Abstract
Optimizing learning rates (LRs) in deep learning (DL) has long been challenging. Previous solutions, such as learning rate scheduling (LRS) and adaptive learning rate (ALR) algorithms like RMSProp and Adam, added complexity by introducing new hyperparameters, thereby increasing the cost of model training through expensive cross-validation experiments. These methods mainly focus on local gradient patterns, which may not be effective in scenarios with multiple local optima near the global optimum. A new technique called Learning Rate Tuner with Relative Adaptation (LRT-RA) is introduced to tackle these issues. This approach dynamically adjusts LRs during training by analyzing the global loss curve, eliminating the need for costly initial LR estimation through cross-validation. This method reduces training expenses and carbon footprint and enhances training efficiency. It demonstrates promising results in preventing premature convergence, exhibiting inherent optimization behavior, and elucidating the correlation between dataset distribution and optimal LR selection. The proposed method achieves 84.96% accuracy on the CIFAR-10 dataset while reducing the power usage to 0.07 kWh, emissions to 0.05, and both and emissions to 0.00003 pounds, during the whole training and testing process.
1. Introduction
The emergence of deep learning has introduced the world to a new era of solving stochastic decision problems. Deep learning algorithms have been adopted in various domains, including self-driving cars in the automotive industry [1], image and signal processing in medical science [2,3], and so on. However, these algorithms require massive computational resources, time, and enormous data for their training process. This makes designing these algorithms challenging. Moreover, these algorithms require some predefined parameters, known as hyperparameters, other than the trainable ones. The values of these parameters are typically decided before the initialization of the training process and are seldom updated during the training of the deep learning model. Several recent studies have introduced algorithms such as Bonobo-SVM [4] and Harris Hawks-SVM optimizers [5], which seek to improve learning accuracy within data-constrained environments. Nonetheless, the question of how to effectively enhance performance under limitations related to computational resources and time remains unresolved.
Hyperparameters ensure that deep learning models converge effectively during the training process. This affects the accuracy of the trained model on unseen examples. There are many hyperparameters, namely, learning rate, regularization coefficient, batch size, scaling, averaging coefficients for optimizers, and the like, on which the training efficiency depends. However, searching for the proper settings of hyperparametric values is challenging, tedious, and computationally costly as the problem’s solution space is combinatorial. Typically, such a problem is considered NP-hard and thus is not easy to solve [6]. Consequently, the complexity of the solution space increases with the number of hyperparameters to adjust and the span of values that must be explored for each. This problem of searching for the optimal configuration of hyperparameters is known as hyperparameter optimization.
A selected model for a problem must be trained for at least a smaller version of the dataset for each setting to evaluate its performance. These subsidiary experiments are known as cross-validation experiments. In addition, the hyperparameter optimization problem falls under the problem of discrete optimization, which is an NP-complete problem [7]. This leads to a combinatorial explosion if one tries to find such a setting exhaustively within a predefined range of values for each of the given hyperparameters. This can be observed from Figure 1 below.
Figure 1.
Theoretical trend curve for possible combinations to check for in cross-validation experiments.
In Figure 1, it is evident that the number of combinations to be checked grows exponentially with an increase in the number of parameters and their respective values. To address this issue, various search techniques are employed, such as grid search [7], random search [8], and search using evolutionary algorithms [9,10,11]. However, the accuracy of these search algorithms depends on the number of hyperparameters considered and the range of values to be explored.
All of these algorithms, except grid search, are based on randomized searching. This means that the probability of finding the optimal hyperparameter configuration decreases as the search-space dimensions increase. Removing the need to optimize at least one hyperparameter reduces the combinatorial search space exponentially, significantly speeding up the search process. This concept inspired this research, leading to the consideration of the following two questions: “Is there a hyperparameter for which we can avoid providing an initial value at the beginning of the training process?” and “Can we develop a method to reduce the dimensions of the cross-validation search space by at least one unit?”.
These questions are crucial for advancing sustainable computing. Cross-validation experiments require a significant amount of computational resources, which leads to an increase in emissions. Recent works highlight enhancing transparency in the AI industry, particularly regarding sustainable computing practices. For instance, Budennyy et al. [12] introduced the open-source package Eco2AI, which helps track machine learning models’ energy consumption and carbon footprint. This tool provides a comprehensive framework for quantifying the environmental impact and underscores the importance of developing more energy-efficient AI architectures. Furthermore, Anilkumar et al. [13] explored deep learning-based time-series forecasting for emissions, comparing various models applied to univariate concentration data from 1870 to 2021 in European countries. Their research highlights the significance of optimizing deep learning processes to mitigate environmental consequences. In the context of natural language processing (NLP), Bannour et al. [14] evaluated the carbon footprint of NLP methods and analyzed existing tools for measuring energy use and emissions. Their work emphasizes the need for sustainable AI solutions. In addressing this challenge, the research is directed towards decreasing the carbon footprint of deep learning. This is pursued by minimizing the number of hyperparameters requiring optimization, achieved through cross-validation experiments. The aim is to reduce energy consumption and carbon dioxide emissions during the training of neural networks without impacting the performance of the models. Additionally, the field of sustainability has been explored beyond the scope of AI. Sustainable computing is becoming increasingly important, particularly in areas with high computational costs and resource demands. A recent study has examined the environmental impact of blockchain technologies and their associated programming languages [15]. In this context, the proposed work contributes to the broader goal of sustainable computing, aiming to ensure that artificial intelligence benefits society while minimizing adverse environmental impacts.
One important hyperparameter is the learning rate, which determines the step size of the gradient descent. Finding the optimal learning rate for training the dependent parameters is crucial. A high learning rate can cause the parametric configuration to oscillate around the global optimum or lead to divergence. On the other hand, a too-small step size can slow down the training process. This dilemma has led to the issue of learning rate optimization. In this context, there are four main approaches proposed in the literature: using adaptive learning rate optimization algorithms, using predefined learning rates in different phases of the training process, using learning rate schedulers, and using RNNs to predict the optimal learning rate dynamically. However, the main drawback of these methods, except for the second one, is that they introduce new sets of hyperparameters that must be optimized and require extensive trial and testing to identify the correct initial learning rate values. The second method inherently requires significant trials and testing to determine the proper set of learning rates for different training phases. All these approaches aim to optimize the learning rate but significantly increase the extent and cost of cross-validation experiments, leading to higher energy consumption and carbon emissions, which goes against the movement toward sustainable computing in the future. Further details about these methods are discussed in this paper’s background and literature review section.
Taking inspiration from this realm, the proposed work contributes towards the following grounds primarily:
- 1.
- Providing a new method that tries to automatically adapt the learning rate inherently without providing any definite initialization value.
- 2.
- Reduce the overhead of rigorous cross-validation experiments by reducing the dimension of the combinatorial search space.
- 3.
- Presenting a way to support the movement of sustainable/green computing in the near future by reducing the computational needs of current deep learning approaches.
- 4.
- Highlight the relation between the dataset distribution and the optimal scale of learning rate effective for training a particular dataset.
- 5.
- Highlight the mathematical foundation and behavior of the proposed approach.
The remaining paper is organized as follows: Section 2 highlights background related to this work. Section 3 presents a literature survey related to this work. Section 4 puts forward the proposed algorithm. Section 5 presents the experimental setup used for this work and the results obtained via experimentation. Section 6 elucidates the results acquired through experimentation. Finally, Section 7 provides a conclusion to this work.
2. Backgrounds
2.1. Lipschitz Continuity
Lipschitz continuity is often used to analyze the local continuity of a mathematical function. It provides a weak upper bound on the change of a function established on a predefined metric space for some independent parameter belonging to the same metric space. This makes the Lipschitz continuous function restricted by the rate of its change concerning the independent parameters on which it depends.
The definition of Lipschitz continuity follows.
Definition 1.
Let there be two metric spaces and , where and are the distance metrics on the elements of X and Y, respectively. On the other hand, a function is said to be Lipschitz continuous if , where such that the following inequality holds:
The most common distance metric used is the absolute distance, based on which the above inequality turns out to be
2.2. Gradient Descent and Its Convergence
Let there be a continuously derivable convex function which maps an r-dimensional real vector space to 1-dimensional real space. This function f is known as the loss function. Gradient descent is a convex optimization algorithm that tries to find the optimal such that [16]. This is performed iteratively by optimizing the value of through gradient approximation, using the following rule:
where is the step size and is the gradient of the loss function to the parameter .
Regarding the general definitions of supervised learning algorithms, the trainable parameters are calibrated based on feedback from the predefined loss function. Since the gradient descent algorithm tunes the trainable parameters in regression or classification models, the loss function is considered continuous and derivable at all positions. In this context, the primary assumption considered is that the loss function is convex and differentiable, and the gradient of the loss curve concerning the trainable parameters is Lipschitz continuous, with a Lipschitz constant . The general definition for this case follows:
where and evaluates the loss at parametric positions x and y, respectively. On the other hand, considering the Euclidean vector space in place of the scalar, the above inequality culminates in
This guides to a predefined convergence theorem, which is stated as follows.
Theorem 1.
Let there be a function , which is convex and differentiable, whose gradient is Lipschitz continuous, with Lipschitz constant . Then, after k iterations of gradient descent with a step size , the function will produce the following solution for [17]:
where is the optimal parametric configuration and is the parametric configuration at the iteration. This further implies that the gradient descent algorithm is guaranteed to converge with a rate of .
3. Literature Review
3.1. Methods of Learning Rate Optimization
3.1.1. Optimization Algorithms
The convergence towards the global optimum is not smooth while using stochastic gradient descent (SGD) on minibatches. The smoothness of the convergence further depends on the size of the minibatch, i.e., the larger the size of the minibatch, the smoother the convergence. On the contrary, a larger minibatch size requires higher computational requirements. As a result, learning optimizers were introduced. These optimizers are intended to accelerate the parameter tuning towards the global optimum while damping the oscillations along the orthogonal axis of the convergence path for training involving a smaller minibatch size [18]. This resists the trainable parameters from short-term divergence and smooths the learning curve. There are numerous such optimizer algorithms, among which a few standard optimizers, namely, Adam, AdaMax [19], RMSProp [20], Nadam [21], Radam [22], AdaGrad, and AdaDelta [23] have been chosen to perform the experimental analysis which is provided later in Section 4. RMSProp, Adam, and AdaGrad are fundamental optimizers, while Nadam, Radam, and AdaMax are variants of Adam and AdaDelta, an extension of AdaGrad. Brief descriptions of these three fundamental optimizers are provided below.
- AdaGrad: The following is the updated rule for AdaGrad.Here, is the learning rate, is the gradient of the loss function to the parameter at time t, and represents the squared sum of the gradient concerning parameter till time t. is used here to avoid the situation of division by 0, and hence set to an insignificant value.
- Adam: Adam is a powerful self-adaptive optimizer. It is a combination of RMSProp and momentum [20] optimization techniques. It exploits the acceleration of the moving weighted average of the momentum. It simultaneously damps the vertical oscillation through RMSProp, which results in faster convergence of the minibatch gradient descent. Moreover, it introduces the concept of the bias-corrected moments and to smooth the adaptation of the learning rate based on the time scale.where t is the time step, is the learning rate, is the momentum vector, is the average weight factor, is the parameter, and is the gradient of the loss function with respect to at time t. holds the same significance as in the case of AdaGrad. There are two averaging weight factors, namely, and , for the momentum and RMS components, respectively.
These optimization algorithms have gained massive popularity over the last two decades and are among the most widely used optimizers in training deep learning models. These algorithms provide good stability and consistency in speeding up the training process while significantly increasing the prediction accuracy. Furthermore, they also prevent the trainable parameters from becoming stuck in local optima. However, the drawback of these algorithms is that they increase the hyperparameter overhead. This further increases the cost of choosing the optimal initial learning rate and the other hyperparameters associated with the functionality of these algorithms.
3.1.2. Decaying Learning Rate Schedules
- (i)
- Inverse Time Decay: In Inverse Time Decay, the learning rate is decreased based on the time elapsed in the training process [24]. This is achieved by dividing by a factor corresponding to the number of epochs. Specifically, the learning rate in each epoch obeys the following rule:where is the initial learning rate, t is the epoch number that is being executed at a particular instance of the training process, is the decay factor, and is the number of epochs after which the learning rate needs to be updated.
- (ii)
- Step Decay: The method of Step Decay uses an interval reduction in the learning rate by some constant factor [25]. The following update rule achieves this:Here, is the decay factor, and is the epoch interval after which the learning rate needs to be updated.
- (iii)
- Exponential Decay: Here, the learning rate is degraded exponentially based on the time [26]. This method is similar to Inverse Time Decay, except the decay factor is exponentially rather than linearly related to time. It is performed using the following equation:where the notation carries the same meaning as before.
- (iv)
- SGD with Warm Restart: This method is applied to SGD. The idea behind this is to schedule the learning rate to keep decreasing until it reaches a minimum value, after which it starts increasing until it reaches a maximum value. This process keeps on repeating cyclically. To achieve this phenomenon, the upper and lower bounds, indicating the range of permissible learning rates, are first defined, and then the decay is carried out using cosine annealing [27]. The following equation is used to compute the learning rate for a particular iteration:Here, and are the maximum and minimum bounds of the range of acceptable learning rates. and represent the current iteration and the reference iteration that defines the interval after which the schedule needs to restart.
- (v)
- Cyclic Learning Rate (triangular): The Cyclic Learning Rate is one of the new-generation learning rate schedulers [28]. The learning rate has been designed to follow a triangular trajectory with fixed minimum and maximum bounds, as shown in Figure 2. The minimum and maximum bounds are represented with the variables min_lr and max_lr, respectively. The hyperparameter stepsize represents the number of steps required for the learning rate to traverse from its minimum to the maximum bound. There are two different variants of the Cyclic Learning Rate provided in [28]:
- (a)
- triangular2: In this variant, the amplitude is diminished after every cycle by a factor of 2.
- (b)
- exp_range: This variant is similar to triangular2. Still, here the amplitude of the learning rate is decreased exponentially by a factor of , where and i serves as the iteration number. Notice that if , this variant behaves as the parent triangular scheduling algorithm.
Figure 2.
Cyclic Learning Rate (triangular) [28].
Figure 2.
Cyclic Learning Rate (triangular) [28].

These scheduling methods have been proven to be promising. They provide a generalized method of setting the learning rate at every epoch, removing the requirement of assigning individual learning rates to each or some cluster of epochs. This further reduces the overhead of cross-validation experiments to some extent. However, these algorithms also introduce additional hyperparameters, whose values must be chosen wisely. Moreover, the generalization of the scheduling does not involve awareness of the learning performance. As a result, at some training epochs, the scheduler might set some inappropriate learning rate concerning the learning progress.
3.1.3. Predefined Learning Rate Schedules
This is one of the most basic and traditional approaches to selecting the learning rates manually. Learning rates are hard-coded for every epoch. There is an initial rate with which the training process begins. After some predefined number of training epochs, the learning rate is changed to some smaller value according to the hard-coded rule. This process can be followed more than once and depends entirely on the problem and the model used to solve the problem. In general, deeper neural networks require smaller learning rates for a finer and more stable search for a global optimum. As a result, it depends on the judgment of the model designer to what extent the learning rate needs to be reduced with time. This is a tedious method to follow and requires significant cross-validation experiments to decide on the learning rates [23,29,30].
3.2. Sustainable Computing and Deep Learning
A recent study by Fan, Yan, and Wen [31] explores the synergistic relationship between AI, deep learning (DL), and sustainable development. It highlights how these technologies can tackle global challenges in renewable energy, environmental health, and urban infrastructure, contributing to the United Nations’ Sustainable Development Goals (SDGs). AI can optimize renewable energy integration, enhance grid stability, and improve energy consumption via smart technologies. The study also addresses AI’s role in environmental protection, including air and water quality monitoring and natural disaster prediction, while acknowledging challenges like ethical issues and energy consumption.
Additionally, a paper by Yang et al. [32] introduces the CREST framework to mitigate deep learning’s environmental impact by identifying a representative subset, or coreset, of training data. This approach improves training efficiency without sacrificing model accuracy, achieving faster convergence while significantly reducing energy use. Experimental validations show CREST accelerates training by factors of 1.7 to 2.5 across various datasets.
Furthermore, the paper by Cioca and Schuszter [33] tackles energy waste in data centers, using the CREST framework to predict and optimize resource usage with recurrent neural networks (LSTM). This intelligent scaling reduces idle energy consumption and outperforms traditional methods. While challenges remain, CREST stands as a crucial step toward a more sustainable digital landscape.
3.3. Survey of Sustainability of Preexisting Methodologies
This section provides an overview of various state-of-the-art algorithms in the literature, focusing on operating costs. Table 1 outlines the maximum number of arithmetic and logical operations each algorithm performs per iteration. It also indicates whether the algorithm introduces additional trainable parameters as overhead and details the costs associated with cross-validation experiments required for hyperparameter optimization for each algorithm. The operation is categorized into three areas: the number of floating-point operations (FLOPs); standard mathematical functions (such as square, trigonometric, logarithmic, and exponential functions); and logical operations (LOps). All operations for each algorithm have been analyzed by studying the source code implementation and documentation of PyTorch 2.5, which is openly accessible online. Analysis was conducted based on the algorithms’ primary mathematical operations, not the documentation’s specific implementation. In this context, in Table 1 represents a linear upper bound concerning the number of iterations t.
Table 1.
Costs associated with state-of-the-art algorithms.
It is important to note that power consumption increases with the number of hyperparameters being optimized through cross-validation and the number of arithmetic, functional, and logical operations performed by the CPU or GPU. These factors also contribute to environmental issues, such as the emissions of , , and .
4. Proposed Algorithm: Learning Rate Tuner with Relative Adaptation (LRT-RA)
In most of the above-discussed methods, there is a strong dependence on the initialization configuration of the learning rate. Additionally, in these methods, one needs to decide on the optimal value of a few other hyperparameters like the decay factor in Step Decay, constant d in Exponential Decay, and the upper and lower bounds of the learning rate in the case of SGD-Warm Restart, Cyclic Learning Rate, and so on, while using them. Even in the case of optimization algorithms, one needs to choose the optimal values for the factors. An inappropriate setting of these hyperparameters either leads to divergence or premature convergence of the training process. As a result, these factors directly influence the performance of the deep learning model under training. In this context, the following section introduces a new adaptive learning rate method that reduces the overhead of choosing precise values for numerous hyperparameters through tedious and expensive cross-validation experiments.
4.1. Learning Rate Tuner with Relative Adaptation (LRT-RA) Method
The proposed method is based on the fact that a higher learning rate near the optimum causes unstable convergence and even divergence. A lower learning rate far from the global optimum causes an undesirably slow convergence rate. Moreover, a higher learning rate indicates a less precise search for the optimal parametric configuration than a lower one, leading to more detailed learning of the model under training. As a result, a general practice of maintaining higher learning rates at the beginning and lower rates later in the training process is followed. This ensures a faster convergence with low precision when the parametric configuration of the model is far away from the global optimum. At the same time, it ensures a slower and more rigorous tuning of these parameters as the model gradually approaches the global optimum.
Based on these considerations, the following expression for learning rate adaptation has been formulated and is provided below. Further information about the formulation is provided in Appendix A.
In the equation, is a scaling factor and is the learning rate. and are two predefined constants, where is used to avoid taking the log of zero and keeping the logarithmic ratios less than 1. Lastly, and are the loss functions at the current iteration and a reference iteration, respectively. These functions can be specifically expressed as and , where , and represent the predicted and ground truth outcomes of the current and the reference iteration, respectively, while L is the loss function. The reference iteration is taken to be the one with the maximum loss found in the whole of the training history, i.e., , .
The primary intuition of the formulation follows: The farther the parametric values are from the global setting, the greater the training loss will be. In this context, this method approximates the position of the parametric configuration concerning the training loss, considering that it sets the learning rate of the current iteration. It must be noted that based on the given formula, the learning rate is always maintained below one unless the scaling factor . A more significant discussion about the value of is presented later in this section, providing an upper bound on its value that is necessary for converging the training process. Furthermore, this adaptation rule works as expected; i.e., the closer the model approaches the global optimum, the lower the loss generated, which lowers the learning rate. As a result, the convergence of the training model, in turn, induces the convergence of the learning rate simultaneously and vice versa. Algorithm 1 presents the implementation of the proposed method in the training process.
| Algorithm 1 LRT-RA Algorithm |
|
In Algorithm 1, represents the trainable parameters of the model used for solving the given problem. The represents the value predicted by the model for a given instance of the input features X. L is the loss function used to compare the predicted and the ground truth value. Then, the learning rate is computed and further used to update the trainable parameter using gradient descent.
4.2. Mathematical Behavior of LRT-RA
Lemma 1.
If the adaptive learning rate is given by
where and are the loss of the current and reference iteration, respectively, then there exists a feedback-based variable factor b such that the change in the learning rate concerning the change in each component of the parameters is given by
where and θ and represent the parametric configurations of the current and next iterations, respectively. represents the gradient of the loss function to the component of the parameter θ. and are the parametric configurations of the maximum loss observed for the current and the next iterations, respectively.
Proof.
Detailed proof is provided in Appendix B.1. □
Lemma 1 introduces the convergence problem of the proposed method in two directions, which further introduces the following theorems.
Theorem 2.
If the maximum loss remains unchanged for subsequent iterations, i.e., , then there can exist three different behavioral patterns, namely, convergence, divergence, and the stagnant or stationary phase, which obeys the following behavioral rate equation for the learning rate α:
where . These three conditions can be elucidated as follows.
- a.
- Case 1 (convergence): The loss of the subsequent iterations is decreasing in nature, i.e., , also indicates converging behavior of the learning rate, with implying or for at least one component of θ.
- b.
- Case 2 (divergence): If the loss of the subsequent iterations is increasing in nature, i.e., , then it indicates diverging behavior of the learning rate, with implying or for at least one component of θ.
- c.
- Case 3 (stationary or stagnant): If there is no change in the loss in subsequent iterations, i.e., , then it indicates the stationary phase of the learning rate, with implying for all components of θ.
Proof.
The detailed proof is provided in Appendix B.2. □
Theorem 3.
If the maximum loss increases in the subsequent iterations, i.e., , then the rate of change of the learning rate follows
where and , implying or .
- Special case: If the divergence of the maximum loss continues for the subsequent iterations, then it implies that , and the rate of change of the learning rate is given as follows:where and , which results in or .
Proof.
The detailed proof is provided in Appendix B.3. □
4.3. Convergence Criteria of Gradient Descent with LRT-RA
From Theorem 1, it is clear that
Lemma 2.
If the Lipschitz constant , then the gradient descent algorithm will always converge.
Proof.
If , then . On the other hand, it can be observed that for . This leads to the conclusion that always , which further asserts the convergence condition of the gradient descent algorithm. □
Theorem 4.
If the Lipschitz constant , then there exists γ for which the gradient descent algorithm will converge, where
Proof.
The detailed proof is provided in Appendix C. □
4.4. Stability of LRT-RA
If a fixed upper bound is considered for , then the stability of the proposed method can be explained as follows.
Considering the cases for Theorems 2a,c and 3, including the particular case, it can be noticed that for successive iterations , which further signifies a decay or no change in the learning rate as the parametric configuration moves towards the globally optimal parametric setting . The decay in the learning rate indicates a finer and more detailed search for the optimal parametric values.
As a result, it is definite that , where I is an index set for iteration number and , such that
However, for the case presented in Theorem 2b, indicates a minute increase in the learning rate. This occurs only when the overall model shows divergence because of the noisy data and learning bias on a subset of training examples within a dataset. But this increase helps prevent the model from becoming stuck in local optima.
Furthermore, in the worst case, if at some iteration , , for some , then it can cause the model to diverge to such an extent that it increases the maximum upper bound of the loss. This further falls under the case of Theorem 3, which again causes the learning rate to decrease, redirecting the model toward convergence.
This indicates that the designed method inherently exhibits self-stabilization and self-convergence properties in the training process of a supervised deep learning model.
4.5. Significance of Initialization of , , and
This work aims to reduce the overhead of cross-validation by reducing the number of hyperparameters to tune. At this point, one might wonder how replacing the standard learning rate with Equation (16) can reduce the number of hyperparameters when the system inherently introduces three other hyperparameters , and . Remember that the values and do not significantly impact the overall training performance, as they are only used for fine-tuning. As a result, there is no need to conduct cross-validation experiments to determine their precise values, as it would not be helpful. On the other hand, does not require cross-validation but can be accurately approximated using concepts from linear algebra and mathematical analytical approaches.
Notice that from the derivation of LRT-RA in Equation (A6), it was considered that , where represents the eigenvalue of the square-transformed feature matrix . Now, for this work, the loss function considered was cross-entropy loss. But, this loss function is unbounded; thus, theoretically, the is ∞. However, in the practical realm of computing, this loss function is upper-bounded by the largest floating point number that a particular system can hold. Beyond this bound, the system considers the value to be . In our case, this number is . Further, since we want to make an initial guess of for the first iteration, we set . This, in turn, reduces the expression for to
On the other hand, we are still left with the problem of identifying which eigenvalue to use for this approximation. Note that during the beginning of the training the model tends to produce predictions that lead to high loss, whereas as the training progresses the loss becomes lower. In the ideal case, not only does the loss become low towards the end of the training, but also the gradient approaches 0, i.e., the loss curve flattens. The eigenvalues, on the other hand, represent the behavior of the information flow of the data, i.e., a higher magnitude of eigenvalue represents more significant variance of the data under study in the direction of their corresponding eigenvector.
This can lead to two scenarios:
- 1.
- Considering the variability of along each direction of the eigenvectors. Remember that each N eigenvectors and eigenvalues uniquely corresponds to one of the N features. If each of these directions is independently considered, then we obtain a vectorized with N components as follows:where . We will refer to the collection of all eigenvalues as Eigenvalue_list.Notice here that . This indicates that is lower for features whose eigenvalue is high, i.e., performing a slower and detailed search for feature patterns exhibiting high variance. On the other hand, the high value of is associated with a small eigenvalue , which indicates that features that do not vary much can be searched with a bigger stride.
- 2.
- Allowing a combined effect and generating an aggregate on which most eigenvector directions agree. In this method, an average of those eigenvalues is generated, i.e.,This is then replaced with in Equation (25).
- Note: The method described in (2) provides an approximate average scalar value that can work with any neural network model. However, this approach is invalid for the technique explained in (1). Turning the components of into vectors makes the optimization problem atomic regarding the convergence directions of the trainable parameters concerning feature vectors and the intermediate neurons of the deep neural network. The above-mentioned method would work if a model directly mapped the input feature vector x to the output y. In that case, each parameter in the parameter set would be uniquely related to each component of , further intertwined with each feature vector x element.
In the case of deeper networks with one or more hidden layers, the feature dimensions in the intermediate layers change, becoming either expanded or contracted depending on the network’s architecture. Furthermore, the relationships of these features become intertwined with each other either locally or globally. Consequently, the native vector cannot be used in its inherent form to atomically optimize each of the deeper layers of the deep neural network. In this case, to simplify the computation, some linear algebraic and aggregating methodologies can generate the vectors for each layer l. These involve using components such as weight matrices and layer-wise relevance propagation (LRP) scores and transforming them into positive row-normalized transformation matrices. This transformation matrix can then be used layer-wise to operate on the initial vector to embed the effect of the complex interaction of features concerning their importance or contribution to the model’s predicted output. These transformation matrices also address the problem of dimension incompatibility. This work avoids the atomic approach of implementing LRT-RA and considers this research direction out of scope to maintain simplicity and reduce computation. However, this work leaves a future research area open in the above-mentioned direction.
Algorithm 2 summarizes the entire process of the scalar and simple vector cases discussed above.
| Algorithm 2 Initialize |
|
5. Results
5.1. Experimental Setup
The experiment was conducted on Google Colab, equipped with an NVIDIA Tesla T4 GPU and an Intel(R) Xeon(R) CPU. The detailed specifications are in Table 2. Google Colab does not disclose the exact hardware specifications, such as the motherboard or processor series. As a result, the table includes the lowest hardware power ratings obtained from Intel and NVIDIA’s official websites to reflect the minimum power usage under optimal conditions. The use of a more powerful processor would result in higher power consumption.
Table 2.
Hardware specifications.
All codes were written in Python 3.10.12, and the models were designed using PyTorch-2.3.1+cu121. The standard models and most standard datasets used in the experiments were imported from Torchvision-0.18.1+cu121. It needs to be declared that all the standard models that were used from the Torchvision library were imported without pre-trained weights except for in experiment 2. This was intentional, to check the compatibility of the proposed method with different learning models subjected to transfer learning. NumPy-1.26.4, Pandas-2.1.4, and PIL-9.4.0 were used for numeric computing and data handling, respectively. Lastly, Matplotlib-3.7.1 was used to plot the experimental results. All experiments were conducted using the default hyperparameter configurations for models and algorithms readily available in PyTorch. Any other configurations used are reported in the respective tables. The setups that are used in the various experiments are summarized below. Note that the factors reported in this section were calculated using the method discussed in the last section.
5.1.1. Experiment 1—Inherent Optimization
The performance of the proposed LRT-RA method is compared with the training performance using standard optimization algorithms such as Adam, AdaGrad, and AdaDelta, as well as training without using any optimizer, while maintaining a constant learning rate, on CIFAR-10. The “general” method refers to the approach that employs a consistent learning rate for the gradient descent using the SGD optimizer in PyTorch. Two distinct learning rates were utilized for the general approach: 0.001 (the default for SGD) and 0.35. Conversely, the proposed method starts with parameters , , and set to 0.0494, 1, and 2, respectively. The default settings were adhered to for all other optimizers’ initializations. The experiments utilized ResNet-18 and were trained for 100 epochs, with a batch size of 128 for this specific experiment. Note that the purpose of this experiment is not to demonstrate the effectiveness of the proposed method over other optimizers. Instead, it aims to emphasize the inherent optimization behavior of the proposed method by comparing the accuracy curve with and without the use of some standard optimization algorithms.
5.1.2. Experiment 2—Compatibility with Standard Models and Transfer Learning
To test the compatibility of the proposed algorithm, it was used to train four standard deep learning models: ResNet-18, ResNet-34, ResNet-101 [36], and VGG16 [37] on CIFAR-10 for 100 epochs without the use of any optimizers other than SGD. All these models were initialized with the default weights available in the Torchvision framework to check the compatibility of the proposed approach with transfer learning. , and were chosen to be 0.0494, 1, and 2, respectively. The batch size used for each of these models is provided in Table 3. A lower batch size for ResNet-101 was used because of the memory constraint of the computing system.
Table 3.
Hyperparameter configuration.
5.1.3. Experiment 3—Effect of Different Hyperparametric Configurations
Further, a comparative analysis was performed between different settings of the hyperparameters , and to analyze their significance. The experimentation was performed by training ResNet-18 on the CIFAR-10 dataset for 100 epochs. All the configurations are summarized in Table 4.
Table 4.
Hyperparametric configurations for different settings.
5.1.4. Experiment 4—Applicability on Other Standard Datasets
The proposed method was tested on different standard datasets available; namely, CIFAR-10 [38], Oxford-IIIT Pet [39], Food-101 [40], and Oxford Flower-102 [41]. The configurations of , and are presented in Table 5 below. Further, note that a 10-class classification system was used to ensure consistency across all datasets. From the Oxford-IIIT Pet, Food-101, and Oxford Flower-102 datasets, 10 random classes were selected, and ResNet-18 was trained from scratch on these classes.
Table 5.
Hyperparameter configuration and details related to calculation.
The CIFAR-10 dataset contains 50,000 training images and 10,000 images in the test set. This dataset, with the same data partition, was utilized for all other experiments in this work. A total of 1449 and 537 images were considered from the 10 classes of the Oxford-IIIT Pet dataset for training and testing, respectively, while the 10 classes of Food-101 provided 7500 and 2500 images for training and testing, respectively. Lastly, in the Flower-102 dataset, each class consisted of approximately 40 training examples, totaling 461 training images, and the test set contained 150 images.
5.1.5. Experiment 5—Applicability to Linear Regression Models
LRT-RA was also implemented for linear regression on the datasets of Boston House Pricing [42] and Red Wine Quality Prediction [43]. The Boston House Pricing dataset was split into 406 training and 100 testing examples, where the target feature was set to be “PRICE”. On the other hand, the Red Wine Quality Prediction dataset was split into 1120 and 479 training and testing examples, respectively. Here, “quality” was fixed to be the output feature. Root mean squared error (RMSE) was adopted as both linear regression models’ evaluation, or loss, metric. The RMSE is calculated using the following equation:
The hyperparameter configurations presented in Table 6 were used for this experiment.
Table 6.
Hyperparameter configuration.
5.1.6. Experiment 6—Comparative Analysis with Different Learning Rate Schedulers
Finally, the proposed method was compared with the performance of previously known learning rate schedulers, namely, Inverse Time Decay, Step Decay, Exponential Decay, SGD-Warm Restart, and Cyclic Learning Rate (triangular) and its two variants triangular2 and exp_range. In this experiment, ResNet-18 was utilized and was trained on the CIFAR-10 dataset for 10 epochs. Table 7 summarizes the choices of hyperparameters for each scheduler.
Table 7.
Hyperparameter settings.
5.1.7. Experiment 7—Cross-Validation Analysis
Notice that most experimental results were based on the default configurations of the hyperparameters available in the PyTorch library. A 3-fold cross-validation experiment was performed on four cases to analyze the impact of hyperparameter optimization. They were our proposed approach for LRT-RA; using the Adam optimizer; and two learning rate schedulers, namely, SGD-Warm Restart and Cyclic Learning Rate (exp_range).
These methods were applied on ResNet-18 and trained for 10 epochs on CIFAR-10. For each of these situations, two different searching methods were applied: grid and random search. In the case of grid search, a fixed unit of spacing was used for sampling each hyperparameter between a fixed bound. On the other hand, for a random search, a fixed number of hyperparameter configurations were sampled at random. These configurations are provided in Table 8.
Table 8.
Cross-validation configuration.
5.2. Experimental Results
This section presents the necessary graphical plots of the experimental results obtained in this work, while detailed discussion of the results is presented in the next section. Figure 3 demonstrates the accuracy curves obtained in the respective experiments.
Figure 3.
Accuracy plots for different experiments.
The nomenclature of the experiments follows from the last subsection. The y-axes in Figure 3a–e represent the test accuracy, chosen as the comparative analysis metric. This metric is defined as
TP, TN, FP, and FN represent true positive, true negative, false positive, and false negative, respectively. Detailed results of the performance of each approach for experiments 1, 2, 4, and 5 are summarized in the Table 9, Table 10, Table 11 and Table 12 below.
Table 9.
Experiment 1.
Table 10.
Experiment 2.
Table 11.
Experiment 4.
Table 12.
Experiment 5.
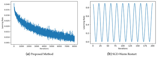
The results related to linear regression, i.e., experiment 5, are provided in Figure 4 and Figure 5, respectively. Figure 6, on the other hand, depicts the curve of the learning rate concerning the iteration number in experiment 6 for the respective scheduling algorithms. SGD-Warm Restart and Cyclic Learning Rate exhibit sinusoidal and triangular curves that are maintained consistently until the end of the training process. On the other hand, triangualar2 and exp_range follow the same triangular curve but with decaying amplitudes. Finally, Figure 7 demonstrates the learning rate curve for the different settings of , and in experiment 3.
Figure 4.
Linear regression on Boston House Pricing dataset.
Figure 5.
Linear regression on Red Wine Quality Prediction dataset.

Figure 6.
Behavior of learning rate.

Figure 7.
Learning rate plots for different settings of , and .
Figure 8 presents the analysis related to the cross-validation experiments. It shows the impact of hyperparameter reduction in the cross-validation experiments. Note that for this analysis, a k-fold cross-validation was implemented, where , and the cost of these experiments would significantly increase with an increase in k. The calculations of power consumption and emission were performed using the equations found in [44]. The following equation gives the total power utilization :

Figure 8.
Analysis of cross-validation experiment. (a) Analysis of power usage and emission. (b) Analysis of and emission. (c) Effect of Hyperparameter reduction for grid search on Adam. (d) Effect of hyperparameter reduction for grid search on Cyclic Learning Rate Scheduler (exp_range). (e) Effect of hyperparameter reduction for grid search on SGD with Warm Restart.
Here, , and stand for the rated power consumption by the CPU, DRAM, and GPU in kilowatt hour (kWh), respectively, and the g represents the number of GPU cores utilized; , which is the power usage effectiveness (PUE) coefficient. Next, based on the latest Environmental Protection Report (EPR) of the United States [45], we calculate the emissions of carbon dioxide (), sulfur dioxide (), and nitrogen oxide (). The average emission of these gases per kilowatt hour (kWh) of electrical power consumption according to recent records is provided in Table 13.
Table 13.
Average emissions from EPR.
Finally, the total emissions were calculated using the following equations. refers to the respective emission coefficient from Table 13.
The cross-validation outcomes for the hyperparameter search are summarized in Table 14.
Table 14.
Cross-validation outcomes.
6. Discussion of Experimental Results
6.1. Analysis of Experiment 1
The accuracy plots displayed in Figure 3 endorse the effectiveness of the proposed algorithm. Figure 3a reveals that in experiment 1, the proposed method showcases adaptation of the learning rate and significant optimization momentum towards the global optimum. Consequently, the proposed method, LRT-RA, achieves accuracy comparable to Adam and surpasses existing standard optimization algorithms such as AdaGrad and AdaDelta. The inherent optimization behavior and robustness are evident when comparing the learning performance with general methods that employ constant learning rates without external optimizers. It is important to note that sets the upper limit for the allowable learning rate during training.
In contrast to general methods, the proposed algorithm demonstrated increased stability and performance. For a general method with a learning rate of 0.35, training lasted only 14 iterations before the loss diverged to NaN. On the other hand, LRT-RA with exhibited more stable convergence, achieving the highest accuracy of , as indicated in Table 9. Moreover, LRT-RA with showed improved optimization and quicker convergence compared to the general method with a default learning rate setting of 0.001. This raises the question of whether a higher learning rate than 0.001 would facilitate faster learning. It would; however, determining the optimal learning rate for the best convergence necessitates cross-validation experiments. The results from experiment 7 offer a comprehensive analysis of these cross-validation experiments.
Further analysis suggests that the performance of the proposed method improves with a higher feasible . This improvement results because a higher allows for a higher permissible learning rate, enabling the trainable parameters to approach the optimum more quickly. For the research presented in this paper, the average of the eigenvalues, , was utilized. As such, the presented is an average estimate of feasible values, with possible values existing above and below this average. To enhance the precision of the factor, one could employ a vectorized instead of the averaged value, though this approach was not pursued in this paper to minimize computational overhead. Finally, an extreme learning rate value of 0.35 was determined through cross-validation experiments.
6.2. Analysis of Experiment 2
In experiment 2, an interesting behavior of LRT-RA is highlighted, as shown in Figure 3b. It is observed that when using predefined values of , and in LRT-RA, the ResNet-18 model performs the best, followed by the other models during 100 epochs of experimentation, without the use of optimizers. All models utilized transfer learning with pre-trained weights, starting from different initial positions. VGG16 used weights IMAGENET1K_V1, while the ResNet models were initialized with weights IMAGENET1K_V2 specific to their models. All models achieved a prediction accuracy of over . Notably, deeper models with higher trainable parameters showed weaker performance on the CIFAR-10 dataset. Models other than ResNet-18 were too large for the CIFAR-10 dataset to achieve higher accuracy without optimizers and optimally regularized setups. The accuracy plot shows that the proposed algorithm achieved stable convergence towards the optimal solution for all four standard models. These results align with the experiment’s objectives. The accuracy curve displays convergence for each model, with the calculated factor and other hyperparameter configurations provided in Table 3 and Table 5. This further demonstrates that the LRT-RA approach is compatible with transfer learning across various standard models with different network complexities.
6.3. Analysis of Experiment 3
Experiment 3 indicates the significance of , and . The primary intuition behind introducing these factors is to provide the flexibility of learning rate tuning and fine-tuning. Here, acts as the primary tuner, whereas the factors behave as the fine-tuners. This phenomenon is evident from the accuracy plot shown in Figure 3c. As is decreased from settings 1 to 3, the model’s training manifests a significant slowdown, which in turn causes reduced accuracy. On the other hand, a more significant difference between the value of and revealed a minor slowdown of the learning curve of the model. This becomes clear when observing the accuracy curves of settings 2 and settings 4 to 6, where the difference between the factors increases in magnitude. This fact is further supported by the plots of the learning rate provided in Figure 7. It can be inferred from Figure 7a–c that the higher the factor , the faster the decay of the learning rate during the initial training iterations. This indicates that the algorithm adapts the learning rate to an optimal range. As a result, higher initial values of the learning rate cause faster degradation based on the training response from the model. Furthermore, Figure 7d–f demonstrate the fine-tuning effect on the learning rate. It can be witnessed that higher differences in the factors cause a finer change in the overall permissible scale of learning rates used and computed during the training process. However, increasing the differences between these two parameters slows down the model’s learning, leading to reduced accuracy. Lastly, observe that using the approximation discussed before, the model achieves an optimal accuracy, which is not too bad compared to the identified without performing the costly cross-validation experiments.
6.4. Analysis of Experiment 4
As observed in Figure 3d, experiment 4 demonstrates the testing accuracy while training ResNet-18 for the first 100 epochs on the four given standard datasets. It is seen that Flower-102 exhibited the highest maximum accuracy, followed by CIFAR-10 and Food-101. On the other hand, Oxford-IIIT Pet showed the lowest performance. ResNet-18 is a simple model considering the feature complexity of the Oxford-IIIT Pet and Food-101 datasets, as a result of which ResNet-18 could not perform well on these datasets. It can be noticed that all curves indicate convergence and eventually increase in accuracy as the number of epochs increases when using the proposed approach.
6.5. Analysis of Experiment 5
In the plot of the experimental results of linear regression provided in Figure 4 and Figure 5, training on both datasets showed convergence through their training loss records and R2 scores. Further, the learning rate also converged in alignment with the training loss. Finally, from the results reported in Table 12, it can be observed that linear regression on the Boston House Pricing dataset provided a better R2 score in comparison to the Red Wine Quality Prediction dataset despite having a higher RMSE.
6.6. Analysis of Experiment 6
In the accuracy curve of experiment 6 (Figure 3e), the convergence toward the optimum becomes unstable due to a high upper bound of the assigned learning rate. Step Decay and Cyclic Learning Rate (triangle) showed the most consistent performance, along with the proposed algorithm, using the calculated . The proposed algorithm demonstrated dominant performance throughout the training process. On the other hand, all other learning rate schedules showed divergence at multiple positions during training. The number of such divergences is much lower in the case of the proposed algorithm. The proposed algorithm, LRT-RA, quickly recovered its performance after every divergence, with higher stability, and consistently improved its prediction accuracy. This is due to the global loss feedback, based on which the proposed method approximates the optimal learning rate value.
In contrast, the other scheduling algorithms could not efficiently revitalize and stabilize the performance of the ResNet-18 model. The SGD-Warm Restart and Cyclic Learning Rate schedulers have the additional overhead of identifying the lower and upper bounds and the interval of the scheduling , which significantly affects their accuracy and loss curves. This further increases the need for cross-validation training. The analysis and discussion of the cross-validation experiments are provided in the following section, addressing the results reported in Figure 8. Lastly, in Exponential Decay, after the first divergence, the learning rate degraded to such an extent that although the accuracy curve stabilized, the model under training converged prematurely. The same phenomenon was observed in the case of the Cyclic Learning Rate (triangular2). These observations are further highlighted by the learning rate curves provided in Figure 6. The spikes in the learning rate in the proposed method indicate training divergence. The learning rate was increased to counter this effect and facilitate faster model convergence under training. However, other learning rate schedulers did not display such adaptation and performance awareness.
6.7. Analysis of Experiment 7
Experiment 7 focuses on assessing the impact of the number of optimized hyperparameters and the cost of cross-validation experiments in terms of time, power usage, and the emissions of , , and . According to Table 14, grid search tends to outperform random search in most scenarios. This is because grid search is more comprehensive than random search, which only evaluates 100 sample configurations. Increasing the sample size of configurations is necessary to boost random search performance, which raises the experiment’s cost. Determining the precise sample size for random search poses a challenge, and it is uncertain if the optimal configuration identified is the global optimum. In contrast, grid search requires evaluating every possible configuration to ascertain the most effective hyperparameter setup. The quantity of combinations directly correlates with the search’s granularity and the number of hyperparameters under consideration.
Corresponding to Table 14, Figure 8a,b offer an analytical overview of power consumption and gas emissions for each method. As the number of configurations examined increases, the total training hours surge exponentially, in line with the trend depicted in Figure 1. This results in an exponential escalation in power consumption and emissions of , and . As indicated by the figures, when applied to the Cyclic Learning Rate scheduler, the grid search method exhibits the highest power consumption and emissions due to its considerably larger hyperparameter search space. Conversely, the proposed method demonstrates the lowest emissions and power consumption in the cross-validation experiments due to having fewer hyperparameters.
Moreover, Figure 8c–e highlight the impact of reducing the number of hyperparameters in grid search on the overall sustainability metrics of cross-validation experiments. These figures illustrate that with consistent granularity/grid spacing, removing a single hyperparameter significantly reduces training hours, power usage, and emissions. Hence, the proposed model suggests a direction for research that could lead to a more sustainable future for deep learning.
6.8. General Discussion
It can be observed from the experimental results that although the proposed algorithm demonstrates advantages in terms of stability, global awareness of learning performance, resource optimization, and significant reduction of power consumption and , and emissions, it shows a marginal penalty in learning performance. The following factors relate to this issue.
- 1.
- Although the factor sets an upper bound to the learning rate, it is an approximate bound and does not represent the maximal feasible learning rate. As a result, the model demonstrates average case performance rather than the best case. Setting LR to a higher feasible value causes a larger stride and thus faster convergence.
- 2.
- To obtain a precise set of optimal learning rates, it is clear that one must invest significantly more in cross-validation experiments. This creates a trade-off between the amount spent on cross-validation and the level of accuracy desired within a stipulated time. Various methods can be employed to analyze the trade-off between computational cost/time and accuracy, which may require the utilization of existing metrics or the development of new ones.
- 3.
- The results indicate that the proposed method converges to an optimal solution, as the accuracy consistently improves on average. Therefore, the focus shifts to the speed of convergence rather than merely achieving a highly accurate solution. It is important to note that the proposed algorithm functions as a learning rate tuner rather than an intended optimizer. Consequently, optimization is a secondary effect of the algorithm. Because it lacks additional momentum components, the method does not guide the model towards a faster convergence direction. This means that the algorithm may require extra training epochs to achieve higher accuracy and reach the standard accuracy range reported in the literature.This raises the question: Is it worth spending additional training epochs with LRT-RA, or would it be more beneficial to use optimizers that involve costly cross-validation? This question could be explored further once a trade-off metric is established. Additionally, another question remains open: Can the inclusion of momentum components facilitate faster convergence with LRT-RA? Also, it would be worthwhile to investigate whether the hyperparameters associated with these momentum components can be determined using straightforward arithmetic expressions rather than relying on guessing or extensive cross-validation.
- These topics remain open for further research and can be addressed in future works.
7. Conclusions
Hyperparameter tuning is a significant challenge in the development of deep learning algorithms due to the considerable investment of computational resources and time it requires. This increased usage of computational resources leads to higher power consumption and increased emissions of , and over a longer period. This work introduces a new method called Learning Rate Tuner with Relative Adaptation (LRT-RA), which adjusts the learning rate at each training iteration based on a loss factor. The paper provides a detailed analysis of the algorithm’s mathematical behavior, demonstrating clear implications for its convergence.
This research is supported by strong experimental results, which showed that the proposed method aligns with the theoretical analysis. It was observed that the LRT-RA algorithm demonstrated precise optimization behavior compared to general cases and some standard optimization algorithms. Additionally, it exhibited more accurate learning rate scheduling compared to traditional approaches. The LRT-RA efficiently reduces the overhead of determining the learning rate. One only needs to define a scale regulating the upper bound, removing the expense of identifying a proper learning rate schedule and precise upper or lower bounds through expensive cross-validation experiments. This aligns the algorithm with sustainable computing by significantly reducing power consumption and harmful gas emissions in the training process of deep learning models. Furthermore, unlike existing scheduling algorithms, LRT-RA considers the behavior of the loss curve, which can prevent premature convergence or even model divergence during training.
The proposed algorithm also demonstrates its advantages on additional grounds. It significantly enhances the training process by facilitating finer control over the learning rate dynamics. This innovation increases user engagement in the optimization process and introduces a generalized methodology that ensures compatibility across a wide spectrum of deep learning and linear regression models. Notably, the algorithm performs favorably with transfer learning approaches, suggesting its potential applicability within meta-learning frameworks.
To conclude, the theoretical and experimental outcomes indicate that the proposed LRT-RA algorithm can be promising to the deep learning community by generalizing learning-rate tuning and providing compatibility with a wide range of standard deep learning models.
Future Works
Based on the proposed approach, there is still room for further research. More investigation is needed to either combine LRT-RA with other optimization algorithms or incorporate directional momentum, which could result in more efficient optimization techniques in the future. Additional mathematical analysis can be carried out to examine the order and rate of convergence of the proposed LRT-RA algorithm, which is a task for future work. The implication of atomization through the vectorized approach of and its mathematical construction also leaves room for further investigations. Future directions of investigation also involve the development of effective analysis metrics to study the trade-off between accuracy and computational cost/time.
Author Contributions
Conceptualization, S.B. and S.D.; methodology, S.B.; software, S.B. and S.D.; validation, S.B., S.D., and S.N.; formal analysis, S.B. and S.D.; investigation, S.B. and S.D.; resources, S.B.; data curation, S.B.; writing—original draft preparation, S.B. and S.D.; writing—review and editing, S.B., S.D., and S.N.; visualization, S.B.; supervision, S.B.; project administration, S.B.; funding acquisition, S.B. and S.D. All authors have read and agreed to the published version of the manuscript.
Funding
This research received no external funding.
Data Availability Statement
All the datasets used for this work are open source and can be easily obtained. Citations for each of the datasets have been provided. Lastly, all the datasets have been imported from the standard collection of torchvision library.
Use of Artificial Intelligence
This work has utilized Grammarly and Grammarly AI (generative AI) as tools to improve the clarity and quality of writing in this paper. The authors confirm that none of the research content or results were generated by any generative AI tool and are authentic. These tools were only used to correct grammar and enhance the writing style and clarity of the original content, for which only the authors of this paper are responsible.
Conflicts of Interest
All the authors declare no competing interests, financial or professional, in relation to this work.
Abbreviations
The following abbreviations are used in this manuscript:
| LR | Learning rate |
| DL | Deep learning |
| LRS | Learning rate scheduler |
| ALR | Adaptive learning rate |
| LRT-RA | Learning Rate Tuner with Relative Adaptation |
| NP-Hard | Nondeterministic polynomial hard |
| NP-Complete | Nondeterministic polynomial complete |
| NLP | Natural language processing |
| AI | Artificial intelligence |
| RNN | Recurrent neural network |
| SGD | Stochastic gradient descent |
| BFGS | Broyden–Fletcher–Goldfarb–Shanno |
| L-BFGS | Limited-memory BFGS |
| LSTM | Long short-term memory |
| CNN | Convolutional neural network |
| SDG | Sustainable Development Goal |
| CREST | Coresets for Stochastic Gradient Descent |
| CPU | Central processing unit |
| GPU | Graphics processing unit |
| RAM | Random access memory |
| DRAM | Dynamic random access memory |
| LRP | Layer-wise relevance propagation |
| RMSE | Root mean square error |
| TP | True positive |
| TN | True negative |
| FP | False positive |
| FN | False negative |
| PUE | Power usage effectiveness |
| EPR | Environmental Protection Report |
| kWh | Kilowatt hour |
Appendix A. Formulation of LRT-RA
Let be the feature vector of the training example. Let us consider . The main aim is to find an optimum setting of parameter such that it minimizes a quadratic cost L. This statement can be mathematically defined as
where the loss . Here, is the ground truth label of the example.
Now, considering the whole of the linear system with more than one example, the feature vectors can be collectively represented using a matrix while the ground truth labels can be represented as a vector. Let this matrix and the vector be represented with X and Y, respectively. Considering this linear system, Equation (A1) can be rewritten as follows:
Let . Then, we obtain
Thus, .
On the other hand, we know that gradient descent is rigid-transformation-invariant. As a result, we can multiply the objective loss with orthonormal matrices while not affecting the overall process of gradient descent. The orthogonal matrices should be such that they diagonalize the matrix , i.e., . Through this idea, the following transformation can be applied to the objective loss function:
where .
We know that if , where , then the loss curves upwards along the direction of the eigenvector while having a unique fixed point,
This leads to the recurrence relation with the following solution:
where and the superscript represents the iteration or recurrence number. Again, considering the linear system, we obtain
To guarantee convergence of the linear system, the following two assumptions are taken into consideration:
- 1.
- is lower-bounded by 0.
- 2.
- cannot be too large and should obey the inequality , where . This is because the learning model converges when and .In case of convergence in k iterations, the loss reduces to
Due to this equation, condition (2) is important, else the loss diverges exponentially.
During the initial phase of the training, the high-curvature eigenvalues will dominate, causing faster convergence. On the other hand, low-curvature eigenvalues tend to dominate as the training progresses, causing the loss decay to be approximately proportional to , where .
Due to this domination of the low-curvature eigenvalues, in most of the training span, the asymptotic behavior of the loss is dominated by the loss originating within a window around the optimal parametric configuration. Thus, for a large enough k, the asymptotic behavior of the loss follows
Here, is the cost along the minimum-curvature direction and for a small value of we obtain .
According to the triangle inequality, we have
We further know that since , and it is being minimized at every step as it approaches towards the optimum, we have
As a result, we obtain
Considering inequality Equation (A5) again, and taking the log of both sides, we obtain
We take . This has a decreasing nature when k grows significantly large. It needs to be noticed that during the initial training epochs this factor has a higher rate of change depending on the eigenvalues , which further depend on the learning curve. But as k increases, the value of gradually decreases, stabilizing the factor and making it monotonically decreasing in the later phase of the training process. Further analysis on the factor has been provided in Appendix C.
It needs to be further noted that if the second term of the equation contains the factor , it leads to a negative learning rate around the initial phase of the training iterations, which then tends to become insignificantly small as the training progresses further, causing k to increase. As a result, to develop a formulation to approximate the learning rate, it was decided to drop the addend and take the approximate learning rate to be the lower bound of the final equation. This gives the adaptive learning rate as
Here, and have been introduced to avoid the chance of generating negative logarithmic values and to provide additional flexibility in the fine-tuning. Further, the dynamicity of the factor was not considered in the experiments. This is primarily because during the initial phase of the training, the higher-curvature eigenvalues tend to dominate the loss, which is partially nullified by dividing by the eigenvalue of that direction. On the other hand, when the eigenvalue diminishes, the loss also tends to decrease, while the factor k starts to dominate the value of , causing it to decrease after every training iteration. This leads to the same drawback as in the case of the Inverse Time Decay. Thus, the value of is set to be a constant within a safe range of , which prevents the training from diverging.
- Note: In the rest of this document, the loss function is denoted by the function f and L is used to denote the Lipschitz constant.
Appendix B. Behavior of the Learning Rate During Training
Appendix B.1. Proof of Lemma 1
As per the hypothesis, the learning rate is formulated using the following equation:
Here, we represent , where is the current configuration of the trainable parameters. On the other hand, is taken to be the maximum loss found among all the training iterations. Thus,
where is the configuration of the parameter that results in the maximum loss.
Further, to create a standard notation for the rest of the proof, is used to indicate the learning rate at configuration . Furthermore, we consider the individual direction vector constituting this parameter matrix for further analysis. The change in the learning rate in subsequent iterations with respect to the change in parametric configurations can be represented as
where is the value of the parameter of the parametric configuration for the next iteration and is the same for the present iteration. On the other hand, and are the learning factors, where only the component of the parameters are changed. As per the gradient descent algorithm, is defined as
Now,
and
On the other hand,
where . Plugging these values into Equation (A8), we obtain
Let . Then, we obtain
This gives us a general formalization of the change in learning rate with respect to the parametric configurations in the direction of the parameter’s component.
Appendix B.2. Proof of Theorem 2
If the maximum limit does not change and the parametric configuration converges or diverges below the maximum limit, this condition can be explained as
As a result, Equation (A9) reduces to
Let . Then, we obtain
Appendix B.2.1. Case 1 (Cnvergence)
The loss of the next iteration is less than that of the previous iteration, i.e.,
Considering the gradient of a Lipschitz continuous function for all the components of and , taking the gradient in the positive quadrant further signifies that . Thus,
where .
It can be easily observed that , and thus
Now, if , it implies . Thus,
where . This implies when .
Appendix B.2.2. Case 2 (Divergence)
The loss of the next iteration is greater than that of the present iteration, i.e.,
Then, and if , implying , it signifies that .
Similarly, like the proof of case 1, if , implying , it signifies that
This asserts the claim that increases with respect to the change in .
Appendix B.2.3. Case 3 (Stationary or Stagnant)
In this case, the loss does not change in subsequent iterations, i.e.,
Then, , which implies and hence .
This further occurs at local or global optima where becomes very small, making no change to the parametric configurations anymore.
Appendix B.3. Proof of Theorem 3
When the loss of the new parametric configuration diverges, it increases the upper bound of the maximum loss. This implies that
This further signifies , as per the defined model. Then, Equation (A9) becomes
Let . Then, Equation (A11) finally turns out to be
Here, we define a function , where . It can be noticed that is monotonic increasing. Thus, it implies that
It is evident from the expression that . This further gives rise to two more cases:
- a.
- Case 1If , . This leads toThis can occur only when
- b.
- Case 2If , , then
Special Case
Furthermore, if the divergence of the upper bound continues for the subsequent steps, it implies that
Incorporating the above condition in Equation (A11), we obtain
Let . Then, the equation turns out to be
This further follows from Equation (A12), if ,
as the function is monotonic increasing. Thus, it is evident that and hence, for both and ,
Appendix C. Convergence of Gradient Descent with LRT-RA
From Theorem 1, it is implied that the gradient descent algorithm converges on the fact that the learning rate . If we consider
where , then we know that for the convergence criteria
where L is the Lipschitz constant.
Proof of Theorem 4
Let the Lipschitz constant . As per the assumption that is Lipschitz continuous, it signifies that
On the other hand, considering a loss function that is second-order-derivable based on the Taylor expansion of the loss function with respect to the optimal parametric configuration , we obtain
If the first- and second-order gradients are represented by matrix spaces, then we use
Relating inequality Equation (A14), we obtain
In order to converge, the proposed expression of the adaptive learning rate needs to satisfy the following upper bound inequality:
In the worst case setting, . This results in
On the other hand, if
then
References
- Lavin, A.; Gray, S. Fast Algorithms for Convolutional Neural Networks. In Proceedings of the 2016 IEEE Conference on Computer Vision and Pattern Recognition (CVPR), Las Vegas, NV, USA, 27–30 June 2016; pp. 4013–4021. [Google Scholar] [CrossRef]
- Dey, S.; Pal, R.; Biswas, S. Deep Learning Algorithms for Efficient Analysis of ECG Signals to Detect Heart Disorders. In Biosignal Processing; Asadpour, V., Karakuş, S., Eds.; IntechOpen: Rijeka, Croatia, 2022; Chapter 6. [Google Scholar] [CrossRef]
- Dey, S.; Biswas, S.; Nandi, S.; Nath, S.; Das, I. Deep Greedy Network: A Tool for Medical Diagnosis on Exiguous Dataset of COVID-19. In Proceedings of the 2020 IEEE 1st International Conference for Convergence in Engineering (ICCE), Kolkata, India, 5–6 September 2020; pp. 340–344. [Google Scholar] [CrossRef]
- Wang, Z.; Luo, Q.; Chen, H.; Zhao, J.; Yao, L.; Zhang, J.; Chu, F. A high-accuracy intelligent fault diagnosis method for aero-engine bearings with limited samples. Comput. Ind. 2024, 159–160, 104099. [Google Scholar] [CrossRef]
- Wang, Z.; Liang, P.; Bai, R.; Liu, Y.; Zhao, J.; Yao, L.; Zhang, J.; Chu, F. Few-shot fault diagnosis for machinery using multi-scale perception multi-level feature fusion image quadrant entropy. Adv. Eng. Inform. 2025, 63, 102972. [Google Scholar] [CrossRef]
- Yang, L.; Shami, A. On hyperparameter optimization of machine learning algorithms: Theory and practice. Neurocomputing 2020, 415, 295–316. [Google Scholar] [CrossRef]
- Andonie, R. Hyperparameter optimization in learning systems. J. Membr. Comput. 2019, 1, 279–291. [Google Scholar] [CrossRef]
- Bergstra, J.; Bengio, Y. Random Search for Hyper-Parameter Optimization. J. Mach. Learn. Res. 2012, 13, 281–305. [Google Scholar]
- Bergstra, J.; Bardenet, R.; Bengio, Y.; Kégl, B. Algorithms for Hyper-Parameter Optimization. In Proceedings of the Advances in Neural Information Processing Systems, Granada, Spain, 12–14 December 2011; Shawe-Taylor, J., Zemel, R., Bartlett, P., Pereira, F., Weinberger, K., Eds.; Curran Associates, Inc.: Red Hook, NY, USA, 2011; Volume 24. [Google Scholar]
- Miikkulainen, R.; Liang, J.; Meyerson, E.; Rawal, A.; Fink, D.; Francon, O.; Raju, B.; Shahrzad, H.; Navruzyan, A.; Duffy, N.; et al. Chapter 15—Evolving Deep Neural Networks. In Artificial Intelligence in the Age of Neural Networks and Brain Computing; Kozma, R., Alippi, C., Choe, Y., Morabito, F.C., Eds.; Academic Press: Cambridge, MA, USA, 2019; pp. 293–312. [Google Scholar] [CrossRef]
- Nath, S.; Bandyopadhyay, R.; Biswas, S.; Sing, J.K.; Sarkar, S.K. A New Global Routing Optimization Algorithm based on Pigeon Inspired Optimization. In Proceedings of the 2020 IEEE Calcutta Conference (CALCON), Kolkata, India, 28–29 February 2020; pp. 184–188. [Google Scholar] [CrossRef]
- Budennyy, S.; Lazarev, V.; Zakharenko, N.; Korovin, A.; Plosskaya, O.; Dimitrov, D.; Arkhipkin, V.; Oseledets, I.; Barsola, I.; Egorov, I.; et al. Eco2AI: Carbon emissions tracking of machine learning models as the first step towards sustainable AI. arXiv 2022, arXiv:2208.00406. [Google Scholar] [CrossRef]
- Anilkumar, A.; Yadukrishnan, V.; Hareesh, V.B.P. Deep Learning-Based Time Series Forecasting for CO2 Emission; Springer: Cham, Switzerland, 26–27 October 2023; pp. 294–303. [Google Scholar] [CrossRef]
- Bannour, N.; Ghannay, S.; Névéol, A.; Ligozat, A.L. Evaluating the carbon footprint of NLP methods: A survey and analysis of existing tools. In Proceedings of the Second Workshop on Simple and Efficient Natural Language Processing, Virtual, 10 November 2021; Moosavi, N.S., Gurevych, I., Fan, A., Wolf, T., Hou, Y., Marasović, A., Ravi, S., Eds.; Association for Computational Linguistics: Toronto, ON, Canada, 2021; pp. 11–21. [Google Scholar] [CrossRef]
- Bistarelli, S.; Fiore, M.; Lazzizera, A.I.; Mercanti, I.; Mongiello, M. Analysis of Blockchain Sustainability through the Comparison of Different Smart Contracts Programming Languages. In Proceedings of the Sixth Distributed Ledger Technology Workshop (DLT 2024), Turin, Italy, 14–15 May 2024; CEUR Workshop Proceedings. Bartoletti, M., Schifanella, C., Vitaletti, A., Eds.; CEUR-WS.org. 2024; Volume 3791. [Google Scholar]
- Lemaréchal, C. Cauchy and the gradient method. In Documenta Mathematica (Bielefeld) Extra Volume; Optimization Stories; EMS Press: Berlin, Germany, 2012; pp. 281–305. [Google Scholar]
- Marchetti-Bowick, S.M. 10–725: Optimization, Lecture 6: September 12. Available online: https://www.stat.cmu.edu/~ryantibs/convexopt-F13/scribes/lec6.pdf (accessed on 12 September 2013).
- Biswas, S.; Nath, S.; Dey, S.; Majumdar, U. Tangent-cut optimizer on gradient descent: An approach towards Hybrid Heuristics. Artif. Intell. Rev. 2022, 55, 1121–1147. [Google Scholar] [CrossRef]
- Kingma, D.P.; Ba, J. Adam: A Method for Stochastic Optimization. In Proceedings of the 3rd International Conference on Learning Representations, ICLR 2015, San Diego, CA, USA, 7–9 May 2015; Conference Track Proceedings. Bengio, Y., LeCun, Y., Eds.; ICLR: Appleton, WI, USA, 2015. [Google Scholar]
- Ruder, S. An overview of gradient descent optimization algorithms. arXiv 2016, arXiv:1609.04747. [Google Scholar]
- Dozat, T. Incorporating Nesterov Momentum into Adam. In Proceedings of the 4th International Conference on Learning Representations (ICLR Workshop) 2016, San Juan, Puerto Rico, 2–4 May 2016; ICLR: Appleton, WI, USA, 2016. Conference Track Proceedings. pp. 1–4. [Google Scholar]
- Liu, L.; Jiang, H.; He, P.; Chen, W.; Liu, X.; Gao, J.; Han, J. On the Variance of the Adaptive Learning Rate and Beyond. In Proceedings of the International Conference on Learning Representations, Addis Ababa, Ethiopia, 30 April 2020; ICLR: Appleton, WI, USA, 2020. [Google Scholar]
- Zeiler, M.D. ADADELTA: An Adaptive Learning Rate Method. arXiv 2012, arXiv:1212.5701. [Google Scholar] [CrossRef]
- Abadi, M.; Agarwal, A.; Barham, P.; Brevdo, E.; Chen, Z.; Citro, C.; Corrado, G.S.; Davis, A.; Dean, J.; Devin, M.; et al. TensorFlow: Large-Scale Machine Learning on Heterogeneous Systems. Available online: https://www.tensorflow.org/api_docs/python/tf/keras/optimizers/schedules/InverseTimeDecay (accessed on 5 September 2023).
- Ge, R.; Kakade, S.M.; Kidambi, R.; Netrapalli, P. The Step Decay Schedule: A near Optimal, Geometrically Decaying Learning Rate Procedure for Least Squares. In Proceedings of the 33rd International Conference on Neural Information Processing Systems, Vancouver, BC, Canada, 8–14 December 2019; Curran Associates Inc.: Red Hook, NY, USA, 2019. [Google Scholar]
- Abadi, M.; Agarwal, A.; Barham, P.; Brevdo, E.; Chen, Z.; Citro, C.; Corrado, G.S.; Davis, A.; Dean, J.; Devin, M.; et al. TensorFlow: Large-Scale Machine Learning on Heterogeneous Systems. Available online: https://www.tensorflow.org/api_docs/python/tf/keras/optimizers/schedules/ExponentialDecay (accessed on 5 September 2023).
- Loshchilov, I.; Hutter, F. SGDR: Stochastic Gradient Descent with Warm Restarts. arXiv 2017, arXiv:1608.03983. [Google Scholar] [CrossRef]
- Smith, L.N. Cyclical Learning Rates for Training Neural Networks. arXiv 2017, arXiv:1506.01186. [Google Scholar] [CrossRef]
- Wu, Y.; Liu, L.; Bae, J.; Chow, K.H.; Iyengar, A.; Pu, C.; Wei, W.; Yu, L.; Zhang, Q. Demystifying Learning Rate Policies for High Accuracy Training of Deep Neural Networks. arXiv 2019, arXiv:1908.06477. [Google Scholar] [CrossRef]
- Lancewicki, T.; Kopru, S. Automatic and Simultaneous Adjustment of Learning Rate and Momentum for Stochastic Gradient Descent. arXiv 2019, arXiv:1908.07607. [Google Scholar] [CrossRef]
- Fan, Z.; Yan, Z.; Wen, S. Deep Learning and Artificial Intelligence in Sustainability: A Review of SDGs, Renewable Energy, and Environmental Health. Sustainability 2023, 15, 13493. [Google Scholar] [CrossRef]
- Yang, Y.; Kang, H.; Mirzasoleiman, B. Towards Sustainable Learning: Coresets for Data-efficient Deep Learning. arXiv 2023, arXiv:2306.01244. [Google Scholar] [CrossRef]
- Cioca, M.; Schuszter, I.C. A System for Sustainable Usage of Computing Resources Leveraging Deep Learning Predictions. Appl. Sci. 2022, 12, 8411. [Google Scholar] [CrossRef]
- Wichrowska, O.; Maheswaranathan, N.; Hoffman, M.W.; Colmenarejo, S.G.; Denil, M.; Freitas, N.; Sohl-Dickstein, J. Learned optimizers that scale and generalize. In Proceedings of the International Conference on Machine Learning, PMLR, Sydney, Australia, 6–11 August 2017; JMLR: Cambridge MA, USA, 2017; pp. 3751–3760. [Google Scholar]
- Sun, S.; Gao, H. Meta-AdaM: An Meta-Learned Adaptive Optimizer with Momentum for Few-Shot Learning. In Proceedings of the Advances in Neural Information Processing Systems, New Orleans, LA, USA, 10–16 December 2023; Oh, A., Naumann, T., Globerson, A., Saenko, K., Hardt, M., Levine, S., Eds.; Curran Associates, Inc.: Red Hook, NY, USA, 2023; Volume 36, pp. 65441–65455. [Google Scholar]
- He, K.; Zhang, X.; Ren, S.; Sun, J. Deep Residual Learning for Image Recognition. In Proceedings of the 2016 IEEE Conference on Computer Vision and Pattern Recognition (CVPR), Las Vegas, NV, USA, 27–30 June 2016; IEEE: New York, NY, USA, 2016; pp. 770–778. [Google Scholar] [CrossRef]
- Liu, S.; Deng, W. Very deep convolutional neural network based image classification using small training sample size. In Proceedings of the 2015 3rd IAPR Asian Conference on Pattern Recognition (ACPR), Kuala Lumpur, Malaysia, 3–6 November 2015; IEEE: New York, NY, USA, 2015; pp. 730–734. [Google Scholar] [CrossRef]
- Alex Krizhevsky, V.N.; Hinton, G. The CIFAR-10 Dataset. 2009. Available online: https://www.cs.toronto.edu/~kriz/cifar.html (accessed on 22 February 2023).
- Parkhi, O.M.; Vedaldi, A.; Zisserman, A.; Jawahar, C.V. Cats and dogs. In Proceedings of the 2012 IEEE Conference on Computer Vision and Pattern Recognition, Providence, RI, USA, 16–21 June 2012; IEEE: New York, NY, USA, 2012; pp. 3498–3505. [Google Scholar] [CrossRef]
- Bossard, L.; Guillaumin, M.; Van Gool, L. Food-101—Mining Discriminative Components with Random Forests. In Proceedings of the European Conference on Computer Vision, Zurich, Switzerland, 6–12 September 2014; Springer Nature: London, UK, 2014. [Google Scholar]
- Nilsback, M.E.; Zisserman, A. Automated Flower Classification over a Large Number of Classes. In Proceedings of the 2008 Sixth Indian Conference on Computer Vision, Graphics & Image Processing, Bhubaneswar, India, 16–19 December 2008; IEEE: New York, NY, USA, 2008; pp. 722–729. [Google Scholar] [CrossRef]
- Harrison, D.; Rubinfeld, D.L. Hedonic housing prices and the demand for clean air. J. Environ. Econ. Manag. 1978, 5, 81–102. [Google Scholar] [CrossRef]
- Cortez, P.; Cerdeira, A.; Almeida, F.; Matos, T.; Reis, J. Modeling wine preferences by data mining from physicochemical properties. Decis. Support Syst. 2009, 47, 547–553. [Google Scholar] [CrossRef]
- Strubell, E.; Ganesh, A.; McCallum, A. Energy and Policy Considerations for Modern Deep Learning Research. Proc. AAAI Conf. Artif. Intell. 2020, 34, 13693–13696. [Google Scholar] [CrossRef]
- EPA. Emissions & Generation Resource Integrated Database (eGRID). 2024. Available online: https://www.epa.gov/egrid/power-profiler#/ (accessed on 19 March 2023).
Disclaimer/Publisher’s Note: The statements, opinions and data contained in all publications are solely those of the individual author(s) and contributor(s) and not of MDPI and/or the editor(s). MDPI and/or the editor(s) disclaim responsibility for any injury to people or property resulting from any ideas, methods, instructions or products referred to in the content. |
© 2025 by the authors. Licensee MDPI, Basel, Switzerland. This article is an open access article distributed under the terms and conditions of the Creative Commons Attribution (CC BY) license (https://creativecommons.org/licenses/by/4.0/).









