Next Article in Journal
Analysis of Energy Requirements for Massive Integration of Electric Buses in Ambato City, Ecuador
Previous Article in Journal
Real-Time Cyber–Physical Power System Testbed for International Electrotechnical Commission 61850 Generic Object-Oriented Substation Event Transfer Time Measurements
 
 
Font Type:
Arial Georgia Verdana
Font Size:
Aa Aa Aa
Line Spacing:
Column Width:
Background:
Proceeding Paper

The Analysis of Service Convergence in an Optical Access Network †

by
Erick Cifuentes
1,*,
David Mosquera
1,*,
Christian Tipantuña
1,*,
Berenice Arguero
2,* and
Germán V. Arevalo
2,*
1
Faculty of Electrical and Electronic Engineering (FIEE), Escuela Politécnica Nacional, Quito 170143, Ecuador
2
Telecommunications Engineering Career, Salesian Polytechnic University, Quito 170517, Ecuador
*
Authors to whom correspondence should be addressed.
Presented at the XXXII Conference on Electrical and Electronic Engineering, Quito, Ecuador, 12–15 November 2024.
Eng. Proc. 2024, 77(1), 27; https://doi.org/10.3390/engproc2024077027
Published: 18 November 2024
(This article belongs to the Proceedings of The XXXII Conference on Electrical and Electronic Engineering)

Abstract

In recent years, the increasing number of internet-connected devices has exceeded the capacity of fourth-generation (4G) cellular networks, leading to the development of fifth-generation (5G) technology, designed to offer higher speeds, greater bandwidth, and lower latency. In this context, this study evaluated Universal Filtered Multi-Carrier (UFMC) and Generalized Frequency Division Multiplexing (GFDM) techniques, implementing them in a radio-over-fiber (RoF) system and a Next-Generation Radio Access Network (NG-RAN) fronthaul link, and compared the results using communication quality metrics such as bit error rate (BER). Additionally, through signal generation and processing in Matlab, the performance of UFMC and LTE signals was analyzed, confirming that simultaneous transmission over an RoF channel allows for efficient signal separation in the frequency domain, with the UFMC giving power to LTE.

1. Introduction

The rapid advancement of communication technologies has significantly transformed digital interactions, increasing the demand for faster and more efficient networks. Optical access networks play a crucial role in providing reliable, high-speed connectivity. However, as the demand grows to integrate services like LTE and 5G, the challenge of converging these services into a unified infrastructure that maximizes resource efficiency becomes evident. This convergence, while beneficial, requires overcoming technical complexities due to the different bandwidth, latency, and jitter demands that each service imposes. It is essential, therefore, that passive optical networks (PONs) are kept up-to-date to effectively support the demands of emerging technologies, particularly within the framework of the fifth generation of mobile networks [1,2].
Converging services in an optical network requires not only a robust infrastructure, but also a thorough understanding of the underlying technologies, such as LTE, 5G, and filtered multi-carrier modulation waveforms, such as the UFMC and GFDM. These waveforms, which offer superior spectral efficiency, are key to the success of the 5G network, as they enable more efficient and flexible data transmission. In addition, RoF architecture and PON networks provide the necessary technological foundations for the transmission and distribution of signals over optical access networks, facilitating the integration of multiple services on a single channel. This approach is crucial to address growing connectivity demands, enabling optical networks not only to meet current needs, but also to anticipate and adapt to future technological challenges [3].
This paper focuses on the analysis of service convergence within an optical access network, using both the simulation and practical implementation of an optical link capable of transmitting and receiving LTE and UFMC signals. Using advanced tools such as Matlab 2024a and OptSim, simulation scenarios were developed that replicate real transmission conditions in PONs. This study not only seeks to optimize bandwidth usage and improve quality of service, but also to contribute to the evolution of optical access networks toward more adaptive and efficient infrastructures. The results obtained, based on key metrics such as the BER, signal-to-noise ratio (SNR), and EVM, provide a comprehensive view of network performance, enabling a better experience for end users in an increasingly digitized environment.

2. Related Works

Table 1 presents an analysis of several recent related works. Although there have been advances in this field, these studies have not implemented private gateway monitoring in the way this article addresses.

3. Methodology

The methodology of this study is based on the implementation and evaluation of advanced technologies in an optical network environment using real equipment. This practical approach accurately replicates 5G network conditions, focusing on service convergence through the integration of UFMC, GFDM, and LTE technologies. The process began with the setup of an experimental infrastructure that included RoF modules and PON elements, chosen for their ability to support the high performance required by next-generation networks. To integrate the environments of signal generation, transmission, and processing, an Arbitrary Waveform Generator (AWG) was used for transmission, and a Digital Signal Analyzer (DSA) was employed for reception [6].
The interaction between the waveform generation and implementation environments is depicted in Figure 1. The transmitter block refers to the transmission stage of each system. For generating UFMC, GFDM, and LTE signals, parameters such as modulation scheme, number of blocks, and number of sub-carriers must be configured. The optical channel block illustrates the physical implementation of the optical channel, where signals enter a PON. In this step, the AWG takes the signal generated in Matlab 2024a and modulates it into an RF signal. This RF signal, combined with an intensity modulator and an optical laser, is converted into an optical signal. The optical signal then passes through the fiber optic network and a variable attenuator to adjust its power before entering a photodetector, which converts it back into an electrical signal. The receiver block shows the reception of signals that have traversed the optical channel, where demodulation of the signals is performed to calculate the BER.
Network performance analysis was performed by collecting data through multiple test iterations. These tests were conducted under different load conditions and network configurations, enabling a comprehensive assessment of the feasibility and effectiveness of UFMC-GFDM comparison and LTE-UFMC convergence in an optical network environment. The data obtained were analyzed with advanced network monitoring tools, focusing on metrics such as the BER and EVM. These metrics are essential to determine the quality of the transmitted and received signal, and their analysis allowed for the identification of optimal configurations to maximize network performance. Using real equipment instead of simulations increases the validity of the results, reflecting actual operating conditions in a converged optical network. This approach not only allows for measuring the performance of the technologies under study but also helps identify potential limitations and areas for improvement in the implementation of 5G networks [7].
To construct the optical channel, both equipment and passive components are required. Figure 2 shows the connection diagram of these components, which form the RoF system used to transmit the UFMC and GFDM signals. In the optical network terminal (ONT) section, there is an AWG, which is loaded with the waveform generated in Matlab 2024a using Agilent Control Utility software. A continuous wave (CW) laser is also included, with its input connected to the optical intensity modulator through the first port using an FC/APC connector. A coaxial cable is then connected from the SMA port of channel 1 at one end to the RF input of the modulator at the other end. Additionally, a DC power supply is used to power the optical modulator with a voltage of 3.2 V. In the optical distribution network (ODN), a 20 km reel of G.652D optical fiber, which is manufactured by Corning in the Corning, NY, USA, is used. It has FC/APC connectors on both ends. The first connector is coupled to the output of the Mach–Zehnder-type optical modulator via an FC/APC connection, while the second is inserted into a port of the variable attenuator. The Mach-Zehnder modulator is manufactured by Thorlabs in the USA. The FC/APC end of an optical fiber patch cord is connected to the other port of the attenuator, while the FC/UPC end is inserted into the input port of the PIN photodetector. This device marks the beginning of the optical line terminal (OLT), where the transmitted signal is received and processed. To do this, one end of the coaxial cable is connected to the SMA output port of the photodetector and the other end to the SMA input port of channel 1 on the DSA. The transmitted signal can be observed in real time on the equipment screen [7,8].
For the implementation of the optical link, the parameters set in Table 2 for the various equipment used are considered. For the photodetector, its operating range must be considered to obtain accurate results. Operating above the limit of −3 dBm could damage the equipment, while working below the sensitivity of −19 dBm can result in incorrect signal recovery.
On the other hand, a key consideration for the deployment of these technologies in large-scale infrastructures is their ability to scale efficiently. In a high-demand scenario, the integration of UFMC and GFDM technologies into an extensive optical access network must account for factors such as increased data traffic, enhanced user density, and evolving service requirements. The UFMC’s inherent flexibility in managing sub-carrier blocks allows for efficient scaling across larger networks, while GFDM, despite its limitations in spectral efficiency, can be optimized through techniques such as cyclic prefixing and dynamic spectrum management. Testing under simulated conditions of network stress has demonstrated that both technologies exhibit satisfactory scalability, though the UFMC tends to outperform GFDM in maintaining the BER and latency under high-load environments.
Finally, the methodology also considers the scalability and adaptability of the designed network, evaluating how UFMC and GFDM technologies could be integrated into larger and more complex infrastructures. This evaluation included network resiliency and flexibility tests, simulating scenarios of high demand and variability in data traffic. The results obtained offer valuable insights into the capabilities and limitations of the technologies studied, providing crucial information for future 5G network implementations and optimizations. Overall, the methodology adopted in this study provides a comprehensive and detailed view of the challenges and opportunities presented by the convergence of services in optical access networks, contributing significantly to the advancement of knowledge in this emerging field [9,10]. The code used to generate the waveforms, as well as their subsequent processing, is found in the Supplementary Material section.

4. Results and Discussion

4.1. Comparison between UFMC and GFDM

In the UFMC signal, 100 sub-bands were used, each with 100 sub-carriers, resulting in a total bit vector length of 10,000. For the GFDM signal, 128 sub-carriers were configured, with 34 used for data transmission, creating a bit vector length of 13,600. The bit vector length varies with M-QAM modulation orders. For example, with 4-QAM, the bit vector length in the UFMC is 20,000 bits, and in GFDM, it is 27,200 bits. Figure 3 shows that when using 4-QAM, the BER is acceptable up to a power of −12 dBm, with the UFMC having 10 erroneous bits and GFDM 25. Beyond this power, the BER decreases, reaching zero in both cases, ensuring high-quality transmission. The BER threshold of 10−3 is essential for comparing different modulation schemes (4-QAM, 16-QAM, 1024-QAM), as it reflects efficient transmission with minimal errors. While higher-order modulations typically increase the BER, maintaining a 10−3 BER indicates the system’s ability to efficiently manage complex signals. The constellation diagrams confirm signal recovery at higher power levels without issues.
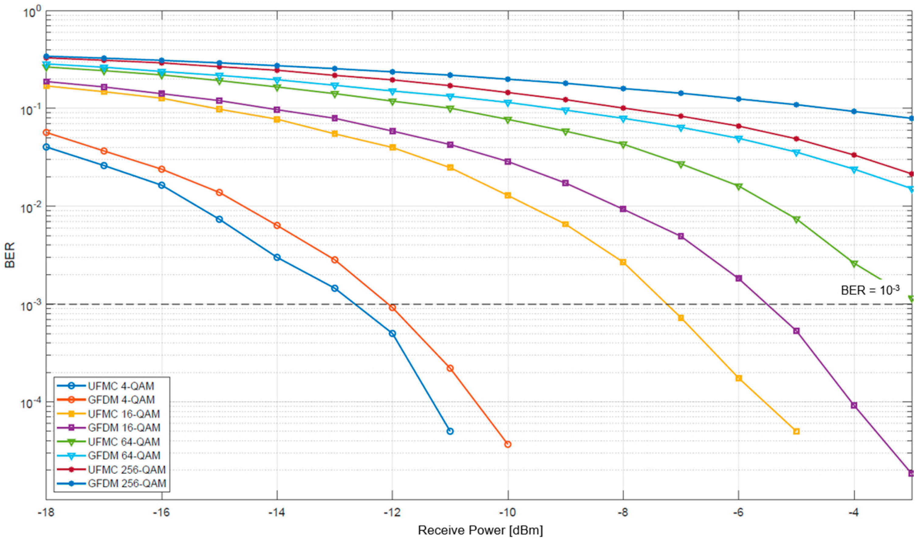
To summarize the results obtained, Figure 4 presents a comparison of the BER curves for each modulation order in the UFMC and GFDM waveforms. It is notable that the UFMC consistently performs better than GFDM in all cases. However, the recovered signal only achieves a BER lower than 0.001 in 4-QAM and 16-QAM modulations; in other modulations, the signal experiences significant degradation, making it impossible to recover within the BER requirements. The superior performance of the UFMC is attributed to the use of filters for each sub-band, allowing each group of sub-carriers to have its own filter and corresponding equalization.
In contrast, GFDM treats all sub-carriers as a single band, which increases the likelihood of data degradation. This issue could be mitigated by using a cyclic prefix (CP), as in OFDM, although this would increase the components in the power spectral density (PSD), reducing bandwidth efficiency. For higher-order modulations, both the UFMC and GFDM exhibit high BERs, which are unacceptable in a PON environment. As the modulation order increases, the BER also increases, as more modulation states are managed, and it becomes more likely for a signal to deviate from its original position in the constellation diagram. Modulation states are closer together compared to lower orders, where it is easier to distinguish the original position of a transmitted signal.

4.2. Comparison between LTE and UFMC

In the evaluation of service convergence within the optical network, significant results were observed regarding optical reception power for both LTE and UFMC signals. The simulation demonstrated that the system effectively enables the transmission of both signals through the fiber optic channel, achieving a reception power of −30.987 dBm for the UFMC and −26.987 dBm for LTE, while maintaining a bit error rate (BER) within acceptable limits for service quality. These results highlight the system’s capability to handle multiple high-demand services without compromising signal integrity, thereby demonstrating improved efficiency and performance in converged access networks. This optimized performance underscores the potential of optical networks to support the growing demands for data and connectivity in modern applications, paving the way for broader implementation of 5G technologies in existing networks. The results are shown in Figure 5 for LTE and in Figure 6 for the UFMC.
In addition, while latency and throughput are commonly used metrics in networking systems to assess overall performance, they are not the primary focus in the context of radio-over-fiber (RoF) systems. RoF technologies aim to optimize the quality of signal transmission over optical media, where metrics like bit error rate (BER) and Error Vector Magnitude (EVM) provide a more accurate representation of transmission fidelity. In this study, we concentrated on these signal integrity metrics because they directly reflect the effectiveness of optical signal conversion and transmission over fiber channels. The inherent low-latency nature of the optical fiber, coupled with the high data throughput of the medium, minimizes the variability in these metrics, making them less critical for evaluating RoF systems.

4.3. Cost Analysis

While the performance metrics of the UFMC and GFDM demonstrate their technical feasibility, the cost implications for deploying these technologies in optical networks require further consideration. Key factors include the cost of upgrading infrastructure, purchasing advanced modulation and transmission equipment, and ongoing maintenance expenses, all of which must be considered in the overall analysis. For instance, the integration of additional filtering mechanisms in the UFMC could result in higher initial costs but lower operational expenses due to its efficient spectrum utilization. Conversely, GFDM may present lower upfront costs but higher operational expenses due to the complexity of signal processing.

5. Conclusions

In this work, the physical implementation of an RoF system in the context of 5G mobile networks was achieved to analyze the UFMC and GFDM waveforms using BER and EVM metrics with M-QAM modulation. Signal generation and processing were performed using Matlab, while the optical channel was set up with equipment and components available in the laboratory. The UFMC and GFDM signals were transmitted individually under 4/16/64/256-QAM modulation schemes, with the power level varied using a variable attenuator within the range of power levels acceptable for the photodetector. The results demonstrate that as optical reception power increases, the BER decreases for both waveforms. Moreover, higher modulation orders lead to greater signal degradation, reducing the rate of BER improvement. The EVM exhibits a similar behavior to the BER but tends to stabilize as power increases. Notably, in all cases, the UFMC provides better performance than GFDM in both the BER and EVM.
In the evaluation of service convergence within the optical network, significant results were observed regarding optical reception power for both LTE and UFMC signals. The simulation demonstrated that the system effectively enables the transmission of both signals through the fiber optic channel, achieving a reception power of −30.987 dBm for the UFMC and −26.987 dBm for LTE, while maintaining a bit error rate (BER) within acceptable limits for service quality. These results highlight the system’s capability to handle multiple high-demand services without compromising signal integrity, thereby demonstrating improved efficiency and performance in converged access networks. This optimized performance underscores the potential of optical networks to support the growing demands for data and connectivity in modern applications, paving the way for broader implementation of 5G technologies in existing networks.

Supplementary Materials

Author Contributions

Conceptualization, C.T., E.C. and D.M.; methodology, E.C. and D.M.; software, D.M and B.A.; validation, C.T. and B.A.; formal analysis, E.C. and D.M.; investigation, E.C. and D.M.; resources, B.A and G.V.A.; data curation, E.C. and D.M.; writing—original draft preparation, E.C. and D.M.; writing—review and editing, E.C. and D.M.; visualization, E.C. and D.M.; supervision, C.T. and B.A.; project administration, C.T., B.A., G.V.A., E.C. and D.M.; funding acquisition, E.C. and D.M. All authors have read and agreed to the published version of the manuscript.

Funding

This research received no external funding.

Institutional Review Board Statement

Not applicable.

Informed Consent Statement

Not applicable.

Data Availability Statement

The data are contained within the article and Supplementary Materials.

Conflicts of Interest

The authors declare no conflicts of interest.

References

  1. Villalba, V.P.; López, K.C.P.; Mateus, J.J.R. Sistemas de radio sobre fibra y redes 5G: Perspectiva y aplicaciones. Ingeniare 2022, 33, 73–88. [Google Scholar] [CrossRef]
  2. Flores Tipán, L.C.; Toscano Lucero, L.C. Sistema de Transmisión Multiportadora Mediante Multiplexación por División de Frecuencia Generalizado (GFDM). Bachelor’s Thesis, Escuela Politécnica Nacional, Quito, Ecuador, 2017. Available online: http://dspace.ups.edu.ec/handle/123456789/14023 (accessed on 16 August 2024).
  3. Acquah, S.; Krampah-Nkoom, A.; Adjei, M. Performance of the Candidate Modulation Waveforms for 5G Communication Systems. Int. J. Sci. Res. Publ. (IJSRP) 2020, 10, 597–644. [Google Scholar] [CrossRef]
  4. Tipán, M.N.; Arguero, T.B.; Arévalo, G.V. UFMC and LTE Convergence Test in Optical Access Network. In Proceedings of the 2019 IEEE Fourth Ecuador Technical Chapters Meeting (ETCM), Guayaquil, Ecuador, 13–15 November 2019; pp. 1–4. [Google Scholar] [CrossRef]
  5. Tipán, M.N.; Berenice, A.T.; Arévalo, G.V. GFDM and LTE Data Convergence Test in Optical Access Networks. In Proceedings of the 2018 IEEE Third Ecuador Technical Chapters Meeting (ETCM), Cuenca, Ecuador, 15–19 October 2018; pp. 1–4. [Google Scholar] [CrossRef]
  6. Pazmiño, M.C.D. Prototipos de Redes LTE en Base a Tecnología De Radio Definida por Software e Integración de la Tecnología de Radio Sobre Fibra en Redes Móviles: Análisis de la Integración de Tecnologías de Radio Sobre Fibra en Redes Móviles: Caso de Estudio Técnica UFMC. Bachelor’s Thesis, Escuela Politécnica Nacional, Quito, Ecuador, 2017. Available online: http://bibdigital.epn.edu.ec/handle/15000/23249 (accessed on 17 January 2024).
  7. Aldana, A.T.; Vallejo, C. Telecomunicaciones, Convergencia y Regulación. Rev. Econ. Inst. 2010, 12, 85–101. [Google Scholar]
  8. Hajlaoui, E.; Zaier, A.; Khlifi, A.; Ghodhbane, J.; Hamed, M.B.; Sbita, L. 4G and 5G technologies: A Comparative Study. In Proceedings of the 2020 5th International Conference on Advanced Technologies for Signal and Image Processing (ATSIP), Sousse, Tunisia, 2–5 September 2020; pp. 1–6. [Google Scholar]
  9. Horvath, T.; Munster, P.; Oujezsky, V.; Bao, N.-H. Passive Optical Networks Progress: A Tutorial. Electronics 2020, 9, 1081. [Google Scholar] [CrossRef]
  10. Abdallah, A.A.; Kassas, Z.M. Evaluation of Feedback and Feedforward Coupling of Synthetic Aperture Navigation with LTE Signals. In Proceedings of the 2019 IEEE 90th Vehicular Technology Conference (VTC2019-Fall), Honolulu, HI, USA, 22–25 September 2019; pp. 1–6. [Google Scholar] [CrossRef]
Figure 1. Block diagram modeling of the transmission, channel, and reception of the system to be implemented.
Figure 1. Block diagram modeling of the transmission, channel, and reception of the system to be implemented.
Engproc 77 00027 g001
Figure 2. Optical channel equipment connection diagram.
Figure 2. Optical channel equipment connection diagram.
Engproc 77 00027 g002
Figure 3. Rx optical power vs. bit error rate for 4-QAM.
Figure 3. Rx optical power vs. bit error rate for 4-QAM.
Engproc 77 00027 g003
Figure 4. The BER performance of the UFMC and GFDM under different modulation schemes (4-QAM, 16-QAM, etc.). The graph illustrates the relationship between the received optical power and the BER for each scheme, demonstrating the superior performance of the UFMC at lower power levels.
Figure 4. The BER performance of the UFMC and GFDM under different modulation schemes (4-QAM, 16-QAM, etc.). The graph illustrates the relationship between the received optical power and the BER for each scheme, demonstrating the superior performance of the UFMC at lower power levels.
Engproc 77 00027 g004
Figure 5. Rx optical power vs. bit error rate from LTE.
Figure 5. Rx optical power vs. bit error rate from LTE.
Engproc 77 00027 g005
Figure 6. Rx optical power vs. bit error rate from UFMC.
Figure 6. Rx optical power vs. bit error rate from UFMC.
Engproc 77 00027 g006
Table 1. Comparison of related works and approaches of UFMC, LTE, and GFDM technologies.
Table 1. Comparison of related works and approaches of UFMC, LTE, and GFDM technologies.
ReferenceYearContribution
[4]2020An optical access network with UFMC and LTE signals achieved −30 dBm sensitivity for the UFMC and −31 dBm for LTE, supporting up to 64 users in a radio-over-fiber configuration.
[5]2018An optical access network with GFDM and LTE signals achieved receiver sensitivities of −29.5 dBm for LTE and −24.5 dBm for GFDM, supporting up to 64 users in a legacy PON using IM/DD format.
Table 2. Description of equipment and parameter configuration in optical channel.
Table 2. Description of equipment and parameter configuration in optical channel.
Equipment/ItemBrand/ModelParameterValue
Arbitrary Waveform GeneratorAgilent N8241ARF Data OutputChannel 1
Signal Frequency1 GHz
Output Voltage250 mV
LaserIdPhotonics Mainframe
CBMA24 and Module CoBrite MX
TypeN
Wavelength1550 nm
Optical Power16 dBm
Optical ModulatorThorlabs LNA2124BIAS Voltage2.33 V
Optical Fiber-TypeSMF G.652D
Attenuation0.24 dB/km
Chromatic Dispersion18 ps/(nm·km)
Variable AttenuatorGao-Voa-103Range8–23 dB
Interval1 dB
PhotodetectorLabBuddy DSC-R402Maximum Power−3 dBm
Sensitivity−18 dBm
Digital Signal AnalyzerKeySight DSAV164ARF Data InputChannel 1
Number of Samples5 GS
Disclaimer/Publisher’s Note: The statements, opinions and data contained in all publications are solely those of the individual author(s) and contributor(s) and not of MDPI and/or the editor(s). MDPI and/or the editor(s) disclaim responsibility for any injury to people or property resulting from any ideas, methods, instructions or products referred to in the content.

Share and Cite

MDPI and ACS Style

Cifuentes, E.; Mosquera, D.; Tipantuña, C.; Arguero, B.; Arevalo, G.V. The Analysis of Service Convergence in an Optical Access Network. Eng. Proc. 2024, 77, 27. https://doi.org/10.3390/engproc2024077027

AMA Style

Cifuentes E, Mosquera D, Tipantuña C, Arguero B, Arevalo GV. The Analysis of Service Convergence in an Optical Access Network. Engineering Proceedings. 2024; 77(1):27. https://doi.org/10.3390/engproc2024077027

Chicago/Turabian Style

Cifuentes, Erick, David Mosquera, Christian Tipantuña, Berenice Arguero, and Germán V. Arevalo. 2024. "The Analysis of Service Convergence in an Optical Access Network" Engineering Proceedings 77, no. 1: 27. https://doi.org/10.3390/engproc2024077027

APA Style

Cifuentes, E., Mosquera, D., Tipantuña, C., Arguero, B., & Arevalo, G. V. (2024). The Analysis of Service Convergence in an Optical Access Network. Engineering Proceedings, 77(1), 27. https://doi.org/10.3390/engproc2024077027

Article Metrics

Back to TopTop