Abstract
The study assesses water-filled subsidence basins in the Karviná region using ecological and faunistic characteristics, with freshwater molluscs as bioindicators. Two sites—subsidence lake Kozinec and Doubrava basins—differing in size, salinity, and vegetation, were examined. A malacological survey identified 16 mollusc species, with invasive species dominating Kozinec due to high salinity from mine water discharge, while native species prevailed in Doubrava basins. The study analysed the impact of shoreline zones on mollusc communities, measured physicochemical water parameters (e.g., salinity, pH, nitrites), and evaluated anthropogenic influences. Proposed measures include raising the dam to prevent salinisation of Kozinec’s isolated section, supporting ecological succession, and protecting littoral zones, highlighting the potential for revitalising post-mining sites.
1. Introduction
The post-mining landscape of the Karviná region has undergone intensive transformation, resulting in the formation of subsidence basins and other water bodies with increasing landscape and ecological value [1,2]. These secondary aquatic habitats contribute to water retention and runoff regulation; however, they are also affected by hydrochemical changes caused by mine-water inflows and fluctuations in salinity [3]. The variability of salinity and shoreline structure strongly influences aquatic invertebrate assemblages. Freshwater molluscs are well-established bioindicators in this context, as they respond sensitively to conductivity, hardness, and nutrient load as well as to the heterogeneity of littoral zones. They are therefore a suitable model group for assessing the ecological status of post-mining waters [4,5]. The aim of this study is to compare malacocoenoses in two contrasting sites of the Karviná region—the Kozinec subsidence lake (with elevated salinity caused by mine-water inflow) and the Doubrava basins (freshwater environments)—in relation to shoreline-zone types and selected physicochemical parameters and to evaluate the occurrence of invasive species.
2. Theoretical Framework of the Research
2.1. Post-Mining Landscape of the Karviná Region
The post-mining landscape of the Karviná region has been shaped by extensive coal mining, which caused terrain subsidence, the formation of spoil heaps, brownfields, and water-filled subsidence basins [1]. Deep coal mining disrupted approximately 350 km2, creating 40 spoil heaps and 60 settling ponds, covering 1700 ha of land, and inducing water salinisation through the discharge of mine water into receiving water bodies [2,3]. Following the decline of mining activities, the region is undergoing a gradual transformation, occurring both spontaneously—through the natural colonisation of disturbed areas by vegetation and fauna—and deliberately through technical and biological reclamation efforts. These interventions aimed to stabilise the environment and restore its usability. Some sites exhibit significant ecological potential; however, the region continues to face challenges such as population decline, the presence of brownfields, and an unclear vision for future development [1,6].
2.2. Water-Filled Subsidence Basins
Water-filled subsidence basins in the Karviná region emerged as secondary aquatic habitats due to terrain subsidence caused by deep coal mining, which disrupted hydrological conditions and led to the flooding of depressions with groundwater and surface water [7]. These basins have replaced original pond systems lost due to mining and serve as substitute habitats for wetland and aquatic organisms [1]. Examples include the Heřmanice pond and the subsidence lake Kozinec, which are rapidly colonised by wetland vegetation, particularly reeds and macrophytes of the Phragmition alliance [8]. These habitats provide refuge for endangered species, such as Triturus cristatus, Hyla arborea, and Alcedo atthis [9]. Water-filled subsidence basins contribute to the regulation of the hydrological regime, retain precipitation water, and mitigate temperature extremes, thereby supporting microclimatic stability and biodiversity [10,11]. Nevertheless, they face anthropogenic pressures that may hinder natural successional development [12]. Due to their ecological value and potential, water-filled subsidence basins should be actively incorporated into regional and national nature conservation strategies [13]. Their ecological variability and sensitivity to environmental changes make them suitable environments for studying malacocoenoses as indicators of water quality.
3. Methodology
3.1. Selection of Model Sites and Their Environmental Characteristics
For the research, two sites in the post-mining landscape of the Karviná region were selected: the subsidence lake Kozinec and the Doubrava basins, located in the municipality of Doubrava. Kozinec is a reclaimed lake (approximately 50 ha) with engineered islands, peninsulas, and lagoons that enhance habitat diversity. Its water is affected by elevated salinity due to the inflow from the Karviná stream, a recipient of mine water discharge. The Doubrava basins represent a smaller water-filled subsidence basin (approximately 2.5 ha) with freshwater, contributing significantly to biodiversity despite challenges with reclamation. These sites were chosen for their contrasting environmental conditions, enabling a comparison of the effects of salinity, vegetation (reeds, macrophytes), and substrate type on malacofauna. The characterisation included an assessment of shoreline zones and physicochemical environmental parameters, conducted in spring and summer 2024. Field measurements were performed using equipment from Merck (Merck KGaA, Darmstadt, Germany) and the portable Multi 340i device (Xylem Analytics Germany Sales GmbH & Co. KG, Weilheim, Germany), which allows for rapid and relatively accurate determination of these parameters directly in the field to evaluate the ecological status and potential of the sites for freshwater molluscs [14,15].
3.2. Implementation of the Malacological Survey and Evaluation of Results
The malacological survey was conducted in 2024 at the Kozinec and Doubrava basins sites across 50 sampling sections (15 m × 1.5−4 m), selected to capture habitat diversity, including species-poor spoil heaps [14]. Sampling at each section lasted 20–30 min, during which molluscs were hand-collected, identified in situ based on morphological characteristics, and subsequently released back into their habitat [15]. Data were recorded in a field notebook. The data were processed in Microsoft Excel (Microsoft 365, current version at the time of analysis).
3.3. Evaluation of Freshwater Malacocoenoses in Relation to Shoreline Zone Characteristics
When assessing the influence of shoreline zones on the composition of freshwater malacocoenoses, sampling sections with no mollusc findings were excluded from the analysis. Due to the distinct characteristics of the two model sites—the Kozinec subsidence lake and the Doubrava basins—the types of shoreline zones identified were evaluated separately within each site. An exception was the shoreline zone with a continuous stand of common reed (Phragmites australis), which was present at both sites. For this habitat type, an inter-site graphical comparison of species composition was conducted using the R software 4.4.3.
4. Results
4.1. Environmental Characteristics of the Model Sites
The Kozinec subsidence lake is currently divided into two parts: the main lake body (A) and the Karviná stream overflow (B) (see Figure 1). The maximum depth reaches approximately 12 m, with an average depth of around 8 m. Water salinity is elevated, particularly in the overflow area, due to the discharge of mine water from the ČSA and Darkov mines, as well as from settling ponds [16], which directly impacts water chemistry and the composition of freshwater communities.
Figure 1.
Delineation of the shoreline zones at the model sites: Kozinec (Kozinec subsidence lake (A), Karviná stream overflow (B), Kozinec Pond (C)) on the left and Doubrava Basins on the right. Categories: embankment without a developed littoral zone (dark grey), embankment with forming littoral zone (grey), reed belt (orange), reeds (yellow), Pond (blue), alder swamp (green).
The shoreline of Kozinec is highly variable in terms of the formation of littoral zones. The southern and western parts have undergone technical reclamation, resulting in the creation of peninsulas, islands, and lagoons that enhance habitat diversity. In contrast, the eastern and northern edges retain a more natural character, with ongoing development due to persistent terrain subsidence. The vegetation cover is highly diverse, encompassing valuable wetland habitats (alder and willow stands, sedge and reeds) as well as macrophyte vegetation typical of eutrophic and mesotrophic standing waters. In the northeastern part, the site transitions into remnants of floodplain forests (Ulmenion), which form part of a local biocentre. Reclaimed areas are dominated by xerophilous ruderal species (e.g., Artemisietea vulgaris), including invasive taxa such as Erigeron annuus and Solidago canadensis, as well as endangered species (e.g., Dysphania botrys) and newly spreading neophytes (e.g., Microrrhinum litorale).
In contrast, the Doubrava basins (see Figure 1) are freshwater environments, unaffected by direct mine water discharge. The water level is shallow, fluctuating depending on precipitation and infiltration. The shoreline zones are primarily composed of wetland vegetation, locally featuring stands of common reed (Phragmites australis) and sedges (Carex spp.), with regenerating woody vegetation in some areas. Reclamation efforts here were less intensive, resulting in an environment with a greater degree of naturalness, although some sections are affected by spoil heaps with low species diversity.
4.1.1. Determination of Selected Water Environment Parameters
The results of measurements of selected physicochemical water parameters indicate clear differences between the Kozinec and Doubrava basins sites (see Table 1). The Kozinec site was sampled at 17 locations, with 10 plots located in the isolated main part of the lake, five plots in the overflow area influenced by mine water and settling pond discharge, and one plot—a pond in close proximity to Kozinec. In contrast, the Doubrava basins, due to their smaller area, were represented by only four sampling locations. Phosphorus levels were consistently below the detection limit across all sampling plots at both the Kozinec and Doubrava basins sites.
Table 1.
Mean values measured at Kozinec subsidence lake (A), Karviná stream overflow (B), Kozinec Pond (C), the Doubrava basins (Basins). Abbreviations: NH4+—ammonium; NO2−—nitrite; CaCO3—total hardness as calcium carbonate; pH—hydrogen potential; con.—conductivity; sal.—salinity (PSS-78); sum.—summer; win.—winter.
In the isolated part of Kozinec, generally lower salinity was recorded, except for the adjacent pond, where salinity was below the detection limit (0.0 PSS-78). Conversely, in the overflow area influenced by mine water (Karviná stream overflow), salinity was significantly higher, reaching up to 4.9 PSS-78 in the summer period. These values indicate anthropogenic stress, particularly related to historical and ongoing mine water discharge. Notably, sampling plot No. 17 exhibited the highest NH4+ values (up to 0.30 mg/L), which is associated with supplementary feeding of waterfowl by hunters, potentially affecting local water chemistry.
In the Doubrava basins, relatively lower salinity and conductivity values were recorded, with salinity below the detection limit in all cases. Ammonium levels ranged from 0.15 to 0.20 mg/L, slightly higher than in the isolated part of Kozinec but lower than in its overflow area. The pH values at both sites were predominantly slightly alkaline, with a tendency toward higher values in the summer period.
4.1.2. Characteristics of the Littoral Zones of the Model Sites
To assess freshwater malacocoenoses in relation to the characteristics of the littoral zone, it was necessary to establish a custom classification of these zones. The typology provided by the Catalogue of Habitats of the Czech Republic [17] was insufficiently detailed for this purpose. Therefore, littoral zones were defined based on vegetation density, water depth, and substrate type to better reflect the specific conditions of subsidence basins. At the model sites, the following shoreline categories were defined and distinguished (see Figure 1):
- -
- Embankment without a developed littoral zone: Both model sites underwent technical reclamation. This category includes banks composed mainly of mining spoil, with little to no vegetation cover.
- -
- Embankment with forming littoral zone: In certain sections of the embankment, vegetation has begun to establish, primarily in the form of patches of common reed (Phragmites australis) or other riparian plant species.
- -
- Reed belt: A further stage in the development of the littoral zone, characterised by vegetation of the Phragmition alliance, with a mosaic dominance of Phragmites australis and Typha latifolia.
- -
- Reeds: A dense, continuous stand of common reed that not only dominates the shoreline but often extends into the water body, forming a typical littoral habitat due to the shallow depth.
- -
- Pond: A specific habitat type occurring only at the subsidence lake Kozinec. It is a shallow, isolated pool with distinct environmental conditions.
- -
- Alder swamp: This zone occurs exclusively at the Basins site. It represents a unique habitat where the shoreline transitions into forest identified as belonging to the Alnion glutinoso-incanae alliance.
4.2. Assessment of the Malacological Survey
As part of the malacological survey conducted in 2024 across 50 sampling plots at the model sites in the municipality of Doubrava, a total of 16 mollusc species from 7 families were identified, with 921 live individuals recorded. Of these, 13 mollusc species were confirmed at the Kozinec model site, while 11 species were recorded at the Doubrava basins model site. The sampling plot with the highest number of species was located at the Doubrava basins, with 9 species recorded at two plots (DK1 and DK6). At Kozinec, the highest species richness was also recorded at two plots, with 6 species each at plots KJ4 and KJ9.
4.2.1. Subsidence Lake Kozinec
An overview of all identified species, including an ecological analysis, is provided for the Kozinec model site in Table 2. Abundance is expressed in absolute values (see Methodology). The confirmed presence of 13 species represents approximately 16% of the freshwater mollusc fauna of the Czech Republic (n = 78).
Table 2.
Freshwater mollusc species identified in the 2024 malacological survey at Kozinec and Doubrava Basins, including their classification into ecological groups (Areotypes based on [14,18], modified), and conservation status according to IUCN [15]. Abbreviations: O—conservation status (NE—not evaluated; LC—least concern; NT—near threatened; DD—data deficient); P—number of individuals per species; Q—number of plots where the species was recorded.
None of the identified mollusc species are listed as specially protected under Annex of the Decree of the Ministry of the Environment of the Czech Republic No. 395/1992 Coll. However, according to the IUCN [15], one species is classified as vulnerable: the Anodonta anatina, and three species are classified as near threatened: the Bathyomphalus contortus, the lake Musculium lacustre, and the Stagnicola palustris. From a conservation perspective, these species warrant greater attention. It is also important to note that in the Karviná stream overflow area, only two freshwater gastropod species were recorded: the Peregriana peregra and the Potamopyrgus antipodarum. The malacological survey in this area was conducted across 15 sampling plots, with freshwater molluscs recorded at only three of them.
4.2.2. Doubrava Basins
An overview of all identified species, including an ecological analysis, is provided for the Doubrava basins model site in Table 2. Abundance is expressed in absolute values (see Methodology). The confirmed presence of 11 species represents approximately 14% of the freshwater mollusc fauna of the Czech Republic (n = 78). None of the identified species are listed in the Annex of the Decree of the Ministry of the Environment of the Czech Republic No. 395/1992 Coll. According to the IUCN [15] only two molluscs are classified as near threatened: the Bathyomphalus contortus and the Musculium lacustre. From a conservation perspective, these species warrant greater attention.
5. Discussion
5.1. Interpretation of Freshwater Malacocoenoses in Relation to Shoreline Zone Characteristics
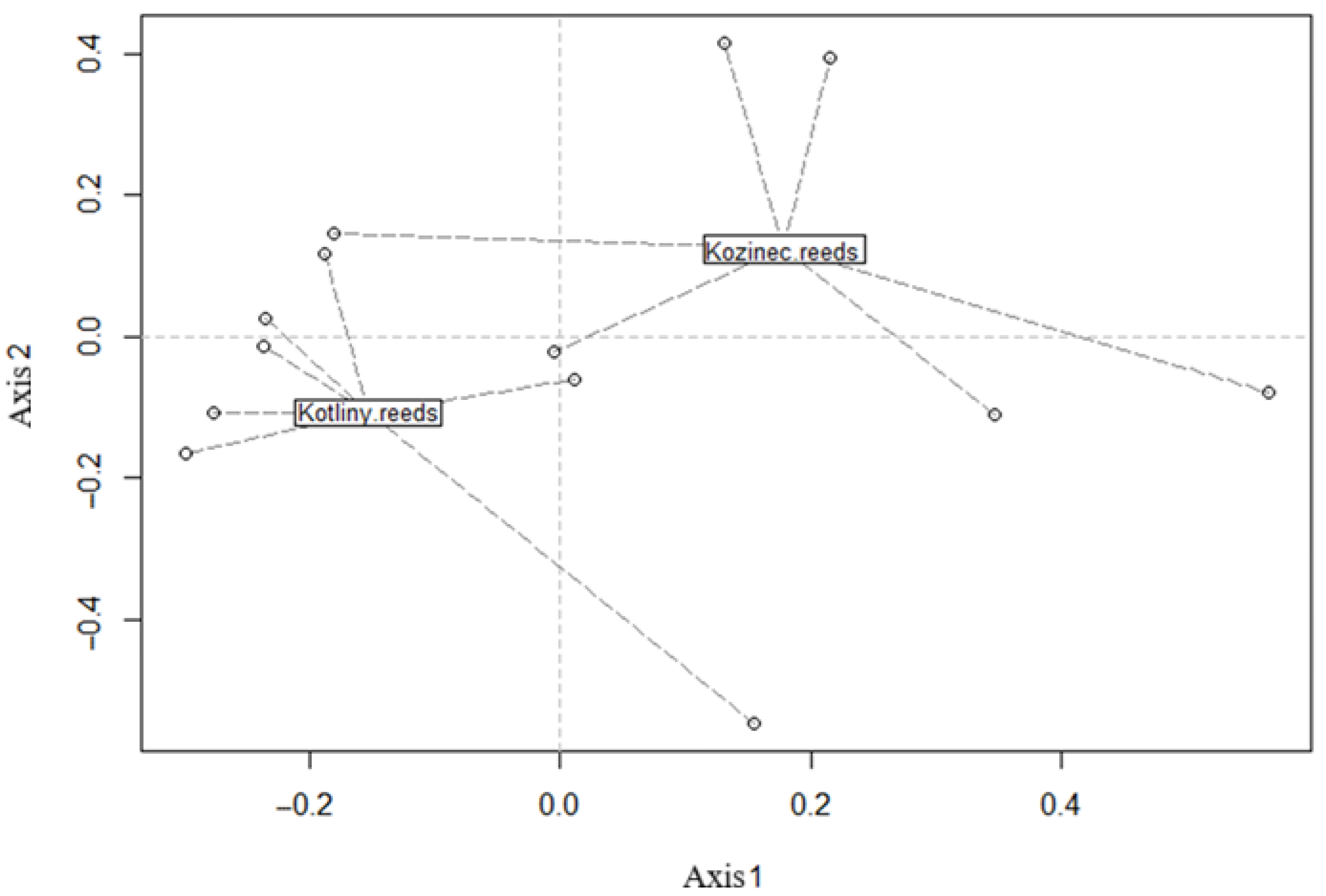
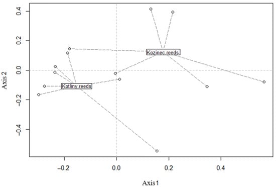
The assessment of shoreline zones focused on the reeds stands at both model sites—Kozinec and the Doubrava basins. It was found that the reeds at both sites are relatively similar in terms of species composition across different sections of these locations (see Figure 2). However, the reeds at Kozinec exhibit greater variability in species composition among individual plots, likely due to the differing characteristics of these shoreline zones, despite belonging to the same habitat type. In contrast, the reeds at the Doubrava basins appear to be more species-stable and less variable, with relatively homogeneous species composition in the shoreline zone. This is likely attributable to the smaller area of this site.
Figure 2.
Comparison of the Kozinec and Doubrava basins sites in terms of reeds stands. Dotted lines indicate the spatial relationships among sampling points within each basin.
5.2. Comparison of Recorded Freshwater Mollusc Species at Both Sites
The malacological survey of Kozinec and the Doubrava basins provided valuable insights into the biodiversity of freshwater molluscs and the composition of malacocoenoses in relation to the conditions of the post-mining landscape of the Karviná region. A total of 16 mollusc species were recorded across both sites, with Kozinec exhibiting higher species diversity (13 species) compared to the Doubrava basins (11 species).
However, when invasive species were excluded, an equal number of 10 native species were identified at each site. This result is surprising given the significantly larger area of Kozinec, which theoretically should provide a broader range of microhabitats and higher biodiversity. The lower abundance of native species at Kozinec is likely associated with higher water salinity, reduced habitat heterogeneity, and less favourable conditions for freshwater molluscs.
At the Kozinec model site, the invasive New Zealand mud snail (Potamopyrgus antipodarum) dominated, with 185 individuals recorded. Its rapid reproduction and high tolerance to salinity likely enable it to successfully compete with native species. Another concerning finding from the Kozinec site is the presence of the zebra mussel (Dreissena polymorpha), which was the third most abundant species (128 individuals). This species, known for its filtration activity, can impact food webs by reducing the availability of phytoplankton for other aquatic organisms. Given the characteristics of Kozinec, with parts of its area consisting of shallow waters and dead trees, it is highly likely that the zebra mussel will become even more abundant, potentially the most dominant species at this site.
Additionally, the presence of the alga Prymnesium parvum was confirmed at Kozinec, which serves as an indicator of higher salinity and may have toxic effects on freshwater organisms [19]. During periods of reduced salinity in the Karviná stream (e.g., due to precipitation), osmotic stress causes the cells of this alga to rupture, releasing their cellular contents, including the toxin prymnesin, into the water [20]. As the dam separating Kozinec from the Karviná stream overflow can be breached during heavy rainfall, the isolated part of Kozinec may also be affected by the presence of Prymnesium parvum. This finding underscores the need for ongoing monitoring of salinity and its impact on the ecosystem.
6. Conclusions
The study focused on the ecological assessment of subsidence basins in the Karviná region and demonstrated that freshwater molluscs serve as effective bioindicators of the ecological status of aquatic habitats formed as a result of deep coal mining. The malacological survey revealed differences in species composition between the two model sites—the Kozinec and the Doubrava basins—with higher species diversity recorded at Kozinec. However, this difference is associated with the presence of invasive species linked to higher water salinity, whereas the Doubrava basins primarily supported native freshwater malacofauna.
The characteristics of the shoreline zone proved to be a significant factor influencing malacofaunal diversity. The highest species richness was observed in near-natural sections with developed littoral vegetation, particularly in reeds, alder swamps, and ponds. In contrast, technically modified sections lacking natural shorelines exhibited the lowest diversity. The part of Kozinec affected by the Karviná stream overflow, influenced by mine water discharge, was nearly sterile, likely due to high salinity and the probable presence of the toxic alga Prymnesium parvum. Based on these findings, measures were proposed to improve the ecological status of the studied sites, including reducing salinity at Kozinec, supporting ecological succession, protecting littoral habitats, systematically monitoring invasive species, and continuing long-term research [21]. The results contribute to understanding the function of anthropogenically created aquatic habitats and can be utilised in planning the revitalisation and conservation of post-mining landscapes.
Author Contributions
Conceptualisation, L.K. and B.S.; methodology, L.K., E.S. and B.S.; investigation, L.K., E.S. and T.K.C.; resources, L.K. and B.S.; data curation, L.K. and B.S.; writing—original draft preparation, L.K. and B.S.; writing—review and editing, L.K. and B.S.; visualisation, L.K. and T.K.C.; supervision, B.S.; funding acquisition, B.S. All authors have read and agreed to the published version of the manuscript.
Funding
This research was funded by the EU Programme LIFE, project No. LIFE20 IPC/CZ/000004 “IP LIFE for Coal Mining Landscape Adaptation”.
Institutional Review Board Statement
Not applicable.
Informed Consent Statement
Not applicable.
Data Availability Statement
Data are contained within the article.
Conflicts of Interest
The authors declare no conflict of interest.
References
- Kupka, L.; Stalmachová, B. Post-Mining Landscape of the Karviná Region and Its Importance for Nature and Landscape Conservation. Eng. Proc. 2023, 57, 21. [Google Scholar] [CrossRef]
- Kukal, Z.; Němec, J.; Pošmourný, K. Geological Memory of the Landscape (Geologická Paměť Krajiny), 2nd ed.; Česká geologická služba: Praha, Czech Republic, 2014; ISBN 978-80-7075-853-3. (In Czech) [Google Scholar]
- Nováková, J.; Melčáková, I.; Langerová, P.; Svozilíková Krakovská, A.; Kovářová, M.; Staňková, L.; Fiala, M. The mine water treatment of active mine Karviná, plant Lazy. In Proceedings of the SGEM2016 Conference, Albena, Bulgaria, 30 June–6 July 2016; Book 3; Volume 3, pp. 321–328. [Google Scholar]
- Glöer, P. The Freshwater Gastropods of Northern and Central Europe: Identification Key, Lifestyle, Distribution (Die Süßwassergastropoden Nord- und Mitteleuropas: Bestimmungsschlüssel, Lebensweise, Verbreitung); ConchBooks: Hackenheim, Germany, 2002; ISBN 3-925919-60-0. (In German) [Google Scholar]
- Dillon, R.T. The Ecology of Freshwater Molluscs; Cambridge University Press: Cambridge, UK, 2000; 509p, Available online: https://scispace.com/pdf/the-ecology-of-freshwater-molluscs-f0ollqv2zx.pdf (accessed on 30 March 2025).
- Kupka, J.; Brázdová, A.; Chowaniecová, T. Environmental interaction elements in the post-mining landscape of the Karviná District (Czech Republic). Eng. Proc. 2023, 57, 15. [Google Scholar] [CrossRef]
- Stalmachová, B. Restoration of the landscape of the Ostrava and Karviná regions after mining activities (Obnova krajiny Ostravska a Karvinska po hornické činnosti). Zivotn. Prostr. 2006, 40, 195–199. (In Czech) [Google Scholar]
- Stalmachová, B. Fundamentals of Ecological Restoration of Industrial Landscapes (Základy Ekologické Obnovy Průmyslové Krajiny); Vysoká škola báňská—Technická univerzita Ostrava: Ostrava, Czech Republic, 1996; ISBN 80-7078-375-3. (In Czech) [Google Scholar]
- Diamo, s.p. Report on the Results of Monitoring and the State of Environmental Components of the Darkov NGO for 2022 (Zpráva o Výsledcích Monitoringu a Stavu Složek Životního Prostředí o. z. Darkov za rok 2022). Available online: https://www.diamo.cz/storage/app/media/dokumenty/Z-01-RP-sp-22-01_DARKOV_2022.pdf (accessed on 30 March 2025). (In Czech).
- Štýs, S. Reclamation of Areas Affected by Mineral Extraction (Rekultivace Území Postižených Těžbou Nerostných Surovin); Státní Nakladatelství Technické Literatury: Praha, Czech Republic, 1981. (In Czech) [Google Scholar]
- Falkenmark, M.; Rockström, J. Balancing Water for Humans and Nature: The New Approach in Ecohydrology; Earthscan: London, UK, 2004; 247p, ISBN 978-1-85383-926-9. [Google Scholar]
- Stalmachová, B.; Sierka, E. Managed Succession in Reclamation of Postmining Landscape, 1st ed.; Technická Univerzita v Košiciach: Košice, Slovakia, 2014; ISBN 978-80-553-1852-3. [Google Scholar]
- Jiang, C.; Zha, J.; Liu, H.; Liu, D.; Zheng, L. Water chemistry and stable isotope characteristics of subsidence lakes in coal mining areas, Eastern China. Environ. Sci. Pollut. Res. 2023, 30, 43152–43167. [Google Scholar] [CrossRef] [PubMed]
- Ložek, V. The Key to the Czechoslovak Mollusks (Klíč Československých Měkkýšů); Vydavateľstvo Slovenskej Akadémie Vied: Bratislava, Slovakia, 1956; 437p. (In Czech) [Google Scholar]
- Horsák, M.; Čejka, T.; Juřičková, L.; Beran, L.; Horáčková, J.; Dvořák, L.; Coufal, R.; Maňas, M.; Horsáková, V. Checklist and Distribution Maps of the Molluscs of the Czech and Slovak Republics. Available online: http://mollusca.sav.sk/malacology/checklist.htm (accessed on 30 March 2025).
- Diamo, s.p. Water monitoring—Kozinec 2023 (Monitoring vod—Kozinec 2023). Available online: https://www.diamo.cz/storage/app/media/dokumenty/DARKOV/Monitoring%20vod/SA_Kozinec_2023_fin.pdf (accessed on 30 March 2025). (In Czech).
- Chytrý, M.; Kučera, T.; Kočí, M. Catalogue of Biotopes of the Czech Republic (Katalog Biotopů České Republiky); Agentura Ochrany Přírody a Krajiny ČR: Praha, Czech Republic, 2010; ISBN 978-80-87457-02-3. (In Czech) [Google Scholar]
- Lisický, M.J. Molluscs of Slovakia (Mollusca Slovenska); Veda, Vydavateľstvo Slovenskej Akadémie Vied: Bratislava, Slovakia, 1991; 344p, ISBN 80-224-0240-0. (In Slovak) [Google Scholar]
- Ministerstvo Životního Prostředí (MŽP), Cooperation between the Czech Republic and Poland in Addressing New Challenges in the Field of Hydrobiology (Spolupráce Česka a Polska při Řešení Nových Výzev v Oblasti Hydrobiologie). Available online: https://mzp.gov.cz/cz/pro-media-a-verejnost/aktuality/archiv-tiskovych-zprav/spoluprace-ceska-a-polska-pri-reseni-novych (accessed on 30 March 2025). (In Czech)
- Woźnica, A.; Karczewski, J.; Lipowczan, M.; Absalon, D.; Głowski, M.; Sitek, S.; Fularz, M.; Janosz-Rajczyk, M.; Jaskuła, J.; Migala, K.; et al. The reaction of Prymnesium parvum to a sudden salinity decrease. Ecohydrol. Hydrobiol. 2024, 25, 642–653. [Google Scholar] [CrossRef]
- Heviánková, S.; Klimko, T.; Lusk, K.; Všetečka, M.; Marschalko, M. Mine waters from ore and coal mining in Czech Republic. Inż. Miner. 2015, 16, 97–102. Available online: http://hdl.handle.net/10084/125194 (accessed on 22 July 2025). [CrossRef]
Disclaimer/Publisher’s Note: The statements, opinions and data contained in all publications are solely those of the individual author(s) and contributor(s) and not of MDPI and/or the editor(s). MDPI and/or the editor(s) disclaim responsibility for any injury to people or property resulting from any ideas, methods, instructions or products referred to in the content. |
© 2025 by the authors. Licensee MDPI, Basel, Switzerland. This article is an open access article distributed under the terms and conditions of the Creative Commons Attribution (CC BY) license (https://creativecommons.org/licenses/by/4.0/).

