Study of 1,2,4-triazole-3(5)-thiol Behavior in Reactions with 1-phenyl-1H-pyrrole-2,5-dione Derivatives and 3-bromodihydrofuran-2(3H)-one and Antimicrobial Activity of Products †
Abstract
:1. Introduction
2. Materials and Methods
2.1. General Experimental Methods
2.2. The Synthesis of 3-((1H-1,2,4-triazol-3-yl)thio)dihydrofuran-2(3H)-one (3)
2.3. Antimicrobial Activity
3. Results and Discussion
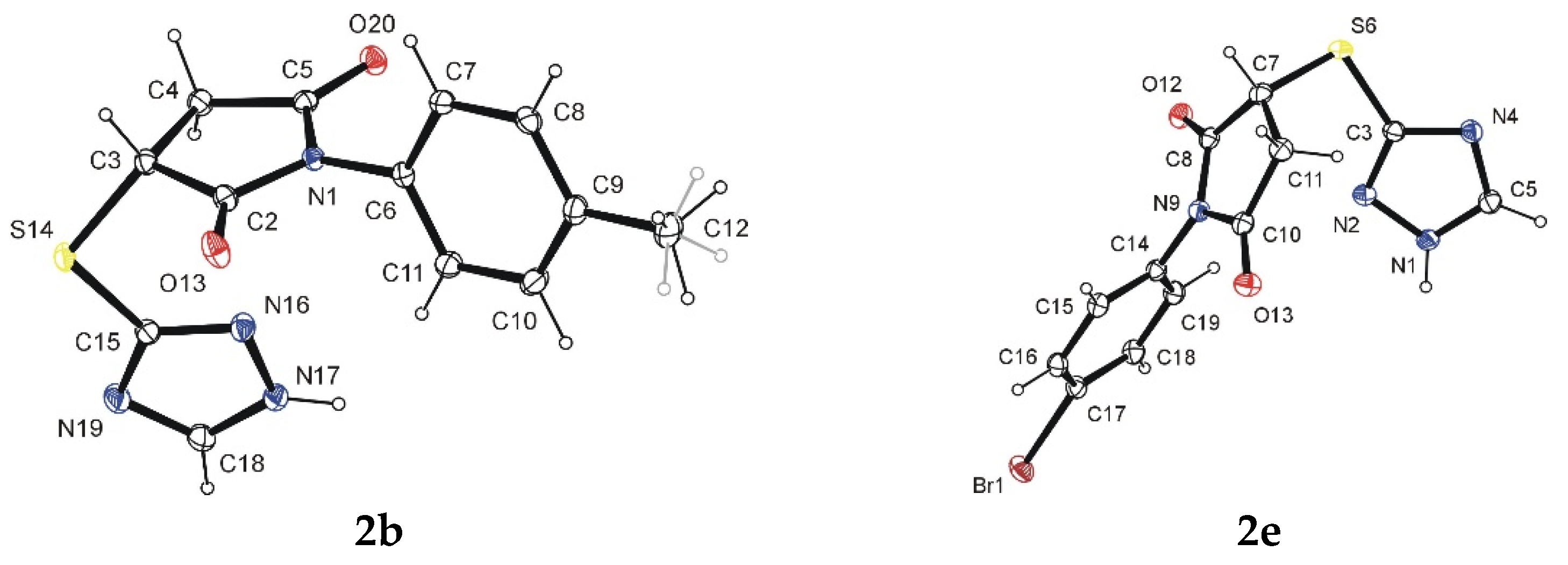
3.1. Chemical Synthesis and Structure Determination
3.2. Antimicrobial Activity
4. Conclusions
Author Contributions
Funding
Acknowledgments
Conflicts of Interest
References
- Sheng, C.; Miao, Z.; Zhang, W. New strategies in the discovery of novel non-camptothecin topoisomerase I inhibitors. Curr. Med. Chem. 2011, 18, 4389–4409. [Google Scholar] [CrossRef] [PubMed]
- Assarzadeh, M.J.; Almasirad, A.; Shafiee, A.; Koopaei, M.N.; Abdollahi, M. Synthesis of new thiazolo[3,2-b][1,2,4]triazole-6(5H)-one derivatives as potent analgesic and anti-inflammatory agents. Med. Chem. Res. 2014, 23, 948–957. [Google Scholar] [CrossRef]
- Toma, A.; Mogoşan, C.; Vlase, L.; Leonte, D.; Zaharia, V. Heterocycles 39. Synthesis, characterization and evaluation of the anti-inflammatory activity of thiazolo[3,2-b][1,2,4]triazole derivatives bearing pyridin-3/4-yl moiety. Med. Chem. Res. 2017, 26, 2602–2613. [Google Scholar] [CrossRef]
- Slivka, M.V.; Korol, N.I.; Fizer, M.M. Fused bicyclic 1,2,4-triazoles with one extra sulfur atom: Synthesis, properties, and biological activity. J. Heterocycl. Chem. 2020, 57, 3236–3254. [Google Scholar] [CrossRef]
- Lesyk, R.; Vladzimirska, O.; Holota, S.; Zaprutko, L.; Gzella, A. New 5-substituted thiazolo[3,2-b][1,2,4]triazol-6-ones: Synthesis and anticancer evaluation. Eur. J. Med. Chem. 2007, 42, 641–648. [Google Scholar] [CrossRef]
- Uzgören-Baran, A.; Tel, B.C.; Sarıgöl, D.; Oztürk, E.İ.; Kazkayası, I.; Okay, G.; Ertan, M.; Tozkoparan, B. Thiazolo[3,2-b]-1,2,4-triazole-5(6H)-one substituted with ibuprofen: Novel non-steroidal anti-inflammatory agents with favorable gastrointestinal tolerance. Eur. J. Med. Chem. 2012, 57, 398–406. [Google Scholar] [CrossRef] [PubMed]
- Holota, S.; Shylych, Y.; Derkach, H.; Karpenko, O.; Gzella, A.; Lesyk, R. Synthesis of 4-(2H-[1,2,4]-Triazol-5-ylsulfanyl)-1,2-dihydropyrazol-3-one via Ring-Switching Hydrazinolysis of 5-Ethoxymethylidenethiazolo[3,2-b][1,2,4]triazol-6-one. Molbank 2018, 2018, M1022. [Google Scholar] [CrossRef]
- Shimo, T.; Matsuda, Y.; Iwanaga, T.; Shinmyozu, T.; Somekawa, K. Efficient 2-Amino-2-thiazolin-4-ones or 2-Iminothiazolidin-4-ones Formation from Thioureas and Maleimides under Solvent-Free Conditions. Heterocycles 2007, 71, 1053–1058. [Google Scholar] [CrossRef]
- Pankova, A.S.; Golubev, P.R.; Khlebnikov, A.F.; Ivanov, A.Y.; Kuznetsov, M.A. Thiazol-4-one derivatives from the reaction of monosubstituted thioureas with maleimides: Structures and factors determining the selectivity and tautomeric equilibrium in solution. Beilstein. J. Org. Chem. 2016, 12, 2563–2569. [Google Scholar] [CrossRef]
- Achoui, N.; Zaioua, K.; Hammoutène, D.; Kolli-Nedjar, B.; Akacem, Y. Interaction of thiourea and urea with maleimide: Comparative theoretical DFT study. Heliyon 2019, 5, e02330. [Google Scholar] [CrossRef]
- Troin, Y.; Bentarzi, Y.; Nedjar-Kolli, Y.; Plas, A.; Chalard, P. Synthesis of 2-thioxoimidazolin-4-one and thiazolo[3,2-a]-benzimidazole derivatives from substituted maleimides. Arkivoc 2010, 10, 328–337. [Google Scholar] [CrossRef]
- Hahn, H.G.; Nam, K.; Mah, H. A simple construction of 2-phenylimino-1,3-thiazolidin-4-ones. Heterocycles 2001, 55, 1283–1289. [Google Scholar] [CrossRef]
- Sogame, S.; Suenaga, Y.; Atobe, M.; Kawanishi, M.; Tanaka, E.; Miyoshi, S. Discovery of a benzimidazole series of ADAMTS-5 (aggrecanase-2) inhibitors by scaffold hopping. Eur. J. Med. Chem. 2014, 71, 250–258. [Google Scholar] [CrossRef] [PubMed]
- Vanaa, J.; Hanusek, J.; Ruzicka, A.; Sedlaka, M. Efficient Synthesis of 5-(2-Hydroxyethyl)-2-phenylimino-1,3-thiazolidin-4-ones and 5-(2-Hydroxyethyl)-2-phenylamino-4,5-dihydro-1,3-thiazol-4-ones. J. Heterocycl. Chem. 2009, 46, 635–639. [Google Scholar] [CrossRef]
- Kabashima, S.H.; Okawara, T.; Yamasaki, T.; Furukawa, M. Synthesis of Novel 1,3-Thiazolidines and 1,3,4-Thiadiazolines from Thiocarbohydrazines. Heterocycles 1990, 31, 1129–1139. [Google Scholar] [CrossRef]
- Kumsi, M.; Poojary, B.; Lobo, P.L.; Fernandes, J.; Chikkanna, C. Synthesis of Some Fused Triazole Derivatives Containing 4-Isobutylphenylethyl and 4-Methylthiophenyl Moieties. Z. Naturforsch. B 2010, 65, 1353–1358. [Google Scholar] [CrossRef]
- Lobo, P.; Poojary, B.; Manjunatha, K.; Kumari, N.S. Synthesis and Antimicrobial Evaluation of Some New 2-(6-Oxo-5,6- dihydro[1,3]thiazolo[3,2-b]-2-aryloxymethyl-1,2,4-triazol-5-yl)-arylacetamides. Z. Naturforsch. B 2014, 65, 617–624. [Google Scholar] [CrossRef]
- Pyrih, A.; Berninger, M.; Gzella, A.; Lesyk, R.; Holzgrabe, U. Synthesis and evaluation of antitrypanosomal activity of some thiosemicarbazide derivatives of 1-butyl-6-fluoro-7-morpholino-4-oxo-1, 4-dihydroquinoline-3-carboxylic acid. Synth. Comm. 2018, 48, 1883–1891. [Google Scholar] [CrossRef]
- Golota, S.; Sydorenko, I.; Surma, R.; Karpenko, O.; Gzella, A.; Lesyk, R. Facile one-pot synthesis of 5-aryl/heterylidene-2-(2-hydroxyethyl- and 3-hydroxypropylamino)-thiazol-4-ones via catalytic aminolysis. Synth. Comm. 2017, 47, 1071–1076. [Google Scholar] [CrossRef]
- Holota, S.M.; Derkach, H.O.; Demchuk, I.L.; Vynnytska, R.B.; Antoniv, O.I.; Furdychko, L.O.; Slyvka, N.Y.; Nektegayev, I.O.; Lesyk, R.B. Synthesis and in vivo evaluation of pyrazoline-thiazolidin-4-one hybrid Les-5581 as a potential non-steroidal anti-inflammatory agent. Biopolym. Cell 2019, 35, 437–447. [Google Scholar] [CrossRef]
- Holota, S.M.; Derkach, G.O.; Zasidko, V.V.; Trokhymchuk, V.V.; Furdychko, L.O.; Demchuk, I.L.; Semenciv, G.M.; Soronovych, I.I.; Kutsyk, R.V.; Lesyk, R.B. Features of antimicrobial activity of some 5-aminomethylene-2-thioxo-4-thiazolidinones. Biopolym. Cell 2019, 35, 371–380. [Google Scholar] [CrossRef]
- Schadich, E.; Kryshchyshyn-Dylevych, A.; Holota, S.; Polishchuk, P.; Džubak, P.; Gurska, S.; Hajduch, M.; Lesyk, R. Assessing different thiazolidine and thiazole based compounds as antileishmanial scaffolds. Bioorg. Med. Chem. Lett. 2020, 30, 127616. [Google Scholar] [CrossRef] [PubMed]
- Ainsworth, C. 1,2,4-Triazole. Org. Synth. 1960, 40, 99. [Google Scholar] [CrossRef]
- Humphries, R.M.; Ambler, J.; Mitchell, S.L.; Castanheira, M.; Dingle, T.; Hindler, J.A.; Koeth, L.; Sei, K. CLSI Methods Development and Standardization Working Group of the Subcommittee on Antimicrobial Susceptibility Testing. CLSI Methods Development and Standardization Working Group Best Practices for Evaluation of Antimicrobial Susceptibility Tests. J. Clin. Microbiol. 2018, 56, e1917–e1934. [Google Scholar] [CrossRef] [PubMed]
- Nenoff, P.; Oswald, U.; Haustein, U.F. In vitro susceptibility of yeasts for fluconazole and itraconazole. Evaluation of a microdilution test. Mycoses 1999, 42, 629–639. [Google Scholar] [CrossRef] [PubMed]
- Filippi, J.-J.; Fernandez, X.; Lizzani-Cuvelier, L.; Loiseau, A.-M. Syntheses and olfactory characteristics of flavouring and perfuming lactone thiono-analogues. Flav. Fragr. J. 2005, 21, 175–184. [Google Scholar] [CrossRef]



| Compound, Refeerence Drugs | Zone of Inhibition | ||||
|---|---|---|---|---|---|
| S. aureus ATCC 25,923 MSSA | S. aureus MRSA a | S.epidermidis MRSE a | E. coli ATCC 25922 | C. albicans a | |
| 2a | 7.40 ± 0.40 | 8.55 ± 0.24 | 8.55 ± 0.24 | - | 11.03 ± 0.61 |
| 2d | 9.13 ± 0.43 | 7.89 ± 0.30 | 9.83 ± 0.20 | - | 12.58 ± 0.75 |
| 2e | 14.06 ± 0.51 | 17.25 ± 0.38 | 15.50 ± 0.50 | 8.00 ± 0.48 | 12.75 ± 0.45 |
| Ampicillin, 10.0 μg/mL | 23.58 ± 0.63 | 7.69 ± 0.28 | 7.88 ± 0.34 | 16.80 ± 0.40 | - |
| Fluconazole, 10.0 μg/mL | - | - | - | - | 14.71 ± 0.39 |
Publisher’s Note: MDPI stays neutral with regard to jurisdictional claims in published maps and institutional affiliations. |
© 2022 by the authors. Licensee MDPI, Basel, Switzerland. This article is an open access article distributed under the terms and conditions of the Creative Commons Attribution (CC BY) license (https://creativecommons.org/licenses/by/4.0/).
Share and Cite
Holota, S.; Derkach, H.; Antoniv, O.; Slyvka, N.; Kutsyk, R.; Gzella, A.; Lesyk, R. Study of 1,2,4-triazole-3(5)-thiol Behavior in Reactions with 1-phenyl-1H-pyrrole-2,5-dione Derivatives and 3-bromodihydrofuran-2(3H)-one and Antimicrobial Activity of Products. Chem. Proc. 2021, 3, 68. https://doi.org/10.3390/ecsoc-24-08419
Holota S, Derkach H, Antoniv O, Slyvka N, Kutsyk R, Gzella A, Lesyk R. Study of 1,2,4-triazole-3(5)-thiol Behavior in Reactions with 1-phenyl-1H-pyrrole-2,5-dione Derivatives and 3-bromodihydrofuran-2(3H)-one and Antimicrobial Activity of Products. Chemistry Proceedings. 2021; 3(1):68. https://doi.org/10.3390/ecsoc-24-08419
Chicago/Turabian StyleHolota, Serhii, Halyna Derkach, Olha Antoniv, Natalia Slyvka, Roman Kutsyk, Andrzej Gzella, and Roman Lesyk. 2021. "Study of 1,2,4-triazole-3(5)-thiol Behavior in Reactions with 1-phenyl-1H-pyrrole-2,5-dione Derivatives and 3-bromodihydrofuran-2(3H)-one and Antimicrobial Activity of Products" Chemistry Proceedings 3, no. 1: 68. https://doi.org/10.3390/ecsoc-24-08419
APA StyleHolota, S., Derkach, H., Antoniv, O., Slyvka, N., Kutsyk, R., Gzella, A., & Lesyk, R. (2021). Study of 1,2,4-triazole-3(5)-thiol Behavior in Reactions with 1-phenyl-1H-pyrrole-2,5-dione Derivatives and 3-bromodihydrofuran-2(3H)-one and Antimicrobial Activity of Products. Chemistry Proceedings, 3(1), 68. https://doi.org/10.3390/ecsoc-24-08419

