Abstract
We follow the assumption that relativistic causality is a key element in the structure of quantum mechanics and integrate the speed of light, c, into quantum mechanics through the postulate that the (reduced) Planck constant is a function of c with a leading order of the form for a constant and We show how the limit implies classicality in quantum mechanics and explain why p has to be larger than . As the limit breaks down both relativity theory and quantum mechanics, as followed by the proposed model, it can then be understood through similar conceptual physical laws. We further show how the position-dependent speed of light gives rise to an effective curved space in quantum systems and show that a stronger gravitational field implies higher quantum uncertainties, followed by the varied We then discuss possible ways to find experimental evidence of the proposed model using set-ups to test the varying speed of light models and examine analogies of the model based on electrons in semiconductor heterostructures.
1. Introduction
The speed of light in a vacuum, plays a fundamental role in modern physics. In relativity theory, c is not just the speed at which light propagates but also the maximum speed at which information or matter can travel, shaping the structure of spacetime itself. It defines the light cone, which constructs the concept of causality, which is related to the possible influence of one event on another. In quantum field theory, which is the relativistic version of quantum mechanics, c is a crucial element, e.g., it governs the propagation of electromagnetic waves and the interactions of particles, ensuring that no information or particle can exceed this speed limit, preserving causality and the relativistic framework within which quantum phenomena occur. Thus, c serves as a bridge between the macroscopic world described by general relativity and the microscopic realm of quantum mechanics. Still, general relativity and quantum mechanics are distinguished theories with a dramatic conceptual and empirical gap.
While at first sight, standard (non-relativistic) quantum mechanics is not directly related to the speed of light c, it has been suggested that quantum mechanics is built up from two fundamental axioms: (1) relativistic causality and (2) non-locality [1,2,3,4]. Relativistic causality ensures that cause-and-effect relationships are maintained within the framework of special relativity, with no information or influence traveling faster than the speed of light c. This principle preserves the consistent sequence of events across different reference frames, preventing causal paradoxes. Non-locality implies the influence of one event on another event at a distance, without any direct local interaction. Quantum mechanics, through entanglement, is non-local. However, quantum entanglement does not violate relativistic causality because no information or matter travels faster than the speed of light, c. This is due to the existence of quantum uncertainties and the probabilistic nature of quantum mechanics, which play a fundamental role in quantum mechanics. In special relativity, when is small, due to the small velocity v of the particle, the relativistic formulas go back to classical (Newtonian) mechanics. We note that as long as c is finite, there is a speed limit in the universe, ensuring that formulas work well within this constraint. Taking implies a universe with no speed limit, similar to Newtonian mechanics, and the absence of relativistic causality, as proposed by Aharonov et al. for the structure of quantum mechanics. For instance, in classical Newtonian gravity, we have , and so a change in distance between two massive objects with masses results in an immediate change in the force, demonstrating a non-local effect that contradicts the assumption of a finite speed limit.
The proposed approach of considering relativistic causality as an essential part of the structure of quantum mechanics motivates us to find the way in which the speed of light c is implicitly constructed in quantum mechanics. Then, in the limit , we have neglected and so while in special relativity, the relativistic correction becomes neglected, here, there will also be a direct influence on the structure of quantum mechanics, much like in the case of relativity theory, which breaks down in such a limit. Thus, in this limit, both theories are dramatically modified. In the following, we propose a model for integrating c into the foundations of quantum mechanics and examine its shape, implications, and possible ways to find experimental evidence of the proposed model.
2. Constructing Quantum Mechanics through the Speed of Light
To integrate the idea that relativistic causality is an essential part of the structure of quantum mechanics, we have to consider that the speed of light, c, is taken into account in the structure of (non-relativistic) quantum mechanics. Following the seminal idea of Paul Dirac in which fundamental constants of nature, typically regarded as immutable, could actually change over cosmic timescales, over the years, various attempts have been made to explore Planck’s constant as a variable that is composed of other more fundamental structures [5,6,7]. In the following, we show that such integration is naturally fulfilled when postulating that the Planck constant depends on the speed of light. The simplest form of the proposed construction is followed by the leading order of the form
where is some constant that does not depend on c, and
The restriction is followed by the idea that as i.e., we wish to have a classical behavior of the system, much similar to the standard case of quantum mechanics when having For example, the photon energy is given by
where is the photon’s wavelength, and we get a dramatic shift from current theory, where now, the photon energy depends on the inverse of the speed of light, .
Black-body radiation refers to the electromagnetic radiation emitted by a perfect black body, an idealized object that absorbs all incident radiation. The spectrum of this radiation depends solely on the body’s temperature and follows Planck’s law, which describes how the intensity of radiation varies with wavelength. Following Planck’s law, the spectral energy density of the radiation can be expressed in terms of angular wavelength, of the radiation,
where T is the body’s temperature and is the Boltzmann constant. Additional examples are the fine structure constant, which is then given by and the Planck mass , where G is the Newton gravitational constant.
Following the formula for the photon energy (2), as well as (3), we see that in the case as , the photon energy is not negligible, i.e., the quantization is not negligible in the classical limit, which contradicts both theory and experiment. Furthermore, in the case of the limit provides an absurd result in which the photon energy blows up in the classical limit. This provided us the motivation behind considering the proposed form (1) for
We can find additional restriction to the form of following cosmological consideration, as followed by the Hawking radiation temperature. In particular, suppose we have a black hole of mass Then, the Hawking radiation temperature is given by where G is the gravitational constant, and is the Boltzmann constant. The Bekenstein–Hawking luminosity of the black hole takes the form , and the time until the black hole dissipates is given by If we assume that G and do not depend on unlike the proposed we see that in order that as we would have a vanished similar to the standard case where the (reduced) Planck constant goes to zero, then we should have otherwise For the Bekenstein–Hawking luminosity, the condition is more restrictive with For such a restriction, ,we have the sensible relations and also which means that when there is no Hawking radiation temperature and no luminosity the black hole will not dissipate. We do not, however, consider as the general restriction on the form of since it relies on the assumption that G is not a function of the speed of light, In the literature, various models suggest that G is, in fact, a function of c [8].In this case, the restriction may not be crucial since may give the relations.
Postulating (1) allows us to rewrite the commutation relations of position, , and momentum, , of quantum mechanics as
with the corresponding position–momentum uncertainty relations
Following the postulate (1), the structure of quantum mechanics is shaped by the speed limit This allows us to consider the limit cases and for obtaining a breakdown of quantum mechanics.
3. The Classical Limit
When we have a breakdown of relativity theory into Newtonian mechanics with vanished relativistic effects such as time dilation and length contraction; this also implies the reduction of general relativity into Newtonian gravity and no spacetime curvatures. The limit directly implies a separation between space and time. Instead of a unified spacetime, space and time would become entirely distinct and non-interacting entities.
As will be shown below, in quantum mechanics, followed by our proposed formulation (5), the limit implies a classical limit of the quantum system where one can measure both position and momentum in arbitrary precision and the quantum system is reduced into a classical system.
Let be some constant in units of speed. We can rescale the observables and such that (5) is reduced into
and since is a unit-less quantity, and have the same units of and
We thus have the uncertainty relations
which is the original Heisenberg uncertatinty relations when is the value of the Planck constant,
We can find a mathematical equivalence to (7) while keeping the standard observables by finding suitable wavefunction that are scaled appropriately, such that the uncertainties of the position and momentum are unchanged due to the scaling,
for that does not depend on A suitable is the scaled wavefunction
that gives
and
The classicality of the quantum particle is achieved when as followed from the uncertainty relations (5)
The limit directly provides us a collapse of the scaled wavefunction such that its probability density function, , describes a single outcome,
Taking, for example, a Gaussian state,
in the limit of classicality, we obtain the delta function
describing degenerate random variables with a single (unknown) random outcome
As an additional example, we can consider the case of a particle in a superposition state. Suppose we have a single quantum particle in one spatial dimension that involves quantum interference between two states. Such an experiment essentially mimics the double-slit experiment. We consider a quantum particle that is in a superposition state of two identical spatially separated wavepackets that are moving toward one another, with their initial state
where is a Gaussian located around the position and is the (constant) relative phase between the wavepackets.
The wavefunction is then given by
In the classical limit, after some calculations, the density function takes the form
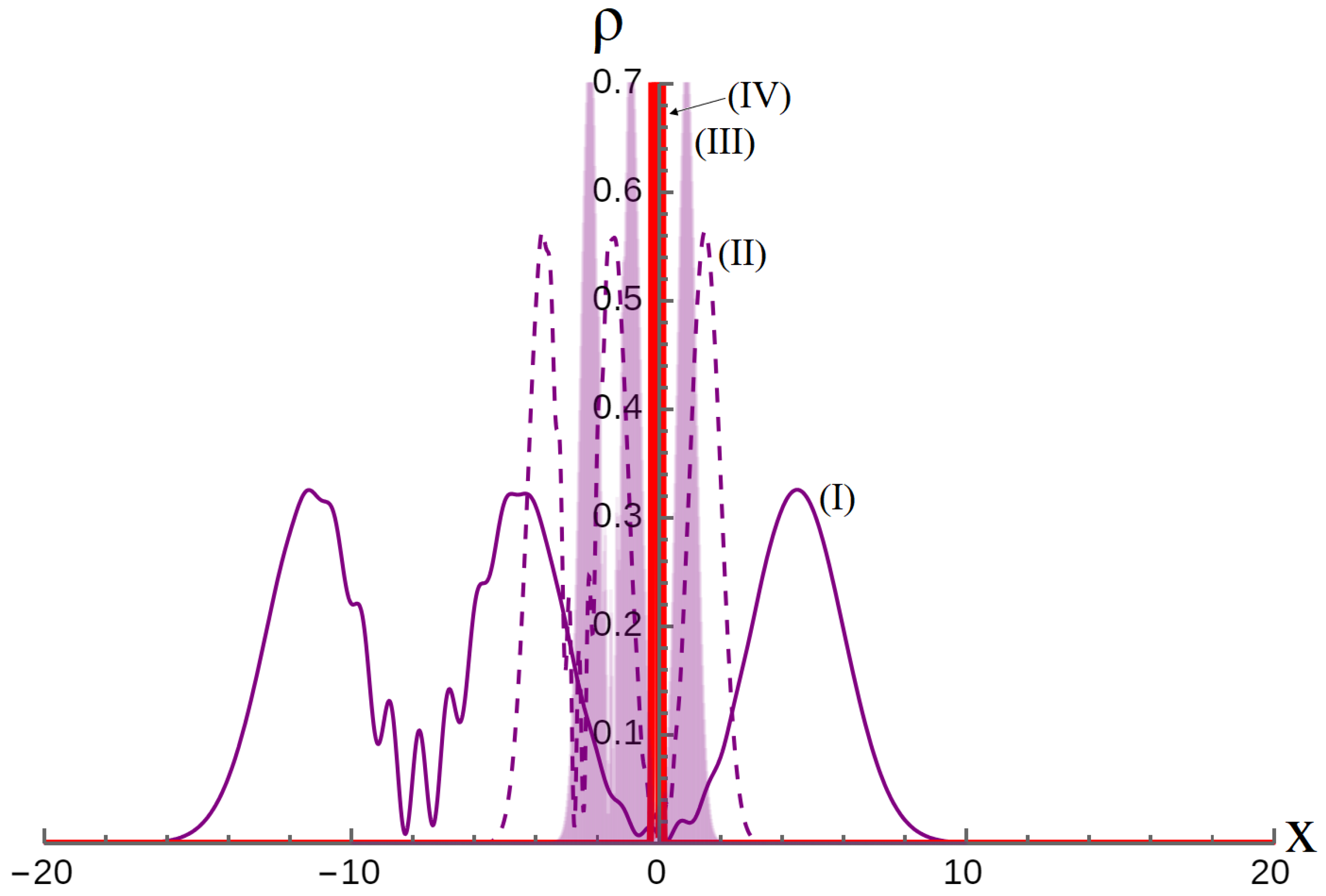
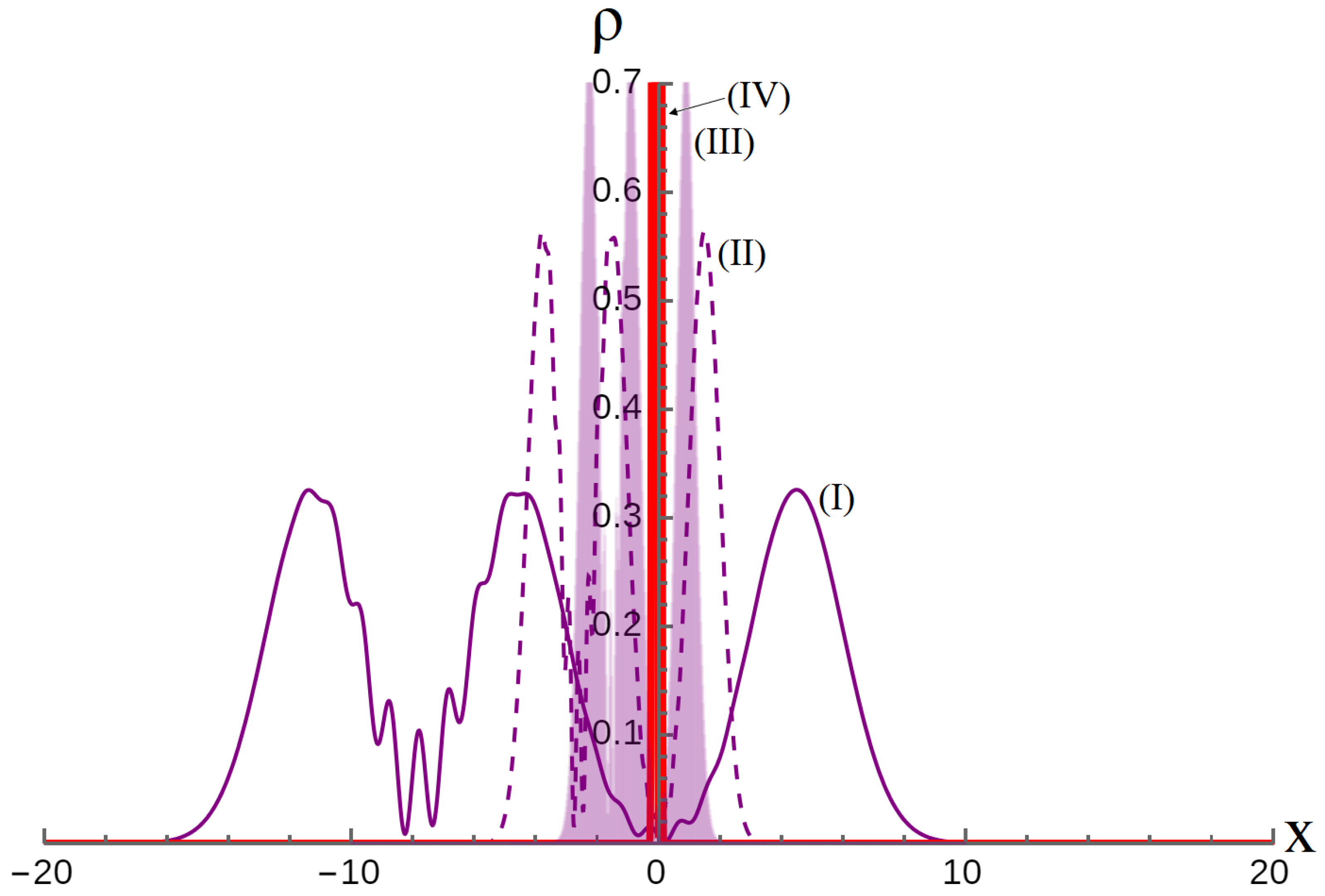
The following Figure 1 illustrates the proposed collapse in the classical limit for a particle in a superposition of three Gaussian wavepackets.
Figure 1.
A superposition of three Gaussian wavepackets with relative phases. As c increases (I–IV), a corresponding reduction in the standard deviation of ensues, resulting in a delta function.
In the limit the uncertainty relations (5) undergo a dramatic transformation. The Heisenberg uncertainty principle, which sets a fundamental limit on the precision with which we can simultaneously know the position and momentum of a particle, would imply that the product of these uncertainties becomes infinitely large. Consequently, the ability to precisely measure both the position and momentum of a particle simultaneously would deteriorate drastically. This means that in such a scenario, any attempt to measure a finite precision of position would result in a complete uncertainty in momentum and vice versa. Following the same steps as given previously, we can consider the wavefunction (9), and with it, the density function Then, in the limit we have a divergent scale parameter which implies a divergent variance (uncertainty) of the density function, implying a uniform-like behavior where any value is equally probable. We can thus say that the quantum system has no physical property of position when measuring accurately the momentum, and vice versa.
In relativity theory, the limit implies a static physical system. This can be seen through the spacetime metric which then becomes simply and so time is not part of the dimensions of the theory. However, in quantum mechanics with the limit we can still describe the system as a dynamical system if we attribute time to being merely a parameter in the system. This well emphasizes the difference between time in general relativity, which is a dimension, and time in (non-relativistic) quantum mechanics, which is merely a parameter.
We can now summarize the effect of the speed of light on both quantum mechanics (QM) and relativity theory (RT) in the following Table 1.
Table 1.
The role of c in shaping QM and RT and their relation to classical mechanics (CT).
By dismissing the case as unphysical, we are left with the case of finite speed limit QM and RT preserve the same general structure besides numerical differences, where QM and RT still have fundamental conceptual differences between the models. However, in the case , as followed from the proposed framework with (1), both QM and RT are described by CM and have the same conceptual physical structure, where general relativity also reduces to CM of gravity.
4. Effective Curved Geometry in Quantum Systems for Position-Dependent Speed Light
In 1911, Einstein first proposed a variable speed of light theory in order to understand gravity (see [8]). When taking the position-dependent speed of light that depends on the distribution of masses in the universe, the theory can mimic spacetime curvature, and so following this model, gravity is followed by , and one only observes an effective curved geometry near a gravitational field [8,9]. Einstein concluded that light rays bend in both accelerated frames and those affected by gravity. He proposed that masses could alter the speed of light near them, analogous to how a medium slows down light in optics. During the years since the beginning days of general relativity, it was proposed that instead of curved geometry, one can deal with gravity following a position-dependent speed of light, e.g., in [9,10] it was proposed that the speed of light of an object is a function of the distribution of the massive objects in the universe, following the form
where is a constant velocity at an infinite distance, for a system that contains N massive objects with masses and distance from some location, respectively. Equation (17) suggests that for higher mass, we have a lower speed of light, . Instead of (17), we can consider a continuous distribution of masses, defined by and so we can write (see, again, [10])
Let us consider a speed of light that depends on position, . In this case, followed by the proposed model (1), instead of the (reduced) Planck constant we have a position-dependent Planck constant (pdp)
In standard quantum mechanics, the Planck constant shapes the structure of quantum systems, e.g., it shapes the uncertainty relations between conjugate operators as given earlier, and the unitary evolution of the quantum state e.g., for the non-relativistic Hamiltonian where for the momentum operators Let us now examine the case where we have a pdp, i.e., instead of we have For obtaining the equations of motion for such quantum particles with pdp, we first notice that does not commute with the momentum of the particle
Thus, there is no unique way to substitute in the Hamiltonian. In the following, we show that the substitution of in the Hamiltonian and the quantum system leads to the Schrödinger equation in an effective curved space and a modified version of the position-momentum uncertainty relations. Similar to the case of position-dependent mass, there is an ambiguity in defining the Hamiltonian of the system. Following an approach suggested in [11] in the case of position-dependent mass, known as the von Roos model, we propose to consider the following form for the Hamiltonian
such that The Hamiltonian (19) can then be transformed into (see [12])
for the (effective) deformed momentum operator
We can prove it using some algebraic calculations,
which leads to the Hamiltonian
where The commutation relation of the deformed momentum is given by
This implies a modified version of the position-momentum uncertainty relation . We thus see that the expected value of dictates the uncertainty relations in the quantum system. Since is non-negative, there is no non-trivial quantum state such that vanishes, and so, to achieve classicality, we need a vanished which is obtained when we have a vanished pdp The unitary evolution is given by
which gives the extended Schrödinger equation
Let us now see how the proposed model describes an effective curved space.
We consider a curved geometry of the form
for Then, the corresponding Laplacian is where The Hamiltonian in this curved space with standard quantum mechanics with Planck constant takes the form
where U is the potential. Then, for a wavefunction we have
Taking the transformation and after some algebraic calculations, we obtain
with Equation (30) establishes a relation between the effective curved geometry and the structure of quantum mechanics through the dependency of ℏ on We note that following [12], when U and ℏ depend on only through the Ricci scalar is given by
Following the original idea of the varying speed of light, a higher gravitational field implies a lower value of . Following the proposed model, in which , this means that for stronger gravitational field we have a higher value of
Thus, quantum uncertainties become higher for stronger gravitational fields while the unitarity property of the quantum particles still holds. In the absence of a gravitational field, we have , which implies on , giving the standard structure of quantum mechanics.
5. Experimental Evidence and Analogical Realization
Varying speed of light (VSL) theories refer to theories that propose that the speed of light in a vacuum may have been different in the early universe or could have varied under certain conditions [10,13,14]. These theories aim to address cosmological puzzles such as the horizon problem, which questions how regions of the universe that are now widely separated could have reached thermal equilibrium if light traveled at the same speed throughout cosmic history. By allowing the speed of light to vary, VSL models offer alternative explanations to the standard inflationary model, potentially leading to new insights into the nature of space, time, and the fundamental constants of physics. It is still unknown whether the speed of light is an actual variable that can vary. If the speed of light changes over time, it could introduce ’dispersive self-energies’, where a particle’s energy depends on its wave frequency. This may result in effects such as unstable energy levels in atoms, faster decay rates of excited states, and potential violations of established physical principles. There is growing literature on VSL theories, and possible experimental setups have been proposed to test such variation of c (see, e.g., [14]). Following the proposed model in which the Planck constant is a function of the speed of light in the form (1), any VSL model implies a re-shaping of quantum mechanics, followed by a modification of the uncertainty relations. For instance, in the case of time-varying speed of light , the uncertainty relations (5) will be and so the lower bound of the position-momentum precision is also time-dependent, followed by the function
Analogies in physics are powerful tools that allow us to explore cosmological phenomena using more accessible or experimentally feasible systems. For example, Bose–Einstein condensates are used to create analogies for studying spontaneous Hawking radiation [15]. Such analogies are common and invaluable for realizing and understanding physical systems through the behavior of other systems. Besides direct experiments for exploring VSL, we can obtain analogies of VSL to explore the direct implication on the structure of quantum mechanics by exploring an electron in semiconductor heterostructures.
Semiconductor heterostructures (SH) represent advanced materials consisting of carefully arranged different semiconductor materials aimed at generating distinctive properties and functionalities. By combining diverse semiconductors, we can engineer and regulate the electronic characteristics of the materials (see [11,16,17,18]). This precise manipulation allows the development of structures exhibiting tailored charge carrier behavior, energy levels, and optical properties. When a charged particle (e.g., electron/hole) is within an SH, it acquires a position-dependent effective mass (PDM), . Due to the non-commutation of position-dependent mass and momentum , there is no singular form of Hamiltonian that incorporates the position-dependent mass. A general form for the Hermitian Hamiltonian of the particles in the SH is given by (see, again, [11])
Here, where is a constant in units of mass, is a (unitless) continuous function that describes the spatial distribution of mass, and V is the external potential. The set of constant parameters satisfy the linear constraint Choosing the effective momentum operator is given by Then, our position-momentum uncertainty relation is given by
as followed by the effective VSL . We can, thus, obtain a suitable SH such that is extremely small, which obtains an analogy to the re-shaping of quantum mechanics followed by the (effective) spatial-dependent VSL. Specific technological heterostructures that can be used are, for example, SnS2/MoS2, Co9S8-NiCo2S4, and Cu(OH)2@ Ni0.66Co0.34-LDH (see, e.g., [19,20,21]).
6. Discussion
We have proposed to integrate the idea that relativistic causality is a fundamental element in shaping quantum mechanics by considering the Planck constant as a function of the speed of light We have shown that following the proposed form of as quantum mechanics is reduced to classical mechanics while relativity theory also reduces to classical mechanics, and so, both theories have the same conceptual structures. The proposed model has been considered for the case of quantum mechanics, which includes non-relativistic quantum mechanics, where the velocity of the particle can exceed, in general, the speed of light. Still, we focused on the possible role of c in shaping the fundamental behavior of quantum systems, regardless of whether their dynamics are relativistic or not. Thus, the proposed model suggests that even in the case of non-relativistic quantum mechanics, the speed of light plays an essential role in quantum systems. As a mathematical limit, taking is considered a pathway toward the classical behavior of quantum systems. Meanwhile, in the original model of both the (relativistic) photon energy and the Heisenberg uncertainty relations achieved classicality at the same rate of ℏ. Here, for the photon energy, the limit implies growing to classicality asymptotically as while in the case of the Heisenberg uncertainty relations (5), the classicality is achieved faster with Further, we have shown how the position-dependent speed of light gives rise to effective curved geometry in the structure of quantum systems. For future research, we propose to explore quantum field theories with the underlying modification of the Planck constant in the form (1). Such a model can have direct implications for understanding particle interactions and also obtaining new ways to interpret renormalization techniques. We suggested that VSL models can confirm the proposed model by observing whether a modification in the speed of light in a physical system will also provide a change in the structure of quantum mechanics, e.g., improving the precision of measurement by breaking through the barrier proposed by the Heisenberg uncertainty relations. We propose to explore this in future research by exploring various VSL models in detail and how they can shape the foundations of quantum mechanics.
Funding
This research received no external funding.
Data Availability Statement
No new data were created or analysed in this study. Data sharing is not applicable to this article.
Conflicts of Interest
The author declares no conflict of interest.
References
- Aharonov, Y.; Rohrlich, D. Quantum Paradoxes: Quantum Theory for the Perplexed; John Wiley & Sons: Hoboken, NJ, USA, 2008. [Google Scholar]
- Rohrlich, D. PR-box correlations have no classical limit. In Quantum Theory: A Two-Time Success Story: Yakir Aharonov Festschrift; Springer: Milan, Italy, 2014; pp. 205–211. [Google Scholar]
- Rohrlich, D.; Popescu, S. Nonlocality as an axiom for quantum theory. arXiv 1995, arXiv:quant-ph/9508009. [Google Scholar]
- Horodecki, P.; Ramanathan, R. The relativistic causality versus no-signaling paradigm for multi-party correlations. Nat. Commun. 2019, 10, 1701. [Google Scholar] [CrossRef] [PubMed]
- Mangano, G.; Lizzi, F.; Porzio, A. Inconstant Planck’s constant. Int. J. Mod. Phys. A 2015, 30, 1550209. [Google Scholar] [CrossRef]
- James Curran, M. The hidden dynamics of the Planck constant. Phys. Essays 2016, 29, 181–191. [Google Scholar] [CrossRef]
- Magueijo, J. Covariant and locally Lorentz-invariant varying speed of light theories. Phys. Rev. D 2000, 62, 103521. [Google Scholar] [CrossRef]
- Einstein, A. Über den Einfluß der Schwerkraft auf die Ausbreitung des Lichtes. Ann. Phys. 1911, 35, 898–908. [Google Scholar] [CrossRef]
- Unzicker, A. A look at the abandoned contributions to cosmology of Dirac, Sciama, and Dicke. Ann. Phys. 2009, 521, 57–70. [Google Scholar] [CrossRef]
- Unzicker, A.; Preuss, J. A Machian Version of Einstein’s Variable Speed of Light Theory. arXiv 2015, arXiv:1503.06763. [Google Scholar]
- von Roos, O. Position-dependent effective masses in semiconductor theory. Phys. Rev. B 1983, 27, 7547. [Google Scholar] [CrossRef]
- Quesne, C.; Tkachuk, V.M. Deformed algebras, position-dependent effective masses and curved spaces: An exactly solvable Coulomb problem. J. Phys. A Math. Gen. 2004, 37, 4267. [Google Scholar] [CrossRef]
- Kragh, H.S. Cosmologies with varying speed of light: A historical perspective. Stud. Hist. Philos. Sci. B Stud. Hist. Philos. Mod. Phys. 2006, 37, 726–737. [Google Scholar] [CrossRef]
- Magueijo, J. New varying speed of light theories. Rep. Prog. Phys. 2003, 66, 2025. [Google Scholar] [CrossRef]
- Steinhauer, J. Observation of quantum Hawking radiation and its entanglement in an analogue black hole. Nat. Phys. 2016, 12, 959–965. [Google Scholar] [CrossRef]
- Einevoll, G.T.; Hemmer, P.C. The effective-mass Hamiltonian for abrupt heterostructures. J. Phys. C Solid State Phys. 1988, 21, L1193. [Google Scholar] [CrossRef]
- Shushi, T. An appearance of classical matter from the self-organizing process of quantum systems. Europhys. Lett. 2023, 141, 64001. [Google Scholar] [CrossRef]
- Valencia-Torres, R.; Avendaño, J.; Bernal, A.; García-Ravelo, J. Energy spectra of position-dependent masses in double heterostructures. Phys. Scr. 2020, 95, 075207. [Google Scholar] [CrossRef]
- Wang, L.; Ma, Y.; Yang, M.; Qi, Y. One-pot synthesis of 3D flower-like heterostructured SnS2/MoS2 for enhanced supercapacitor behavior. RSC Adv. 2015, 5, 89069–89075. [Google Scholar] [CrossRef]
- Gong, J.; Luo, W.; Zhao, Y.; Xie, M.; Wang, J.; Yang, J.; Dai, Y. Co9S8/NiCo2S4 core-shell array structure cathode hybridized with PPy/MnO2 core-shell structure anode for high-performance flexible quasi-solid-state alkaline aqueous batteries. Chem. Eng. 2022, 434, 134640. [Google Scholar] [CrossRef]
- Wu, H.; Zhang, X.; Zhang, H.; Zhu, W.; Li, S. Design binder-free Ni0.66Co0.34-LDH heterostructures as electrode material for supercapacitor application. J. Solid State Chem. 2020, 282, 121073. [Google Scholar] [CrossRef]
Disclaimer/Publisher’s Note: The statements, opinions and data contained in all publications are solely those of the individual author(s) and contributor(s) and not of MDPI and/or the editor(s). MDPI and/or the editor(s) disclaim responsibility for any injury to people or property resulting from any ideas, methods, instructions or products referred to in the content. |
© 2024 by the author. Licensee MDPI, Basel, Switzerland. This article is an open access article distributed under the terms and conditions of the Creative Commons Attribution (CC BY) license (https://creativecommons.org/licenses/by/4.0/).
