Abstract
This review explores the unique structural and functional characteristics of natural products featuring highly oxygenated cyclobutane rings, with a specific focus on oxetane and 1,2-dioxetane motifs. It presents the structures and biological activities of compounds containing these rings, highlighting their contribution to molecular stability and pharmacological potency. Through detailed case studies and recent research findings, it has been demonstrated that these oxygen-rich rings enhance the molecular diversity and biological efficacy of natural products, potentially offering new avenues for drug development. Notably, these compounds are predominantly synthesized by microorganisms and can also be found in extracts from fungi, plants, and certain marine invertebrates. Compounds with oxetane and 1,2-dioxetane rings are primarily noted for their strong antineoplastic properties, among other biological activities. In contrast, most 1,2-dioxetanes exhibit potent antiprotozoal effects. It is important to note that 1,2-dioxetanes often serve as intermediate products in oxidation reactions, characterized by their instability and propensity to decompose into new compounds.
Keywords:
oxetane; 1,2-dioxetane; microorganisms; fungi; plants; antineoplastic; antiprotozoal effects 1. Introduction
Cyclobutane, a four-membered ring, is a cycloalkane that is widespread in nature, and more than 2600 compounds have been discovered containing a cyclobutane moiety [1]. In a chemical context, cyclobutane can be considered a unit or a fragment of a larger molecule. For example, it can be a substituent or a structural component in more complex organic compounds. It is not typically referred to as a “group” in the same way that functional groups like hydroxyl (-OH) or methyl (-CH3) are [1,2,3]. The cyclobutane moiety occurs as a major structural unit in a wide range of naturally occurring metabolites in bacteria, fungi, plants, and marine invertebrates [4,5,6,7,8,9]. While it is less stable than larger-ring alkanes due to ring strain, it is relatively more stable compared to oxetane and 1,2-dioxetane (see Figure 1) because it does not contain any heteroatoms. Its synthesis in nature could be through various pathways, including photochemical reactions or as a byproduct of other biological processes.
Figure 1.
Comparative structures of cyclobutane (A) and their oxygenated derivatives: oxetane (B) and 1,2-dioxetane (C) molecules. Color of molecules: red is oxygen, gray is carbon, and white is hydrogen. Organic compounds containing one of these units are isolated from living organisms, as well as synthesized. The ratio of these organic compounds in nature is as follows: 2600:700:20 [1]. The difference in the natural abundance of cyclobutane, oxetane, and 1,2-dioxetane molecules can be explained from a chemical perspective by considering their stability, reactivity, and the pathways through which they are formed in nature.
The relatively higher stability and simpler structure make it more abundant in nature. Oxetane is a four-membered ring containing one oxygen atom [10,11,12]. The presence of the oxygen atom increases the ring strain compared to cyclobutane, making it less stable. Additionally, the synthesis of oxetanes in nature is less common and typically requires specific enzymatic or photochemical reactions. This reduced stability and more complex synthesis pathway contribute to its lower abundance compared to cyclobutane. 1,2-Dioxetane contains two oxygen atoms in a four-membered ring, which significantly increases the ring strain and makes it highly unstable [13,14,15,16]. It is a highly reactive intermediate often involved in chemiluminescence reactions [17,18,19] and is not typically isolated in nature due to its propensity to rapidly decompose. Its natural occurrence is rare, and when it does form, it quickly breaks down, leading to its very low abundance compared to cyclobutane and oxetane. In summary, the difference in the natural abundance of these molecules can be attributed to their relative stabilities and the complexity of the pathways through which they are formed in nature. Cyclobutane, being the most stable and simplest to form, is the most abundant, followed by oxetane and then the highly unstable 1,2-dioxetane [16,18].
In this review, we have tried to present information about natural metabolites bearing oxetane or dioxetane rings and also discuss their activity.
2. Oxetane Biomolecules Produced by Microorganisms
Oxetane biomolecules refer to biological molecules that contain an oxetane ring, which is a four-membered cyclic ether (C3H6O). Oxetane rings are of interest in medicinal chemistry and drug design due to their unique structural properties and ability to influence the biological activity of molecules [10,11,12]. The oxetane ring is characterized by its strained, small ring size, which can affect the conformation and reactivity of the molecule. This strain can be exploited in drug design to improve the stability or specificity of a molecule. Oxetane-containing compounds have been found to exhibit a range of biological activities, including antibacterial, antifungal, and anticancer properties [12]. The incorporation of an oxetane ring into drug molecules can also enhance their pharmacokinetic properties, such as solubility and permeability.
The synthesis of oxetane biomolecules can be challenging due to the ring strain. However, various synthetic strategies have been developed to incorporate oxetane rings into larger molecules, including biomolecules [20,21].
Oxetane biomolecules have potential applications in drug discovery and development. They are being explored as building blocks for the synthesis of more complex pharmaceutical compounds. Overall, oxetane biomolecules represent an interesting area of research in the field of medicinal chemistry, with potential implications for the development of new therapeutics [22,23].
Microorganisms produce significant quantities of metabolites containing an oxetane group [12]. Four β-lactones were isolated from the endophytic Streptomyces sp. T1B1, identified from the aged bast tissue of Taxus yunnanensis [24]: 4α-(3,5-dihydroxy hexyl)-3α-methyl-2-oxetanone (1; structures are shown in Figure 2 and activities are shown in Table 1); 4α-(3-methyl-4-formyloxy-hexyl)-3α-methyl-2-oxetanone (2); 4α-(3,5-dihydroxy-heptyl)-3α-methyl-2-oxetanone (3); and 4α-(3-methyl-4-formyloxy-heptyl)-3α-methyl-2-oxetanone (4). The fungal β-lactone hymeglusin (5, also known as antibiotic F 244), produced by Fusarium sp., inhibits HMG-CoA synthase (IC50 = 0.12 μM) by covalently modifying the enzyme’s active Cys129 residue [25,26]. Ebelactone B (6), a potent β-lactone inhibitor of pancreatic lipase, is produced by Streptomyces aburaviensis [27,28]. Additionally, oxetin (7), a (2R,3S)-3-amino-2-oxetane carboxylic acid, was isolated from a fermentation broth of Streptomyces sp. OM-2317 [29].
Figure 2.
Oxetane biomolecules derived from microorganisms.
Table 1.
Biological activity of oxetanes produced by microorganisms, fungi and marine sources [10].
Papulinone (8), a β-lactone with mild phytotoxic effects on apple and bean leaves, was isolated from the rod-shaped, Gram-negative bacterium Pseudomonas syringae [30]. Bradyoxetin (9) is a distinctive chemical component involved in the symbiotic regulation of genes, produced by the symbiotic bacterium Bradyrhizobium japonicum [31]. An ethyl acetate extract from marine Bacillus sp. bacteria, collected from sediments in Ieodo, South Korea, yielded a 24-membered antibacterial macrolactone called macrolactin I (10) [32].
Belactins A (11), inhibitors of serine carboxypeptidase, were discovered in the fermentation broth of Saccharopolyspora sp. MK19-42F6, also known as Streptomyces erythraeus [33]. Similarly, belactins B (12), also serine carboxypeptidase inhibitors, were identified in the same strain [33,34]. Two antitumor peptide antibiotics, belactosin A (13) and belactosin C (14), which act on cyclin/CDK-mediated cell cycle regulation, were produced by the soil-dwelling Streptomyces sp. KYI 1780 from Kanagawa Prefecture, Japan [35].
The β-lactone antibiotic lipstatin (15), derived from Streptomyces albus, exhibits antibacterial properties [36], and a compound, known as oxazolomycin (16), is produced by Streptomyces sp. KBFP-2025 and has been shown to possess antiviral activity as well, according to research by Tonew and co-authors [37,38]. Additionally, a series of pancreatic lipase inhibitors featuring an oxetane ring, named panclicins A, B, C, D, and E (17), are produced by Streptomyces sp. NR0619 [39].
The actinomycete Streptomyces albolongus MG147-CF2, isolated from a soil sample from Shirane Mountain in Gunma Prefecture, produces the antibiotic valilactone (18). This compound inhibits hog liver esterase and hog pancreas lipase with IC50 values of 29 ng/mL and 0.14 ng/mL, respectively. It also inhibits fatty acid synthase, with an IC50 value of 0.3 µM, and demonstrates selective toxicity towards MDA-MB-231 breast cancer cells, with an IC50 value of 10 µM [40].
A fungal indole-diterpenoid with an oxetane ring, known as pennigritrem (19), was isolated from Penicillium nigricans [41]. Ansalactam D (20), another compound, was isolated from a marine-derived Streptomyces sp. [42]. The phytotoxin FCRR-Toxin (21) was isolated from the culture filtrate of Fusarium oxysporum f. sp. radicis-lycopersici [43]. Cinnabaramide A (22), a proteasome inhibitor, was detected in the fermentation broth of Streptomyces sp. JS360 [44]. Lastly, a tricyclic sesquiterpene known as cyclodehydroisolubimin (23) has been isolated from potato tubers inoculated with the oomycete Phytophthora infestans [45].
The marine Salinispora tropica produced antibiotics: salinosporamide A (24) and omuralide (25) [46]. A sesquiterpene called stereumone A (26) was isolated from a culture broth of the fungus Stereum sp. [47], which showed nematicidal activity against nematode Panagrellus redivivus.
3. Oxetane Biomolecules Derived from Fungi and Marine Sources
Butenolide, known as ramariolide B (27), has been isolated from the fruiting bodies of the coral mushroom Ramaria cystidiophora. Its structure and activity are detailed in Figure 3 and Table 1, respectively [48].
Figure 3.
Oxetane biomolecules derived from fungi and marine sources.
Several natural products featuring a vibralactone skeleton have been isolated from cultures of the basidiomycete Boreostereum vibrans (see Figure 4). These include vibralactone B (28), vibralactone C (29); and acetylated vibralactone (30) [49]. Additionally, vibralactone (31) was isolated from the same fungal source [50].
Figure 4.
(a), The coral mushroom Ramaria cystidiophora; (b), Basidiomycete Boreostereum vibrans; (c), Japanese red algae Laurencia nipponica; (d), Red alga Sphaerococcus coronopifolius; (e), Octocoral Briareum asbestinum; (f), Marine sponge Axinella sp. Pictures of samples of plants, fungi or marine organisms presented in the review were taken from sites that permit their use for non-commercial purposes.
A highly oxygenated p-terphenyl, hawaiienol A (32), has been isolated from cultures of Paraconiothyrium hawaiiense, a fungus associated with the Septobasidium-infected insect Diaspidiotus sp. Another compound, a pentacyclic depsidone with an oxetane unit called phomopsidone A (33), was isolated from the mangrove endophytic fungus Phomopsis sp. A123. Bioactivity assays demonstrate that this compound possesses cytotoxic, antioxidant, and antifungal activities [51].
A taxol derivative, 7-epi-10-deacetyltaxol (34), was detected in the culture of the endophytic fungus Pestalotiopsis microspora, which was isolated from the bark of Taxodium mucronatum [52].
Several secochamigranes, namely laureacetal B (35), C (36), and E (37), were identified from the Japanese red algae Laurencia nipponica [53,54]. An organic extract from the Formosan soft coral Nephthea erecta led to the isolation of a sesquiterpene (38) [55].
A brominated compound, laureatin (39), was also isolated from Laurencia nipponica [56]. A diterpene with anticancer activity, known as prevezol B (40), was found in the red algae Laurencia rigida [57]. The diterpenoid sphaeroxetane (41) was detected in the red alga Sphaerococcus coronopifolius, collected in the north Adriatic Sea [58]. Dictyoxetane (42), a diterpene with a 2,7-dioxa-tricyclo[4.2.1.0]nonane ring subunit, was isolated from the brown alga Dictyota dichotoma collected from the Indian Ocean [59].
A diterpene isovalerate, spongiolactone (43), was isolated from the Mediterranean sponge Spongionella gracilis [60]. A series of anticancer triterpenoids, including sodwanone I (44) and sodwanone W (45), were yielded from a South African marine sponge, Axinella sp. [61]. An unusual asbestinane diterpene (46) has been isolated from the octocoral Briareum asbestinum, collected off the coast of Tobago, West Indies [62].
Anhydrochimerol (47), a 24,26-epoxy-5β-cholestane-3α,7α,12α-triol, was obtained from the hydrolysis of bile salts of the rabbit fish Chimaera monstrosa [63].
4. Oxetane Biomolecules Derived from Plants
An acetone extract from the leaves of the Indian herb Acalypha indica, particularly from Tamil Nadu, contains a compound with an oxetane ring (48) [64]. A β-lactone called vittatalactone (49; structures are shown in Figure 5 and activities are shown in Table 2) was isolated from collections of airborne volatile compounds emitted by feeding male striped cucumber beetles, Acalymma vittatum [65].
Figure 5.
Oxetane biomolecules derived from plants.
Table 2.
Biological activity of oxetanes derived from fungi and plants [10].
Artocarpol F (50), a phenolic compound containing an oxepine ring, was isolated from the root bark of Artocarpus rigida [66]. From the fruits of Aphanamixis polystachya, two A-secolimonoids were isolated: aphanalide C (51) and aphanalide J (52), with the latter featuring an unusual oxetane ring between C-7 and C-14 [67]. The aerial parts of Aruncus dioicus var. kamtschaticus yielded a monoterpenoid-O-β-D-glucopyranoside known as aruncide C (53) [68]. Two oxetane-containing neolignans, pahangine A (54) and B (55), were discovered in the bark extract of Beilschmiedia glabra [69].
A methanol-chloroform extract from the roots of Ceriops decandra, collected from the Kauvery estuary, resulted in the isolation of a diterpenoid, ceriopsin F (56) [70]. Additionally, 17-hydroxy-16-oxobeyer-9(11)-en-19-al (57) was found in the stems of Bruguiera sexangula var. rhynchopetala [71].
Clementein (58), a guaianolide, was isolated from Centaurea clementei [71] (sample see in Figure 6), and an oxetane lactone called subexpinnatin C (59) was isolated from Centaurea canariensis [72,73]. In Australia, the plant Crotalaria virgulata subsp. grantiana contains the alkaloid grantaline (60) [74], and cyclocaric acid A (61) was detected in the ethanol extract of Cyclocarya paliurus [75].
Figure 6.
(a), Artocarpus lacucha, also known as monkey jack or monkey fruit, is a tropical evergreen tree species of the family Moraceae from the Indian Subcontinent and Southeast Asia. The tree is valued for its wood; its fruit is edible and is believed to have medicinal value; (b), Centaurea clementei is a native of southern Spain where it grows on limestone cliffs and is rarely seen in cultivation. The flowers are very thistle-like, and the hairy bracts form a tight urn, above which the pale yellow flower opens; (c), Crotalaria virgulata, garden plant; (d), Derris laxiflora, is native to Taiwan and grows primarily in the humid tropical biome; (e), Ethulia conyzoides is an erect or lodging annual aromatic plant that is collected from the wild, mainly for local medicinal purposes in Myanmar, Thailand, Laos, and Vietnam; (f), Illicium anisatum—with common names Japanese star anise, Aniseed tree, and sacred Anise tree, known in Japanese as shikimi—is an evergreen shrub or small tree closely related to the Chinese star anise; (g), Isodon coetsa, a plant from tropical and subtropical Asia; (h), the sausage tree Kigelia africana (also Kigelia pinnata), with its distinctive sausage-shaped fruits and blood-red tulip-shaped flowers, is a colorful standout plant native to tropical Africa, where it grows in open forests, along river sand stream banks, and in floodplains.
The South American flowering plant Disynaphia halimifolia produced sesquiterpene lactones, disyhamifolide (62) and disynaphiolide (63) [76], while the flowers and leaves of Disynaphia multicrenulata from Argentina contained a sesquiterpene dilactone (64) [77].
A flavonoid named derriflavanone (65) was discovered in Chinese lianas Derris laxiflora. The stem bark of Duguetia glabriuscula, collected in Jardim, Brazil, yielded two oxetane-containing metabolites, (66) and (+)-α-santalan-9,11-epoxy-10-ol (67) [78]. The aerial parts of Ethulia conyzoides from Egypt afforded a monoterpene 5-methyl-coumarin named 5′-epi-isoethuliacoumarin B (68) [79]. Toxic metabolites, neoanisatin (69) and anisatin (70), were isolated from Japanese star anise Illicium anisatum [80]. A unique sesquiterpene bearing two γ-lactones and an oxetane ring, merrilactone A (71), was isolated from the pericarps of Illicium merrillianum and showed neurotrophic activity in cultures of fetal rat cortical neurons [81]. Neolignane (72) was detected in the aerial parts of Isodon coetsa [82].
An unusual metabolite, maoyecrystal I (73), with a 11,20:1,20-diepoxy-ent-kaurane skeleton, exhibiting cytotoxic activity against K562 cells, was found in the extract of Isodon japonicus. The presence of the oxetane group in maoyecrystal I is believed to determine its biological activity [83].
Guaiagrazielolide (74); structures are shown in Figure 7 and activities are shown in Table 2), a guaianolide with a β-lactone and an oxetane ring, was obtained from the leaves of the South American flowering plant Grazielia sp., along with 8-hydroxygrazielolide (75) [84]. cis-Himachalane-type sesquiterpenes, 2α,6α-epoxy- 3-himachalene (76) and 2α,6α-epoxyhimachalan-3β-ol (77) were isolated from the heartwood of Juniperus chinensis var. tsukusiensis [85].
Figure 7.
Oxetane biomolecules derived from plant species.
A limonoid named kigelianolide (78) was isolated from the ethyl acetate-soluble fraction of the methanolic extract of the African plant Kigelia africana, showing weak inhibitory activities against acetylcholinesterase, butyrylcholinesterase, and lipoxygenase [86].
Phenolic amide, lyciumamide C (79), identified from the stem of Lycium barbarum, exhibited moderate anticancer activity against human glioma stem cell lines [87,88].
Norfriedelane A, possessing an α-oxo-β-lactone group (80) and showing acetylcholinesterase inhibitory effects with an IC50 value of 10.3 μM, was isolated from the branches and roots of Malpighia emarginata [89]. An ent-Trachylobane diterpenoid, mitrephorone A (81), which possesses a hexacyclic ring system with adjacent ketone moieties and an oxetane ring, was detected in the stem bark of Mitrephora glabra [90].
Parthoxetin (82) was detected in the flowering plant Parthenium fruticosum, which belongs to the Chrysanthemum family. A triterpenoid carbon framework, named petatrichol B (83), was isolated from the rhizome of Petasites tricholobus and exhibited significant antibacterial activity against Bacillus subtilis [91]. A series of ergostane-type steroids, including petuniasterone P1 (84), were isolated from the leaves and stems of Petunia hybrida [92,93]. A limonoid, 7,14-epoxy-azedarachin B (85), was detected in a methanol extract of the roots of Melia azedarach [94]. An alkaloid, 1,9-epoxy-9α-hydroxystenine (86), has been isolated from the roots of Stemona tuberosa [95].
The genus Taxus is known for containing over 450 taxane diterpenes, many of which have an oxetane ring. An acetone extract from the leaves and twigs of Taxus sumatrana resulted in the isolation of bicyclic taxoids tasumatrol Y (87) [96] and tasumatrol V (88) [97]. The anticancer agent taxoprexin (89) was first isolated from the bark of Taxus brevifolia [98,99]. A taxane diterpene, taxagifine III (90), was isolated from the leaves and stems of Taxus chinensis [100], and the taxoid 13-O-acetyl wallifoliol (91) was isolated from extracts of the needles of Himalayan Taxus wallichiana [101]. A diterpene with a 5/6/6/6/4 ring system called wallifoliol (92) was also isolated from Himalayan T. wallichiana [101]. Taxumairol Q (93) was isolated from the leaves and twigs of T. sumatrana and exhibited significant cytotoxicities against both Hepa 59 T/VGH (human liver carcinoma) and KB (human oral epidermoid carcinoma) tumor cells [102]. An anti-Leishmania donovani agent called 10-deacetylbaccatin (94) and a series of closely related compounds have been isolated from the yew tree Taxus sp. [103]. A neo-clerodane diterpenoid, chamaedroxide (95), containing an oxetane ring, was found in Teucrium chamaedrys [104], and the aerial parts of Teucrium salviastrum contain diterpene teucroxide (96) and teusandrin E (97; structures are shown in Figure 8 and activities are shown in Table 3) [105].
Figure 8.
Oxetane biomolecules derived from terrestrial and aquatic biotopes.
Table 3.
Biological activity of oxetanes derived from fungi and plants [10].
Bufogargarizin C (98), a steroid with rearranged A/B rings and an unusual bufadienolide with a cycloheptatriene B ring, was isolated from the toad Bufo bufo gargarizans [106]. A cardenolide glycoside (99) was isolated from the aerial parts of the milkweed, Gomphocarpus sinaicus [107]. Merrilactone A (100), isolated from the pericarps of Illicium merrillianum, shows intriguing neurotrophic activity in the cultures of fetal rat cortical neurons [81].
An isoprenoid epoxycyclohexenone, expanstine C (101), featuring an unusual oxetane ring, was isolated from Penicillium expansum YJ-15. This compound exhibited potent antibacterial activities against B. subtilis [108].
A homomonoterpene, 1,3,3-trimethyl-7-oxabicyclo[3.1.1]hexa-9-en-10-oic acid, named madhusic acid A (102), was isolated from the methanolic extract of the dried leaves of Madhuca pasquieri [109].
Highly oxygenated diterpenes, trigochinin C (103) and trigonothyrin C (104), were isolated from Trigonostemon chinensis and showed significant inhibition against MET tyrosine kinase activity with an IC50 value of 2 μM [110]. A daphnane diterpenoid, trigothysoid H (105) [111], was isolated from the methanol extract of the twigs and leaves of Trigonostemon thyrsoideum; this compound demonstrated potent anti-HIV-1 activity, with an EC50 value of 0.001 nM and a TI value of 1618 [112].
An abietane diterpene, triptergulide A (106), containing a fused 5/6/6/3/6/4 hexacyclic system, was isolated from the leaves of Tripterygium wilfordii [113]. A highly functionalized daphnane diterpenoid, trigonothyrin A (107), was found in the extract of the stems of Trigonostemon thyrsoideum [114]. A furanoid diterpene of the clerodane type, 12-epi-montanin D (108), was isolated from the bitter fraction of the aerial parts of the Mediterranean tree, Teucrium montanum (syn. Chamaedrys montana) [115].
A bisindole alkaloid, quimbeline (109), was found in the root bark of Voacanga chalotiana [116], and a sesquiterpene, zizyberanone (110), was isolated from the fruits of the thorny rhamnaceous plant Ziziphus jujuba [117].
Approximately 300 compounds, including 3,3-dimethyl-oxetane (111), contributing to apple flavor and aroma from different cultivars (Cortland and Empire), have been reviewed [118]. The hormone thromboxane A2 (112) has been discovered in blood platelets [119,120].
An unusual 3,5-epoxysterol (113) was derived from the octocoral Plexaura flexuosa, located in Mochima Bay, Venezuela [121].
Two withanolide derivatives (114 and 115) were found in leaf extracts of plants belonging to the genus Solanum [122]. The antiviral activity of oxetane (116) obtained from 23,3α-dihydroxy-5α-cholestane has been described [123]. Highly oxygenated trichilin-type limonoids (117–120) were isolated from the desiccative ripe fruits of Trichilia sinensis, which showed weak inhibitory activity in the HeLa cell line [124]. From the fruits of the tropical tree Aphanamixis grandifolia, two oxetane limonoids, aphanalide J (121) and L (122), were isolated and demonstrated anti-feedant activity [125].
A limonoid named ciliatasecone (123) was detected in the barks of Toona ciliata, belonging to the Meliaceae family. This tree is cultivated throughout the tropics for its colored wood hearts, which are suitable for architecture and furniture. Large amounts of T. ciliata bark, a by-product of wood first-stage processing, have also been used as Chinese folk medicine to treat diarrhea, dysentery, and ringworm [126]. Rubescin F (124), a vilasinin-type limonoid, and another compound (125), were obtained from the leaves of Trichilia rubescens (Meliaceae) [127]. A cytotoxic triterpenoid named altissimanin A (126), a tirucallane-type triterpenoid bearing an uncommon oxetane ring in the side chain, was isolated from the bark of Ailanthus altissima [128].
A protostane-type triterpenoid bearing an oxetane ring in the side chain, named alisol W (127), has been obtained from the dried rhizome of Alisma plantago-aquatica subsp. orientale [129]. Bile sterol, 3α,7α,12α-trihydroxy-26,27-epoxycholestane (128), from carp bile, was reported by Hoshita [130].
5. Dioxetane Biomolecules Derived from Natural Sources
1,2-Dioxetanes, characterized by a four-membered ring containing two oxygen and two carbon atoms (C2H4O2), are a class of cyclic peroxides known for their instability and tendency to release energy as light [14,15,16,20]. These high-energy, non-aromatic heterocycles are of interest due to their potential as novel pharmacophores, with a broad spectrum of biological activities. Due to their strained structure and relatively weak peroxide bond (-O-O-) ranging from 190 to 210 kJ/M, 1,2-dioxetanes are highly unstable. These compounds have been found, isolated, and identified as intermediate products in natural and synthetic contexts [131].
1,2-Dioxetane units are found in extracts from various plants and marine invertebrates and are produced by certain fungi and fungal endophytes (samples of fungi and plants are shown in Figure 9). For example, a solubilized enzyme fraction from the mycelium lyophilisate of the oyster mushroom Pleurotus sapidus converts β-myrcene into furanoterpenoids through 1,4-endoperoxides, with compound (129) isolated as a stable intermediate [132].
Figure 9.
Samples of fungi and plants in which stable 1,2-dioxetanes were discovered and isolated. (a), the oyster mushroom Pleurotus sapidus; (b), wormwood Artemisia spp.; (c), Pongamia pinnata, a species of tree in the pea family, Fabaceae, native to eastern and tropical Asia, Australia, and the Pacific islands; (d), Dendrobium nobile, commonly known as the noble dendrobium, is a member of the family Orchidaceae.
Several mono- and diterpenoids (129a–g; structures are shown in Figure 10 and activities are shown in Table 4) have been isolated from terrestrial and marine species and showed antimalarial activity. Tinctures made from wormwood have always enjoyed panacea status in folk medicine, especially as thermogenics and remedies for fatigue, dyspepsia, and respiratory tract infections. Some representatives of this group of plants (Artemisia spp., Angelica keiskei, Melaleuca alternifolia) contain a number of bioactive substances, such as 1,2-dioxetanes (129a–f). Studies have shown that these compounds demonstrate strong antimalarial activity against Plasmodium falciparum [16,20,133,134].
Figure 10.
Stable 1,2-dioxetane biomolecules derived from natural sources. The 1,2-dioxetane ring is highlighted in red.
The sesquiterpenoid (6E,10R)-4,5-dioxo-11-methoxy-eudesm-6-ene (129g), isolated from the organic extract of the Formosan soft coral Nephthea erecta, demonstrated anti-inflammatory and cytotoxic activities [55].
An unusual sesquiterpene lactone, 11,13-Epidioxy-10-hydroxy-4-oxo- 12,8-pseudo-guaianolide (130), was isolated from the methanol extract of the Ambrosia species [134]. A dipeptide, diketopiperazine (131), isolated from a static culture of the Antarctic fungus Penicillium citreonigrum SP-6, showed weak inhibition against the HCT116 cancer cell line.
Neolignan mansoxetane (132) was obtained from dichloromethane extracts of the heartwood stem of Mansonia gagei (Sterculariaceae) [135] and was also isolated from the roots of Pongamia pinnata alongside compounds 133 and 134; phenylisoflavone (135); and compound 136 [136,137,138]. Compounds possessing a bis(bibenzyl) skeleton, dendronophenol A (137) and B (138), were isolated from the stems of Dendrobium nobile (Orchidaceae) [139]. Dendrowillol A (139), a 9,10-dihydrophenanthrene, was identified in the whole plants of Dendrobium moniliforme [140]. Neolignans (140 and 141) featuring a 1,2-dioxetane moiety were isolated from the twigs of Cinnamomum cassia [139].
Two pheophytins, bidenphytins A (142) and B (143), with peroxide functionalities on ring E were discovered over 20 years ago in crushed leaves of Biden pilosa var. radiata [141]. More recently, an unusual phaeophytin, 131-hydroxy- 131,132- peroxyphaeophorbide an ethyl ester known as ligulariaphytin A (144), was isolated from the aerial parts of Ligularia knorringiana, displaying weak cytotoxicity [142].
Hypocrellin A, an effective photosensitizer known for its light-induced antitumor, antifungal, and antiviral activities, has gained attention for its ability to generate reactive oxygen species and inhibit protein kinase C activity, along with antimicrobial and anti-leishmanial activities in vitro [143]. The photo-oxidation of hypocrellin A yielded two cytotoxic peroxyhypocrellins (145 and 146) [144].
Table 4.
Biological activity of oxetanes derived from fungi and plants [16,141,142,143,144].
Table 4.
Biological activity of oxetanes derived from fungi and plants [16,141,142,143,144].
| No. | Dominated Activity | No. | Dominated Activity |
|---|---|---|---|
| 129 | Antiprotozoal (Plasmodium), moderate | 135 | Neuroprotective effect, strong |
| 129a | Antiprotozoal (Plasmodium), strong | 136 | Antiprotozoal (Plasmodium), strong |
| 129b | Antiprotozoal (Plasmodium), strong | 137 | Antiprotozoal (Plasmodium), strong |
| 129c | Antiprotozoal (Plasmodium), strong | 138 | Antiprotozoal (Plasmodium), strong |
| 129d | Antiprotozoal (Plasmodium), strong | 139 | Antiprotozoal (Plasmodium), strong |
| 129e | Antiprotozoal (Plasmodium), strong | 140 | Antiprotozoal (Plasmodium), strong |
| 129f | Antiprotozoal (Plasmodium), moderate | 141 | Antiprotozoal (Plasmodium), strong |
| 129g | Antiprotozoal (Plasmodium), moderate | 142 | Photosensitizer, strong |
| 130 | Antiprotozoal (Plasmodium), moderate | 143 | Photosensitizer, strong |
| 131 | Anticancer, weak | 144 | Cytotoxic, weak |
| 132 | Antiprotozoal (Plasmodium), weak | 145 | Antineoplastic, strong |
| 133 | Antiprotozoal (Plasmodium), moderate | 146 | Antineoplastic, strong |
| 134 | Neuroprotective effect, strong |
The data presented in Table 4 are of great interest, since more than 75 percent of stable 1,2-dioxetanes demonstrate strong antimalarial activity against Plasmodium falciparum, although others compounds show strong neuroprotective or antineoplastic effects.
5.1. Stable and Unstable 1,2-Dioxetanes of Natural Products
Research in recent years has shown that 1,2-dioxetanes are intermediates in synthesis or biosynthesis in reactions that form new molecules [14,15,16]. Currently, more than 150 reactions are known in which, as a result of oxidation, unstable intermediate products are formed in the form of 1,2-dioxetanes. Below are some oxidation reactions of various natural products, the oxidation of which produces 1,2-dioxetanes.
The biological activity of the unstable 1,2-dioxetanes presented below has not been determined or found in published studies. However, based on published data, these peroxides should exhibit antiprotozoal or anticancer activity.
5.1.1. Cholesterol Oxidation by Singlet Molecular Oxygen
Cholesterol (147) is a crucial lipid molecule necessary for the structure and function of animal cell membranes. It is a waxy, fat-like substance produced in the liver and obtained from dietary sources [145,146]. Cholesterol plays a vital role in maintaining the fluidity and integrity of cell membranes and serves as a precursor for the synthesis of various steroid hormones, including sex hormones like estrogen and testosterone, as well as corticosteroids such as cortisol and aldosterone [147]. It also contributes to the synthesis of vitamin D in the skin when exposed to sunlight [148] and is used in the liver to produce bile acids, which are essential for digesting and absorbing dietary fats [149].
Paolo Di Mascio and colleagues recently published a review focusing on the use of [18O] labeled endoperoxides and hydroperoxides to investigate the mechanistic aspects of the formation of singlet molecular oxygen and its reactions in biological systems. The review highlights the synthesis and primary uses of [18O]-labeled compounds, particularly peroxides and singlet oxygen (1O2), to elucidate reaction mechanisms. It also summarizes the peroxidation reactions of major cellular targets like steroids, unsaturated lipids, proteins, and nucleic acids published over the last three decades [150]. The review reports cholesterol oxidation by singlet molecular oxygen and the decomposition of the 1,2-dioxetane intermediate (Scheme 1).
Scheme 1.
Cholesterol oxidation by singlet molecular oxygen. 5β-Cholesterol-hydroperoxide (150) and secosteroids (149, 151 and 152) can be formed by either the Hock-cleavage of 5α-OOH or the decomposition of the 1,2-dioxetane intermediate (148). The 1,2-dioxetane ring is highlighted in red.
Additionally, the formation of endogenous ozone has been linked to the oxidation of water catalyzed by antibodies, with the formation of dihydrogen trioxide as a primary intermediate product. A specific product of cholesterol’s reaction with singlet molecular oxygen (1O2) is 3β-hydroxy-5β-hydroxypseudo-B-norcholestane-6β-carboxaldehyde, generated from photodynamic exposure or the thermal decomposition of 1,4-dimethylnaphthalene endoperoxide as an oxygen source. The mechanism for generating this product (151) involves forming well-known 5α-cholesterol hydroperoxide (5α-OOH) (150, main product) and a 1,2-dioxetane intermediate (148). The unstable decomposition of this dioxetane yields an intermediate compound of 5,6-secosterol (149), which undergoes intramolecular aldolization to form the compound (152) [151].
5.1.2. The Autoxidation of Cholesterol
The autoxidation of cholesterol is a chemical process in which cholesterol undergoes oxidation, typically in the presence of oxygen from the air. This reaction can occur under normal atmospheric conditions, without the need for enzymes or other biological catalysts. The autoxidation process generally involves the formation of reactive oxygen species (ROS), which then attack the cholesterol molecule. This leads to the formation of various oxidized products. The primary sites of oxidation in cholesterol are the double bond in the ring structure and the allylic methyl groups [152,153,154].
The autoxidation of cholesterol (147) involves a carbon-centered radical (153) and a peroxyl radical (154), leading to the formation of cholesterol-7-hydroperoxide (155) as the major product [152,153]. During this process, the unstable peroxyl radical (154) further reacts to produce cholesterol dioxetane (156) and cholesterol 5-hydroperoxide dioxetane (157), as shown in Scheme 2 [153,154].
Scheme 2.
Cholesterol oxidation pathways during auto-oxidation process.
5.1.3. Oxidation of Cholesterol with Singlet Oxygen
Singlet oxygen is a highly reactive form of oxygen. Normally, molecular oxygen (O2) is in a triplet state, which is its most stable form, with two unpaired electrons that have parallel spins. In contrast, singlet oxygen has both electrons paired and opposite spins, making it energetically excited and more reactive than the ground-state triplet oxygen. Singlet oxygen is a powerful oxidizing agent. It reacts with a wide range of organic and inorganic substances, often altering their chemical structure. Notably, it can add to double bonds in unsaturated organic compounds, leading to the formation of peroxides or other oxidation products [155,156,157,158,159,160,161].
Singlet oxygen (1O2), a crucial non-radical molecule, plays a significant role in the oxidation of cholesterol. It is formed when molecular oxygen receives an energy input, such as through photoactivation [155]. Due to its extremely short half-life, singlet oxygen reacts rapidly with cholesterol, resulting in the formation of four primary oxysterols: 5α-cholesterol-hydroperoxide (150), preferentially formed; 6α-cholesterol-hydroperoxide (152); 6β-cholesterol-hydroperoxide (158); and dioxetane (148). Additionally, ozone’s interaction with cholesterol (147) results in the formation of an unstable cholesterol-trioxolane (159) [156,157,158,159,160,161]. These cholesterol oxidation products are detailed in Scheme 3.
Scheme 3.
The non-radical mediated cholesterol oxidation pathways. Cholesterol is oxidized by singlet oxygen to result in four different oxysterol species: dioxetane (148), 5α-cholesterol-hydro-peroxide (150), 6α-cholesterol-hydroperoxide (152), 6β-cholesterol- hydroperoxide (158), and the unstable cholesterol-trioxolane (159).
5.1.4. Oxidation of 6,7-Dehydrocarnosic Acid
6,7-dehydrocarnosic acid is a diterpene compound that is chemically related to carnosic acid. Both of these compounds are found in rosemary (Rosmarinus officinalis) and are highly valued for their antioxidant properties. These compounds are part of a class of chemicals known as phenolic diterpenes, which are known for their ability to scavenge free radicals and contribute to the stability and health benefits of rosemary extract [162,163,164].
The oxidation of 6,7-dehydrocarnosic acid, a derivative of carnosic acid found in rosemary, involves its transformation into various oxidized products. Carnosic acid and its derivatives are known for their antioxidant properties, but under certain conditions, they can undergo oxidation. Carnosic acid (160, (4αR,10αS)-5,6-dihydroxy- 1,1-dimethyl-7-propan-2-yl-2,3,4,9,10,10α-hexahydrophenanthrene-4α-carboxylic acid) and carnosol (164) are potent antioxidant compounds naturally found in Salvia officinalis. These compounds have demonstrated antimicrobial properties against pathogens such as Escherichia coli, Pseudomonas aeruginosa, Bacillus subtilis, and Staphylococcus aureus [162,163,164].
In the presence of oxygen, 6,7-dehydrocarnosic acid can be oxidized to form several products. This process may involve the formation of radical species, which then react further with oxygen. The oxidation typically occurs at the double bond between the sixth and seventh carbons, which is part of a larger ring structure in the molecule. Additionally, these compounds, along with rosmanol (165), were identified in extracts from Rosmarinus officinalis [165]. Carnosic acid is also known for its anti-obesity [166], neuroprotective [167], anti-inflammatory [163], anticancer [168,169], and other biological activities [170,171,172]. The oxidation of 6,7-dehydrocarnosic acid (160) along with its oxidation products (161–165) are illustrated in Scheme 4 [173,174,175].
Scheme 4.
The oxidation of 6,7-dehydrocarnosic acid to form dioxetane.
5.1.5. Oxidation of Vitamin D
Vitamin D is a fat-soluble vitamin that plays a crucial role in several important body functions, particularly in the regulation of calcium and phosphorus absorption, making it essential for maintaining healthy bones and teeth. Unlike many other vitamins, vitamin D functions like a hormone, and every cell in the body has a receptor for it. The oxidation of vitamin D refers to the chemical process in which vitamin D reacts with oxygen, leading to the alteration of its molecular structure and potentially affecting its biological activity. This process can occur under various conditions, including exposure to air, light, or heat, and can impact the stability and efficacy of vitamin D [176,177,178,179].
Vitamin D (166) possesses a standard reduction potential of 650 mV and is readily oxidized by reactive oxygen species (ROS) [176]. The oxidation of vitamin D by singlet oxygen results in the formation of 5,6-epoxide (167) [177]. Notably, this oxidation process is independent of temperature [178] and occurs at a high reaction rate [179]. The cleavage of 5,6-epoxide or dioxetane (167) ultimately leads to the formation of 4-methylcyclohex-3-ene-1,3-diol (170) and compound (169) through the intermediate (168), as detailed in Scheme 5.
Scheme 5.
Singlet oxygen oxidation of vitamin D.
5.1.6. Reaction of 17α-Hydroperoxy Steroids with P450 17A Enzymes
Cytochrome P450 enzymes are a diverse group of proteins known for catalyzing the oxidation of various substances, including aliphatic, aromatic, and heteroatomic compounds, involving both ring formation and cleavage reactions [180,181,182]. These enzymes play a crucial role in the biosynthesis and degradation of steroids, including critical C–C bond cleavage reactions [183].
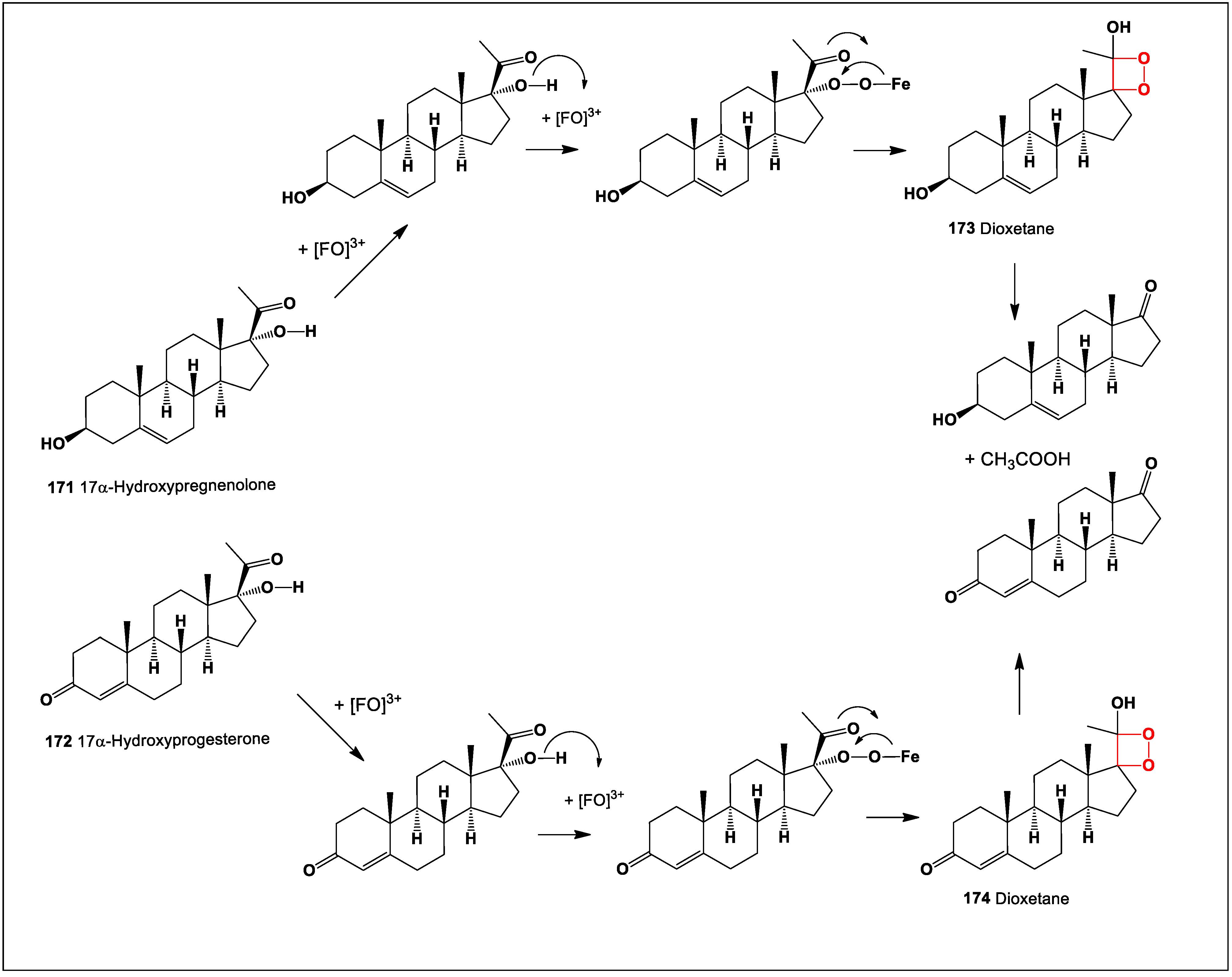
Guengerich and colleagues explored the reactions of 17α-hydroxypregnenolone (171) and 17α-hydroxyprogesterone (172) catalyzed by human P450 17A1, specifically focusing on the 17α,20-lyase reactions. They discovered that one of the reaction products for each steroid contained a 17,20-dioxetane unit, labeled as compounds (173) and (174) in Scheme 6 [184,185]. The team also synthesized biomimetic reagents, 17α-OOH pregnenolone (175) and 17α-OOH progesterone (176), and introduced these to P450 17A enzymes without NADPH or reductase, leading to the suggested formation of steroids with the 17,20-dioxetane unit (177 and 178). The oxidation pathway is depicted in Scheme 7.
Scheme 6.
Conversion of 17α-OH pregnenolone and 17α-OH progesterone to lyase products.
Scheme 7.
Conversion of 17α-OOH pregnenolone and 17α-OOH progesterone to lyase products.
5.1.7. Formation of Vitamin K 2,3-Epoxide from Vitamin KH2
Vitamin K is a group of fat-soluble vitamins that play a crucial role in blood clotting, bone metabolism, and regulating blood calcium levels. The vitamin K family consists of structurally similar compounds that are divided into two main types [186,187,188]. Vitamin K1 (phylloquinone) is found predominantly in green leafy vegetables like spinach, kale, and broccoli, as well as in some plant oils. Vitamin K1 is the primary form of vitamin K consumed in the human diet and is particularly important for its role in the blood clotting process. Vitamin K2 (menaquinones) is primarily found in fermented foods and animal products. It is also produced by bacteria in the human gut. Menaquinones have several subtypes, which differ in their side chain lengths, known as MK-4, MK-7, MK-8, etc. Vitamin K2 is especially important for bone health and cardiovascular health, as it helps regulate calcium deposition.
Vitamin K is crucial for the normal biosynthesis of clotting factors and is known to inhibit cell growth. Vitamin K1 2,3-epoxide (182, or 2,3-epoxyphylloquinone) is a derivative and inactive metabolite of vitamin K1. During the clotting process, vitamin K1 is converted into this epoxy form and then rapidly converted back to vitamin K1 by microsomal epoxide reductase. This conversion involves vitamin K hydroquinone and an unstable intermediate such as (180) and dioxetane (181), as outlined in Scheme 8. This cyclical process, known as the vitamin K1 epoxide cycle, allows for the transition of vitamin K1 between active and reserve states [186,187,188].
Scheme 8.
Proposed mechanism of epoxidation vitamin KH2.
5.1.8. Synthesis of a Phosphodiesterase-4 Inhibitor Called Moracin M
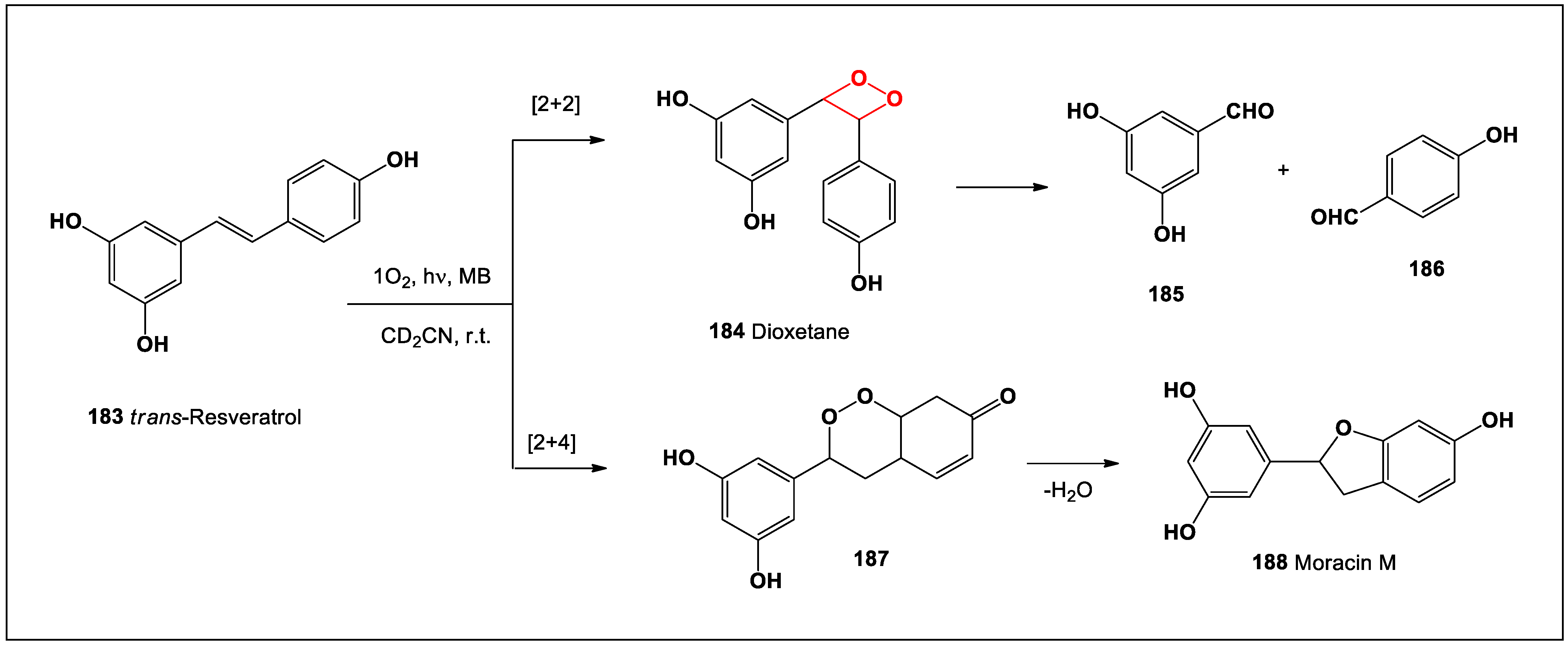
Moracin M (188), a phosphodiesterase-4 inhibitor, was isolated from the leaves of plants within the Morus genus. Leaf fractions from Morus insignis, soluble in ethyl acetate and n-butanol, exhibited significant hypoglycemic activity in hyperglycemic streptozotocin-induced (STZ) rats. Both fractions contained moracin M (188) and mulberroside F (known as moracin M-3-O-β-D-glucopyranoside) [189]. Mulberroside F, isolated from the leaves of Morus alba, is known to inhibit melanin biosynthesis [190]. Moracin M has also been isolated from the bark of Morus nigra [191].
Resveratrol (183), a natural phenolic stilbenoid, undergoes oxidation with singlet oxygen along two major pathways. Pathway A, which is a [2+2] cycloaddition, forms a transient dioxetane (184) that subsequently cleaves into the corresponding aldehydes (185 and 186). Pathway B, a [4+2] cycloaddition, results in the formation of an endoperoxide (187). Under heating, this endoperoxide undergoes a rearrangement to yield moracin M (188), as illustrated in Scheme 9 [192].
Scheme 9.
Synthesis of a phosphodiesterase-4 inhibitor called moracin M.
5.1.9. Oxidation of Resveratrol Catalyzed by Dioxygenase NOV1
Bai and co-authors [193] investigated the oxidative cleavage of resveratrol (183) catalyzed by the dioxygenase enzyme NOV1 from the Gram-negative bacterium Novosphingobium aromaticivorans. NOV1, identified as a stilbene cleavage oxygenase, is responsible for the oxidative cleavage of the central double bond in stilbenes, resulting in the formation of two phenolic aldehydes (190 and 191).
The research outlined two distinct pathways for this reaction, differing only in the sequence of forming the first [C-O] bond. The first pathway involves a dioxetane intermediate (189), while the second pathway involves an epoxy intermediate (192). Each pathway encounters high energy barriers for the formation of the second [C-O] bond, as depicted in Scheme 10 [193]. These pathways highlight the complex mechanisms involved in the biochemical transformation of stilbene compounds by microbial enzymes.
Scheme 10.
Oxidation of resveratrol by dioxygenase NOV1.
Mazzone and co-authors also studied the trans-resveratrol (183) and 1O2 interaction mechanism and concluded that the oxidation of trans-resveratrol resulted in a resveratrol-quinone (194) product via an endoperoxide intermediate (193) through the action of 1O2 on the resorcin ring. The second mechanism, in which singlet oxygen reacts with a double bond connecting two resveratrol rings, resulting in benzaldehyde products (190 and 191), involves the formation of dioxetane intermediate (189) (Scheme 11) [194].
Scheme 11.
The oxidation of trans-resveratrol and the formation of dioxetane intermediate.
5.1.10. Oxidation of Natural Unsaturated Products by Dioxygenases
Dioxygenases, a class of oxidoreductase enzymes, are found across a wide range of organisms, from simple unicellular species and bacteria to complex eukaryotic organisms [194]. These enzymes are distinguished by their ability to incorporate both atoms of molecular oxygen into substrates during various metabolic pathways. Dioxygenases frequently participate in the cleavage of bonds, including aromatic rings, making them essential in biochemical transformations [195].
Dioxetanes (four-membered peroxides, labeled 195–198) are often intermediates in these reactions (Scheme 12). The oxidative cleavage of aromatic rings typically involves substrates such as catechol (1,2-dihydroxy) or quinol (1,4-dihydroxy). In the case of catechols, cleavage usually occurs between the two hydroxyl groups, resulting in products that contain aldehyde and/or carboxylic acid(s) (Scheme 12). This enzymatic action underscores the critical role of dioxygenases in the degradation and transformation of aromatic compounds in nature.
Scheme 12.
Oxidation of unsaturated compounds.
5.1.11. Oxidation of Unsaturated Fatty Acids with Formation of Dioxetanes
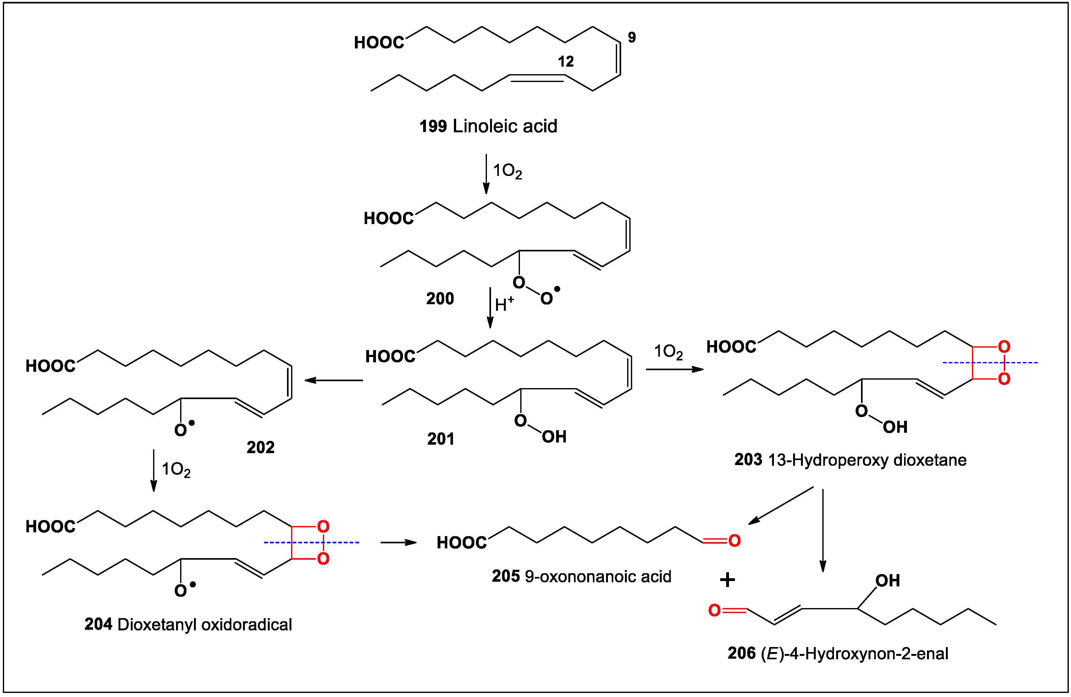
Over the past four decades, numerous mechanisms have been proposed for the oxidation of fatty acids [196,197,198,199,200,201,202,203,204,205,206,207]. These oxidative processes generally produce biologically active fatty aldehydes, such as (E)-4-hydroxynon-2-enal (206), 4-hydroxyhexenal, malonaldehyde, and 9-oxononanoic acid (205). The fatty aldehydes formed are highly reactive and have been shown to promote various diseases due to their cytotoxic, genotoxic, and chemotactic activities and influences on cell proliferation and gene expression [208,209,210].
One specific pathway of interest is the Esterbauer Dioxetane Mechanism [211,212], which involves the fragmentation of fatty acids and the formation of intermediate dioxetanes (203 and 204). A notable limitation of this mechanism, however, is that the specific process of dioxetane generation, which presumably involves singlet oxygen cyclo-additions to the C=C bond, is not fully elucidated.
Linoleic acid, an essential fatty acid with two cis-configured double bonds at positions 9 and 12 (199, cis-9,12-18:2), is primarily found in vegetable oils as triglyceride esters. It plays a crucial role in mammalian nutrition and is used in the biosynthesis of prostaglandins and cell membranes [213,214,215,216,217]. Linoleic acid’s biological activities, studied for over 90 years, include antibacterial, antimicrobial, antiviral, and antifungal properties [218,219,220,221,222].
Conjugated linoleic acid (CLA) has been extensively researched for its health-promoting benefits. Recent in vivo and in vitro studies have demonstrated that CLA inhibits the development of multistage carcinogenesis at various sites. These studies have provided significant insights into CLA’s mechanisms of action in cancer prevention [223,224,225,226].
The oxidation of linoleic acid has been the subject of research for over 50 years, with numerous reviews summarizing these findings [227,228,229,230,231,232]. Overall, the mechanism of linoleic acid oxidation presents an interesting and plausible scenario, as depicted in Scheme 13.
Scheme 13.
The scheme shows an example of the Esterbauer mechanism for the synthesis of dioxetanes in the breakdown of unsaturated fatty acids using singlet oxygen. The scheme shows a special case of the oxidation of linoleic acid (199). The formation of two dioxetans (203 and 204) is the most interesting point in the oxidation of linoleic acid, which flows through the intermediate products (200, 201 and 202) and the final products (E)-4-hydroxynon-2-enal (206) and 9-oxononanoic acid (205).
Over 25 years ago, Salomon and co-authors [233] proposed the peroxycyclization-dioxetane fragmentation mechanism. This theory suggests a competitive process between peroxycyclization, leading to fragmentation products, and the formation of derivatives such as 205, 206, 209, 212, and 213, as depicted in Scheme 14.
Scheme 14.
Proposed of peroxycyclization-dioxetane fragmentation mechanism.
According to Scheme 14, linoleic acid (199) can undergo two distinct oxidative pathways. During the oxidation process, four dioxetanes (203, 208, 210, and 211) are formed. The subsequent decomposition of these dioxetanes results in the production of three different aldehydes (77, 80, and 84) and two keto acids (205 and 212). This detailed mechanism outlines the complexity and diversity of pathways available in the oxidative degradation of linoleic acid, highlighting how various intermediates and end products can arise from the same precursor under oxidative conditions.
5.1.12. Oxidation of Arachidonic Acid with Formation of Dioxetane Unit
Arachidonic acid (214, or eicosatetraenoic acid, 20:4) is a 20-carbon chain polyunsaturated fatty acid featuring four double bonds at positions 5, 8, 11, and 14. It is found in various sources including animals [234,235,236,237,238,239,240]; red [241,242,243,244,245,246,247] and brown algae [247,248,249,250,251]; and marine invertebrates [249]. In mammals, arachidonic acid is primarily located in the phospholipids of cell membranes, such as phosphatidylethanolamine, phosphatidylserine, phosphatidylcholine, and phosphatidylinositides, with high concentrations in the brain, muscles, and liver, and also in fish [252,253,254]. Arachidonic acid serves as a precursor for the biosynthesis of prostaglandins, isoprostanes, thromboxane, and endoperoxides [255,256,257,258,259].
The oxidation products derived from arachidonic acid are crucial for the normal functioning of various human organs [260,261,262]. When arachidonic acid is oxidized by cyclooxygenases, it leads to the production of the bicyclic endoperoxide prostaglandin G2, along with other oxidized metabolites such as thromboxane, PGF2, PGD2, PGE2, and prostacyclin [263,264,265,266,267,268]. In both in vitro and in vivo conditions, the free radical oxidation of arachidonic acid generates numerous isoprostanes, which are stereoisomers of PGF2 resulting from the reduction of bicyclic endoperoxides [269,270,271,272].
The synthesis of prostaglandin PGF2 during the oxidation of arachidonic acid involves the formation of dioxetanes (217–219), as illustrated in Scheme 15. The synthesis process begins with the 4-exocyclization of the peroxyl radical, leading to an intermediate dioxetane. This mechanism is proposed not only for the biosynthesis of prostaglandins but also for the formation of 4-hydroxynonenal, underscoring the complex pathways involved in the metabolic processing of arachidonic acid.
Scheme 15.
Prostaglandin PGF2 (220) is synthesized during the oxidation of arachidonic acid (214) and the formation of dioxetanes (217, 218 and 219), which are formed from hydroperochids (216). The last stage goes through 5-exo cyclization and dioxetane opening.
Isoprostanes, which are prostaglandin-like compounds, can be formed via the dioxetane/endoperoxide mechanism, as outlined in Scheme 16 [237,273,274,275]. This process involves several steps and initiates with molecular oxygen attacking double bonds at specific positions in the arachidonic acid backbone, leading to the formation of various isoprostanes.
Scheme 16.
Proposed dioxetane/endoperoxide mechanism for the formation of various types of isoprostanes.
Initially, oxygen molecules attack the double bonds at positions 15 (type 3, structure 215), 12 (type 5, structure 221), 8 (type 4, structure 222), and 5 (type 6, structure 223) on the arachidonic acid chain. This attack leads to the formation of corresponding hydroperoxides for each type (215, 221, 222, and 223). These hydroperoxides then convert into hydroperoxy radicals.
These radicals undergo further transformations to form corresponding dioxetanes (217, 224, 225, and 226). The subsequent cleavage of these dioxetanes results in the formation of different types of isoprostanes, specifically isoprostanes 220, 227, 228, and 229, for each respective original position of the double-bond attack. This complex mechanism highlights the intricate biochemical pathways involved in the oxidative stress response and lipid peroxidation processes in the body.
5.1.13. Formation of Dioxetanilated Phosphatidic Acids and Triacylglycerols
Dioxetanilated phosphatidic acids and triacylglycerols are specialized compounds that involve the incorporation of a dioxetane ring into the molecular structure of phosphatidic acids and triacylglycerols, respectively. The incorporation of a dioxetane ring into phosphatidic acids and triacylglycerols creates dioxetanilated phosphatidic acids and dioxetanilated triacylglycerols. This modification is of particular interest due to the unique chemical and physical properties of dioxetanes, especially their ability to undergo chemiluminescent decomposition. Unique dioxetanilated phosphatidic acids (230–232, 234–237, 239–241, 243–245, 247–249, and 122–125) have been synthesized and identified as potent anticancer agents [276] (see Scheme 17). These phospholipids, including phosphatidylserine (239, 234, 239, 243, 247, 251), phosphatidylinositol (231, 235, 240, 244, 248, and 252), and phosphatidylethanolamine (232, 237, 241, 245, 249, and 253), with dioxetane-containing fatty acids, have shown promising anticancer activity against L-1210 tumor cells.
Scheme 17.
The unique dioxetanilated phosphatidic acids, phospholipids and TAG were detected during oxidation lipids.
Linoleic acid and its derivatives, specifically trilinolenoylglycerol dioxetanes (TAG, 233, 238, 242, 246, 250, and 125), were prepared through the ozonation of linoleic acid methyl ester at 80 °C in acetone (Me2CO) [277]. These trilinolenoylglycerols with dioxetane groups, as well as the linoleic acid methyl ester dioxetanes, also displayed cytotoxicity against L-1210 leukemia cells [276,277].
The breakdown of fatty acid hydroperoxides from phospholipids can be facilitated by phospholipase A2 [278], including its mitochondrial calcium-dependent isoform triggered by superoxide, or by a calcium-independent isoform. While fatty acid hydroperoxides are transient and non-radical, they are highly reactive and typically degrade into hydroxyl fatty acids through the action of glutathione peroxidase or phospholipid hydroperoxide glutathione peroxidase. They can also decompose into toxic epoxy acids and α,β,γ,δ-unsaturated aldehydes [279].
The free radical-initiated autoxidation of polyunsaturated fatty acids has been implicated in numerous human diseases, such as atherosclerosis and cancer [275]. The dioxetane group-containing linoleic acid derivatives (230–254), along with other peroxides, have been extensively studied and identified, underscoring the critical role these compounds play in health and disease [271,276,277,280].
5.1.14. Oxidation of Carotenoids and Similar Compounds
Polyene terpenoids, known as carotenoids (C40), are synthesized by bacteria, plants, and algae and can also be found in marine invertebrates and some protozoa. Mammals obtain carotenoids primarily through their diet, predominantly in the forms of β-carotene (provitamin A) and lycopene. To date, over 700 different carotenoids have been identified from various natural sources. Carotenoids are susceptible to the oxidative cleavage of their double bonds, resulting in smaller molecules known as apocarotenoids or norisoprenoids [281,282,283]. This splitting can be specific or nonspecific: nonspecific cleavage typically occurs via photo- or chemical oxidation, while specific cleavage is mediated by enzymes known as carotenoid cleavage dioxygenases, producing fatty aldehydes and other compounds like the phytohormones strigolactone and abscisic acid [284,285,286].
Currently identified are nine different products from the interaction of retinoic acid (255) with singlet oxygen, some of which are illustrated in Scheme 18 [287,288]. These oxidation products include an epoxide (256), hydroxyketone (257), a furan derivative (258, through the rearrangement of 256), endoperoxide (259), dioxetane (260), and four degradation products with molecular weights lower than that of the parent retinoic acid. Similar oxidation products have been reported for other vitamin A derivatives such as retinal [289,290,291], retinol [289,292,293], and retinol palmitate [289,293]. In most of these cases, oxidation is often limited to the addition of two oxygen atoms, with 5,8-endoperoxide (similar to 130) frequently proposed as either the major or sole initial product [294].
Scheme 18.
The reaction of retinoic acid with singlet oxygen main breakdown products.
Astaxanthin Oxidation Reaction
Astaxanthin is a keto-carotenoid, belonging to a larger class of chemical compounds known as terpenes. It is a naturally occurring pigment that is part of the carotenoid family, which includes beta-carotene, lutein, and canthaxanthin. Astaxanthin is most notable for its strong antioxidant properties, and this is what gives the pink and red color to many marine organisms, including salmon, shrimp, lobster, and some algae [295,296,297].
Astaxanthin, like other carotenoids, is susceptible to oxidation, particularly when exposed to light, heat, or oxygen. The oxidation of astaxanthin involves complex chemical changes that can affect its color, antioxidant capacity, and biological activity. Understanding these oxidation processes is crucial for the stability and efficacy of astaxanthin in various applications, including dietary supplements and food products. An oxidative mechanism has been observed in the oxidation of astaxanthin and its derivatives, as detailed in Scheme 19 [295,296,297]. Through the application of liquid chromatography coupled with photodiode array and electrospray ionization mass spectrometry (LC/PDA ESI-MS) and electron spin resonance (ESR) spectrometry, various reaction products of astaxanthin (261) and its acetate with reactive oxygen species have been isolated and identified.
Scheme 19.
Astaxanthin oxidation reaction and main oxidation products.
Astaxanthin epoxides (264 and 265) emerged as the major reaction products when astaxanthin interacted with superoxide anion radicals and hydroxyl radicals. In contrast, when reacting with singlet oxygen, astaxanthin predominantly formed endoperoxides, including compounds identified as a dioxetane (264) and an endoperoxide (265). These findings were consistent with the reactions involving astaxanthin acetate, indicating a reproducible pattern of oxidation products across different astaxanthin derivatives [298,299]. This research highlights the sensitivity of astaxanthin to oxidative modifications and provides insight into the chemical behavior of carotenoids under oxidative stress.
β-Carotene Oxidation Reaction
β-Carotene is a type of carotenoid that is widely recognized for its vibrant orange color. It is a provitamin A carotenoid, meaning it can be converted into vitamin A in the body. Beta-carotene is an essential nutrient that offers numerous health benefits, primarily due to its role as a precursor to vitamin A and its antioxidant properties. It is a hydrocarbon molecule consisting of a long chain with alternating double bonds (a conjugated system). This structure is responsible for its chemical properties and ability to act as an antioxidant.
The molecule is fat-soluble, meaning it is best absorbed when consumed with dietary fats. It is commonly found in fruits and vegetables that are orange, yellow, or deep green in color. Key sources include carrots, sweet potatoes, pumpkins, spinach, kale, and cantaloupe [300,301,302,303].
The oxidative reactions of β-carotene have been thoroughly studied and are detailed in Scheme 20 [300]. This includes the well-documented all-trans-cis isomerization of β-carotene, extensively explored by Doering and colleagues, who evaluated the stabilization energy of semi-rigid conjugated systems with varying numbers of double bonds [301,302]. Scheme 20 illustrates that trans-β-carotene (266) can convert to 15,15′-cis-β-carotene (267). This cis-isomer, upon interaction with singlet oxygen, forms a dioxetane (268) through the cleavage at the 15,15′ double bonds and also forms a 5,8-endoperoxide (269). Additionally, the free radical oxidation of 15,15′-cis-β-carotene (267) leads to the formation of 5,6-epoxy-β-carotene, which can also arise from the cleavage of the 5,8-endoperoxide (269) [302,303].
Scheme 20.
β-Carotene oxidation reaction and main oxidation products.
An alternative pathway, highlighted in Scheme 21, demonstrates the formation of retinal, a precursor to vitamin A, from 15,15′-cis-β-carotene (270). This process involves the cleavage of 15,15′-cis-β-carotene (271) by carotenoid 15,15′-oxygenases, which are enzymes found in mammals, chickens, fruit flies, zebrafish, and the fungus Fusarium fujikuroi, as well as apo-carotenoid 15,15′-oxygenases found in cyanobacteria. The end product of these cleavage reactions is retinal (272) [304,305,306]. In both Scheme 20 and Scheme 21, the transformation of β-carotene to retinal is central, showcasing the importance of these pathways in vitamin A biosynthesis.
Scheme 21.
β-Carotene oxidation reaction and retinal oxidation products.
5.1.15. Synthesis and Biological Activities of Chromones
Chromones are a class of organic compounds characterized by a benzo-γ-pyrone structure. This structure features a benzene ring fused to a pyrone ring, making chromones a subset of the larger chemical family known as benzopyrones. They are of significant interest in chemistry and pharmacology due to their wide range of biological activities and potential therapeutic applications. The core structure of chromones consists of a four-chromone backbone. The general formula is C9H6O2, where a benzene ring is fused with a four-membered lactone (a cyclic ester) ring [307,308].
Chromones are naturally occurring compounds found in a variety of plants, including species in the Asteraceae and Fabaceae families. They are also identified in certain types of fungi and bacteria. In plants, chromones are often involved in chemical defense mechanisms against pests and diseases [309,310,311].
Furocoumarins, particularly psoralens, undergo photolysis when exposed to UVA radiation in solution, leading to a variety of products depending on their molecular structure and the specific reaction conditions [312,313]. This photoreaction is significant because it influences the phototherapeutic uses of psoralens in medical treatments. One of the best-known chromones in medical use is cromolyn sodium, a medication used primarily to treat asthma and allergic reactions. It works by preventing the release of substances in the body that cause inflammation, such as histamine and leukotrienes.
Viola and colleagues have specifically investigated the products of furocoumarin photolysis induced by UV irradiation, focusing on their biological impact [314]. Their study on 8-methoxypsoralen (273) revealed that its oxidation under UV light produces a dioxetane intermediate (274). In a methanol solution, this intermediate transforms into product (275) and further decomposes to yield two distinct molecules (276 and 277, as shown in Scheme 22). Importantly, the irradiated solution of 8-methoxypsoralen significantly induces erythroid differentiation in K562 cells, a human leukemia cell line, suggesting potential applications in medical research and therapy involving erythroid differentiation. This example highlights the complex chemistry and biological relevance of furocoumarins under specific environmental conditions like UV exposure.
Scheme 22.
Photolysis of 8-methoxypsoralen with formation of dioxetane.
Scheme 23 shows the photolysis of furochromones and the formation of endoperoxides (279, dioxetane, and 280), during the decomposition of which the products of photolysis are formed (281–284) [312,313,315].
Scheme 23.
Photolysis of khellin with formation of dioxetane.
5.1.16. The Photo-Oxidation of Psoralen
Psoralen is a naturally occurring compound that belongs to a group of substances known as furocoumarins. Furocoumarins are a class of organic chemical compounds that are derived from a fusion of a furan ring and a coumarin structure. Psoralens are particularly notable for their photosensitizing properties, which have been utilized in medicine, especially in treating skin disorders. Psoralen itself consists of a coumarin nucleus fused with a furan ring. The basic chemical formula is C11H6O3. This structure allows psoralen to absorb ultraviolet (UV) light, leading to a photochemical reaction that can form cross-links with DNA, altering its structure [316,317,318,319]. Psoralen is found in several plant species, particularly those belonging to the Apiaceae family, such as celery, parsley, and figs. It is also present in the seeds of the Psoralea corylifolia plant, commonly known as Babchi, a plant used in traditional Indian and Chinese medicine [317,318,319,320]. The photo-oxidation of psoralen (285) in solutions has been extensively studied, with findings documented across several publications [316,317,318,319,320]. Psoralen, when photo-oxidized, can lead to products with split pyrone rings through two primary mechanisms.
Mechanism A: Upon the absorption of a photon, an electronically excited psoralen molecule may undergo solvolysis with water, leading to the formation of furocoumaric acid (289). This initial reaction can be followed by the further oxidation of the opened pyrone ring double bond by oxygen dissolved in the water, resulting in the formation of 5-formyl-6-hydroxybenzofuran (290), as illustrated in Scheme 24. This pathway emphasizes the role of water as a solvent in facilitating the breakdown of the psoralen structure into more oxidized derivatives.
Scheme 24.
Supposed photochemical mechanisms which result in formation of aldehydic POP-products (6-formyl-7-hydroxycoumarin (288), 5-formyl-6-hydroxybenzofuran (290).
Mechanism B: Another pathway involves the action of singlet oxygen, which is generated during the photo-oxidation of psoralen in solution. This reactive oxygen species attacks the double bond of the furan ring, leading to the formation of an intermediate dioxetane (286). The subsequent simultaneous cleavage of the O–O and C–C bonds within the dioxetane structure results in the production of a dialdehyde (287). Further hydrolysis of the ether bond within this compound then yields 6-formyl-7-hydroxycoumarin (288). This mechanism highlights the role of singlet oxygen in driving the oxidative cleavage that results in significant structural changes to the psoralen molecule.
Both mechanisms demonstrate the complex chemical transformations psoralen can undergo under photo-oxidative conditions, leading to various products that differ significantly from the original compound. These transformations are not only of interest chemically but could also have implications in biological systems where psoralen and its derivatives are known to have significant effects.
5.1.17. Oxidation of Quercetin
Quercetin is a flavonoid, a type of naturally occurring plant pigment that is part of a larger group of compounds known as polyphenols. It is widely recognized for its potent antioxidant properties and a range of other health benefits [321,322,323,324]. Quercetin is found in many fruits, vegetables, leaves, and grains; it is one of the most abundant antioxidants in the human diet and plays a significant role in fighting free radical damage. Quercetin is commonly found in onions (especially red onions), capers, apples, berries (like blueberries and blackberries), grapes, red wine, green tea, and buckwheat [325,326,327,328,329,330].
In the oxidative transformation of quercetin (291), an intramolecular nucleophilic attack by the peroxide function at either the C3 or C4 position can lead to the formation of unstable intermediates such as a 1,3-endoperoxide (294) or a 1,2-dioxetane (295), via 292 and 293, as depicted in Scheme 25. These intermediates are inherently unstable and rapidly decompose, leading to further reaction products.
Scheme 25.
Proposed mechanism for superoxide anion radical-mediated oxidation of quercetin.
The 1,3-endoperoxide (294) undergoes ring fission and decarbonylation to directly form a compound (297). In the case of the 1,2-dioxetane (295), it has been reported to transform into 2-(2-((3,4-dioxocyclohexa-1,5-dienyl)(hydroxyl)methoxy)- 4,6-dihydroxy-phenyl)-2-oxoacetic acid (296) [325]. The further hydrolysis of compound 297 results in the formation of various benzoic acid derivatives. Notably, this includes 2,4,6-trihydroxybenzoic acid (298, also known as phloroglucinol carboxylic acid) and 3,4-dihydroxybenzoic acid (299, known as protocatechuic acid) [326,327,328,329,330]. These transformation products underline the extensive metabolic pathways of quercetin and similar polyphenols, which contribute significantly to their biological activities and potential health benefits.
5.1.18. Oxidation of Chalcones Derivatives by Peroxidase
Chalcones are aromatic ketones and enones that form the central core of a variety of important biological natural metabolites [331,332,333]. They are essential precursors for the biosynthesis of flavonoids in plants and exhibit a broad spectrum of biological activities. These include antioxidative, antibacterial, antihelmintic, amoebicidal, antiulcer, antiviral, insecticidal, antiprotozoal, anticancer, cytotoxic, and immunosuppressive effects [334,335].
The oxidative mechanism of methoxy chalcone (300) involves the formation of an unstable dioxetane (301), which, upon the hydration of a hydroperoxide intermediate (302), leads to the formation of the final product (303), as depicted in Scheme 26 [336].
Scheme 26.
Mechanism of attack of 1O2 in the chalcone derivative.
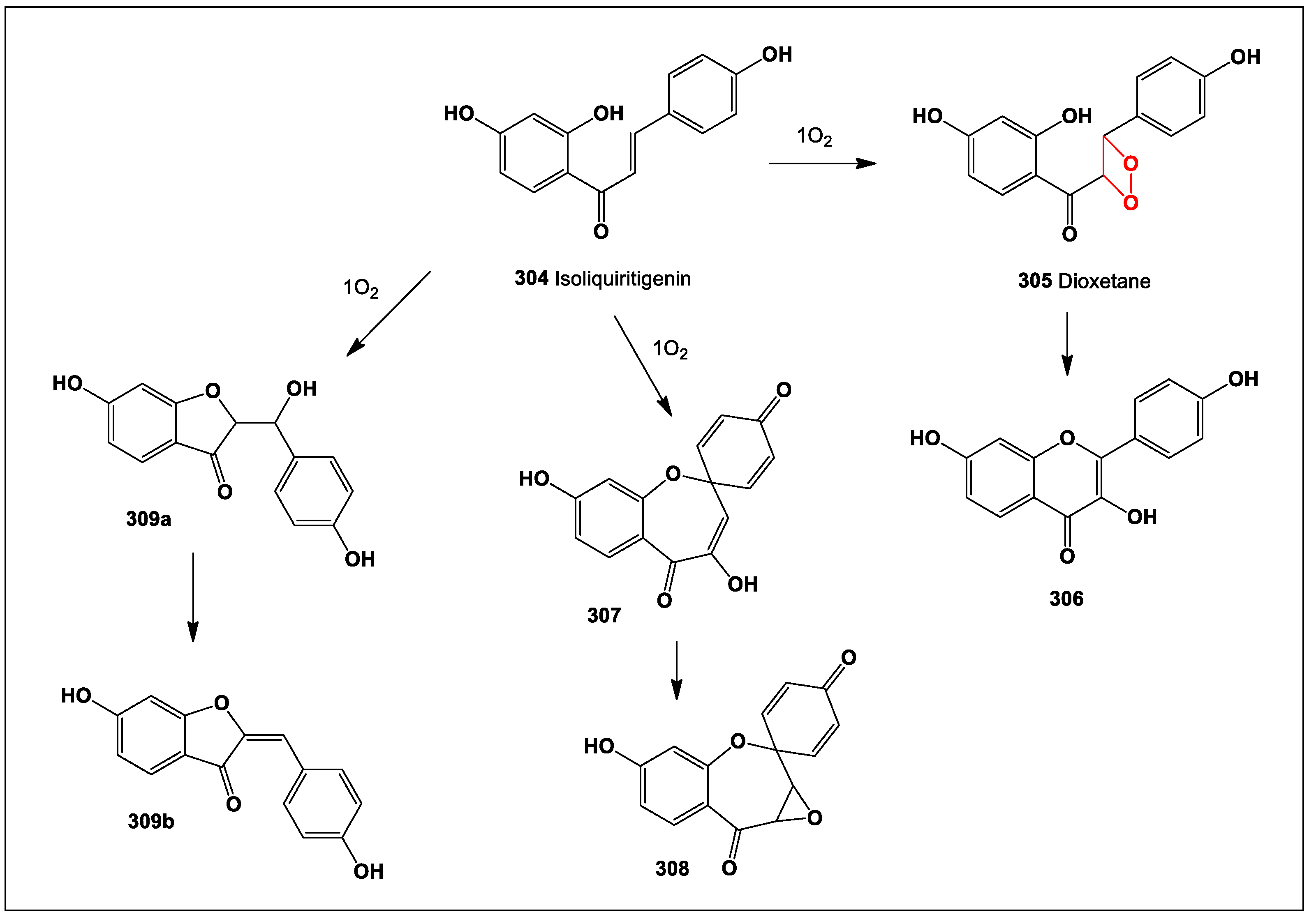
Further investigations into chalcone transformations have been conducted using cell-free extracts from garbanzo (Cicer arietinum) and soya (Glycine max). These extracts have been shown to catalyze the oxidation of 4,2′,4′-trihydroxychalcone (304, isoliquiritigenin) into dihydroflavonol (306) and what is termed “hydrated aurone” (309a), along with another compound (309b) [337,338]. Additionally, the dioxetane derivative of 2′,4,4′-trihydroxychalcone (305) was previously identified as a product from peroxidase-catalyzed oxidation and detected in the dye-sensitized photo-oxygenation of the same chalcone, indicating that it plays a role in the formation of several products.
In contrast, studies utilizing purified enzymes from garbanzo or horseradish peroxidase revealed that the main isolatable oxidation product of isoliquiritigenin (304) under controlled conditions was an unstable compound, later characterized as benzoxepinone-spiro-cyclohexadienone (307). This novel compound, isomeric with 7,4′-dihydroxyflavonol (306)—also found as a minor product—highlights the complex oxidation pathways of chalcones. Additionally, under specific experimental conditions, the epoxide tautomer of (308) was also isolated. Subsequent research uncovered the existence of compounds other than (307) as initial products of the enzymatic reaction, revealing various stereochemical modifications of the four-membered cyclic peroxide (1,2-dioxetane) structure (305), which were isolated and are characterized in Scheme 27.
Scheme 27.
Stable dioxetane (305) was isolated during oxidation of isoliquiritigenin.
5.1.19. Photo-Oxidation Products of Ellagic Acid
Ellagic acid (310), the dilactone of hexahydroxydiphenic acid, is recognized as a potent natural phenolic antioxidant and exhibits a wide array of biological activities, notably antiproliferative, antibacterial, and anticancer properties [339,340,341,342,343]. It is predominantly found in various fruits and nuts, with particularly high concentrations in strawberries, raspberries, blackberries, cherries, and walnuts [344,345,346].
The photoreaction of ellagic acid has been extensively studied, including work by Tokutomi and co-authors [347], who observed a notable color change in the solution from colorless to yellow when ellagic acid was irradiated in aerated tetrahydrofuran (THF). This change corresponds to a new absorption band at 405 nm, indicating significant molecular transformations due to the photoreaction. The crystalline π-structures analysis suggests that the photo-oxidation products of ellagic acid are various peroxides, which result from the interaction of ellagic acid with singlet oxygen followed by subsequent stages of splitting and rearrangements.
This photoreaction of π-molecules with singlet oxygen (1O2) has been identified to proceed through either [4+2] or [2+2] cyclization reactions, as illustrated in Scheme 28. The most stable singlet oxygen adduct identified for ellagic acid was the reaction intermediate of the [2+2]-1 structure (312), which was found to be energetically more favorable by 61.0 and 73.6 kJ/M than the [2+2]-2 (314) and [4+2] (315) cyclization products, respectively. The high stability of the [2+2]-1 (312) adduct is attributed to effective conjugation, which imparts relatively high stability, while the destruction of this π-conjugation in the [4+2] (315) cyclization process leads to a destabilized intermediate structure. Notably, the photogenerated dioxetane intermediate [2+2]-1 (313) is unstable and easily cleaves to form a tricycle intermediate (314) featuring a terminal conjugated enol carboxylic acid group. When ellagic acid is directly oxidized under UV light in THF, the reaction typically yields the final product (312). This detailed understanding of the photochemical behavior of ellagic acid underlines its complex reactivity and potential pathways leading to biologically active products.
Scheme 28.
Photoreaction mechanism of ellagic acid in THF, and relative stability of three possible intermediate ellagic acid/oxygen adducts, including dioxetanes (312 and 314).
6. Conclusions
The study of natural products containing oxetane and 1,2-dioxetane rings within the broader scope of highly oxygenated cyclobutane rings offers profound insights into the structural intricacies and biochemical properties that confer distinct biological activities. These compounds, often biosynthesized by an array of microorganisms and also sourced from plant, fungal, and marine invertebrate extracts, demonstrate a wide range of pharmacological potentials that are essential for innovative drug development.
Our review has highlighted the substantial role that the structural features of oxetane and 1,2-dioxetane rings play in achieving molecular stability and enhancing pharmacological effectiveness. This underscores the importance of these structures in contributing to the molecular diversity seen in natural products, which in turn supports ongoing research into their applications in medicine, particularly in the development of anti-inflammatory and antiprotozoal therapies.
Furthermore, the instability and reactivity of 1,2-dioxetane rings as intermediates in oxidation reactions suggest new areas for chemical research, including the exploration of their breakdown products and their roles in biological processes. This opens up potential pathways for the synthesis of novel compounds with desirable properties.
However, synthesizing these complex ring structures in the laboratory remains a significant challenge. The intricate nature of their formation in natural biosynthetic pathways often presents difficulties in replicating these conditions synthetically. Addressing these challenges will require innovative approaches in synthetic chemistry, possibly integrating biotechnological methods to mimic natural processes more closely.
Moving forward, research in this field should continue to explore the mechanistic underpinnings of how these oxygenated rings influence the activity of the molecules they are part of. Understanding these mechanisms can lead to more targeted drug design and synthesis strategies that harness the full potential of these fascinating natural structures. Thus, continued interdisciplinary research is essential, bringing together organic chemists, biochemists, and pharmacologists to delve deeper into the secrets of nature’s molecular arsenal.
Funding
This work did not receive any specific grants from funding agencies in the public, commercial, or not-for-profit sectors.
Conflicts of Interest
The authors declare no conflicts of interest.
References
- Buckingham, J. Dictionary of Natural Products; Chapman & Hall, CRC Press: Boca Raton, FL, USA, 1993; p. 8584. [Google Scholar]
- Dunitz, J.D.; Schomaker, V. The molecular structure of cyclobutane. J. Chem. Phys. 1952, 20, 1703–1707. [Google Scholar] [CrossRef]
- Cotton, F.A.; Frenz, B.A. Conformations of cyclobutane. Tetrahedron 1974, 30, 1587–1594. [Google Scholar] [CrossRef]
- Dembitsky, V.M. Bioactive cyclobutane-containing alkaloids. J. Nat. Med. 2008, 62, 1–33. [Google Scholar] [CrossRef]
- Dembitsky, V.M. Naturally occurring bioactive cyclobutane-containing (CBC) alkaloids in fungi, fungal endophytes, and plants. Phytomedicine 2014, 21, 1559–1581. [Google Scholar] [CrossRef] [PubMed]
- Sergeiko, A.; Poroikov, V.V.; Hanuš, L.O.; Dembitsky, V.M. Cyclobutane-containing alkaloids: Origin, synthesis, and biological activities. Open Med. Chem. J. 2008, 2, 26–37. [Google Scholar] [CrossRef] [PubMed]
- Hui, C.; Liu, Y.; Jiang, M.; Wu, P. Cyclobutane-containing scaffolds in bioactive small molecules. Trend. Chem. 2022, 4, P677–P681. [Google Scholar] [CrossRef]
- Jetten, M.S.M.; Sliekers, O.; Kuypers, M. Anaerobic ammonium oxidation by marine and freshwater planctomycete-like bacteria. Appl. Microbiol. Biotechnol. 2003, 63, 107–114. [Google Scholar] [CrossRef] [PubMed]
- Van Niftrik, L. Cell biology of unique anammox bacteria that contain an energy conserving prokaryotic organelle. Antonie Van Leeuwenhoek 2013, 104, 489–497. [Google Scholar] [CrossRef]
- Vil, V.; Terent’ev, A.O.; Al Quntar, A.A.A.; Gloriozova, T.A.; Savidov, N.; Dembitsky, V.M. Oxetane-containing metabolites: Origin, structures, and biological activities. Appl. Microbiol. Biotechnol. 2019, 103, 2449–2467. [Google Scholar] [CrossRef] [PubMed]
- Bull, J.A.; Croft, R.A.; Davis, O.A.; Doran, R.; Morgan, K.F. Oxetanes: Recent advances in synthesis, reactivity, and medicinal chemistry. Chem. Rev. 2016, 116, 12150–12233. [Google Scholar] [CrossRef] [PubMed]
- Rojas, J.J.; Bull, J.A. Oxetanes in drug discovery campaigns. J. Med. Chem. 2023, 66, 12697–12709. [Google Scholar] [CrossRef] [PubMed]
- Adam, W. The chemistry of 1,2-dioxetanes. Adv. Heterocycl. Chem. 1977, 21, 437–481. [Google Scholar]
- Bastos, E.L.; Farahani, P.; Bechara, E.J.H.; Baader, W.J. Four-membered cyclic peroxides: Carriers of chemical energy. J. Phys. Org. Chem. 2017, 30, e3725. [Google Scholar] [CrossRef]
- Tamez-Fernández, J.F.; Melchor-Martínez, E.M.; Ibarra-Rivera, T.R. Plant-derived endoperoxides: Structure, occurrence, and bioactivity. Phytochem. Rev. 2020, 19, 827–864. [Google Scholar] [CrossRef]
- Dembitsky, V.M.; Vil, V.A. Medicinal chemistry of stable and unstable 1,2-dioxetanes: Origin, formation, and biological activities. Sci. Synth. 2019, 3, 333. [Google Scholar]
- Matsumoto, M. Advanced chemistry of dioxetane-based chemiluminescent substrates originating from bioluminescence. J. Photochem. Photobiol. C Photochem. Rev. 2004, 5, 27–53. [Google Scholar] [CrossRef]
- Haris, U.; Kagalwala, H.N.; Kim, Y.L.; Lippert, A.R. Seeking illumination: The path to chemiluminescent 1,2-dioxetanes for quantitative measurements and in vivo imaging. Acc. Chem. Res. 2021, 54, 2844–2857. [Google Scholar] [CrossRef] [PubMed]
- Wang, Y.; Bian, Y.; Chen, X.; Su, D. Chemiluminescent probes based on 1,2-dioxetane structures for bioimaging. Chem. Asian J. 2022, 17, e202200018. [Google Scholar] [CrossRef] [PubMed]
- Wen, Y.; Mo, H.; Tan, B.; Lu, X.; Wang, B.; Liu, N. Progress in synthesis and properties of oxetane–based energetic polymers. Eur. Polym. J. 2023, 194, 112161. [Google Scholar] [CrossRef]
- Fu, Z.; Xu, J. Synthesis of oxetanes. Prog. Chem. 2021, 33, 895–906. [Google Scholar]
- Huang, G.; Hucek, D.; Cierpicki, T.; Grembecka, J. Applications of oxetanes in drug discovery and medicinal chemistry. Eur. J. Med. Chem. 2023, 261, 115802. [Google Scholar] [CrossRef] [PubMed]
- Sachdeva, H.; Khaturia, S.; Saquib, M. Oxygen- and sulphur-containing heterocyclic compounds as potential anticancer agents. Appl. Biochem. Biotechnol. 2022, 194, 6438–6467. [Google Scholar] [CrossRef] [PubMed]
- Yuan, J.X.; Zeng, Y.; Zou, C.; Zhao, P.J. Four new β-lactones from the endophytic Streptomyces sp. T1B1. Phytochem. Lett. 2013, 6, 625–628. [Google Scholar] [CrossRef]
- Greenspan, M.D.; Yudkovitz, J.B.; Lo, C.Y.L. Inhibition of hydroxymethylglutaryl-coenzyme A synthase by L-659,699. Proc. Nat. Acad. Sci. USA 1987, 84, 7488–7492. [Google Scholar] [CrossRef] [PubMed]
- Tomoda, H.; Ohbayashi, N.; Morikawa, Y. Binding site for fungal β-lactone hymeglusin on cytosolic 3- hydroxy-3-methylglutaryl coenzyme A synthase. Biochim. Biophys. Acta 2004, 1636, 22–28. [Google Scholar] [CrossRef] [PubMed]
- Nonaka, Y.; Ohtaki, H.; Ohtsuka, E.; Kocha, T.; Fukuda, T.; Takeuchi, T. Effects of ebelactone B, a lipase inhibitor, on intestinal fat absorption in the rat. J. Enzym. Inhibit. 1995, 10, 57–63. [Google Scholar] [CrossRef] [PubMed]
- Ostrowska, H.; Kalinowska, J.; Chabielska, E.; Stankiewicz, A.; Kruszewski, K.; Buczko, W. Ebelactone B, an inhibitor of extracellular cathepsin A-type enzyme, suppresses platelet aggregation ex vivo in renovascular hypertensive rats. J. Cardiovasc. Pharm. 2005, 45, 348–353. [Google Scholar] [CrossRef] [PubMed]
- Omura, S.; Murata, M.; Imamura, N.; Iwai, Y.; Tanaka, H.; Furusaki, A.; Matsumoto, H. Oxetin, a new antimetabolite from an actinomycete. Fermentation, isolation, structure and biological activity. J. Antibiot. 1984, 37, 1324–1332. [Google Scholar] [CrossRef]
- Evidente, A.; Iacobellisa, N.S.; Scopa, A.; Surico, G. Isolation of β-phenyllactic acid related compounds from Pseudomonas syringae. Phytochemistry 1990, 29, 1491–1497. [Google Scholar] [CrossRef]
- Loh, J.; Carlson, R.W.; York, W.S.; Stacey, G. Bradyoxetin, a unique chemical signal involved in symbiotic gene regulation. Proc. Natl. Acad. Sci. USA 2002, 99, 14446–14451. [Google Scholar] [CrossRef]
- Mondol, M.A.M.; Tareq, F.S.; Kim, J.H.; Lee, M.A.; Lee, H.S.; Lee, Y.J.; Lee, J.S.; Shin, H.J. Cyclic ether-containing macrolactins, antimicrobial 24-membered isomeric macrolactones from a marine Bacillus sp. J. Nat. Prod. 2011, 74, 2582–2587. [Google Scholar] [CrossRef]
- Murakami, S.; Harada, S.; Kojima, F.; Kinoshita, N.; Takahashi, Y.; Hamada, M.; Takeuchi, T.; Aoyagi, T. Belactins A and B, new serine carboxypeptidase inhibitors produced by Actinomycete. I. Taxonomy, production, isolation and biological activities. J. Enzym. Inhib. 1995, 9, 263–275. [Google Scholar]
- Murakami, S.; Takahashi, Y.; Naganawa, H.; Takeuchi, T.; Aoyagi, T. Belactins A and B, new serine carboxypeptidase inhibitors produced by Actinomycete. II. Physico-chemical properties, structure determinations and enzymatic inhibitory activities compared with other β-lactone containing inhibitors. J. Enzym. Inhib. 1995, 9, 277–284. [Google Scholar] [CrossRef] [PubMed]
- Asai, A.; Hasegawa, A.; Ochiai, K.; Yamashit, Y. Belactosin A, a novel antitumor antibiotic acting on cyclin/CDK mediated cell cycle regulation, produced by Streptomyces sp. J. Antibiot. 2000, 53, 81–83. [Google Scholar] [CrossRef] [PubMed]
- Grafe, U.; Fleck, W.F.; Mbllmann, U.; Schade, W.; Tonew, E.; Wiesner, J. Diffusomycin, A new macrocyclic polyene lactame antibiotic from Streptomyces albus inhibiting bacterial growth only partly. Int. Symp. Chem. Nat. Prod. PA 1988, 167, 245. [Google Scholar]
- Mori, T.; Takahashi, K.; Kashiwabara, M.; Uemura, D.; Katayama, C. Structure of oxazolomycin, a novel β-lactone antibiotic. Tetrahedron Lett. 1985, 26, 1073–1076. [Google Scholar] [CrossRef]
- Tonew, E.; Tonew, M.; Gräfe, U.; Zöpel, P. On the antiviral activity of diffusomycin (oxazolomycin). Acta Virol. 1992, 36, 166–172. [Google Scholar] [PubMed]
- Mutoh, M.; Nakada, N.; Matsukuma, S. Panclicins, novel pancreatic lipase inhibitors I. Taxonomy, fermentation, isolation and biological activity. J. Antibiot. 1994, 47, 1369–1375. [Google Scholar] [CrossRef] [PubMed]
- Kitahara, M.; Asano, M.; Naganawa, H.; Maeda, K.; Hamada, M.; Aoyagi, T.; Umezawa, H.; Iitaka, Y.; Nakamura, H. Valilactone, an inhibitor of esterase, produced by actinomycetes. J. Antibiot. 1987, 40, 1647–1650. [Google Scholar] [CrossRef] [PubMed][Green Version]
- Penn, J.; Biddle, J.R.; Mantle, P.G.; Bilton, J.N.; Sheppard, R.N. Pennigritrem, a naturally-occurring penitrem A analogue with novel cyclisation in the diterpenoid moiety. J. Chem. Soc. Perkin Trans. 1992, 1, 23–26. [Google Scholar] [CrossRef]
- Le, T.C.; Yang, I.; Yoon, Y.J.; Nam, S.J.; Fenical, W. Ansalactams B–D illustrate further biosynthetic plasticity within the ansamycin pathway. Org. Lett. 2016, 18, 2256–2259. [Google Scholar] [CrossRef] [PubMed]
- Hirota, A.; Ando, Y.; Monma, S.; Hirota, H. FCRR-toxin, a novel phytotoxin from Fusarium oxysporum f. sp. radicis-lycopersici. Biosci. Biotech. Biochem. 1994, 58, 1931–1932. [Google Scholar] [CrossRef][Green Version]
- Rachid, S.; Huo, L.; Herrmann, J.; Stadler, M.; Köpcke, B.; Bitzer, J.; Müller, R. Mining the cinnabaramide biosynthetic pathway to generate novel proteasome inhibitors. ChemBioChem 2011, 12, 922–931. [Google Scholar] [CrossRef] [PubMed]
- Coxon, D.T.; Price, K.R.; Stothers, J.B.; Stoessl, A. Cyclodehydroisolubimin: A new tricyclic sesquiterpene from potato tubers inoculated with Phytophthora infestans. J. Chem. Soc. Chem. Commun. 1979, 1, 348–349. [Google Scholar] [CrossRef]
- Manam, R.R.; Macherla, V.R.; Tsueng, G.; Dring, C.W.; Weiss, J.; Neuteboom, S.T.C.; Lam, K.S.; Potts, B.C. Antiprotealide is a natural product. J. Nat. Prod. 2009, 72, 295–297. [Google Scholar] [CrossRef] [PubMed]
- Li, G.H.; Li, L.; Duan, M.; Zhang, K.Q. The chemical constituents of the fungus Stereum sp. Chem. Biodivers. 2006, 3, 210–216. [Google Scholar] [CrossRef] [PubMed]
- Centko, R.M.; Ramón-García, S.; Taylor, T.; Patrick, B.O.; Thompson, C.J.; Miao, V.P.; Andersen, R.J. Ramariolides A–D, antimycobacterial butenolides isolated from the mushroom Ramaria cystidiophora. J. Nat. Prod. 2012, 75, 2178–2182. [Google Scholar] [CrossRef] [PubMed]
- Jiang, M.Y.; Wang, F.; Yang, X.L.; Fang, L.Z.; Dong, Z.J.; Zhu, H.J.; Liu, J.K. Derivatives of vibralactone from cultures of the Basidiomycete Boreostereum vibrans. Chem. Pharm. Bull. 2008, 56, 1286–1288. [Google Scholar] [CrossRef] [PubMed]
- Duan, K.T.; Li, Z.H.; Yu, X.; Yuan, Q.X.; Wang, W.X.; Li, J.; Ping, H.; Feng, C.T.; Liu, J.K. Vibralactone derivatives containing γ,δ,ε-lactone cores from cultures of the basidiomycete Boreostereum vibrans. Fitoterapia 2018, 128, 7–11. [Google Scholar] [CrossRef] [PubMed]
- Zhang, W.; Xu, L.; Yang, L.; Huang, Y.; Li, S.; Shen, Y. Phomopsidone A, a novel depsidone metabolite from the mangrove endophytic fungus Phomopsis sp. A123. Fitoterapia 2014, 96, 146–151. [Google Scholar] [CrossRef]
- Subban, S.; Singh, S.; Subramani, R.; Johnpaul, M.; Chelliah, J. Fungal 7-epi-10-deacetyltaxol produced by an endophytic Pestalotiopsis microspora induces apoptosis in human hepatocellular carcinoma cell line (HepG2). BMC Complem. Alternat. Med. 2017, 17, 504–516. [Google Scholar] [CrossRef] [PubMed]
- Kurata, K.; Suzuki, T.; Suzuki, M.; Kurosawa, E. Laureacetal C, an unusual secochamigrane sesquiterpene from the red alga Laurencia nipponica Yamada. Chem. Lett. 1983, 12, 29–32. [Google Scholar] [CrossRef]
- Ji, N.Y.; Wang, B.G. Nonhalogenated organic molecules from Laurencia algae. Phytochem. Rev. 2014, 13, 653–670. [Google Scholar] [CrossRef]
- Cheng, S.Y.; Wang, S.K.; Wen, Z.H.; Dai, C.F.; Duh, C.Y. Three new eudesmanoids from the Formosan soft coral Nephthea erecta. J. Asian Nat. Prod. Res. 2009, 11, 967–973. [Google Scholar] [CrossRef] [PubMed]
- Irie, T.; Izawa, M.; Kurosawa, E. Laureatin and isolaureatin, constituents of Laurencia nipponica Yamada. Tetrahedron 1970, 26, 851–870. [Google Scholar] [CrossRef]
- Da Machado, F.L.S.; Kaiser, C.R.; Costa, S.S.; Gestinari, L.M.; Soares, A.R. Biological activity of the secondary metabolite from marine algae of the genus Laurencia. Rev. Bras. Pharm. 2010, 20, 441–452. [Google Scholar]
- De Rosa, S.; De Stefano, S.; Scarpelli, P.; Zavodnik, N. Terpenes from the red alga Sphaerococcus coronopifolius of the North Adriatic Sea. Phytochemisrry 1988, 27, 1875–1878. [Google Scholar] [CrossRef]
- Pullaiah, K.C.; Surapaneni, R.K.; Rao, C.B.; Albizati, K.F. Dictyoxetane, a novel diterpene from the brown alga Dictyota dichotoma from the Indian Ocean. J. Org. Chem. 1985, 50, 3665–3666. [Google Scholar] [CrossRef]
- Mayol, L.; Piccialli, V.; Sica, D. Spongiolactone, an unusual β-lactone diterpene isovalerate based on a new rearranged spongiane skeleton from Spongionella gracilis. Tetrahedron Lett. 1987, 28, 3601–3604. [Google Scholar] [CrossRef]
- Dai, J.; Fishback, J.A.; Zhou, Y.D.; Nagle, D.G. Sodwanone and yardenone triterpenes from a South African species of the marine sponge Axinella inhibit hypoxia-inducible factor-1 (HIF-1) activation in both breast and prostate tumor cells. J. Nat. Prod. 2006, 69, 1715–1720. [Google Scholar] [CrossRef] [PubMed]
- Dookran, D.; Maharaj, D.; Mootoo, B.S.; Ramsewak, R.; Tinto, W.F. Briarane and asbestinane diterpenes from Briareum asbestinum. Tetrahedron 1994, 50, 1983–1992. [Google Scholar] [CrossRef]
- Okada, K.; Enomoto, S.; Morimoto, K.; Kazuno, T. The isolation of a new bile sterol, 3α,7α, 12α-trihydroxy-24,27-epoxycoprostance, from Sting-ray bile. J. Biochem. 1962, 51, 441–442. [Google Scholar] [CrossRef] [PubMed]
- Selvamani, S.; Balamurugan, S. Phytochemical screening and GC-MS analysis of acetone leaf extract of Acalypha indica (Linn.). Int. J. Res. Stud. Biosci. 2015, 3, 229–232. [Google Scholar]
- Morris, B.D.; Smyth, R.R.; Foster, S.P.; Hoffmann, M.P.; Roelofs, W.L. Vittatalactone, a β-Lactone from the Striped Cucumber Beetle, Acalymma vittatum. J. Nat. Prod. 2005, 68, 26–30. [Google Scholar] [CrossRef] [PubMed]
- Ko, H.H.; Yang, S.Z.; Lin, C.N. Artocarpol F, a phenolic compound with a novel skeleton, isolated from Artocarpus rigida. Tetrahedron Lett. 2001, 42, 5269–5270. [Google Scholar] [CrossRef]
- Wang, J.S.; Zhang, Y.; Wang, X.-B.; Kong, L.-Y. Aphanalides A–H, ring A-secolimonoids from the fruits of Aphanamixis polystachya. Tetrahedron 2012, 68, 3963–3971. [Google Scholar] [CrossRef]
- Jeong, S.Y.; Jun do, Y.; Kim, Y.H.; Min, B.S.; Min, B.K.; Woo, M.H. Monoterpenoids from the aerial parts of Aruncus dioicus var. kamtschaticus and their antioxidant and cytotoxic activities. Bioorg. Med. Chem. Lett. 2011, 21, 3252–3256. [Google Scholar] [CrossRef]
- Nadia, S.; Azeana, S.; Liew, S.; Litaudon, M.; Issam, A.M.; Wahab, H.A.; Awang, K. Pahangine A and B, two new oxetane containing neolignans from the barks of Beilschmiedia glabra Kosterm (Lauraceae). Phytochem. Lett. 2018, 25, 22–26. [Google Scholar]
- Anjaneyulu, A.S.; Rao, V.L. Ceriopsins F and G, diterpenoids from Ceriops decandra. Phytochemistry 2003, 62, 1207–1211. [Google Scholar] [CrossRef] [PubMed]
- Bao, S.; Deng, Z.; Fu, H.; Proksch, P.; Lin, W. Diterpenes and disulfides from the marine mangrove plant Bruguiera sexangula var. rhynchopetala. Helv. Chim. Acta 2005, 88, 2757–2763. [Google Scholar] [CrossRef]
- Massanet, G.M.; Collado, I.G.; Macías, F.A.; Bohlmann, F.; Jakupovic, J. Structural determination of clementein, a new guaianolide isolated from Centaurea clementei. Tetrahedron Lett. 1983, 24, 1641–1642. [Google Scholar] [CrossRef]
- Collado, I.G.; Macias, F.A.; Massanet, G.M.; Molinillo, J.M.G.; Rodriguez-Luis, F. Terpene synthesis. 1. Chemical transformation of deacylsubexpinnatin into the natural oxetane lactone subexpinnatin C. J. Org. Chem. 1987, 52, 3323–3326. [Google Scholar] [CrossRef]
- Smith, L.W.; Culvenor, C.C.J. Grantianine and grantaline, alkaloids of Crotalaria virgulata subsp. grantiana. Phytochemistry 1984, 23, 473–474. [Google Scholar] [CrossRef]
- Wright, M.; Byrd, J.; Gao, Y.; Stubblefield, J.; Park, H.; Dunlap, N. Isolation and structural clarification of triterpenes from Cyclocarya paliurus: Cyclocaric acid A and B. Planta Med. 2014, 80, PD19. [Google Scholar] [CrossRef]
- Bohlmann, F.; Dhar, A.K.; Jakupovic, J.; King, R.M.; Robinson, H. Two sesquiterpene lactones with an additional propiolactone ring from Disynaphia halimifolia. Phytochemistry 1981, 20, 1077–1080. [Google Scholar] [CrossRef]
- De Gutierrez, A.N.; Bardon, A.; Catalan, C.A.N.; Gedris, T.B.; Herz, W. Sesquiterpene lactones and other constituents of Disynaphia multicrenulata from Argentina. Biochem. Syst. Ecol. 2001, 29, 633–647. [Google Scholar] [CrossRef] [PubMed]
- Chiu, H.L.; Wu, J.H.; Tung, Y.T.; Lee, T.H.; Chien, S.C.; Kuo, Y.H. Triterpenoids and aromatics from Derris laxiflora. J. Nat. Prod. 2008, 71, 1829–1832. [Google Scholar] [CrossRef] [PubMed]
- Mahmoud, A.A.; Ahmed, A.A.; Iinuma, M.; Tanaka, T. Further monoterpene 5-methyl-coumarins and an acetophenone derivative from Ethulia conyzoides. Phytochemistry 1998, 48, 543–546. [Google Scholar] [CrossRef]
- Yamada, K.; Takada, S.; Nakamura, S.; Hirata, Y. The structures of anisatin and neoanisatin: Toxic sesquiterpenes from Illicium anisatum L. Tetrahedron 1968, 24, 199–229. [Google Scholar] [CrossRef]
- Huang, J.M.; Yokoyama, R.; Yang, C.S.; Fukuyama, Y. Merrilactone A, a novel neurotrophic sesquiterpene dilactone from Illicium merrillianum. Tetrahedron Lett. 2000, 41, 6111–6114. [Google Scholar] [CrossRef]
- Zhao, W.; Pu, J.X.; Du, X. Chemical constituents from the aerial parts of Isodon coetsa and their cytotoxicity. Arch. Pharm. Res. 2011, 34, 2007–2014. [Google Scholar] [CrossRef] [PubMed]
- Han, Q.; Zhang, J.; Lu, Y.; Wu, Y.; Zheng, Q.; Sun, H. A novel cytotoxic oxetane ent-kauranoid from Isodon japonicus. Planta Med. 2004, 70, 581–584. [Google Scholar] [CrossRef] [PubMed]
- Bohlmann, F.; Zdero, C.; King, R.M.; Robinson, H. Germacranolides, a guaianolide with a β-lactone ring and further constituents from Grazielia species. Phytochemistry 1981, 20, 1069–1075. [Google Scholar] [CrossRef]
- Shiu, L.L.; Chen, W.C.; Kuo, Y.H. Five New cis-Himachalane-Type Sesquiterpenes from the Heartwood of Juniperus chinensis var. tsukusiensis. Chem. Pharm. Bull. 1999, 47, 557–560. [Google Scholar] [CrossRef][Green Version]
- Jabeen, B.; Riaz, N.; Saleem, M.; Naveed, M.A.; Ahmed, M.; Tahir, M.N.; Pescitellic, G.; Ashraf, M.; Ejaz, S.A.; Ahmed, I.; et al. Isolation and characterization of limonoids from Kigelia africana. Z. Naturforsch. 2013, 68B, 1041–1048. [Google Scholar] [CrossRef]
- Gao, K.; Ma, D.W.; Cheng, Y.; Tian, X.R.; Lu, Y.Y.; Du, X.Y.; Tang, H.F.; Chen, J.Z. Three new dimers and two monomers of phenolic amides from the fruits of Lycium barbarum and their antioxidant activities. J. Agric. Food Chem. 2015, 63, 1067–1075. [Google Scholar] [CrossRef] [PubMed]
- Zhu, P.F.; Dai, Z.; Wang, B.; Wei, X.; Yu, H.F.; Yan, Z.R. The anticancer activities phenolic amides from the stem of Lycium barbarum. Nat. Prod. Bioprospect. 2017, 7, 421–431. [Google Scholar]
- Liu, J.Q.; Peng, X.R.; Li, X.Y.; Li, T.Z.; Zhang, W.M.; Shi, L. Norfriedelins A-C with acetylcholinesterase inhibitory activity from acerola tree (Malpighia emarginata). Org. Lett. 2013, 15, 1580–1583. [Google Scholar] [PubMed]
- Li, C.; Lee, D.; Graf, T.N.; Phifer, S.S.; Nakanishi, Y.; Burgess, J.P. A hexacyclic ent-trachylobane diterpenoid possessing an oxetane ring from Mitrephora glabra. Org. Lett. 2005, 7, 5709–5712. [Google Scholar] [CrossRef] [PubMed]
- Xie, W.D.; Zhang, Q.; Li, P.L.; Ji, Z.J. Two triterpenoids and other constituents from Petasites tricholobus. Phytochemistry 2005, 66, 2340–2345. [Google Scholar] [CrossRef] [PubMed]
- Elliger, C.A.; Benson, M.; Haddon, W.F.; Lundin, R.E. Petuniasterones. Part 2. Novel ergostane-type steroids from Petunia hybridavilm (Solanaceae). J. Chem. Soc. Perkin Trans 1989, 1, 143–149. [Google Scholar] [CrossRef]
- Elliger, C.A.; Benson, M.; Haddon, W.F.; Lundin, R.E.; Waiss, A.C., Jr.; Wong, R.Y. Three new types of ergostanoids with unusual functionalities were isolated from leaves and stems of Petunia hybrids. J. Chem. Soc. Perkin Trans 1988, 1, 711–717. [Google Scholar] [CrossRef]
- Fukuyama, Y.; Nakaoka, M.; Yamamoto, T.; Takahashi, H.; Minami, H. Degraded and oxetane-bearing limonoids from the roots of Melia azedarach. Chem. Pharm. Bull. 2006, 54, 1219–1222. [Google Scholar] [CrossRef] [PubMed]
- Uyeo, S.; Irie, H.; Harada, H. The structure of stenine, a new alkaloid occurring in Stemona tuberosa. Chem. Pharm. Bull. 1967, 15, 768–770. [Google Scholar] [CrossRef] [PubMed]
- Shen, Y.C.; Hsu, S.M.; Lin, Y.S.; Cheng, K.C.; Chien, C.T.; Chou, C.H.; Cheng, Y.B. New bicyclic taxane diterpenoids from Taxus sumatrana. Chem. Pharm. Bull. 2005, 53, 808–810. [Google Scholar] [CrossRef] [PubMed][Green Version]
- Shen, Y.C.; Wang, S.S.; Chien, C.T.; Khalil, A.T. Tasumatrols U−Z, taxane diterpene esters from Taxus sumatrana. J. Nat. Prod. 2008, 71, 576–800. [Google Scholar] [CrossRef] [PubMed]
- Wani, M.C.; Taylor, H.L.; Wall, M.E.; Coggon, P.; McPhail, A.T. Plant antitumor agents. VI. Isolation and structure of taxol, a novel antileukemic and antitumor agent from Taxus brevifolia. J. Am. Chem. Soc. 1971, 93, 2325–2327. [Google Scholar] [CrossRef] [PubMed]
- Jones, R.J.; Hawkins, R.E.; Eatock, M.M.; Ferry, D.R.; Eskens, F.A.; Wilke, H.; Evans, T.R. A phase II open-label study of DHA-paclitaxel (Taxoprexin) by 2-h intravenous infusion in previously untreated patients with locally advanced or metastatic gastric or oesophageal adenocarcinoma. Cancer Chemother. Pharm. 2008, 61, 435–441. [Google Scholar] [CrossRef] [PubMed]
- Zhang, Z.; Jia, Z. Taxanes from Taxus chinensis. Phytochemistry 1991, 30, 2345–2348. [Google Scholar] [CrossRef]
- Vander, D.G.; Velde, D.G.; Georg, G.I.; Gollapudi, S.R.; Jampani, H.B. Wallifoliol, a taxol congener with a novel carbon skeleton, from Himalayan Taxus wallichiana. J. Nat. Prod. 1994, 57, 862–867. [Google Scholar]
- Shen, Y.C.; Wang, S.S.; Pan, Y.L.; Lo, K.L. Chakraborty R, New taxane diterpenoids from the leaves and twigs of Taxus sumatrana. J. Nat. Prod. 2002, 65, 1848–1852. [Google Scholar] [CrossRef] [PubMed]
- Georgopoulou, K.; Smirlis, D.; Bisti, S.; Xingi, E.; Skaltsounis, L.; Soteriadou, K. In vitro activity of 10-deacetylbaccatin III against Leishmania donovani promastigotes and intracellular amastigotes. Planta Med. 2007, 73, 1081–1088. [Google Scholar] [CrossRef] [PubMed]
- Eguren, L.; Perales, A.; Fayos, J.; Rodriguez, B.; Savona, G.; Piozzi, F. New neoclerodane diterpenoid containing an oxetane ring isolated from Teucrium chamaedrys. X-ray structure determination. J. Org. Chem. 1982, 47, 4157–4160. [Google Scholar] [CrossRef]
- De La Torre, M.C.; Pascual, C.; Franco, B.R.; Savona, P.G.; Perales, A. Neo-clerodane diterpenoids from Teucrium salviastrum. Phytochemistry 1986, 25, 1397–1403. [Google Scholar] [CrossRef]
- Tian, H.Y.; Ruan, L.J.; Yu, T.; Zheng, Q.F.; Chen, N.H.; Wu, R.B.; Zhang, X.Q. Bufospirostenin A and Bufogargarizin C, Steroids with Rearranged Skeletons from the Toad Bufo bufo gargarizans. J. Nat. Prod. 2017, 80, 1182–1186. [Google Scholar] [CrossRef]
- Abdel-Azim, N.S.; Hammouda, F.M.; Hunkler, D.; Rimpler, H. Re-investigation of the cardenolide glycosides from Gomphocarpus sinaicus. Phytochemistry 1996, 42, 523–529. [Google Scholar] [CrossRef]
- Wang, J.P.; Shu, Y.; Liu, S.X.; Hu, J.T.; Sun, C.T.; Zhou, H.; Gan, D.; Cai, X.Y. Expanstines A–D: Four unusual isoprenoid epoxycyclohexenones generated by Penicillium expansum YJ-15 fermentation and photopromotion. Org. Chem. Front. 2019, 6, 3839–3846. [Google Scholar] [CrossRef]
- Hoang, L.S.; Tran, M.H.; Min, B.S. Isolation of a new homomonoterpene from Madhuca pasquieri and effect of isolated compounds on NO production. Nat. Prod. Commun. 2016, 11, 729–732. [Google Scholar] [CrossRef]
- Chen, H.D.; Yang, S.P.; He, X.F.; Ai, J.; Liu, Z.K.; Liu, H.B.; Geng, M.Y.; Yue, J.M. Trigochinins A−C: Three new daphnane-type diterpenes from Trigonostemon chinensis. Org. Lett. 2010, 12, 1168–1171. [Google Scholar] [CrossRef]
- Cheng, Y.Y.; Chen, H.; He, H.; Zhang, Y.; Li, S.F.; Tang, G.H.; Guo, L.L.; Yang, W. Anti-HIV active daphnane diterpenoids from Trigonostemon thyrsoideum. Phytochemistry 2013, 96, 360–369. [Google Scholar] [CrossRef] [PubMed]
- Xu, J.B.; Yue, J.M. Recent studies on the chemical constituents of Trigonostemon plants. Org. Chem. Front. 2014, 1, 1225–1252. [Google Scholar] [CrossRef]
- Ni, L.; Ma, J.; Li, C.J.; Li, L.; Guo, J.M.; Yuan, S.P.; Hou, Q. Novel rearranged and highly oxygenated abietane diterpenoids from the leaves of Tripterygium wilfordii. Tetrahedron Lett. 2015, 56, 1239–1243. [Google Scholar] [CrossRef]
- Zhang, L.; Luo, R.H.; Wang, F.; Jiang, M.Y.; Dong, Z.J.; Yang, L.M. Highly functionalized daphnane diterpenoids from Trigonostemon thyrsoideum. Org. Lett. 2010, 12, 152–155. [Google Scholar] [CrossRef] [PubMed]
- Malakov, P.Y.; Papanov, G.Y.; Mollov, N.M. Montanin-D, a new furanoid diterpene of clerodane type from Teucrium montanum L. Z. Naturforsch. 1978, 33B, 1142–1144. [Google Scholar] [CrossRef]
- Bombardelli, E.; Bonati, A.; Danieli, B.; Gabetta, B.; Martinelli, E.M.; Mustich, G. The structure of quimbeline, a new bisindole alkaloid from Voacanga chalotiana. Experientia 1975, 31, 139–140. [Google Scholar] [CrossRef]
- Guo, S.; Tang, Y.P.; Duan, J.A.; Su, S.L.; Ding, A.W. Two new terpenoids from fruits of Ziziphus jujuba. Chin. Chem. Lett. 2009, 20, 197–200. [Google Scholar] [CrossRef]
- Vikram, A.; Prithiviraj, B.; Kushalappa, A.C. Use of volatile metabolite profiles to discriminate fungal diseases of Cortland and Empire apples. J. Plant Pathol. 2002, 86, 215–225. [Google Scholar]
- Hamberg, M.; Svensson, J.; Samuelsson, B. Thromboxanes: A new group of biologically active compounds derived from prostaglandin endoperoxides. Proc. Natl. Acad. Sci. USA 1975, 72, 2994–2998. [Google Scholar] [CrossRef] [PubMed]
- Gryglewski, R.J.; Dembínska-Kieć, A.; Korbut, R. A possible role of thromboxane A2 (TXA2) and prostacyclin (PGI2) in circulation. Acta Biol. Med. Ger. 1978, 37, 715–723. [Google Scholar] [PubMed]
- D’Armas, H.; Bermudez, D.; Caserta, A. Bioactividad de algunos octocorales de aguas Venezolanas. Saber Univ. Oriente Venez. 2004, 16, 19–25. [Google Scholar]
- Misico, R.I.; Nicotra, V.E.; Oberti, J.C.; Barboza, G.; Gil, R.R.; Burton, G. Withanolides and related steroids. In Progress in the Chemistry of Organic Natural Products; Kinghorn, A., Falk, H., Kobayashi, J., Eds.; Springer: Vienna, Austria, 2011; Volume 94. [Google Scholar]
- Giner, J.L.; Faraldos, J.A. Facile orthoester formation in a model compound of the taxol oxetane: Are biologically active epoxy esters, orthoesters, and oxetanyl esters latent electrophiles? Helv. Chim. Acta 2003, 86, 3613. [Google Scholar] [CrossRef]
- An, F.L.; Yin, Y.; Luo, J.; Kong, L.Y. Highly oxygenous trichilin-type limonoids from Trichilia sinensis. Chin. J. Nat. Med. 2019, 17, 912–917. [Google Scholar] [CrossRef]
- Kong, L.Y. Terpenoids from the fruits of Aphanamixis grandifolia. Planta Med. 2013, 79, OP27. [Google Scholar] [CrossRef]
- Zhang, P.; Cui, Z.; Wei, S.; Li, Y.; Yin, Y.; Wang, X. Diverse limonoids from barks of Toona ciliata var. yunnanensis and their biological activities. Ind. Crops Prod. 2020, 148, 112275. [Google Scholar] [CrossRef]
- Tsamo, A.T.; Pagna, J.I.M.; Nangmo, P.K.; Mkounga, P.; Laatsch, H.; Nkengfack, A.E. Rubescins F–H, new vilasinin-type limonoids from the leaves of Trichilia rubescens (Meliaceae). Z. Naturforsch. 2019, 74, 175–182. [Google Scholar] [CrossRef] [PubMed]
- Hong, Z.L.; Xiong, J.; Wu, S.B.; Zhu, J.J.; Hong, J.L.; Zhao, Y.; Xia, G.; Hu, J.F. Tetracyclic triterpenoids and terpenylated coumarins from the bark of Ailanthus altissima (Tree of Heave). Phytochemistry 2013, 86, 159–167. [Google Scholar] [CrossRef]
- Li, H.M.; Liu, D.; Dai, W.F.; Chen, X.Q.; Li, R.T. A new protostane-type triterpenoid from Alisma plantago-aquatica subsp. orientale (Sam.) Sam. Nat. Prod. Res. 2019, 33, 3083–3088. [Google Scholar] [CrossRef] [PubMed]
- Hoshita, T. Stero-bile acids and bile sterols. XLVI. Isolation of a new bile sterol, 3a,7a,12a-trihydroxy-26, 27-epoxycholestane from Carp Bile. J. Biochem. 1962, 52, 125–130. [Google Scholar] [PubMed]
- Foote, C.S.; Clennan, E.L. Properties and reactions of singlet dioxygen. In Active Oxygen in Chemistry; Structure Energetics and Reactivity in Chemistry Series; Foote, C.S., Valentine, J.S., Greenberg, A., Liebman, J.F., Eds.; Springer: Dordrecht, The Netherlands, 1995; Volume 2. [Google Scholar]
- Krügener, S.; Schaper, C.; Krings, U.; Berger, R.G. Pleurotus species convert monoterpenes to furanoterpenoids through, 4-endoperoxides. Bioresour. Technol. 2009, 100, 2855–2860. [Google Scholar] [CrossRef] [PubMed]
- Lopes, N.S.; Yoshitake, A.M.; Silva, A.F.; Oliveira, V.X., Jr.; Silva, L.S.; Pinheiro, A.A.S.; Ciscato, L.F.M.L. Antimalarial effect of 3-methoxy-1,2-dioxetanes on the erythrocytic cycle of Plasmodium falciparum. Chem. Biol. Drug Des. 2015, 86, 1373–1377. [Google Scholar] [CrossRef]
- Romo, J.; Romo de Vivar, A. The pseudoguaianolides. Fortschr. Chem. Org. Naturst. 1967, 25, 90–130. [Google Scholar] [PubMed]
- Huang, J.N.; Zou, Q.; Chena, J.; Xu, S.H.; Luo, D.; Zhang, F.G. Phenols and diketopiperazines isolated from Antarctic-derived fungi, Penicillium citreonigrum SP-6. Phytochem. Lett. 2018, 27, 114–118. [Google Scholar] [CrossRef]
- Tiew, P.; Takayama, H.; Kitajima, M.; Aimi, N.; Kokpola, U.; Chavasiri, W. A novel neolignan, mansoxetane, and two new sesquiterpenes, mansonones R and S, from Mansonia gagei. Tetrahedron Lett. 2003, 44, 6759–6761. [Google Scholar] [CrossRef]
- Tiew, P. Bioactive Compounds from Mansonia gagei Drumm. Ph.D. Thesis, Chulalongkorn University, Bangkok, Thailand, 2002. [Google Scholar]
- Wen, P.; Haining, L.V.; Jiang, Y.; Tu, P. Anti-inflammatory isoflavones and isoflavanones from the roots of Pongamia pinnata (L.) Pierre. Bioorg. Med. Chem. Lett. 2018, 28, 1050–1055. [Google Scholar] [CrossRef] [PubMed]
- Liu, Q.-F.; Chen, W.-L.; Tang, J.; Zhao, W.-M. Novel bis(bibenzyl) and (propylphenyl)bibenzyl derivatives from Dendrobium nobile. Helv. Chim. Acta 2007, 90, 1745–1750. [Google Scholar] [CrossRef]
- Yang, M.; Zhang, Y.; Chen, L.; Chen, Y. A new (propylphenyl)bibenzyl derivative from Dendrobium williamsonii. Nat. Prod. Res. 2018, 32, 1699–1705. [Google Scholar] [CrossRef] [PubMed]
- Lee, T.H.; Lu, C.K.; Kuo, Y.H.; Loe, J.M.; Lee, C.K. Unexpected novel pheophytin peroxides from the leaves of Biden pilosa. Helv. Chim. Acta 2008, 91, 79–84. [Google Scholar] [CrossRef]
- Li, H.; Li, L.; Zheng, Q.; Kuroda, C.; Wang, Q. Phaeophytin analogues from Ligularia knorringiana. Molecules 2012, 17, 5219–5224. [Google Scholar] [CrossRef]
- Park, S.; Im, S.A.; Kim, K.H.; Lee, C.K. Immunomodulatory effects of hypocrellin A on MHC-restricted antigen processing. Immune Netw. 2011, 11, 412–415. [Google Scholar] [CrossRef] [PubMed]
- Chen, W.S.; Chen, Y.T.; Wan, X.Y.; Friedrichs, E.; Puff, H. Structure of hypocrellin and its photooxidation product peroxyhypocrellin. Liebigs Ann. Chem. 1981, 10, 880–885. [Google Scholar]
- Schade, D.S.; Shey, L.; Eaton, R.F. Cholesterol review: A metabolically important molecule. Endocr. Pract. 2020, 26, 1514–1523. [Google Scholar] [CrossRef] [PubMed]
- Zhang, R.; Han, Y.; McClements, D.J.; Xu, D.; Chen, S. Production, characterization, delivery, and cholesterol-lowering mechanism of phytosterols: A review. J. Agric. Food Chem. 2022, 70, 2483–2494. [Google Scholar] [CrossRef] [PubMed]
- Fester, L.; Rune, G.M. Sex neurosteroids: Hormones made by the brain for the brain. Neurosci. Lett. 2021, 753, 135849. [Google Scholar] [CrossRef] [PubMed]
- Warren, T.; McAllister, R.; Morgan, A.; Rai, T.S.; McGilligan, V. The interdependency and co-regulation of the vitamin D and cholesterol metabolism. Cells 2021, 10, 2007. [Google Scholar] [CrossRef] [PubMed]
- Chiang, J.Y.L.; Ferrell, J.M. Up to date on cholesterol 7 alpha-hydroxylase (CYP7A1) in bile acid synthesis. Liver Res. 2020, 4, 47–63. [Google Scholar] [CrossRef] [PubMed]
- Di Mascio, P.; Catalani, L.H.; Bechara, E.J.H. Are dioxetanes chemiluminescent intermediates in lipoperoxidation? Free Radic. Biol. Med. 1992, 12, 471–478. [Google Scholar] [CrossRef] [PubMed]
- Uemi, M.; Ronsein, G.E.; Miyamoto, S.; Medeiros, M.H.G.; Di Mascio, P. Generation of cholesterol carboxyaldehyde by the reaction of singlet molecular oxygen [O2 (1Δg)] as well as ozone with cholesterol. Chem. Res. Toxicol. 2009, 22, 875–884. [Google Scholar] [CrossRef] [PubMed]
- Murphy, R.C.; Johnson, K.M. Cholesterol, reactive oxygen species, and the formation of biologically active mediators. J. Biol. Chem. 2008, 283, 15521–15525. [Google Scholar] [CrossRef] [PubMed]
- Yin, H.; Xu, L.; Porter, N.A. Free radical lipid peroxidation: Mechanisms and analysis. Chem. Rev. 2011, 111, 5944–5972. [Google Scholar] [CrossRef] [PubMed]
- Onyango, A.N. Endogenous generation of singlet oxygen and ozone in human and animal tissues: Mechanisms, biological significance, and influence of dietary components. Oxid. Med. Cell. Longev. 2016, 216, 2398573. [Google Scholar] [CrossRef] [PubMed]
- Iuliano, L. Pathways of cholesterol oxidation via non-enzymatic mechanisms. Chem. Phys. Lipids 2011, 164, 457–468. [Google Scholar] [CrossRef] [PubMed]
- Christie, W. Sterols 2. Oxysterols and other cholesterol derivatives. AOCS Lipid Libr. 2014, 1, 1–9. [Google Scholar]
- Vila, A.; Levchenko, V.V.; Korytowski, W.; Girotti, A.W. Sterol carrier protein-2-facilitated intermembrane transfer of cholesterol- and phospholipid-derived hydroperoxides. Biochemistry 2004, 43, 12592–12605. [Google Scholar] [CrossRef] [PubMed]
- Korytowski, W.; Girotti, W. Singlet oxygen adducts of cholesterol: Photogeneration and reductive turnover in membrane systems. Photochem. Photobiol. 1999, 70, 484–489. [Google Scholar] [CrossRef] [PubMed]
- Girotti, A.W. Lipid hydroperoxide generation, turnover, and effector action in biological systems. J. Lipid Res. 1998, 39, 1529–1542. [Google Scholar] [CrossRef] [PubMed]
- Beckwith, A.; Davies, A.G.; Davison, I.G.E.; Maccoll, A.; Mruzek, M.H. The mechanisms of the rearrangements of allylic hydroperoxides: 5α-hydroperoxy-3β-hydroxycholest-6-ene and 7α-hydroperoxy-3β-hydroxycholest-5-ene. J. Chem. Soc. Perkin Trans. 1989, 2, 815–824. [Google Scholar] [CrossRef]
- Xu, L.; Porter, N. Free radical oxidation of cholesterol and its precursors: Implications in cholesterol biosynthesis disorders. Free Radic. Res. 2015, 49, 835–849. [Google Scholar] [CrossRef] [PubMed]
- Pavić, V.; Jakovljević, M.; Molnar, M.; Jokić, S. Extraction of carnosic acid and carnosol from sage (Salvia officinalis L.) leaves by supercritical fluid extraction and their antioxidant and antibacterial activity. Plants 2019, 8, 16. [Google Scholar] [CrossRef] [PubMed]
- Reuter, J.; Jocher, A.; Hornstein, S.; Mönting, J.; Schempp, C. Sage extract rich in phenolic diterpenes inhibits ultraviolet-induced erythema in vivo. Planta Medica 2007, 73, 1190–1191. [Google Scholar] [CrossRef] [PubMed]
- Aruoma, O.I.; Halliwell, B.; Aeschbach, R.; Löligers, J. Antioxidant and prooxidant properties of active rosemary constituents: Carnosol and carnosic acid. Xenobiotica 1992, 22, 257–268. [Google Scholar] [CrossRef] [PubMed]
- Schwarz, K.; Ternes, W. Antioxidative constituents of Rosmarinus officinalis and Salvia officinalis. Z. Lebensm. Unters. Forsch. 1992, 195, 99–103. [Google Scholar] [CrossRef] [PubMed]
- Ninomiya, K.; Matsuda, H.; Shimoda, H. Carnosic acid, a new class of lipid absorption inhibitor from sage. Bioorg. Med. Chem. Lett. 2004, 14, 1943–1946. [Google Scholar] [CrossRef] [PubMed]
- Park, J.A.; Kim, S.; Lee, S.Y. Beneficial effects of carnosic acid on dieldrin-induced dopaminergic neuronal cell death. Neuroreport 2008, 19, 1301–1304. [Google Scholar] [CrossRef] [PubMed]
- Liu, W.; Wu, T.C.; Hong, D.M.; Hu, Y.; Fan, T. Carnosic acid enhances the anti-lung cancer effect of cisplatin by inhibiting myeloid-derived suppressor cells. Chin. J. Nat. Med. 2018, 16, 907–915. [Google Scholar] [CrossRef] [PubMed]
- Petiwala, S.M.; Johnson, J.J. Diterpenes from rosemary (Rosmarinus officinalis): Defining their potential for anti-cancer activity. Cancer Lett. 2015, 367, 93–102. [Google Scholar] [CrossRef] [PubMed]
- De Oliveira, M.R. Carnosic acid as a promising agent in protecting mitochondria of brain cells. Mol. Neurobiol. 2018, 55, 6687–6699. [Google Scholar] [CrossRef] [PubMed]
- Manoharan, S.; Balakrishnan, S.; Vinothkumar, V.; Silvan, S. Anti-clastogenic potential of carnosic acid against 7,12-dimethylbenz (a) anthracene (DMBA)-induced clastogenesis. Pharmacol. Rep. 2010, 62, 1170–1177. [Google Scholar] [CrossRef]
- Kuzmenko, I.; Morozova, R.P.; Nikolenko, I.A.; Donchenko, G.V.; Richheimer, S.L.; Bailey, D.T. Chemiluminescence determination of the in vivo and in vitro antioxidant activity of RoseOx® and carnosic acid. J. Photochem. Photobiol. 1999, 48B, 63–67. [Google Scholar] [CrossRef] [PubMed]
- Loussouarn, M.; Krieger-Liszkay, A.; Svilar, L.; Bily, A.; Birtić, S.; Havaux, M. Carnosic acid and carnosol, two major antioxidants of Rosemary, act through different mechanisms. Plant Physiol. 2017, 175, 1381–1394. [Google Scholar] [CrossRef]
- Masuda, T.; Inaba, Y.; Maekawa, T.; Takeda, Y.; Tamura, H.; Yamaguchi, H. Recovery mechanism of the antioxidant activity from carnosic acid quinone, an oxidized sage and rosemary antioxidant. J. Agric. Food Chem. 2002, 50, 5863–5869. [Google Scholar] [CrossRef] [PubMed]
- Gonzalez, A.; Rodriguez, C.; Luis, J. Oxidation reactions of carnosic acid derivatives. J. Chem. Res. 1988, 1, 114–115. [Google Scholar]
- Hasegawa, H. Vitamin D determination using high-performance liquid chromatography with internal standard—Redox mode electrochemical detection and its application to medical nutritional products. J. Chrom. 1992, 605, 215–220. [Google Scholar] [CrossRef]
- King, J.M.; Min, D.B. Riboflavin photosensitized singlet oxygen oxidation of vitamin D. J. Food Sci. 1998, 63, 31–34. [Google Scholar] [CrossRef]
- Li, T.L.; Min, D.B. Stability and photochemistry of vitamin D2 in model systems. J. Food Sci. 1998, 63, 413–417. [Google Scholar] [CrossRef]
- Li, T.L.; King, J.M.; Min, D.B. Quenching mechanisms and kinetics of carotenoids in riboflavin photosensitized singlet oxygen oxidation of vitamin D2. J. Food Biochem. 2000, 24, 477–492. [Google Scholar] [CrossRef]
- Guengerich, F.P. Common and uncommon cytochrome P450 reactions related to metabolism and chemical toxicity. Chem. Res. Toxicol. 2001, 14, 611–650. [Google Scholar] [CrossRef] [PubMed]
- Isin, E.M.; Guengerich, F.P. Complex reactions catalyzed by cytochrome P450 enzymes. Biochim. Biophys. Acta 2007, 1770, 314–329. [Google Scholar] [CrossRef]
- Rendic, S.; Guengerich, F.P. Survey of human oxidoreductases and cytochrome P450 enzymes involved in the metabolism of xenobiotic and natural chemicals. Chem. Res. Toxicol. 2015, 28, 38–42. [Google Scholar] [CrossRef]
- Miller, W.L.; Auchus, R.J. The molecular biology, biochemistry, and physiology of human steroidogenesis and its disorders. Endocr. Rev. 2011, 32, 81–151. [Google Scholar] [CrossRef] [PubMed]
- Yoshimoto, F.K.; Gonzalez, E.; Auchus, R.J.; Guengerich, F.P. Mechanism of 17α,20-lyase and new hydroxylation reactions of human cytochrome P450 17A1 18O labeling and oxygen surrogate evidence for a role a perferryl oxygen. J. Biol. Chem. 2016, 291, 17143–17164. [Google Scholar] [CrossRef]
- Singh, H.; Kumar, R.; Mazumder, A.S.; Mazumder, R.; Abdullah, M.M. Insights into interactions of human cytochrome P450 17A1: A review. Curr. Drug Metabol. 2022, 23, 172–187. [Google Scholar] [CrossRef] [PubMed]
- Bell, R.G.; Stark, P. Inhibition of prothrombin synthesis and epoxidation of vitamin K1 by anticoagulants in vitro. Biochem. Biophys. Res. Commun. 1976, 72, 619–625. [Google Scholar] [CrossRef] [PubMed]
- Dowd, P.; Ham, S.W.; Naganathan, S.; Hershline, R. The mechanism of action of vitamin K. Annu. Rev. Nutr. 1995, 15, 419–440. [Google Scholar] [CrossRef] [PubMed]
- Daines, A.M.; Payne, R.J.; Humphries, M.E.; Abell, A.D. The Synthesis of Naturally Occurring Vitamin K and Vitamin K. Analogues. Curr. Org. Chem. 2003, 7, 1–15. [Google Scholar] [CrossRef]
- Basnet, P.; Kadota, S.; Terashima, S.; Shimizu, M.; Namba, T. Two new 2-arylbenzofuran derivatives from hypoglycemic activity-bearing fractions of Morus insignis. Chem. Pharm. Bull. 1993, 41, 1238–1243. [Google Scholar] [CrossRef] [PubMed]
- Lee, S.H.; Choi, S.Y.; Kim, H.; Hwang, J.S.; Lee, B.G.; Gao, J.J.; Kim, S.Y. Mulberroside F isolated from the leaves of Morus alba inhibits melanin biosynthesis. Biol. Pharm. Bull. 2002, 25, 1045–1048. [Google Scholar] [CrossRef] [PubMed]
- Wang, L.; Yang, Y.; Liu, C.; Chen, R.Y. Three new compounds from Morus nigra L. J. Asian Nat. Prod. Res. 2010, 12, 431–437. [Google Scholar] [CrossRef] [PubMed]
- Celaje, J.A.; Zhang, D.; Guerrero, A.M.; Selke, M. Chemistry of trans-resveratrol with singlet oxygen: [2+2] addition, [4+2] addition, and formation of the phytoalexin moracin M. Org. Lett. 2011, 13, 4846–4849. [Google Scholar] [CrossRef] [PubMed]
- Bai, J.; Hou, Q.; Zhu, W.; Liu, Y. Mechanical insights into the oxidative cleavage of resveratrol catalyzed by dioxygenase NOV1 from Novosphingobium aromaticivorans: Confirmation of dioxygenase mechanism by QM/MM calculations. Catal. Sci. Technol. 2018, 12, 10. [Google Scholar] [CrossRef]
- Daruwalla, A.; Kiser, P.D. Structural and mechanistic aspects of carotenoid cleavage dioxygenases (CCDs). Biochim. Biophys. Acta 2020, 1865, 158590. [Google Scholar] [CrossRef] [PubMed]
- Losman, J.A.; Koivunen, P.; Kaelin, W.G. 2-Oxoglutarate-dependent dioxygenases in cancer. Nat. Rev. Cancer 2020, 20, 710–726. [Google Scholar] [CrossRef]
- Imagawa, T.; Kasai, S.; Matsui, K.; Nakamura, T. Detrimental effects of methyl hydroperoxy-epoxy-octadecenoate on mitochondrial respiration: Detoxication by rat liver mitochondria. J. Biochem. 1983, 94, 87–96. [Google Scholar] [CrossRef] [PubMed]
- Imagawa, T.; Kasai, S.; Matsui, K.; Nakamura, T. Methyl hydroperoxy-epoxy-octadecenoate as an autoxidation product of methyl linoleate: A new inhibitor-uncoupler of mitochondrial respiration. J. Biochem. 1982, 92, 1109–1121. [Google Scholar] [CrossRef] [PubMed]
- Schreiber, J.; Mason, R.P.; Eling, T. Carbon-centered free radical intermediates in the hematin- and ram seminal vesicle-catalyzed decomposition of fatty acid hydroperoxides. Arch. Biochem. Biophys. 1986, 251, 17–24. [Google Scholar] [CrossRef] [PubMed]
- Pryor, W.A.; Porter, N.A. Suggested mechanisms for the production of 4-hydroxy-2-nonenal from the autoxidation of polyunsaturated fatty acids. Free Rad. Biol. Med. 1990, 8, 541–543. [Google Scholar] [CrossRef] [PubMed]
- Wilcox, A.L.; Marnett, L.J. Polyunsaturated fatty acid alkoxyl radicals exist as carbon-dentered epoxyallylic radicals: A key step in hydroperoxide-amplified lipid peroxidation. Chem. Res. Toxicol. 1993, 6, 413–416. [Google Scholar] [CrossRef] [PubMed]
- Loidl-Stahlhofen, A.; Hannemann, K.; Spiteller, G. Generation of a-hydroxyaldehydic compounds in the course of lipid peroxidation. Biochim. Biophys. Acta 1994, 1213, 140–148. [Google Scholar] [CrossRef]
- Timmins, G.S.; dos Santos, R.E.; Whitwood, A.C.; Catalani, L.H.; Di Mascio, P.; Gilbert, B.C.; Bechara, E.J.H. Lipid peroxidation-dependent chemiluminescence from the cyclization of alkylperoxy radicals to dioxetane radical intermediates. Chem. Res. Toxicol. 1997, 10, 1090–1096. [Google Scholar] [CrossRef] [PubMed]
- Pratt, D.A.; Tallman, K.A.; Porter, N.A. Free radical oxidation of polyunsaturated lipids: New mechanistic insights and the development of peroxyl radical clocks. Acc. Chem. Res. 2011, 44, 458–467. [Google Scholar] [CrossRef] [PubMed]
- Hu, C.; Wang, M.; Han, X. Shotgun lipidomics in substantiating lipid peroxidation in redox biology: Methods and applications. Redox Biol. 2017, 12, 946–955. [Google Scholar] [CrossRef] [PubMed]
- Valacchi, G.; Pecorelli, A.; Cervellati, C.; Hayek, J. 4-hydroxynonenal protein adducts: Key mediator in Rett syndrome oxinflammation. Free Radic. Biol. Med. 2017, 111, 270–280. [Google Scholar] [CrossRef] [PubMed]
- Wang, W.; Yang, H.; Johnson, D.; Gensler, C.; Decker, E.; Zhang, G. Chemistry and biology of ω-3 PUFA peroxidation-derived compounds. Prostaglandins Other Lipid Mediat. 2017, 132, 84–91. [Google Scholar] [CrossRef]
- Ghnimi, S.; Budilarto, E.; Kamal-Eldin, A. The New Paradigm for Lipid Oxidation and Insights to Microencapsulation of Omega-3 Fatty Acids. Comprehen. Rev. Food Sci. Food Saf. 2017, 16, 1206–1218. [Google Scholar] [CrossRef] [PubMed]
- Sottero, B.; Rossin, D.; Poli, G.; Biasi, F. Lipid oxidation products in the pathogenesis of inflammation-related gut diseases. Curr. Med. Chem. 2018, 25, 1311–1326. [Google Scholar] [CrossRef]
- Xiao, M.; Zhong, H.; Xia, L.; Tao, Y.; Yin, H. Pathophysiology of mitochondrial lipid oxidation: Role of 4-hydroxynonenal (4-HNE) and other bioactive lipids in mitochondria. Free Radic. Biol. Med. 2017, 111, 316–327. [Google Scholar] [CrossRef]
- Barrera, G.; Pizzimenti, S.; Ciamporcero, E.S.; Daga, M.; Ullio, C.; Arcaro, A.; Cetrangolo, G.P.; Ferretti, C.; Dianzani, C.; Lepore, A.; et al. Role of 4-hydroxynonenal-protein adducts in human diseases. Antioxid. Redox Signal. 2015, 22, 1681–1702. [Google Scholar] [CrossRef] [PubMed]
- Esterbauer, H.; Schaur, R.J.; Zollner, H. Chemistry and biochemistry of 4-hydroxynonenal, malonaldehyde and related aldehydes. Free Radic. Biol. Med. 1991, 11, 81–128. [Google Scholar] [CrossRef] [PubMed]
- Esterbauer, H.; Zollner, H.; Schaur, R.J. Aldehydes formed by lipid peroxidation: Mechanisms of formation, occurrence, and determination. In Membrane Lipid Oxidation; CRC Press: Boca Raton, FL, USA, 1990. [Google Scholar]
- Salsinha, A.S.; Pimentel, L.L.; Fontes, A.L.; Gomes, A.M.; Rodríguez-Alcalá, L.M. Microbial production of conjugated linoleic acid and conjugated linolenic acid relies on a multienzymatic system. Microbiol. Mol. Biol. Rev. 2018, 82, e00019-18. [Google Scholar] [CrossRef] [PubMed]
- Mohammadi-Sartang, M.; Sohrabi, Z.; Esmaeilinezhad, Z.; Aqaeinezhad, R.S.M.; Jalilpiran, Y. Effect of conjugated linoleic acid on leptin level: A systematic review and meta-analysis of randomized controlled trials. Horm. Metab. Res. 2018, 50, 106–116. [Google Scholar] [CrossRef] [PubMed]
- Palmquist, D.L.; Jenkins, T.C. A 100-year review: Fat feeding of dairy cows. J. Dairy Sci. 2017, 100, 10061–10077. [Google Scholar] [CrossRef]
- Yang, B.; Gao, H.; Stanton, C.; Ross, R.P.; Zhang, H.; Chen, Y.Q.; Chen, H.; Chen, W. Bacterial conjugated linoleic acid production and their applications. Prog. Lipid Res. 2017, 68, 26–36. [Google Scholar] [CrossRef]
- Yuan, G.F.; Chen, X.E.; Li, D. Conjugated linolenic acids and their bioactivities: A review. Food Funct. 2014, 5, 1360–1368. [Google Scholar] [CrossRef]
- Jandacek, R.J. Linoleic acid: A nutritional quandary. Healthcare 2017, 5, 25. [Google Scholar] [CrossRef] [PubMed]
- Niki, E. Lipid oxidation in the skin. Free Radic. Res. 2015, 49, 827–834. [Google Scholar] [CrossRef] [PubMed]
- Akyol, S.; Ginis, Z.; Armutcu, F.; Ozturk, G.; Yigitoglu, M.R.; Akyol, O. The potential usage of caffeic acid phenethyl ester (CAPE) against chemotherapy-induced and radiotherapy-induced toxicity. Cell Biochem. Funct. 2012, 30, 438–443. [Google Scholar] [CrossRef] [PubMed]
- Das, U.N. Arachidonic acid and other unsaturated fatty acids and some of their metabolites function as endogenous antimicrobial molecules: A review. J. Adv. Res. 2018, 11, 57–66. [Google Scholar] [CrossRef]
- Jenkins, T.C.; Harvatine, K.J. Lipid feeding and milk fat depression. Vet. Clin. N. Am. Food Anim. Pract. 2014, 30, 623–642. [Google Scholar] [CrossRef]
- Tsubura, A.; Lai, Y.C.; Kuwata, M.; Uehara, N.; Yoshizawa, K. Anticancer effects of garlic and garlic-derived compounds for breast cancer control. Anticancer Agents Med. Chem. 2011, 11, 249–253. [Google Scholar] [CrossRef] [PubMed]
- Friedman, E.B.; Chun, J.; Schnabel, F.; Schwartz, S.; Law, S.; Billig, J. Screening prior to breast cancer diagnosis: The more things change, the more they stay the same. Int. J. Breast Cancer 2013, 201, 327567. [Google Scholar] [CrossRef] [PubMed]
- Lee, K.W.; Lee, H.J.; Cho, H.Y.; Kim, Y.J. Role of the conjugated linoleic acid in the prevention of cancer. Crit. Rev. Food Sci. Nutr. 2005, 45, 135–144. [Google Scholar] [CrossRef]
- Tanaka, T.; Hosokawa, M.; Yasui, Y.; Ishigamori, R.; Miyashita, K. Cancer chemopreventive ability of conjugated linolenic acids. Int. J. Mol. Sci. 2011, 12, 7495–7509. [Google Scholar] [CrossRef] [PubMed]
- Mohammadi, F.; Dikpati, A.; Bertrand, N.; Rudkowska, I. Encapsulation of conjugated linoleic acid and ruminant trans fatty acids to study the prevention of metabolic syndrome—A review. Nutr. Rev. 2024, 82, 262–276. [Google Scholar] [CrossRef] [PubMed]
- Frankel, E.N. Volatile lipid oxidation products. Prog. Lipid Res. 1983, 22, 1–33. [Google Scholar] [CrossRef] [PubMed]
- Gardner, H.W. Decomposition of linoleic acid hydroperoxides. Enzymic reactions compared with nonenzymic. J. Agric. Food Chem. 1975, 23, 129–136. [Google Scholar] [CrossRef] [PubMed]
- de León, I.P.; Hamberg, M.; Castresana, C. Oxylipins in moss development and defense. Front. Plant Sci. 2015, 6, 483. [Google Scholar] [CrossRef] [PubMed]
- Miura, Y. The biological significance of ω-oxidation of fatty acids. Proc. Jpn. Acad. Ser. B Phys. Biol. Sci. 2013, 89, 370–382. [Google Scholar] [CrossRef] [PubMed]
- Vangaveti, V.N.; Jansen, H.; Kennedy, R.L.; Malabu, U.H. Hydroxyoctadecadienoic acids: Oxidised derivatives of linoleic acid and their role in inflammation associated with metabolic syndrome and cancer. Eur. J. Pharmacol. 2016, 785, 70–76. [Google Scholar] [CrossRef] [PubMed]
- Kaur, K.; Salomon, R.G.; O’Neil, J.; Hoff, H.F. Carboxyalkyl pyrroles in human plasma and oxidized low density lipoproteins. Chem. Res. Toxicol. 1997, 10, 1387–1396. [Google Scholar] [CrossRef] [PubMed]
- Tallima, H. Clarification of arachidonic acid metabolic pathway intricacies. ACS Omega 2021, 6, 15559–15563. [Google Scholar] [CrossRef] [PubMed]
- Trostchansky, A.; Wood, I.; Rubbo, H. Regulation of arachidonic acid oxidation and metabolism by lipid electrophiles. Prostagland. Other Lipid Mediat. 2021, 152, 106482. [Google Scholar] [CrossRef] [PubMed]
- Wang, B.; Wu, L.; Chen, J. Metabolism pathways of arachidonic acids: Mechanisms and potential therapeutic targets. Sig. Transduct. Target. Ther. 2021, 6, 94. [Google Scholar] [CrossRef] [PubMed]
- Mueller, M.J. Radically novel prostaglandins in animals and plants: The isoprostanes. Chem. Biol. 1998, S1, R323–R333. [Google Scholar] [CrossRef]
- Martin, S.A.; Brash, A.R.; Murphy, R.C. The discovery and early structural studies of arachidonic acid. J. Lipid Res. 2016, 57, 1126–1132. [Google Scholar] [CrossRef] [PubMed]
- Tallima, H.; El Ridi, R. Arachidonic acid: Physiological roles and potential health benefits—A review. J. Adv. Res. 2018, 11, 33–41. [Google Scholar] [CrossRef] [PubMed]
- Li, B.; Gao, W.; Zhang, W.; Li, B.; Yang, C.; Jiang, X.; Tian, Y.; Liang, H. Metabolomics analysis reveals an effect of homocysteine on arachidonic acid and linoleic acid metabolism pathway. Mol. Med. Rep. 2018, 17, 6261–6268. [Google Scholar] [CrossRef] [PubMed]
- Sana, M.M.; Shana, R.M.; Hafez, A.S.F. A review on algae and plants as potential source of arachidonic acid. J. Adv. Res. 2018, 11, 3–13. [Google Scholar]
- Dembitsky, V.M.; Srebnik, M. Natural halogenated fatty acids: Their analogues and derivatives. Prog. Lipid Res. 2002, 41, 315–367. [Google Scholar] [CrossRef]
- Dembitsky, V.M.; Levitsky, D.O. Arsenolipids. Prog. Lipid Res. 2004, 43, 403–448. [Google Scholar] [CrossRef]
- Dembitsky, V.M.; Pechenkina-Shubina, E.E.; Rozentsvet, O.A. Glycolipids and fatty acids of some seaweeds and marine grasses from the Black Sea. Phytochemistry 1991, 30, 2279–2283. [Google Scholar] [CrossRef]
- Dembitsky, V.M.; Rozentsvet, O.A.; Pechenkina, E.E. Glycolipids, phospholipids and fatty acids of brown algae species. Phytochemistry 1990, 29, 3417–3421. [Google Scholar] [CrossRef]
- Dembitsky, V.M. Chemistry and biodiversity of the biologically active natural glycosides. Chem. Biodiver. 2004, 1, 673–781. [Google Scholar] [CrossRef]
- Wells, M.L.; Potin, P.; Craigie, J.S.; Raven, J.A.; Merchant, S.S.; Helliwell, K.E.; Smith, A.G.; Camire, M.E.; Brawley, S.H. Algae as nutritional and functional food sources: Revisiting our understanding. J. Appl. Phycol. 2017, 29, 949–982. [Google Scholar] [CrossRef] [PubMed]
- Khotimchenko, S.V.; Vaskovsky, V.E.; Titlyanova, T.V. Fatty acids of marine algae from the Pacific coast of North California. Bot. Mar. 2002, 45, 17–22. [Google Scholar] [CrossRef]
- Monroig, O.; Tocher, D.R.; Navarro, J.C. Biosynthesis of polyunsaturated fatty acids in marine invertebrates: Recent advances in molecular mechanisms. Mar Drugs 2013, 11, 3998–4018. [Google Scholar] [CrossRef] [PubMed]
- Pereira, H.; Barreira, L.; Figueiredo, F.; Custódio, L.; Vizetto-Duarte, C.; Polo, C.; Rešek, E.; Engelen, A.; Varela, J. Polyunsaturated fatty acids of marine macroalgae: Potential for nutritional and pharmaceutical applications. Mar. Drugs 2012, 10, 1920–1935. [Google Scholar] [CrossRef] [PubMed]
- Dembitsky, V.M. Astonishing diversity of natural surfactants: 1. Glycosides of fatty acids and alcohols. Lipids 2004, 39, 933–953. [Google Scholar] [CrossRef] [PubMed]
- Tocher, D.R. Fatty acid requirements in ontogeny of marine and freshwater fish. Aquacul. Res. 2010, 41, 717–732. [Google Scholar] [CrossRef]
- Huang, T.H.; Wang, P.W.; Yang, S.C.; Chou, W.L.; Fang, J.Y. Cosmetic and therapeutic applications of fish oil’s fatty acids on the skin. Mar Drugs. 2018, 16, 256. [Google Scholar] [CrossRef]
- Lien, E.L.; Richard, C.; Hoffman, D.R. DHA and ARA addition to infant formula: Current status and future research directions. Prostaglandins Leukot. Essent. Fat. Acids 2018, 128, 26–40. [Google Scholar] [CrossRef]
- Peebles, R.S., Jr. Prostaglandins in asthma and allergic diseases. Pharmacol. Ther. 2019, 193, 1–19. [Google Scholar] [CrossRef]
- Crawford, M.A.; Sinclair, A.J.; Hall, B.; Ogundipe, E.; Wang, Y.; Bitsanis, D.; Djahanbakhch, O.B.; Harbige, L.S.; Golfetto, I.; Moodley, T.; et al. The imperative of arachidonic acid in human repro-duction. Prog. Lipid Res. 2023, 91, 101222. [Google Scholar] [CrossRef] [PubMed]
- Kuehl, F.A., Jr.; Humes, J.L.; Beveridge, G.C.; Van Arman, C.G.; Egan, R.W. Biologically active derivatives of fatty acids: Prostaglandins, thromboxanes, and endoperoxides. Inflammation 1977, 2, 285–294. [Google Scholar] [CrossRef] [PubMed]
- Wang, L.; Luo, G.; Zhang, L.F.; Geng, H.X. Neuroprotective effects of epoxyeicosatrienoic acids. Prostaglandins Other Lipid Mediat. 2018, 138, 9–14. [Google Scholar] [CrossRef] [PubMed]
- Roberts, L.J., II; Milne, G.L. Isoprostanes. J. Lipid Res. 2009, 50 (Suppl. 2), S219–S223. [Google Scholar] [CrossRef]
- Rokach, J.; Khanapure, S.P.; Hwang, S.W.; Adiyama, M.; Lawson, J.A.; FitzGerald, G.A. The Isoprostanes: A perspective. Prostaglandins 1997, 54, 823–851. [Google Scholar] [CrossRef] [PubMed]
- Funk, C.D. Prostaglandins and leukotrienes: Advances in eicosanoid biology. Science 2001, 294, 1871–1875. [Google Scholar] [CrossRef] [PubMed]
- Sun, X.; Li, Q. Prostaglandin EP2 receptor: Novel therapeutic target for human cancers (Review). Int. J. Mol. Med. 2018, 42, 1203–1214. [Google Scholar] [CrossRef]
- Yin, H.; Havrilla, C.H.; Gao, L.; Morrow, J.D.; Porter, N.A. Mechanisms for the formation of isoprostane endoperoxides from arachidonic acid. J. Biol. Chem. 2003, 278, 16720–16725. [Google Scholar] [CrossRef] [PubMed]
- Cheng, Y.; Austin, S.C.; Rocca, B.; Koller, J.; Coffman, T.M. Role of prostacyclin in the cardiovascular response to thromboxane A2. Science 2002, 296, 539–541. [Google Scholar] [CrossRef]
- Pratico, D.; Lawson, J.A.; Rokach, J.; FitzGerald, G.A. The isoprostanes in biology and medicine. Trends Endocrinol. Metabt. 2001, 12, 243–247. [Google Scholar] [CrossRef]
- Porter, N.A. Reactions of endoperoxides. In Free Radicals in Biology; Pryor, W.A., Ed.; Academic Press: New York, NY, USA, 1980; Volume IV, pp. 261–295. [Google Scholar]
- Roberts, L.J., 2nd; Brame, C.J.; Chen, Y.; Morrow, J.D. Novel eicosanoids. Isoprostanes and related compounds. Methods Mol. Biol. 1999, 120, 257–285. [Google Scholar]
- Davì, G.; Santilli, F.; Vazzana, N. Thromboxane receptors antagonists and/or synthase inhibitors. Handb. Exp. Pharmacol. 2012, 210, 261–286. [Google Scholar]
- Morrow, J.D.; Harris, T.M.; Roberts, L.J., Jr. Noncyclooxygenase oxidative formation of a series of novel prostaglandins: Analytical ramifications for measurement of eicosanoids. Anal. Biochem. 1990, 184, 1–10. [Google Scholar] [CrossRef] [PubMed]
- Morrow, J.D.; Hill, E.; Burk, R.F.; Nammour, T.M.; Badr, K.F.; Roberts, L.J., Jr. A series of prostaglandin F2-like compounds are produced in vivo in humans by a non-cyclooxygenase, free radical-catalyzed mechanism. Proc. Natl. Acad. Sci. USA 1990, 87, 9383–9387. [Google Scholar] [CrossRef] [PubMed]
- Yin, H.; Havrilla, C.M.; Morrow, J.D.; Porter, N.A. Formation of isoprostane bicyclic endoperoxides from the autoxidation of cholesteryl arachidonate. J. Am. Chem. Soc. 2002, 124, 7745–7754. [Google Scholar] [CrossRef] [PubMed]
- Morrow, J.D.; Roberts, L.J., Jr. Mass spectrometric quantification of F2-isoprostanes in biological fluids and tissues as measure of oxidant stress. Methods Enzymol. 1999, 300, 3–12. [Google Scholar]
- Fam, S.S.; Morrow, J.D. The isoprostanes: Unique products of arachidonic acid oxidation-A review. Curr. Med. Chem. 2003, 10, 1723–1740. [Google Scholar] [CrossRef] [PubMed]
- Lawson, J.A.; Rokach, J.; Fitz Gerald, G.A. Isoprostanes: Formation, analysis and use as indices of lipid peroxidation in vivo. J. Biol. Chem. 1999, 274, 24441–24444. [Google Scholar] [CrossRef]
- Halliwell, B.; Chirico, S. Lipid peroxidation: Its mechanism, measurement, and significance. Amer. J. Clin. Nutrit. 1993, 57, 715S–725S. [Google Scholar] [CrossRef] [PubMed]
- Hirasawa, K.; Murakami, M.; Sato, Y. Japanese Kokai Tokkyo Koho. Showa. Japanese Patent JP 63014788, 27 January 1988. [Google Scholar]
- Hirasawa, K.; Murakami, M.; Sato, Y. Japanese Kokai Tokkyo Koho. Showa. Japanese Patent JP 63014720, 11 August 1988. [Google Scholar]
- Miyamoto, S.; Dupas, C.; Murota, K.; Terao, J. Phospholipid hydroperoxides are detoxified by phospholipase A2 and GSH peroxidase in rat gastric mucosa. Lipids 2003, 38, 641–649. [Google Scholar] [CrossRef]
- Spiteller, G. Are changes of the cell membrane structure causally involved in the aging process? Ann. N. Y. Acad. Sci. 2002, 959, 30–44. [Google Scholar] [CrossRef] [PubMed]
- Di Mascio, P.; Martinez, G.R.; Miyamoto, S.; Ronsein, G.E.; Medeiros, M.H.G.; Cadet, J. Singlet molecular oxygen: Düsseldorf–São Paulo, the Brazilian connection. Arch. Biochem. Biophys. 2016, 595, 161–175. [Google Scholar] [CrossRef] [PubMed]
- Edge, R.; McGarvey, D.J.; Truscott, T.G. The carotenoids as anti-oxidants—A review. J. Photochem. Photobiol. 1997, 41B, 189–200. [Google Scholar] [CrossRef] [PubMed]
- Rao, A.V.; Rao, L.G. Carotenoids and human health. Pharmacol. Res. 2017, 55, 207–216. [Google Scholar] [CrossRef] [PubMed]
- Britton, G. Structure and properties of carotenoids in relation to function. FASEB J. 1995, 9, 1551–1558. [Google Scholar] [CrossRef] [PubMed]
- Tarakhovskaya, E.R.; Maslov, Y.I.; Shishova, M.F. Phytohormones in algae. Russ. J. Plant Physiol. 2007, 54, 163–170. [Google Scholar] [CrossRef]
- Mukherjee, A.; Gaurav, A.K.; Singh, S.; Yadav, S.; Bhowmick, S.; Abeysinghe, S.; Prakash Verma, J. The bioactive potential of phytohormones: A review. Biotechnol. Rep. 2022, 35, e00748. [Google Scholar] [CrossRef]
- Han, X.; Zeng, H.; Bartocci, P.; Fantozzi, F.; Yan, Y. Phytohormones and effects on growth and metabolites of microalgae: A review. Fermentation 2018, 4, 25. [Google Scholar] [CrossRef]
- Clark, K.B.; Howard, J.A.; Oyler, A.J. Retinoic acid oxidation at high oxygen pressures: Evidence for spin-forbidden direct addition of triplet molecular oxygen. J. Am. Chem. Soc. 1997, 119, 9560–9561. [Google Scholar] [CrossRef]
- Oyler, J.; Motto, M.G.; Naldi, R.E.; Facchine, K.L.; Hamburg, P.F.; Burinsky, D.J.; Dunphy, R.; Cotter, M.L. Characterizationf of autoxidation products of retinoic acid. Tetrahedron 1989, 45, 7679–7694. [Google Scholar] [CrossRef]
- Napoli, J.L. Vitamin A (retinoids). In Encyclopedia of Biological Chemistry; Lennarz, W.J., Lane, M.D., Eds.; Elsevier: Oxford, UK, 2004; Volume 4, pp. 354–359. [Google Scholar]
- Tsujimoto, K.; Hozoji, H.; Ohashi, M.; Watanabe, M.; Hattori, H. Wavelength-dependent peroxide formation upon irradiation of all-trans retinal in an aerated solution. Chem. Lett. 1984, 13, 1673–1676. [Google Scholar] [CrossRef]
- Baron, M.H.; Coulange, M.J.; Coupry, C.; Baron, D.; Favrot, J.; Abo-Aly, M.M. All-trans retinal photoisomerization and photooxidation from UV laser radiation. Vibrational assignments of all-trans 5,8-peroxyretinal. Photochem. Photobiol. 1989, 49, 736–751. [Google Scholar] [CrossRef]
- Crank, G.; Pardijanto, M.S. Photo-oxidations and photosensitized oxidations of vitamin A and its palmitate ester. J. Photochem. Photobiol. A 1995, 8, 93–100. [Google Scholar] [CrossRef]
- Mousseron-Canet, M. Photochemical transformation of vitamin A. Methods Enzymol. 1971, 18, 591–615. [Google Scholar]
- Hu, X.; White, K.M.; Jacobsen, N.E.; Mangelsdorf, D.J.; Canfield, L.M. Inhibition of growth and cholesterol synthesis in breast cancer cells by oxidation products of β-carotene. J. Nutr. Biochem. 1998, 9, 567–574. [Google Scholar] [CrossRef]
- Stachowiak, B.; Szulc, P. Astaxanthin for the food industry. Molecules 2021, 26, 2666. [Google Scholar] [CrossRef] [PubMed]
- Faraone, I.; Sinisgalli, C.; Ostuni, A.; Armentano, M.F.; Carmosino, M.; Milella, L.; Russo, D. Astaxanthin anticancer effects are mediated through multiple molecular mechanisms: A systematic review. Pharmacol. Res. 2020, 155, 104689. [Google Scholar] [CrossRef]
- Aneesh, P.A.; Ajeeshkumar, K.; Lekshmi, R.; Anandan, R.; Ravishankar, C.; Mathew, S. Bioactivities of astaxanthin from natural sources, augmenting its biomedical potential: A review. Trends Food Sci. Technol. 2022, 125, 81–90. [Google Scholar] [CrossRef]
- Maoka, T. Oxidation products of astaxanthin: An overview. In Global Perspectives on Astaxanthin from Industrial Production to Food, Health, and Pharmaceutical Applications; Academic Press: Cambridge, MA, USA, 2021; pp. 411–425. [Google Scholar]
- Nishino, A.; Maoka, T.; Yasui, H. Analysis of reaction products of astaxanthin and its acetate with reactive oxygen species using LC/PDA ESI-MS and ESR spectrometry. Tetrahedron Lett. 2016, 57, 1967–1970. [Google Scholar] [CrossRef]
- Mordi, R.C.; Ademosun, O.T.; Ajanaku, C.O.; Olanrewaju, I.O.; Walton, J.C. Free radical mediated oxidative degradation of carotenes and xanthophylls. Molecules 2020, 25, 1038. [Google Scholar] [CrossRef] [PubMed]
- Von Doering, W.E.; Sarma, K. Stabilization energy of polyenyl radicals: All-trans-nonatetraenyl radical by thermal rearrangement of a semirigid {4–1-2} heptaene. Model for thermal lability of beta-carotene. J. Am. Chem. Soc. 1992, 114, 6037–6043. [Google Scholar] [CrossRef]
- Mordi, R.C. Mechanism of beta-carotene degradation. Biochem. J. 1993, 292, 310–312. [Google Scholar] [CrossRef] [PubMed]
- Terao, J.; Minami, Y.; Bando, N. Singlet molecular oxygen-quenching activity of carotenoids: Relevance to protection of the skin from photoaging. J. Clin. Biochem. Nutr. 2011, 48, 57–62. [Google Scholar] [CrossRef] [PubMed]
- Devery, J.; Milborrow, B.V. β-Carotene-15,15′-dioxygenase (EC 1.13.11.21) isolation reaction mechanism and an improved assay procedure. Br. J. Nutr. 1994, 72, 397–414. [Google Scholar] [CrossRef] [PubMed]
- Kim, Y.S.; Kim, N.H.; Kim, H.J.; Lee, J.K.; Kim, S.W.; Oh, D.K. Effective production of retinal from beta-carotene using recombinant mouse beta-carotene 15, 15′-monooxygenase. Appl. Microbiol. Biotechnol. 2007, 76, 1339–1345. [Google Scholar] [CrossRef] [PubMed]
- During, A.; Harrison, E.H. Intestinal absorption and metabolism of carotenoids: Insights from cell culture. Arch. Biochem. Biophys. 2004, 430, 77–88. [Google Scholar] [CrossRef] [PubMed]
- Mohsin, N.U.A.; Irfan, M.; Hassan, S.U. Current strategies in development of new chromone derivatives with diversified pharmacological activities: A Review. Pharm. Chem. J. 2020, 54, 241–257. [Google Scholar] [CrossRef] [PubMed]
- Amen, Y.; Elsbaey, M.; Othman, A.; Sallam, M.; Shimizu, K. Naturally occurring chromone glycosides: Sources, bioactivities, and spectroscopic features. Molecules 2021, 26, 7646. [Google Scholar] [CrossRef] [PubMed]
- Lascano, S.; Lopez, M.; Arimondo, P.B. Natural products and chemical biology tools: Alternatives to target epigenetic mechanisms in cancers. Chem. Rec. 2018, 18, 1854–1876. [Google Scholar] [CrossRef] [PubMed]
- Fischer, N.; Seo, E.J.; Efferth, T. Prevention from radiation damage by natural products. Phytomedicine 2018, 47, 192–200. [Google Scholar] [CrossRef] [PubMed]
- Rauf, A.; Imran, M.; Khan, I.A.; Ur-Rehman, M.; Gilani, S.A.; Mehmood, Z.; Mubarak, M.S. Anticancer potential of quercetin: A comprehensive review. Phytother. Res. 2018, 32, 2109–2130. [Google Scholar] [CrossRef]
- Caffieri, S. Furocoumarin photolysis: Chemical and biological aspects. Photochem. Photobiol. Sci. 2002, 1, 149–157. [Google Scholar] [CrossRef] [PubMed]
- Thakur, A.; Sharma, R.; Jaswal, V.S.; Nepovimova, E.; Chaudhary, A.; Kuca, K. Psoralen: A biologically important coumarin with emerging applications. Mini Rev. Med. Chem. 2020, 20, 1838–1845. [Google Scholar] [CrossRef] [PubMed]
- Viola, G.; Vedaldi, D.; Dall’Acqua, F.; Lampronti, I.; Bianchi, N.; Zuccato, C.; Borgatti, M.; Gambari, R. Furocoumarins photolysis products induce differentiation of human erythroid cells. J. Photochem. Photobiol. 2008, 92, 24–28. [Google Scholar] [CrossRef] [PubMed]
- Abu-Hashem, A.A.; El-Shazly, M. Synthesis, reactions and biological activities of furochromones: A review. Eur. J. Med. Chem. 2015, 90, 633–665. [Google Scholar] [CrossRef] [PubMed]
- Marley, K.A.; Larson, R.A. A new photoproduct from furocoumarin photolysis in dilute aqueous solution: 5-formyl-6-hydroxybenzofuran. Photochem. Photobiol. 1994, 59, 503–505. [Google Scholar] [CrossRef]
- Maslov, S.A.; Blyumberg, E.A. Liquid-phase oxidation of aldehydes. Russ. Chem. Rev. 1976, 45, 155–167. [Google Scholar] [CrossRef]
- Zhuravel, N.N.; Belichenko, I.V.; Kyagova, A.A.; Lysenko, E.P.; Khalilov, E.M.; Potapenko, A.Y. Activation of hemolysis induced by photooxidized psoralen (POP) by Fe2+ ions. The role of Fe2+ reactions with POP and erythrocytes. Membr. Cell Biol. 1996, 10, 381–387. [Google Scholar]
- Bethea, D.; Fullmer, B.; Syed, S.; Seltzer, G.; Tiano, J.; Rischko, C.; Gillespie, L.; Brown, D.; Gasparro, F.P. Psoralen photobiology and photochemotherapy: 50 years of science and medicine. J. Dermatol. Sci. 1999, 19, 78–88. [Google Scholar] [CrossRef] [PubMed]
- Bartusik-Aebisher, D.; Ożóg, L.; Aebisher, D. Alternative methods of photodynamic therapy and oxygen consumption measurements—A review. Biomed. Pharmacother. 2021, 134, 111095. [Google Scholar] [CrossRef] [PubMed]
- Torello, C.O.; Alvarez, M.C.; Saad, O. Polyphenolic flavonoid compound quercetin effects in the treatment of acute myeloid leukemia and myelodysplastic syndromes. Molecules 2021, 26, 5781. [Google Scholar] [CrossRef] [PubMed]
- Salehi, B.; Machin, L.; Monzote, L.; Sharifi-Rad, J.; Ezzat, S.M.; Salem, M.A.; Merghany, R.M.; El Mahdy, N.M. Therapeutic Potential of quercetin: New insights and perspectives for human health. ACS Omega 2020, 5, 11849–11872. [Google Scholar] [CrossRef] [PubMed]
- Patel, P.; Mistry, B.; Mistry, B.; Syed, R.; Syed, R.; Keum, Y.S.; Keum, Y.S. Quercetin: A plant-derived polyphenol with tremendous cardioprotective effects. Mini Rev. Med. Chem. 2018. [CrossRef]
- Brito, A.F.; Ribeiro, M.; Abrantes, A.M.; Pires, A.S.; Teixo, R.J.; Tralhao, J.C.; Botelho, M.F. Quercetin in cancer treatment, alone or in combination with conventional therapeutics? Curr. Med. Chem. 2015, 22, 3025–3039. [Google Scholar] [CrossRef] [PubMed]
- Osman, A.; Makris, D.P.; Kefalas, P. Investigation on biocatalytic properties of a peroxidase-active homogenate from onion solid wastes: An insight into quercetin oxidation mechanism. Process. Biochem. 2008, 43, 861–867. [Google Scholar] [CrossRef]
- Sokolova, R.; Rame, Ð.; Degano, I.; Hromadova, M.; Gala, M.; Zabka, J. The oxidation of natural flavonoid quercetin. Chem. Commun. 2012, 48, 3433. [Google Scholar] [CrossRef] [PubMed]
- Zenkevich, I.G.; Eshchenko, A.Y.; Makarova, S.V.; Vitenberg, A.G.; Dobryakov, Y.G.; Utsal, V.A. Identification of the products of oxidation of quercetin by air oxygenat ambient temperature. Molecules 2007, 12, 654. [Google Scholar] [CrossRef]
- Fiorucci, S.; Golebiowski, J.; Cabrol-Bass, D.; Antonczak, S. Oxygenolysis of flavonoid compounds: DFT description of the mechanism for quercetin. ChemPhysChem 2004, 5, 1726. [Google Scholar] [CrossRef] [PubMed]
- Kano, K.; Mabuchi, T.; Uno, B.; Esaka, Y.; Tanaka, T.; Linuma, M. Superoxide anion radical-induced dioxygenolysis of quercetin as a mimic of quercetinase. J. Chem. Soc. Chem. Commun. 1994, 5, 593–594. [Google Scholar] [CrossRef]
- Tournaire, C.; Croux, S.; Maurette, M.T.; Beck, I.; Hocquaux, M.; Braun, A.M.; Oliveros, E.J. Antioxidant activity of flavonoids: Efficiency of singlet oxygen (1Δg) quenching. Photochem. Photobiol. 1993, 19B, 205. [Google Scholar] [CrossRef]
- Go, M.L.; Wu, X.; Liu, X.L. Chalcones: An update on cytotoxic and chemoprotective properties. Curr. Med. Chem. 2005, 12, 483–499. [Google Scholar] [CrossRef] [PubMed]
- Edwards, M.L.; Stemerick, D.M.; Sunkara, P.S. Chalcones: A new class of antimitotic agents. J. Med. Chem. 1990, 33, 1948–1954. [Google Scholar] [CrossRef] [PubMed]
- Rozmer, Z.; Perjési, P. Naturally occurring chalcones and their biological activities. Phytochem. Rev. 2016, 15, 87–120. [Google Scholar] [CrossRef]
- Ralston, L.; Subramanian, S.; Matsuno, M.; Yu, O. Partial reconstruction of flavonoid and isoflavonoid biosynthesis in yeast using soybean type I and type II chalcone isomerases. Plant Physiol. 2005, 137, 1375–1388. [Google Scholar] [CrossRef] [PubMed]
- Ouyang, Y.; Li, J.; Chen, X.; Fu, X.; Sun, S.; Wu, Q. Chalcone derivatives: Role in anticancer therapy. Biomolecules 2021, 11, 894. [Google Scholar] [CrossRef]
- Falcone Ferreyra, M.L.; Rius, S.P.; Casati, P. Flavonoids: Biosynthesis, biological functions, and biotechnological applications. Front. Plant Sci. 2012, 3, 222. [Google Scholar] [CrossRef] [PubMed]
- Wong, E. Photooxygenation of 2′,4,4′-trihydroxychalcone: Identity with products from enzymic oxidation. Phytochemistry 1987, 26, 1544–1545. [Google Scholar] [CrossRef]
- Wong, E.; Wilson, J.M. Products of the peroxidase-catalysed oxidation of 4,2′,4′-trihydroxychalcone. Phytochemistry 1976, 15, 1325–1332. [Google Scholar] [CrossRef]
- Sharifi-Rad, J.; Quispe, C.; Castillo, C.M.S.; Caroca, R.; Lazo-Vélez, M.A. Ellagic acid: A review on its natural sources, chemical stability, and therapeutic potential. Oxid. Med. Cell. Longev. 2022, 202, 3848084. [Google Scholar] [CrossRef] [PubMed]
- Bell, C.; Hawthorne, S. Ellagic acid, pomegranate and prostate cancer-a mini review. J. Pharm. Pharmacol. 2008, 60, 139–144. [Google Scholar] [CrossRef] [PubMed]
- García-Niño, W.R.; Zazueta, C. Ellagic acid: Pharmacological activities and molecular mechanisms involved in liver protection. Pharmacol. Res. 2015, 97, 84–103. [Google Scholar] [CrossRef]
- Zeb, A. Ellagic acid in suppressing in vivo and in vitro oxidative stresses. Mol. Cell. Biochem. 2018, 448, 27–41. [Google Scholar] [CrossRef] [PubMed]
- Derosa, G.; Maffioli, P.; Sahebkar, A. Ellagic acid and its role in chronic diseases. Adv. Exp. Med. Biol. 2016, 928, 473–479. [Google Scholar] [PubMed]
- Häkkinen, S.; Heinonen, M.; Kärenlampi, S.; Mykkänen, H.; Ruuskanen, J.; Törrönen, R. Screening of selected flavonoids and phenolic acids in 19 berries. Food Res. Int. 1999, 32, 345–353. [Google Scholar] [CrossRef]
- Vattem, D.A.; Shetty, K. Biological functionality of ellagic acid: A review. J. Food Biochem. 2005, 29, 234–266. [Google Scholar] [CrossRef]
- Daniel, E.M.; Krupnick, A.S.; Heur, Y.H.; Blinzler, J.A.; Nims, R.W.; Stoner, G.D. Extraction, stability, and quantitation of ellagic acid in various fruits and nuts. J. Food Compos. Anal. 1989, 2, 338–349. [Google Scholar] [CrossRef]
- Tokutomi, H.; Takeda, T.; Hoshino, N.; Akutagawa, T. Molecular structure of the photo-oxidation product of ellagic acid in solution. ACS Omega 2018, 3, 11179–11183. [Google Scholar] [CrossRef]
Disclaimer/Publisher’s Note: The statements, opinions and data contained in all publications are solely those of the individual author(s) and contributor(s) and not of MDPI and/or the editor(s). MDPI and/or the editor(s) disclaim responsibility for any injury to people or property resulting from any ideas, methods, instructions or products referred to in the content. |
© 2024 by the author. Licensee MDPI, Basel, Switzerland. This article is an open access article distributed under the terms and conditions of the Creative Commons Attribution (CC BY) license (https://creativecommons.org/licenses/by/4.0/).





































