep. Ser. 2009, 2009, i-9. [Google Scholar] [CrossRef]
- Höft, L.; Bernholt, S. Domain-specific and activity-related interests of secondary school students. Longitudinal trajectories and their relations to achievement. Learn. Individ. Differ. 2021, 92, 102089. [Google Scholar] [CrossRef]
- Moehring, A.; Schroeders, U.; Wilhelm, O. Knowledge is power for medical assistants: Crystallized and fluid intelligence as predictors of vocational knowledge. Front. Psychol. 2018, 9, 28. [Google Scholar] [CrossRef] [PubMed]
- Neuenschwander, M.P.; Mayland, C.; Niederbacher, E.; Garrote, A. Modifying biased teacher expectations in mathematics and German: A teacher intervention study. Learn. Individ. Differ. 2021, 87, 101995. [Google Scholar] [CrossRef]
- Olaru, G.; Robitzsch, A.; Hildebrandt, A.; Schroeders, U. Examining moderators of vocabulary acquisition from kindergarten through elementary school using local structural equation modeling. Learn. Individ. Differ. 2022, 95, 102136. [Google Scholar] [CrossRef]
- Trendtel, M.; Pham, H.G.; Yanagida, T. Skalierung und Linking [Scaling and linking]. In Large-Scale Assessment mit R: Methodische Grundlagen der österreichischen Bildungsstandards-Überprüfung; Breit, S., Schreiner, C., Eds.; Facultas: Wien, Austria, 2016; pp. 185–224. Available online: https://tinyurl.com/4y9vxysh (accessed on 19 November 2024).
- Haberman, S.J. Models with nuisance and incidental parameters. In Handbook of Item Response Theory, Volume 2: Statistical Tools; van der Linden, W.J., Ed.; CRC Press: Boca Raton, FL, USA, 2016; pp. 151–170. [Google Scholar] [CrossRef]
- Lancaster, T. The incidental parameter problem since 1948. J. Econom. 2000, 95, 391–413. [Google Scholar] [CrossRef]
- Robitzsch, A. Lp loss functions in invariance alignment and Haberman linking with few or many groups. Stats 2020, 3, 246–283. [Google Scholar] [CrossRef]
- Asparouhov, T.; Muthén, B. Multiple-group factor analysis alignment. Struct. Equ. Model. 2014, 21, 495–508. [Google Scholar] [CrossRef]
- Muthén, B.; Asparouhov, T. IRT studies of many groups: The alignment method. Front. Psychol. 2014, 5, 978. [Google Scholar] [CrossRef]
- R Core Team. R: A Language and Environment for Statistical Computing; R Core Team: Vienna, Austria, 2024; Available online: https://www.R-project.org (accessed on 15 June 2024).
- Battauz, M. equateIRT: An R package for IRT test equating. J. Stat. Softw. 2015, 68, 1–22. [Google Scholar] [CrossRef]
- Battauz, M. equateMultiple: Equating of Multiple Forms; R Package Version 1.0.0; The Comprehensive R Archive Network: Vienna, Austria, 2024. [Google Scholar] [CrossRef]
- Yao, L.; Haberman, S.J.; Xu, J. Using SAS to implement simultaneous linking in item response theory. In Proceedings of the SAS Forum 2016, Las Vegas, NV, USA, 18–21 April 2016; Technical Report. Available online: https://tinyurl.com/yzmuxpx4 (accessed on 19 November 2024).
- Andersson, B. Asymptotic variance of linking coefficient estimators for polytomous IRT models. Appl. Psychol. Meas. 2018, 42, 192–205. [Google Scholar] [CrossRef] [PubMed]
- Jewsbury, P.A. Error variance in common population linking bridge studies. ETS Res. Rep. Ser. 2019, 2019, 1–31. [Google Scholar] [CrossRef]
- Ogasawara, H. Standard errors of item response theory equating/linking by response function methods. Appl. Psychol. Meas. 2001, 25, 53–67. [Google Scholar] [CrossRef]
- Zhang, Z. Asymptotic standard errors of generalized partial credit model true score equating using characteristic curve methods. Appl. Psychol. Meas. 2021, 45, 331–345. [Google Scholar] [CrossRef] [PubMed]
- Haberman, S.J.; Lee, Y.H.; Qian, J. Jackknifing techniques for evaluation of equating accuracy. ETS Res. Rep. Ser. 2009, 2009, I-37. [Google Scholar] [CrossRef]
- Boos, D.D.; Stefanski, L.A. Essential Statistical Inference; Springer: New York, NY, USA, 2013. [Google Scholar] [CrossRef]
- Stefanski, L.A.; Boos, D.D. The calculus of M-estimation. Am. Stat. 2002, 56, 29–38. [Google Scholar] [CrossRef]
- Huber, P.J. Robust estimation of a location parameter. Ann. Math. Stat. 1964, 35, 73–101. [Google Scholar] [CrossRef]
- Zeileis, A. Object-oriented computation of sandwich estimators. J. Stat. Softw. 2006, 16, 1–16. [Google Scholar] [CrossRef]
- Ogasawara, H. Item response theory true score equatings and their standard errors. J. Educ. Behav. Stat. 2001, 26, 31–50. [Google Scholar] [CrossRef]
- Battauz, M. IRT test equating in complex linkage plans. Psychometrika 2013, 78, 464–480. [Google Scholar] [CrossRef] [PubMed]
- Fay, M.P.; Graubard, B.I. Small-sample adjustments for Wald-type tests using sandwich estimators. Biometrics 2001, 57, 1198–1206. [Google Scholar] [CrossRef]
- Li, P.; Redden, D.T. Small sample performance of bias-corrected sandwich estimators for cluster-randomized trials with binary outcomes. Stat. Med. 2015, 34, 281–296. [Google Scholar] [CrossRef]
- Zeileis, A.; Köll, S.; Graham, N. Various versatile variances: An object-oriented implementation of clustered covariances in R. J. Stat. Softw. 2020, 95, 1–36. [Google Scholar] [CrossRef]
- Lietz, P.; Cresswell, J.C.; Rust, K.F.; Adams, R.J. (Eds.) Implementation of Large-Scale Education Assessments; Wiley: New York, NY, USA, 2017. [Google Scholar] [CrossRef]
- Yen, W.M.; Fitzpatrick, A.R. Item response theory. In Educational Measurement; Brennan, R.L., Ed.; Praeger Publishers: Westport, Ireland, 2006; pp. 111–154. [Google Scholar]
- Robitzsch, A. sirt: Supplementary Item Response Theory Models. 2024. R Package Version 4.2-89. Available online: https://github.com/alexanderrobitzsch/sirt (accessed on 13 November 2024).
- Muraki, E. A generalized partial credit model: Application of an EM algorithm. Appl. Psychol. Meas. 1992, 16, 159–176. [Google Scholar] [CrossRef]
- Bradlow, E.T.; Wainer, H.; Wang, X. A Bayesian random effects model for testlets. Psychometrika 1999, 64, 153–168. [Google Scholar] [CrossRef]
- Shim, H.; Bonifay, W.; Wiedermann, W. Parsimonious item response theory modeling with the negative log-log link: The role of inflection point shift. Behav. Res. Methods 2024, 56, 4385–4402. [Google Scholar] [CrossRef] [PubMed]
- Monseur, C.; Sibberns, H.; Hastedt, D. Linking errors in trend estimation for international surveys in education. IERI Monogr. Ser. 2008, 1, 113–122. [Google Scholar]
- Robitzsch, A.; Lüdtke, O. Comparing different trend estimation approaches in country means and standard deviations in international large-scale assessment studies. Large-Scale Assess. Educ. 2023, 11, 26. [Google Scholar] [CrossRef]
- Camilli, G. The case against item bias detection techniques based on internal criteria: Do item bias procedures obscure test fairness issues? In Differential Item Functioning: Theory and Practice; Holland, P.W., Wainer, H., Eds.; Erlbaum: Hillsdale, NJ, USA, 1993; pp. 397–417. [Google Scholar]
- Shealy, R.; Stout, W. A model-based standardization approach that separates true bias/DIF from group ability differences and detects test bias/DTF as well as item bias/DIF. Psychometrika 1993, 58, 159–194. [Google Scholar] [CrossRef]
- Robitzsch, A.; Lüdtke, O. Some thoughts on analytical choices in the scaling model for test scores in international large-scale assessment studies. Meas. Instrum. Soc. Sci. 2022, 4, 9. [Google Scholar] [CrossRef]
- Robitzsch, A.; Lüdtke, O. A review of different scaling approaches under full invariance, partial invariance, and noninvariance for cross-sectional country comparisons in large-scale assessments. Psychol. Test Assess. Model. 2020, 62, 233–279. [Google Scholar]




| 0% Missing Items | 10% Missing Items | 30% Missing Items | |||||||||
|---|---|---|---|---|---|---|---|---|---|---|---|
| SE | TE | SE | TE | SE | TE | ||||||
| 0 | 20 | 250 | 95.5 | 97.8 | 95.8 | 95.6 | 98.1 | 96.1 | 95.8 | 98.4 | 96.4 |
| 500 | 94.6 | 97.4 | 94.9 | 95.6 | 98.0 | 95.9 | 95.8 | 98.7 | 96.1 | ||
| 1000 | 95.2 | 97.8 | 95.6 | 94.6 | 97.6 | 94.9 | 95.0 | 98.3 | 95.4 | ||
| 2000 | 94.6 | 97.3 | 94.9 | 94.3 | 97.4 | 94.8 | 93.5 | 98.1 | 95.5 | ||
| 40 | 250 | 94.5 | 96.8 | 94.8 | 94.6 | 96.8 | 94.9 | 95.2 | 97.3 | 95.7 | |
| 500 | 94.3 | 96.3 | 94.5 | 94.9 | 96.7 | 95.0 | 94.9 | 97.4 | 95.2 | ||
| 1000 | 95.3 | 96.9 | 95.3 | 95.8 | 97.6 | 96.0 | 94.9 | 97.2 | 95.1 | ||
| 2000 | 94.6 | 96.6 | 94.6 | 94.2 | 96.5 | 94.3 | 95.4 | 97.5 | 95.6 | ||
| 0.2 | 20 | 250 | 91.6 | 97.3 | 93.9 | 91.7 | 97.6 | 94.2 | 92.2 | 98.0 | 94.6 |
| 500 | 89.1 | 96.9 | 93.8 | 89.0 | 96.9 | 94.0 | 87.1 | 97.1 | 93.6 | ||
| 1000 | 82.1 | 96.0 | 93.6 | 82.4 | 96.9 | 94.4 | 78.7 | 95.9 | 92.3 | ||
| 2000 | 73.6 | 95.9 | 94.3 | 72.6 | 95.8 | 94.3 | 65.1 | 94.2 | 91.6 | ||
| 40 | 250 | 92.8 | 96.5 | 94.5 | 92.9 | 97.3 | 94.7 | 92.0 | 97.2 | 94.5 | |
| 500 | 90.8 | 95.9 | 93.8 | 90.6 | 96.5 | 94.2 | 89.7 | 96.8 | 94.2 | ||
| 1000 | 86.7 | 96.4 | 94.8 | 85.4 | 95.3 | 93.6 | 82.6 | 96.4 | 94.1 | ||
| 2000 | 80.4 | 96.0 | 94.8 | 78.8 | 95.4 | 94.0 | 75.7 | 95.8 | 94.4 | ||
| 0.4 | 20 | 250 | 83.5 | 96.5 | 94.0 | 83.2 | 96.9 | 94.0 | 81.9 | 95.8 | 92.9 |
| 500 | 75.0 | 95.9 | 94.2 | 72.9 | 95.4 | 93.3 | 71.9 | 95.8 | 93.3 | ||
| 1000 | 61.5 | 94.9 | 93.4 | 59.8 | 95.1 | 94.0 | 57.1 | 94.8 | 93.2 | ||
| 2000 | 48.4 | 94.5 | 93.4 | 45.1 | 93.8 | 93.1 | 41.6 | 93.9 | 93.0 | ||
| 40 | 250 | 85.7 | 95.2 | 93.8 | 86.5 | 96.3 | 95.0 | 84.4 | 96.3 | 94.3 | |
| 500 | 80.5 | 95.4 | 93.8 | 79.3 | 95.8 | 94.7 | 74.5 | 95.1 | 93.6 | ||
| 1000 | 70.4 | 95.0 | 94.3 | 68.3 | 95.7 | 94.8 | 64.3 | 94.3 | 93.2 | ||
| 2000 | 57.7 | 94.5 | 93.9 | 54.1 | 94.9 | 94.4 | 50.5 | 94.3 | 93.7 | ||
| 0% Missing Items | 10% Missing Items | 30% Missing Items | |||||||||
|---|---|---|---|---|---|---|---|---|---|---|---|
| SE | TE | SE | TE | SE | TE | ||||||
| 0 | 20 | 250 | 94.8 | 98.2 | 95.4 | 94.8 | 98.6 | 95.5 | 94.6 | 98.4 | 95.7 |
| 500 | 95.1 | 98.4 | 95.7 | 94.9 | 98.4 | 95.3 | 94.9 | 99.0 | 95.5 | ||
| 1000 | 95.2 | 98.3 | 95.6 | 94.2 | 98.4 | 94.8 | 94.5 | 98.7 | 95.0 | ||
| 2000 | 94.7 | 98.1 | 95.3 | 95.4 | 98.9 | 96.1 | 94.3 | 98.9 | 95.8 | ||
| 40 | 250 | 94.4 | 97.6 | 94.9 | 94.7 | 97.7 | 95.1 | 94.3 | 97.9 | 95.1 | |
| 500 | 94.3 | 97.3 | 94.5 | 95.4 | 97.7 | 95.6 | 94.2 | 98.0 | 94.6 | ||
| 1000 | 95.1 | 97.3 | 95.2 | 94.4 | 97.4 | 94.6 | 95.1 | 98.4 | 95.4 | ||
| 2000 | 95.0 | 97.3 | 95.0 | 94.8 | 97.8 | 95.0 | 95.4 | 98.5 | 95.8 | ||
| 0.2 | 20 | 250 | 94.4 | 98.4 | 95.3 | 93.9 | 98.2 | 95.1 | 94.2 | 98.3 | 95.4 |
| 500 | 94.1 | 98.1 | 95.2 | 93.9 | 98.7 | 94.9 | 93.6 | 98.8 | 95.2 | ||
| 1000 | 92.8 | 98.3 | 94.9 | 91.9 | 98.2 | 94.3 | 91.4 | 98.2 | 93.6 | ||
| 2000 | 88.9 | 97.4 | 93.8 | 88.4 | 97.8 | 93.6 | 86.9 | 97.5 | 93.2 | ||
| 40 | 250 | 93.5 | 96.8 | 94.3 | 93.7 | 97.2 | 94.7 | 93.5 | 97.5 | 94.6 | |
| 500 | 93.3 | 97.1 | 94.1 | 93.1 | 97.3 | 94.1 | 93.3 | 97.7 | 94.0 | ||
| 1000 | 93.0 | 96.8 | 94.7 | 91.9 | 97.0 | 93.5 | 91.9 | 97.8 | 94.0 | ||
| 2000 | 91.1 | 96.9 | 94.3 | 90.0 | 96.7 | 94.2 | 90.0 | 97.8 | 94.6 | ||
| 0.4 | 20 | 250 | 92.1 | 97.7 | 94.7 | 90.5 | 97.5 | 93.9 | 91.3 | 98.1 | 94.7 |
| 500 | 88.8 | 97.8 | 93.7 | 89.5 | 97.3 | 93.5 | 89.2 | 98.1 | 93.5 | ||
| 1000 | 83.5 | 97.5 | 93.5 | 83.7 | 96.9 | 93.5 | 83.0 | 96.7 | 92.2 | ||
| 2000 | 74.6 | 96.2 | 93.3 | 74.3 | 96.1 | 93.3 | 71.9 | 95.4 | 91.7 | ||
| 40 | 250 | 90.5 | 96.6 | 93.4 | 91.0 | 96.2 | 93.7 | 91.4 | 97.3 | 94.2 | |
| 500 | 92.1 | 97.4 | 95.1 | 91.0 | 97.1 | 94.6 | 89.1 | 97.0 | 93.4 | ||
| 1000 | 87.0 | 96.4 | 94.2 | 86.5 | 97.2 | 94.8 | 85.0 | 96.8 | 93.8 | ||
| 2000 | 79.8 | 96.6 | 94.3 | 78.9 | 96.0 | 94.2 | 76.0 | 96.0 | 93.6 | ||
Disclaimer/Publisher’s Note: The statements, opinions and data contained in all publications are solely those of the individual author(s) and contributor(s) and not of MDPI and/or the editor(s). MDPI and/or the editor(s) disclaim responsibility for any injury to people or property resulting from any ideas, methods, instructions or products referred to in the content. |
© 2025 by the author. Licensee MDPI, Basel, Switzerland. This article is an open access article distributed under the terms and conditions of the Creative Commons Attribution (CC BY) license (https://creativecommons.org/licenses/by/4.0/).
Share and Cite
Robitzsch, A. Linking Error Estimation in Haberman Linking. AppliedMath 2025, 5, 7. https://doi.org/10.3390/appliedmath5010007
Robitzsch A. Linking Error Estimation in Haberman Linking. AppliedMath. 2025; 5(1):7. https://doi.org/10.3390/appliedmath5010007
Chicago/Turabian StyleRobitzsch, Alexander. 2025. "Linking Error Estimation in Haberman Linking" AppliedMath 5, no. 1: 7. https://doi.org/10.3390/appliedmath5010007
APA StyleRobitzsch, A. (2025). Linking Error Estimation in Haberman Linking. AppliedMath, 5(1), 7. https://doi.org/10.3390/appliedmath5010007
