Unveiling the Antioxidant Potential of Halophyte Plants and Seaweeds for Health Applications
Abstract
1. Introduction
2. Materials and Methods
2.1. Plant and Seaweed Sampling and Processing
2.2. Extraction Procedures
2.3. Total Soluble Protein
Lowry Method
2.4. Antioxidant Assays
2.4.1. ABTS Radical Scavenging Assay
2.4.2. DPPH Assay
2.4.3. FRAP Assay
2.4.4. Total Phenolic Content (TPC)
2.5. Total Flavonoid Content (TFC)
2.6. Statistical Analysis
3. Results
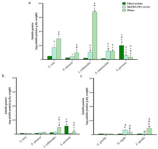
3.1. Total Soluble Protein
3.2. Antioxidants Determination
3.2.1. ABTS Radical Scavenging
3.2.2. DPPH Assay
3.2.3. Ferric Reduction Antioxidant Power (FRAP) Assay
3.2.4. Total Phenolic Content (TPC)
3.3. Total Flavonoid Content (TFC)
3.4. Correlation between Diferent Assays
4. Discussion
5. Conclusions
Supplementary Materials
Author Contributions
Funding
Institutional Review Board Statement
Informed Consent Statement
Data Availability Statement
Acknowledgments
Conflicts of Interest
References
- Lopes, A.; Rodrigues, M.J.; Pereira, C.; Oliveira, M.; Barreira, L.; Varela, J.; Trampetti, F.; Custódio, L. Natural products from extreme marine environments: Searching for potential industrial uses within extremophile plants. Ind. Crop. Prod. 2016, 94, 299–307. [Google Scholar] [CrossRef]
- Ksouri, R.; Ksouri, W.M.; Jallali, I.; Debez, A.; Magné, C.; Hiroko, I.; Abdelly, C. Medicinal halophytes: Potent source of health promoting biomolecules with medical, nutraceutical and food applications. Crit. Rev. Biotechnol. 2012, 32, 289–326. [Google Scholar] [CrossRef] [PubMed]
- Santos, S.A.O.; Vilela, C.; Freire, C.S.R.; Abreu, M.H.; Rocha, S.M.; Silvestre, A.J.D. Chlorophyta and Rhodophyta macroalgae: A source of health promoting phytochemicals. Food Chem. 2015, 183, 122–128. [Google Scholar] [CrossRef] [PubMed]
- Custódio, L.; Rodrigues, M.J.; Pereira, C.G.; Castañeda-Loaiza, V.; Fernandes, E.; Standing, D.; Neori, A.; Shpigel, M.; Sagi, M. A Review on Sarcocornia Species: Ethnopharmacology, Nutritional Properties, Phytochemistry, Biological Activities and Propagation. Foods 2021, 10, 2778. [Google Scholar] [CrossRef] [PubMed]
- Ali, S.; Khan, S.M.; Siddiq, Z.; Ahmad, Z.; Ahmad, K.S.; Abdullah, A.; Hashem, A.; Al-Arjani, A.B.F.; Allah, E.F.A. Carbon sequestration potential of reserve forests present in the protected Margalla Hills National Park. J. King Saud Univ.-Sci. 2022, 34, 101978. [Google Scholar] [CrossRef]
- Nova, P.; Pimenta-Martins, A.; Silva, J.L.; Silva, A.M.; Gomes, A.M.; Freitas, A.C.; Silva, A.M. Critical Reviews in Food Science and Nutrition Health benefits and bioavailability of marine resources components that contribute to health-what’s new? Health benefits and bioavailability of marine resources components that contribute to health-what’s new? Crit. Rev. Food Sci. Nutr. 2020, 60, 3680–3692. [Google Scholar] [CrossRef] [PubMed]
- Pereira, C.A.; Locatelli, M.; Innosa, D.; Cacciagrano, F.; Polesna, L.; Santos, T.T.d.; Rodrigues, M.J.; Custódio, L.M.B. Unravelling the potential of the medicinal halophyte Eryngium maritimum L.: In vitro inhibition of diabetes-related enzymes, antioxidant potential, polyphenolic profile and mineral composition. S. Afr. J. Bot. 2019, 120, 204–212. [Google Scholar] [CrossRef]
- Pereira, C.G.; Barreira, L.; Neng, N.d.R.; Nogueira, J.M.F.; Marques, C.; Santos, T.F.; Varela, J.; Custódio, L. Searching for new sources of innovative products for the food industry within halophyte aromatic plants: In vitro antioxidant activity and phenolic and mineral contents of infusions and decoctions of Crithmum maritimum L. Food Chem. Toxicol. 2017, 107, 581–589. [Google Scholar] [CrossRef] [PubMed]
- Rodrigues, M.J.; Soszynski, A.; Martins, A.; Rauter, A.P.; Neng, N.R.; Nogueira, J.M.F.; Varela, J.; Barreira, L.; Custódio, L. Unravelling the antioxidant potential and the phenolic composition of different anatomical organs of the marine halophyte Limonium algarvense. Ind. Crop. Prod. 2015, 77, 315–322. [Google Scholar] [CrossRef]
- Rodrigues, M.J.; Pereira, C.A.; Oliveira, M.; Neng, N.R.; Nogueira, J.M.F.; Zengin, G.; Mahomoodally, M.F.; Custódio, L. Sea rose (Armeria pungens) as a potential source of innovative industrial products for anti-ageing applications. Ind. Crop. Prod. 2018, 121, 250–257. [Google Scholar] [CrossRef]
- Rodrigues, M.J.; Slusarczyk, S.; Pecio, Ł.; Matkowski, A.; Salmas, R.E.; Durdagi, S.; Pereira, C.; Varela, J.; Barreira, L.; Custódio, L. In vitro and in silico approaches to appraise Polygonum maritimum L. as a source of innovative products with anti-ageing potential. Ind. Crop. Prod. 2018, 111, 391–399. [Google Scholar] [CrossRef]
- Singh, A.; Ranawat, B.; Meena, R. Extraction and characterization of cellulose from halophytes: Next generation source of cellulose fibre. SN Appl. Sci. 2019, 1, 1311–1320. [Google Scholar] [CrossRef]
- Catanesi, M.; Caioni, G.; Castelli, V.; Benedetti, E.; D’angelo, M.; Cimini, A. Benefits under the Sea: The Role of Marine Compounds in Neurodegenerative Disorders. Mar. Drugs 2021, 19, 24. [Google Scholar] [CrossRef]
- Coulombier, N.; Jauffrais, T.; Lebouvier, N. Antioxidant Compounds from Microalgae: A Review. Mar. Drugs 2021, 19, 549. [Google Scholar] [CrossRef]
- Ganesan, K.; Kumar, K.S.; Rao, P.V.S. Comparative assessment of antioxidant activity in three edible species of green seaweed, Enteromorpha from Okha, Northwest coast of India. Innov. Food Sci. Emerg. Technol. 2011, 12, 73–78. [Google Scholar] [CrossRef]
- Pisoschi, A.M.; Pop, A. The role of antioxidants in the chemistry of oxidative stress: A review. Eur. J. Med. Chem. 2015, 97, 55–74. [Google Scholar] [CrossRef] [PubMed]
- Lobo, V.; Patil, A.; Phatak, A.; Chandra, N. Free radicals, antioxidants and functional foods: Impact on human health. Pharmacogn. Rev. 2010, 4, 118. [Google Scholar] [CrossRef] [PubMed]
- Shi, H.; Noguchi, N.; Niki, E. Comparative study on dynamics of antioxidative action of α-tocopheryl hydroquinone, ubiquinol, and α-tocopherol against lipid peroxidation. Free. Radic. Biol. Med. 1999, 27, 334–346. [Google Scholar] [CrossRef] [PubMed]
- Stanković, M.S.; Petrović, M.; Godjevac, D.; Stevanović, Z.D. Screening inland halophytes from the central Balkan for their antioxidant activity in relation to total phenolic compounds and flavonoids: Are there any prospective medicinal plants? J. Arid. Environ. 2015, 120, 26–32. [Google Scholar] [CrossRef]
- Bakhouche, I.; Aliat, T.; Boubellouta, T.; Gali, L.; Şen, A.; Bellik, Y. Phenolic contents and in vitro antioxidant, anti-tyrosinase, and anti-inflammatory effects of leaves and roots extracts of the halophyte Limonium delicatulum. S. Afr. J. Bot. 2021, 139, 42–49. [Google Scholar] [CrossRef]
- Neves, M.; Antunes, M.; Fernandes, W.; Campos, M.J.; Azevedo, Z.M.; Freitas, V.; Rocha, J.M.; Tecelão, C. Physicochemical and nutritional profile of leaves, flowers, and fruits of the edible halophyte chorão-da-praia (Carpobrotus edulis) on Portuguese west shores. Food Biosci. 2021, 43, 101288. [Google Scholar] [CrossRef]
- Farasat, M.; Khavari-Nejad, R.A.; Nabavi, S.M.B.; Namjooyan, F. Antioxidant Activity, Total Phenolics and Flavonoid Contents of some Edible Green Seaweeds from Northern Coasts of the Persian Gulf. Iran. J. Pharm. Res. IJPR 2014, 13, 163. [Google Scholar] [PubMed]
- Alkhalaf, M.I. Chemical composition, antioxidant, anti-inflammatory and cytotoxic effects of Chondrus crispus species of red algae collected from the Red Sea along the shores of Jeddah city. J. King Saud Univ.—Sci. 2020, 33, 101210. [Google Scholar] [CrossRef]
- Pinteus, S.; Silva, J.; Alves, C.; Horta, A.; Fino, N.; Rodrigues, A.I.; Mendes, S.; Pedrosa, R. Cytoprotective effect of seaweeds with high antioxidant activity from the Peniche coast (Portugal). Food Chem. 2017, 218, 591–599. [Google Scholar] [CrossRef]
- Dai, J.; Mumper, R.J. Plant Phenolics: Extraction, Analysis and Their Antioxidant and Anticancer Properties. Molecules 2010, 15, 7313–7352. [Google Scholar] [CrossRef]
- Goławska, S.; Łukasik, I.; Chojnacki, A.A.; Chrzanowski, G. Flavonoids and Phenolic Acids Content in Cultivation and Wild Collection of European Cranberry Bush Viburnum opulus L. Molecules 2023, 28, 2285. [Google Scholar] [CrossRef]
- Dias, M.C.; Pinto, D.C.G.A.; Silva, A.M.S. Plant Flavonoids: Chemical Characteristics and Biological Activity. Molecules 2021, 26, 5377. [Google Scholar] [CrossRef]
- Banjo, T.T.; Akinduti, P.A.; Banjo, T.O.; Kumar, V. Phytochemistry Extraction, Isolation, and Detection Techniques. In Phytochemistry; Apple Academic Press: Oakville, ON, Canada, 2018; Volume 1. [Google Scholar]
- Rosendal, E.; Claude, W.O.J.; Dicko, C.; Dey, E.S.; Bonzi-Coulibaly, Y.L. Geographical variation in total phenolics, flavonoids and antioxidant activities of Eucalyptus camaldulensis leaves in Burkina Faso. Afr. J. Pure Appl. Chem. 2020, 14, 51–59. [Google Scholar]
- Čagalj, M.; Skroza, D.; Razola-Díaz, M.D.C.; Verardo, V.; Bassi, D.; Frleta, R.; Mekinić, I.G.; Tabanelli, G.; Šimat, V. Variations in the Composition, Antioxidant and Antimicrobial Activities of Cystoseira compressa during Seasonal Growth. Mar. Drugs 2022, 20, 64. [Google Scholar] [CrossRef] [PubMed]
- Rodrigues, M.J.; Castañeda-Loaiza, V.; Monteiro, I.; Pinela, J.; Barros, L.; Abreu, R.M.V.; Oliveira, M.C.; Reis, C.; Soares, F.; Pousão-Ferreira, P.; et al. Metabolomic Profile and Biological Properties of Sea Lavender (Limonium algarvense Erben) Plants Cultivated with Aquaculture Wastewaters: Implications for Its Use in Herbal Formulations and Food Additives. Foods 2021, 10, 3104. [Google Scholar] [CrossRef]
- Rodrigues, M.J.; Monteiro, I.; Placines, C.; Castañeda-Loaiza, V.; Ślusarczyk, S.; Matkowski, A.; Pereira, C.; Pousão-Ferreira, P.; Custódio, L. The irrigation salinity and harvesting affect the growth, chemical profile and biological activities of Polygonum maritimum L. Ind. Crop. Prod. 2019, 139, 111510. [Google Scholar] [CrossRef]
- Castañeda-Loaiza, V.; Placines, C.; Rodrigues, M.J.; Pereira, C.; Zengin, G.; Uysal, A.; Jeko, J.; Cziáky, Z.; Reis, C.P.; Gaspar, M.M.; et al. If you cannot beat them, join them: Exploring the fruits of the invasive species Carpobrotus edulis (L.) N.E. Br as a source of bioactive products. Ind. Crop. Prod. 2020, 144, 112005. [Google Scholar] [CrossRef]
- Lowry, O.H.; Rosebrough, N.J.; Farr, A.L.; Randall, R.J. Protein Measurement with the Folin Phenol Reagent. J. Biol. Chem. 1951, 193, 265–275. [Google Scholar] [CrossRef] [PubMed]
- Re, R.; Pellegrini, N.; Proteggente, A.; Pannala, A.; Yang, M.; Rice-Evans, C. Antioxidant activity applying an improved ABTS radical cation decolorization assay. Free. Radic. Biol. Med. 1999, 26, 1231–1237. [Google Scholar] [CrossRef] [PubMed]
- Blois, M.S. Antioxidant Determinations by the Use of a Stable Free Radical. Nature 1958, 181, 1199–1200. [Google Scholar] [CrossRef]
- Benzie, I.F.F.; Strain, J.J. The Ferric Reducing Ability of Plasma (FRAP) as a Measure of “Antioxidant Power”: The FRAP Assay. Anal. Biochem. 1996, 239, 70–76. [Google Scholar] [CrossRef] [PubMed]
- Singleton, V.; Rossi, J. Colorimetry of Total Phenolic Compounds with Phosphomolybdic-Phosphotungstic Acid Reagents. Am. J. Enol. Vitic. 1965, 16, 144–158. [Google Scholar] [CrossRef]
- Zhishen, J.; Mengcheng, T.; Jianming, W. The determination of flavonoid contents in mulberry and their scavenging effects on superoxide radicals. Food Chem. 1999, 64, 555–559. [Google Scholar] [CrossRef]
- Carmo, M.A.V.d.; Granato, D.; Azevedo, L. Chapter Seven—Antioxidant/pro-oxidant and antiproliferative activities of phenolic-rich foods and extracts: A cell-based point of view. In Advances in Food and Nutrition Research; Academic Press: Cambridge, MA, USA, 2021; Volume 98, pp. 253–280. [Google Scholar]
- Medini, F.; Bourgou, S.; Lalancette, K.; Snoussi, M.; Mkadmini, K.; Coté, I.; Abdelly, C.; Legault, J.; Ksouri, R. Phytochemical analysis, antioxidant, anti-inflammatory, and anticancer activities of the halophyte Limonium densiflorum extracts on human cell lines and murine macrophages. S. Afr. J. Bot. 2015, 99, 158–164. [Google Scholar] [CrossRef]
- Asghar, M.H.N.; Ahmad, M.S.A. Ion homeostasis in differently adapted populations of Suaeda vera Forssk. ex J.F. Gmel. for phytoremediation of hypersaline soils. Int. J. Phytoremediation 2023, 25, 47–65. [Google Scholar] [CrossRef]
- Schile, L.M.; Callaway, J.C.; Parker, V.T.; Vasey, M.C. Salinity and Inundation Influence Productivity of the Halophytic Plant Sarcocornia pacifica. Wetlands 2011, 31, 1165–1174. [Google Scholar] [CrossRef]
- Zaman, S.; Bilal, M.; Du, H.; Che, S. Morphophysiological and Comparative Metabolic Profiling of Purslane Genotypes (Portulaca oleracea L.) under Salt Stress. BioMed Res. Int. 2020, 2020, 4827045. [Google Scholar] [CrossRef] [PubMed]
- Okudur, E.; Tuzel, Y. Effect of EC Levels of Nutrient Solution on Glasswort (Salicornia perennis Mill.) Production in Floating System. Horticulturae 2023, 9, 555. [Google Scholar] [CrossRef]
- Nwachukwu, I.D.; Sarteshnizi, R.A.; Udenigwe, C.C.; Aluko, R.E. A Concise Review of Current In Vitro Chemical and Cell-Based Antioxidant Assay Methods. Molecules 2021, 26, 4865. [Google Scholar] [CrossRef] [PubMed]
- Jiménez-Estrada, M.; Velázquez-Contreras, C.; Garibay-Escobar, A.; Sierras-Canchola, D.; Lapizco-Vázquez, R.; Ortiz-Sandoval, C.; Burgos-Hernández, A.; Robles-Zepeda, R.E. In vitro antioxidant and antiproliferative activities of plants of the ethnopharmacopeia from northwest of Mexico. BMC Complement. Altern. Med. 2013, 13, 12. [Google Scholar] [CrossRef] [PubMed]
- Floegel, A.; Kim, D.-O.; Chung, S.-J.; Koo, S.I.; Chun, O.K. Comparison of ABTS/DPPH assays to measure antioxidant capacity in popular antioxidant-rich US foods. J. Food Compos. Anal. 2011, 24, 1043–1048. [Google Scholar] [CrossRef]
- Arias, A.; Feijoo, G.; Moreira, M.T. Exploring the potential of antioxidants from fruits and vegetables and strategies for their recovery. Innov. Food Sci. Emerg. Technol. 2022, 77, 102974. [Google Scholar] [CrossRef]
- Hwang, S.-J.; Lee, J.-H. Comparison of antioxidant activities expressed as equivalents of standard antioxidant. Food Sci. Technol. 2023, 43, e121522. [Google Scholar] [CrossRef]
- Chaires-Martinez, L.; Monroy-Reyes, E.; Bautista-Bringas, A.; Jiménez-Avalos, H.A.; Sepulveda-Jiménez, G. Determination of Radical Scavenging Activity of Hydroalcoholic and Aqueous Extracts from Bauhinia divaricata and Bougainvillea spectabilis Using the DPPH Assay. Pharmacogn. Res. 2009, 1, 238–244. [Google Scholar]
- Korzeniowska, K.; Łęska, B.; Wieczorek, P.P. Isolation and determination of phenolic compounds from freshwater Cladophora glomerata. Algal Res. 2020, 48, 101912. [Google Scholar] [CrossRef]
- Farvin, K.H.S.; Jacobsen, C. Phenolic compounds and antioxidant activities of selected species of seaweeds from Danish coast. Food Chem. 2013, 138, 1670–1681. [Google Scholar] [CrossRef] [PubMed]
- Qasim, M.; Abideen, Z.; Adnan, M.Y.; Gulzar, S.; Gul, B.; Rasheed, M.; Khan, M.A. Antioxidant properties, phenolic composition, bioactive compounds and nutritive value of medicinal halophytes commonly used as herbal teas. S. Afr. J. Bot. 2017, 110, 240–250. [Google Scholar] [CrossRef]








Disclaimer/Publisher’s Note: The statements, opinions and data contained in all publications are solely those of the individual author(s) and contributor(s) and not of MDPI and/or the editor(s). MDPI and/or the editor(s) disclaim responsibility for any injury to people or property resulting from any ideas, methods, instructions or products referred to in the content. |
© 2024 by the authors. Licensee MDPI, Basel, Switzerland. This article is an open access article distributed under the terms and conditions of the Creative Commons Attribution (CC BY) license (https://creativecommons.org/licenses/by/4.0/).
Share and Cite
Ferreira, I.J.; Duarte, A.R.C.; Diniz, M.; Salgado, R. Unveiling the Antioxidant Potential of Halophyte Plants and Seaweeds for Health Applications. Oxygen 2024, 4, 163-180. https://doi.org/10.3390/oxygen4020011
Ferreira IJ, Duarte ARC, Diniz M, Salgado R. Unveiling the Antioxidant Potential of Halophyte Plants and Seaweeds for Health Applications. Oxygen. 2024; 4(2):163-180. https://doi.org/10.3390/oxygen4020011
Chicago/Turabian StyleFerreira, Inês João, Ana Rita C. Duarte, Mário Diniz, and Ricardo Salgado. 2024. "Unveiling the Antioxidant Potential of Halophyte Plants and Seaweeds for Health Applications" Oxygen 4, no. 2: 163-180. https://doi.org/10.3390/oxygen4020011
APA StyleFerreira, I. J., Duarte, A. R. C., Diniz, M., & Salgado, R. (2024). Unveiling the Antioxidant Potential of Halophyte Plants and Seaweeds for Health Applications. Oxygen, 4(2), 163-180. https://doi.org/10.3390/oxygen4020011

