Abstract
Different starch properties may cause alterations in the foodstuff’s external appearance. However, modification processes in starches are usually secretive. The use of chemically modified starches is regulated by international standards, which makes it important to identify its presence and type. Mid-infrared spectroscopy (MIR)-modified starches’ identification can be hindered by the presence of excess glucose. This research investigates types of modification in commercial starches and in approaches that circumvent MIR’s limitations with exploratory analysis. It also considers that enzymatic hydrolysis (α-amylase and amyloglucosidase) can highlight the points of modification in the structure, which can be detected with infrared assays. To determine if sour cassava starch (FCS) is modified and check its type, six samples were selected: a native one, three of the most common cassava modified starches (etherified, esterified, and FCS), and two laboratory processed samples (Acid, Oxidized). The results showed that the sour cassava starch showed similarities with a commercial ester and an oxidized cassava starch, which may be due to the formation of a graft, corresponding to what the literature has already reported for corn starch treated with lactic acid and gamma radiation.
1. Introduction
As discussed by Cereda, Vilpoux, and Demiate (2003) [1], starch modifications should always be considered in relation to physical or chemical modifications. According to National Starch (1997) [2], unmodified native starch granules are easily hydrated, can swell quickly, have greater friability, and produce a slightly dense, elastic, and cohesive paste. Very often, natural or native starch is not the most suitable for specific processes. Native starch can be modified to supply amylaceous products with the necessary properties for specific uses.
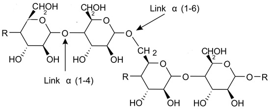
Cereal starch, as well as starches of tropical origin, all have the amylose polymers formed by glucose molecules and bound by α-D-glycosidic links that give them a straight-line configuration; and amylopectin, a graft polymer with α-1,4 and α-1,6 links, of higher molecular weight (Figure 1) [1]. However, on this common basis, starch extracted from cereals may have specific and different functional properties, which lead to different uses. For example, cereal starch gels have more consistency, less transparency, and greater retrogradation than cassava starch gel, which is more viscous, transparent, and retrogrades less. The starch modifications alter its application properties with little to no change in its external appearance (a white powder), as discussed by Cereda, Vilpoux, and Demiate (2003) [1].
Figure 1.
Spatial chemical structure of glucose in amylopectin and radicals that may be substituted or reacted upon (link α-1,4 and link α-1,6).
The chemical modifications of starch such as carboxymethyl starch and acetylated starch originated from processes already available for cellulose Rickard, Asaoka, and Blanshard [3]. The food sector is the biggest market for modified starches but with more restrictions as consumers want more natural products (Park and Kim, 2021) [4].
The prices of modified starches are always higher than those of native starches from the same sources. This valuation makes this sector a factory secret. The main modified starches for industrial use were adjusted from cellulose to corn starch, and only migrated to cassava starch when it became a commodity (Whistler, 2012) [5].
Still, there are many adjustments to be made, and more expensive modified starches are still in the hands of international companies. In foods, the use of modified starches is usually regulated by norms and laws, as presented by Vilpoux (2023) [6].
One of the main causes of starch-related technological problems is amylose retrogradation. The solution to this problem is modifying the starch structure, obtaining modified starch with low viscosity (Howling, 1974) [7]. Low-viscosity starch is prepared by the controlled degradation of native starch. Low-viscosity starch may be gelatinized in water with higher solid concentrations (10% to 65% of starch) [8]. Low-viscosity starch is necessary in applications where a high solid content is needed, keeping the viscosity at levels which enable good working and pumping efficiency. A high viscosity of a heated dispersion of native starch requires great water volumes with low solid concentration; this is in order to achieve a viscosity that enables manipulation. For pumping, mixing, and application in materials (paper and textiles), a low solid concentration requires great energy and extensive drying. Low viscosity starch is obtained when starch undergoes a treatment causing the breakup of glycosidic links of glucose molecules and, consequently, the product’s viscosity is reduced. Several processes may be used in order to obtain low-viscosity starches. The process of low-viscosity starch production may be performed by several process, heat and acids (dextrin), acid-modified starch, oxidizing agents (oxidized starch), or α-amylases (enzyme-modified starch) [8].
The functional properties of starches may be modified to improve its application on an industrial scale (Moorthy 1994) [9]. For these adjustments in the chemical structure, chemical, physical, and enzymatic processes, or a combination of those, were used. The commercial process can be classified into reactions of substitution or addition, depolymerization and interconnection (crosslinked) [10].
Native starch is primarily intended for food uses and for the paper and cardboard industries. The fermentation, pharmaceutical, chemical, cosmetic, metal, and mining industries are also low starch consumers. In Brazil, modified starch is mainly used in the paper industry and lower quantities are intended for the food and textiles industries (Cereda, Vilpoux and Demiate, 2003) [1].
The different ways of modifying native starch can be summarized as altering one or more of the following properties: paste temperature, solids/viscosity ratio, starch paste resistance to reduction of viscosity by acids, heat and/or mechanical agitation (shear), retrogradation tendencies, and ionic and hydrophilic nature [8]. Starch needs to be modified to increase its benefits and value, but there are very remote possibilities that it may obtain new by-products (BeMiller, 1997) [9]. The last chemical modification to be disclosed was the grafted starch.
Chemically modified starches are among the most common ones produced with cassava starch in Brazilian factories, as they are simpler and cheaper. Among these, those oxidized, acetylated, etherified, esterified, and modified with cationic acids, stand out.
Among native starches obtained from Latin American raw-materials, only the cassava starch is widely-known. Cassava starch may be acid-modified to reduce its viscosity and then used in the textiles, paper, and food industries. Modified oxidized gels, very clear and of low viscosity when hot, are used for making clearer and softer jelly gums (Cereda, Vilpoux, and Demiate, 2003) [1].
As Dias et al. (2007) [11] discussed, the oxidation of starch involves the conversion of hydroxyl groups to carboxyl, ketone, or aldehyde groups. The carboxyl groups are formed during the oxidative modification of the starch macromolecules that also cause an increase in the reducing value due to the partial fragmentation of the polymers. Starch may be oxidized by several agents, such as sodium hypochlorite (NaOCl), calcium hypochlorite, ammonium persulfate, potassium permanganate, hydrogen peroxide, peracetic acid, sodium hydrochloride, perborate, and hypochlorous acid (chloride in water). Wurzburg (1996) [12] discussed a summary of the elaboration process of oxidized starch. In the oxidation process, glucose rings are broken, forming carboxylic radicals (COOH) and carbonylic radicals (C=O) while they are de-polymerized. The hydrolysis brings about the viscosity reduction of pastes. The reaction is obtained by the chlorine gas bubbling through a solution of cold sodium hydroxide.
In the elaboration of stabilized starches, the processes are similar to those used to make modified and oxidized acids, but the reaction forms an ester or an ether, which reduces the flexibility of the radicals (Takizawa, Silva, Konkel, and Demiate, 2004) [13]. In this case, the starch shows a reduction of the retrogradation tendency (Cereda, Vilpoux, and Demiate, 2003) [1].
Another example of a stabilized starch is a South American modified starch obtained from cassava described by Westby and Cereda (1994) [14]; it is the sour cassava starch (sour starch or Polvilho azedo), traditionally made by fermentation in which lactic acid predominates, followed by sun drying. This simple process gives cassava starch the permanent property of expanding when baked in an oven at 200 ºC, without the use of leavening agents, such as yeast and baking soda.
This article is a continuation of the proposal by Demiate, Dupuy, Huvenne, Cereda, and Wosiacki (2000) [15], where FTIR was applied in an attempt to explain the expansion in the oven of sour cassava starch subjected to solar UV-C radiation, where it was possible to verify that a notable analytical signal at around 1060 cm−1 was necessary for predicting the expansion.
The consumer acceptance of foodstuffs containing starch such as gari (a typical African flour-like product) can be highly influenced by the properties of the starch content; thus, with this direct link to marketing perception and values, these types of study are extremely relevant to the commercial and scientific community. Identifying those properties is not trivial [16].
Specifically, for starches, modifications that may not alter the structure of the granules make the identification on light microscopy harder [17], which facilitates fraudulent actions because the starch from various botanical sources is always a white powder. With the consumer’s preference for healthy foods, the effective identification of different types of starch modifications becomes fundamental in the market [2]. The microscopic characteristics of starch granules may differ only from the botanical species [3,4,5], so methods that allow better identification, quality control, and the identification of fraud—in the event that more expensive starches are replaced by cheaper starches [18]—become necessary.
Many of the sensory aspects of cooked food containing starch change due to its properties, as written previously. These changes can occur due to the molecules’ organization in space and granule size, among other aspects, that have a macroscopic impact. The expansion and heat distribution on the starch-containing food can be affected by these properties above [15,18].
The methods used for starch analysis are time-consuming, but mid-infrared spectroscopy allows for the analysis of a small sample, identifying most modifications quickly and accurately, as proven in many food and starch products, including starches with expansion properties [15,19,20,21]. However, the presence of excess glucose in these polymers makes the analysis difficult. This article evaluates enzymatic hydrolysis (α-amylase and amyloglucosidase) followed by dialysis to eliminate the free glucose in seven samples of modified starches.
Mid-infrared spectroscopy (MID) allows for molecular structure exploration as a function of the functional groups present, but this can be hampered by the chemical composition of starch consisting substantially of glucose molecules, which can conceal the few radicals that give modified starch its special properties [21,22]. Therefore, the use of in-depth infrared analysis in starches in order to evaluate these small compositions is justified.
Despite its economic importance in South America, sour cassava starch is still produced by natural fermentation followed by sun exposition [18]. Not yet classified as modified starch, it can only be identified by the expansion property evaluated by the specific volume in baking [12,19] and the carboxyl content [12]. Its characterization as reported in the literature points to an oxidation reaction [12] linked to the action ultraviolet radiation [20]. The type of modification to produce these characteristics is not yet well established. For some types of modified starches, the residues generated by enzymatic treatments have been an important tool to elucidate its internal structure.
This article evaluates the identification of modified starches by use of MIR, where samples of modified starches were submitted to previous treatment with amylolytic enzymes with auxiliary techniques. The results thus obtained were compared via the appearance of starch granules under optical microscopy, carboxyl content, and mass removal percentage.
2. Materials and Methods
2.1. Starch Samples
Seven samples were selected: a native cassava starch, three commercia, and two laboratory modified cassava starches. The native (native starch) was donated by the company Paranaense® and used as control (A), and six samples of modified cassava starches were selected to cover the main modified starches in the Brazilian market. The commercial modified starches were (B) Acetylated (Cargill® SA), (C) Etherified (Lorenz®), and (D) Esterified (Lorenz®). From the native cassava starch, we prepared the following in the laboratory: (E) Oxidized starch by using hydrogen peroxide (H2O2 Synth® PA v:w 2.5% v:w), as described in Cereda, Vilpoux, and Demiate (2003) [1]; (F) Acid starch prepared as described by Dias et al. (2007) [12], but using lactic acid (C3H6O3 PA Synth® 4% v:w MS), a food safety reagent; and (G) a commercial sour cassava starch (Polvilho azedo) Yoki®, prepared as described in Westby and Cereda (1994) [14] and subjected to natural lactic fermentation, with subsequent exposure to sun radiation.
2.2. Characterization of Modified Starches
2.2.1. MIR Analysis
Previous Enzymatic Treatment
Enzymatic treatment is recommended by Kizil, Yaraj, and Seetharaman (2002) [23] to remove glucose molecules that fill in practically all the structure of the starch granule and which, according to Chough et al. (2006) [24], hinder the analysis of infrared spectrometry. The technique described by the authors is based on the specificity of the reaction of the enzymes to the substrate, which allows us to highlight the points in which the modification makes coupling with the enzymes difficult, which the authors related to the type and degree of modification in the starch. The precautions mentioned by Uthumporn et al. (2010) [25] were also followed, with pH and temperature control in the ranges indicated by the manufacturers in order to remove only the areas of the structure of the starch granules that did not present obstacles to the enzymes.
All samples described in item 2.1 were submitted to previous treatment. For samples of 10 g (DM), starches were dispersed in 500 mL deionized water under agitation and the natural pH was adjusted to the range of 6.0 to 8.0, as recommended by the Novozymes® as suitable for the action of α-amylase. The adjustment was made with acetic acid (0.01 M) or sodium hydroxide (0.01 M). The suspension was then kept under stirring in a water bath (Bath Dubnoff TE-053) and 30 µL of thermal resistant Thermamyl Novozymes® was added, as recommend by manufacturers, when temperature ranged 90 to 100 °C. The activity declared by Novozymes® was 240 KNU-T g−1 of α-amylase synthesized by Bacillus licheniformis.
After 60 min, the pH of the slurry was again adjusted to a range of 4.0 to 4.5 and the temperature ranged between 57 to 70 °C. After that, 30 µL of AMG Novozymes® was added with activity expressed as amyloglucosidase is AGU 300 mL−1 (gluco-amylase synthesized by Aspergillus Niger). The suspension remained under stirring at 600 rpm for 60 min according to Novozymes® recommendation.
Separation of the Solid Residues from Enzymatic Treatment
After the enzymatic treatment, the samples were put into dialysis bags (Inlab® 33 mm × 21 mm × 30 cm) with porosity of 25 Å (Angstroms) with demineralized water at 4 °C for 15 h. The solubilized sugars were passed through the pores of the dialysis tubes and a solid residue resistant to enzymes remained inside the tube. Periodic exchanges of deionized water were carried out to eliminate the sugars. Tests to detect reducing sugars were performed daily to confirm that the wash had been sufficient. Then, the residue was recovered by drying in an oven at 50 °C (Marconi®MA 307) with renewal and air circulation. The dried material was weighed to determine the grafting degree by the reduction of the starch sample and then prepared for near-infrared spectroscopy analysis (MID).
Mid-Infrared Spectral Analysis
The residues not accessible by enzymes were submitted to mid-infrared spectroscopy. For the spectral analysis in the mid-infrared region, Perkin–Elmer (Spectrum®One) equipment was used, provided with attachment attenuated total reflectance (ATR) equipped with a diamond crystal. We collected two spectra per sample with 20 scans each repetition (3) and resolution 4 cm−1. The spectral range considered was 4000 to 700 cm−1, enabling us to investigate of the molecular structure of the starch [2].
2.2.2. Traditional Methods for Identification of Modified Starches
The following analyses were selected among those cited by Cereda (2023) [26].
Appearance of Starch Granules under Optical Microscopy
To verify if the modification of the functional properties of starch interferes with its appearance, the technique described by Schoch and Maywald (1956) [17], highlighted by Cereda (2023) [26], was used for all the starch samples.
Carboxyl Content
The carboxyl content was measured as described by Smith (1967) [27]. About 500 mg of starch (DM) was exactly weighed and suspended in 30 mL of hydrochloric acid (0.1 M HCl Synth®PA). After 30 min, the sample was washed, and 300 mL of distilled water was added. Then, the suspension was gelatinized for 10 min and titrated with sodium hydroxide (NaOH 0.002 v:w Synth®PA). The results were calculated by the following mathematical formula and were expressed as percentages: .
Mass Removal Percentage
The mass removal percentage was adapted from Wang et al. (2012) [16], considering the hypothesis that the residue have reduced mass by concentration by the remotion of sugar molecules containing the functional groups of the modified starch and—in this author’s case, included the grafted group, a type of starch modification. The calculation considers the initial dry mass of the sample, subtracts the weight of dried residue after enzymatic treatment, and the difference is expressed as a percentage.
2.3. Data Analysis
The experiment design consisted of two repetitions of the enzymatic hydrolysis treatment, with laboratory tests in duplicate. The MIR spectra distribution was analyzed according to the principal component analysis (PCA) [18]. PCA was calculated with Origin 9.0, with the MIR specters. In simplified terms, single value decomposition was used in order to transform the wavenumber bands from the spectral data into two main variables (principal component 1 and 2), that contain the variance of the whole dataset.
3. Results
3.1. Results of MIR Analysis
Figure 2 brings together the results of MIR responses, considering residues from the enzymatic digestion of samples of cassava starch: native and with modifications. Moreover, Table 1 displays the most associated spectral peaks of different modified starches, according to literature.
Figure 2.
MIR spectra peaks of the residues after the enzymatic digestion of cassava starch samples: native, acetylated, etherified, esterified, oxidized, modified lactic acid, and sour cassava starch.
Figure 2.
MIR spectra peaks of the residues after the enzymatic digestion of cassava starch samples: native, acetylated, etherified, esterified, oxidized, modified lactic acid, and sour cassava starch.

Table 1.
Type of modification and peaks related to the modification with wavenumber in FTIR with references.
Table 1.
Type of modification and peaks related to the modification with wavenumber in FTIR with references.
| Type of Modification | Wavenumbers | Reference |
|---|---|---|
| Native | 1656–1640 cm−1/1800–1540 | [16,28] |
| Acetylated | 1250 cm−1 | [28] |
| Etherified | 1300 to 1220 cm−1 | [29] |
| Esterified | 1072 to 1088 cm−1 | [30] |
| Oxidated | 1680 to 1780 cm−1 | [31,32] |
| Similar to sour cassava starch | 1047 to 1022 cm−1 | [33] |
| Lactate | 1585–1595 | [16] |
It can be seen that most modifications on the starches just change or add radicals to carbons in the glucose units. The only modification that may affect the carbons 1 and 5 is the opening of the glucose ring. According to Wang et al. (2012) [16], a strong peak at 3252–3547 cm−1 region is assigned to the stretching vibration of the OH radical, while peaks 2929 cm−1, 1654 cm−1, and 1161–1002 cm−1 are assigned to the vibration of CH bonds, molecular bonds, and intra CO bond in starch.
In an initial analysis, the profile bands for all samples are similar due to the amount of remaining α-1,4 and α-1,6 bonds (Figure 1), and the spectra show the characteristic bands of carbohydrates. The region between 3600 and 2800 cm−1 involves the stretching vibrations of OH and CH(v), and the vibrations of OH appear as very strong and broad bands, with contributions from inter and intramolecular hydrogen bonds. The local symmetry band (1500–1200 cm−1) is mainly due to the coupling of deformation vibrations (d) groups involving hydrogen atoms, i.e., HCH, CCH, HCO, and COH. At 1200 and 950 cm−1, the spectral range corresponds mainly to the endocyclic and exocyclic vibration of stretching the CO from carbohydrates to 1020 cm−1.
The region 950–700 cm−1 is the “fingerprint” or anomeric range, including deformation vibration of COH, CCH, and OCH groups. A range of less than 700 cm−1 corresponds to the structure of starch with vibration modes including the deformation of the angles formed by heavy atoms (CCO and COC) and internal rotations around CO bonds. While the samples presented as dehydrated at the time of analysis, the contribution of the OH bonds of water molecules cannot be excluded; OH stretching absorptions are 3300 cm−1. Absorptions, symmetric and asymmetric νCH, are observed between 3000 and 2800 cm−1.
To the results shown in Figure 3, the PCA technique was applied, which explains 64% of the results obtained, establishing four quadrants to represent the seven analyzed samples. In addition to viewing the location of the samples, the figure highlights the similarities and their relevance.
Figure 3.
Principal component analysis of residues after enzyme-catalyzed reaction of cassava starch samples of native, acetylated, etherified, esterified, oxidized, and sour cassava starch. Labels A–G were given according to Section 2.1.
Figure 3.
Principal component analysis of residues after enzyme-catalyzed reaction of cassava starch samples of native, acetylated, etherified, esterified, oxidized, and sour cassava starch. Labels A–G were given according to Section 2.1.

In simple terms, the PCA is a dimensionality reduction technique that allows the visualization and analysis of multidimensional data (such as in infrared spectral data, in which each wavenumber is a variable or dimension) in a planar or bidimensional graph. The first 2 PCs (shown in both axis of Figure 3) are new variables calculated from the whole spectra that contain dataset information and correlations between samples, as shown in the explained variance of PC1 (64.00%) and PC2 (19.00%). Therefore, the samples’ proximity, shown in the PCA figure, demonstrates the similarity between samples.
Figure 3 allows us to consider that among the evaluated modifications, the sample of sour cassava starch was closer to etherified starches (0.40%), followed by oxidized starches (0.30%). The sample of acid-modified starch that is an important part of the modification process explained only 0.07% of the data. However, what most influenced the distribution of explanation percentages was the high acetylation cassava starch sample, with 2% explanation. More discussion about the relationship between samples shown in the PCA analysis was included in the Section 4.
3.2. Traditional Methods for Identification of Modified Starches
The results obtained by other analyses selected from the literature to identify groups of modified starches are presented in Figure 4 and Table 1 for the purpose of comparison with the results obtained by MIR.
Figure 4 presents the aspect of the cassava starch granules for the native starch and for each of the evaluated modifications. All images were taken with the same magnification. In addition to morphology and size, the technique described by Cereda (2023) [26], based on the proposal by Schoch and Maywald (1956) [17], which was developed to identify starch granules with positive or negative charges by modified starches using dyes, would separate those with negative charges via blue staining, which did not occur.
Figure 4.
Optical microscopy of cassava starches at 100× magnification: (A) native; (B) sour cassava starch; (C) acetylated; (D) etherified; (E) esterified; (F) oxidized; (G) lactic acid modified.
Figure 4.
Optical microscopy of cassava starches at 100× magnification: (A) native; (B) sour cassava starch; (C) acetylated; (D) etherified; (E) esterified; (F) oxidized; (G) lactic acid modified.

Although it is possible to identify the miter shape, which is one of the most characteristic forms of cassava starch and which allows its identification, it is not possible to establish a distribution pattern. These results find support in the literature; Cereda (2023) [26], Parada, Zapata, de Fabrizio, and Martinez, (1996) [34], and Marcon, Vieira, Santos, et al. (2006) [35] found perforations on the surface of cassava starch granules that were subjected to fermentation and solar drying but were unable to establish a pattern that would lead to its differentiation among granules of starches submitted to other types of modifications. Table 2 presents the results obtained with the enzymatic treatment of starch samples, in base of Carboxyl’s content and modification degree.
Table 2.
Percentage of carboxyl, degree of substitution, and residue weight after by hydrolysis treatment of native and modified cassava starches (means of 2 repetitions).
Carboxyl analysis
The carboxyl analysis represents free radicals. It highlights that the sample (E) of oxidized starch differed by 0.30%, and was higher than the sample of sour cassava starch (F) with 0.07. The lowest value of 0.07 was presented by the modified acid, in this case with lactic acid. The other samples did not present Carboxyl contents. These results are supported by the literature.
Wang, Liang, Zhang, Zhou, and Du (2017) [32] observed that the carboxyl content of native cassava starch was 0.062%, while for sun-dried sour cassava starch, this value increased to 0.064%.
Mass removal percentage
Table 1 shows that the native cassava starch lost the most mass after treatment with the enzymes, which was expected since the bonds found are only alpha 1,4 and 1,6, which are broken by the selected enzymes. In order from lowest to highest weight loss were the etherified (0.40), acetylated (0.50), and esterified (0.90) samples.
4. Discussion
A comparison of methods for identifying modified starches is given below. MIR analysis is presented in the literature with many advantages over traditional physical–chemical analyses, but requires good standardization with well-established samples, which is precisely the case of the research submitted. In this case, the selected starch was from cassava and the standard samples were commercial starches found on the Brazilian market. Native cassava starch was used as the standard for the MIR analysis and also served as a raw material for obtaining two of the simplest modified starches to be prepared, namely, the modified acid and the oxidized one. Among the samples of modified cassava starch available in the Brazilian market, it was possible to obtain four more samples whose process is more sophisticated; these were (B) acetylated (Cargill® SA), (C) etherified (Lorenz®), (D) esterified (Lorenz®), and (G) a commercial sour cassava starch (Polvilho azedo) Yoki®, which sums up at least two modifications: acid-modified by lactic acid and a physical modification by UV-C solar radiation.
4.1. MIR
The observation of the enzymatic digestion effect on the emphasis of the peaks is facilitated by multivariate principal component analysis (PCA). The axis of the groups selected for the results of the mid-infrared wavelength spectra explain 64% of results (Figure 1).
The obtained clusters (Figure 2) reflect the modifications, observing the duplicates, which have an almost superimposed position, indicating that the method allows us to differentiate the samples by the type of modifications. The first principal component separated the large group of modifications, and the second one separated the samples of starches modified by stabilization, consistently grouped in the upper and lower right quadrant. In this quadrant, the distance between the points of the samples can be explained by the much higher degree of substitution in the acetylated (2.00) than in the esterified (0.05) and etherified (0.40) samples.
Because the PC1 (horizontal axis) has more explained variance (64%), it could be said that the acid-modified, sour cassava starch, and oxidized starches are highly similar, the native starch is somewhat isolated and, finally, the etherified, high acetylated, and esterified starches could be considered another group and are also highly similar. In the second PC (vertical axis), PC2, all samples were fairly separated. Therefore, the clear grouping of the samples in the groups in PC1—and the sample separation in PC2, discussed previously—show that the infrared spectra are capable of identifying the modifications in the analyzed starches.
The degree of change in the starch structure introduced by modifications can be emphasized by the distance between the native starch and those modified by reactions conducted at the laboratory to obtain acid-modified (lactic) and oxidized starch.
For Demiate, Dupuy, Huvenne, Cereda, and Wosiacki (2000) [15], oxidized starches prepared with potassium permanganate and citric and lactic acid solutions did not expand in the oven. The authors found that the region at 1600 cm−1 was positively correlated with the expansion in baking, with the same occurring when cassava starch is fermented and subjected to solar U-VC radiation.
The residues obtained after the enzymatic reaction by the removal of glucose molecules were evaluated by mid-infrared spectroscopy (MIR). The MIR analysis can be conducted quickly and with greater certainty, as it is already used to distinguish different types of products and foods [26,27]. It is also considered an important tool in distinguishing the native starches from the modified ones [28,29].
The similarity between the results of Wang et al. (2012) [16] concerning corn starch treated with lactic acid and the sample of sour cassava starch is not a mere coincidence. The authors also analyzed by mid-infrared spectrometry, and they point out that the samples showed two new peaks that characterize absorption of the carbonyl group, stretching in 1744 cm−1, and the stretching of the CH group in the chain of polylactide to 2987 cm−1, respectively. All other peaks match those of starch except for some peaks shifted in some wave numbers due to the electrical effects of the ester group, which indicated that starch-g-lactic was synthesized in this system.
The question of how to explain these characteristics remains. For the sample of starch treated with lactic acid, it is possible to conclude that this treatment not only approximates the results of carboxyl groups but also those presented by sour cassava starch. One hypothesis is that the treatment with lactic acid alone is not relevant for the modification but is relevant if the lactic acid is present during the treatment with UV-C from the sun or artificial sources, with a known oxidizing effect. The graft of the lactide formatted to the starch structure as an ether [13] would draw acids radicals from starch, which could explain the increase and stability of pH values in samples subjected to the joint action of the addition of lactic acid and UV-C treatment [19].
The hypothesis is supported further by the fact that the sample of commercial sour cassava starch has the same degree of mass removal (Table 1) as the sample of starch discussed, respecting the degree of substitution. In this case, it would be possible to say that the use of the amylolytic enzymes technique used in the preparation of the samples allows for the better identification of changes occurring on starches, including the sour cassava starch.
Lactitol formation as an inclusion in the starch structure as an ether is reported in samples of native corn starch grafted with lactic acid and, according to Wang et al. (2012) [16], is not evidenced if the sample is not submitted to enzymatic treatment. According to the same author, in starches previously treated with lactic acid, the peak occurs between 1585 and 1595, and is therefore outside the starch fingerprint region. Still, according to the author, the maximum point occurs at 950 cm−1, which appears only in the presence of lactic acid. The same occurs in the 1185–1195 cm−1 band. The author also points out that the compound formed presents two new peaks, which are the characteristic absorption of the elongation of the carbonyl group at 1744 cm−1 and the elongation of the C-H group in the polylactate chain at 2987 cm−1, respectively. The other peaks correspond to those of starch, which can be shifted by some wavenumbers due to the electrical effects of the ester group, which indicates that g-lactic starch was synthesized in this system.
4.2. Other Analyses
Carboxyls or reducing power measure the free radicals created at the non-reducing extremity of amylose and amylopectin, the main polymers that compose the starch. The highest values were observed for the starches modified by the hydrogen peroxide treatment (oxidized starch). The increase in the reducing value could be explained by the partial degradation of the polysaccharides during the oxidation reaction. Later, these molecules, partially reduced from their molecular mass, can reaggregate.
The carboxyl percentage can indicate both the oxide- and acid-treated modifications. The samples in Table 1 do not show mass removal percentage for both samples of starches oxidized by hydrogen peroxide and treated with lactic acid, but the percentage of carboxyl groups in the oxidized starch was the highest (0.30%), and the starch treated with lactic acid was the lowest after the native starch (0.07%). The residue weights of these modified starches were always lower than those found for mass removal percentage, implying that obstacles to enzymatic action may have occurred. These results are unique, as they were not found in the literature for these types of modifications.
The sour cassava starch sample shows (Table 1) values of mass removal and carboxyl’s percentage that are compatible with the results previously discussed. The carboxyl content was half the value obtained for the lactic acid treated sample. This result is not consistent with what was mentioned above because, despite the sour cassava starch being weakly treated with acid, it has twice as many carboxyls.
The substitutive reaction represented by acetylated, etherified, and esterified samples (Table 1) does not present any carboxyl, but the mass removal percentage is compatible with commercial samples of modified starches. Ester values are between 2.0 and 0.2, and ether values are lower than 0.2, depending on the type of application [11]. Thus, their results confirm that the degree of substitution is suitable for measuring ester and ether type changes, which include cationic and amphoteric surfactants.
The results show that the native cassava starch showed the highest percentage of mass removal. The result is consistent, as native starch must not contain groups other than those that occur in natural biosynthesis. The second group was the same modified starch with lactic acid reaction for 60 min, in which the modifications correspond to the formation of acidic functional groups (carboxyl).
The third group includes a sample of sour cassava starch, for which the residual mass did not differ from the oxidized starch and the etherified samples. The sour cassava starches, etherified starches, and oxidized starches, despite having the same residual mass after enzyme attack, did not show the same percentage of carboxyl, showing that another mechanism prevented the action of enzymes, which is explained by the high degree of replacement of this modified starch.
This can be interpreted as the methodology recommended by the literature being able to measure the mass removal percentage for more than ten commercialized starches. For sour cassava starch, despite being well studied (even the foreign one), we have not yet sufficiently elucidated the modification by which it is obtained. Table 1 shows that due to the carboxyl content, the sour cassava starch would be closer to the oxidized starch, which agrees with the literature that highlights the oxidizing effect of sunlight or ultraviolet light in the production of substitutes for sour cassava starch. However, the development of both sour cassava starch and acid or oxidized starches includes acid treatment for varying periods. However, in the same Table 1, is possible to see that the carboxyl content of sour cassava starch makes it closer to oxidized starch that to acid-modified starch.
One explanation for this result is the hypothesis that the change that occurs in cassava starch is a graft. Contributing to this hypothesis is the fact that the lactic acid-modified starch sample contains a lower percentage of carboxyl. In this case, the literature explains that some of the carbonyl groups presents are converted into carboxyls., which are responsible for the polymerization of lactic acid by the inclusion of double oxygens and the formation of the lactide molecule, composed of two carbonyls [13].
The enzymatic treatments have allowed for the elimination of a large part of the starch polymer structure (mass removal percentage) which is removed during dialysis, such as glucose monomers (8 Å) able to cross the barrier membrane with 25 Angstroms and be dissolved in water. Inside the membrane, the molecular structure remains inert to the enzymes, which must include the functional groups introduced by modifications, which can be evidenced by the amount of non-hydrolyzed material (Table 1). A hypothesis to be considered by the results presented would be that the modification performed on cassava starch with acid treatment leads to the formation of carboxyl groups, a fact well established in the literature because of oxidation with the formation of hydrogen bonds [12,27]. However, the pattern of enzyme attack points to a more complex type of modification, such as lactic acid graft modification in the starch structure. In this case, the percentage would be equivalent to the degree of grafting cited by Wang et al. [13].
Finally, we analyze the methodology proposed for the identification of modified starches, mainly with respect to samples of chemically modified starches, i.e., by acid or oxidation treatment. The degree of modification is more detectable in case of substitution reactions. Moreover, the residue weight corresponds to a new approach in the analysis of modified starches and highlights how much of the sample was susceptible to attack by the enzymes that block the enzymes. The greater the weight of the residue, the greater the area of the starch granule refractory to the action of the enzymes, which means that it resists enzymatic digestion. The authors also point out that the sour cassava starch corresponds to the modified starch that expands in the oven without the use of leavening agents, but its structure has not yet been completely elucidated. This cassava starch has value in the food use market due to its expansion property. Its recognition is necessary since several substitutes have gained a foothold in the Brazilian market, driven by the increase in demand which is not met by the traditional production technology.
5. Conclusions
The samples used in this research are all white powder; and in this aspect it is impossible to differentiate native starch from commercial modified starch granules in shape, surface, or particle distribution pattern.
Both the MIR analysis and mass removed by enzymatic hydrolysis may be useful for identifying modified starches.
The percentage of mass removed in the hydrolysis of the starch samples, which should be proportional to the mass of unmodified starch, is therefore greater for native starch, which was confirmed as having the lowest mass residue among all samples. The same reasoning justifies the sequence found with greater mass and therefore greater resistance to enzymes in the order of esterified starch, which can be even more resistant if the modification causes grafting. Acetylated and etherified starches showed similar resistance to enzymes. The ones modified by oxidation presented resistance very close to sour cassava starch, confirming that it is an important modification for this product. This method is more applicable in the case of substitution reactions. Finally, the residue weight corresponds to a new approach in the analysis of modified starches and highlights how much of the sample was susceptible to attack by the enzymes that block the enzymes. The greater the weight of the residue, the greater the area of the starch granule refractory to the action of the enzymes, which means that it resists enzymatic digestion.
The authors also point out that the sour cassava starch corresponds to the modified starch that expands in the oven without the use of leavening agents, but its structure has not yet been completely elucidated. This cassava starch has value in the food use market due to its expansion property. Its recognition is necessary since several substitutes have gained a foothold in the Brazilian market, driven by the increase in demand is not met by a traditional production technology.
The results of another analysis selected to differentiate modified starches is the reducing power analysis, which measures the reducing ends potentially formed by breaking alpha 1,4 bonds, where a higher value is expected for acid-treated starches.
The available methods for the analysis of modified starches were efficient and accurate for the identification of alterations in the classic commercial cassava modified starch. For sour cassava starch, however, carboxyl analysis alone is not sufficient to detect changes, as it is non-specific. The degree of attack by α-amylase and amyloglucosidase allows for the differentiation of samples of modified starch and sour cassava starch, especially with the support of the mid-infrared spectrum (MIR). Results for the sour cassava starch samples approximated oxidized and acid-modified starch, with similar mass loss in the residue.
In conclusion, the MIR spectra results allow that among the commercial modifications of classic starch, the oxidized and etherified groups were closest to the commercial sour cassava starch.
The proximity of the sour cassava starch sample to the etherified starch sample observed in the PCA reinforces the hypothesis that the modification that occurs by the traditional manufacturing process, imitated by the laboratory process, is a grafting of lactic acid into the starch structure of cassava, which must be confirmed. Moreover, the clear grouping of the samples in PC1 and the sample separation in PC2, discussed in the pertinent section, show that the infrared spectra are capable of identifying modifications in the analyzed starches.
Finally, the importance of FTIR analysis in the evaluation of starches is confirmed with respect to both research and commercial samples.
Author Contributions
Conceptualization M.P.C. and N.D.; methodology, V.H.d.S.B., N.D., M.P.C. and I.M.D.; software, N.D. and I.M.D.; validation, N.D., I.M.D. and I.Y.L.d.M.; data curation, M.P.C., I.M.D. and I.Y.L.d.M.; writing—original draft preparation, V.H.d.S.B., M.P.C., I.M.D. and N.D.; writing—review and editing, I.Y.L.d.M., G.N.d.M.e.S., E.d.S.G. and E.K.G.M.; visualization, I.Y.L.d.M., E.d.S.G., G.N.d.M.e.S. and E.K.G.M.; supervision, M.P.C.; project administration, M.P.C. All authors have read and agreed to the published version of the manuscript.
Funding
The authors wish to thank the Brazilian National Council for Scientific and Technological Development (CNPq Processo 476216/2006-0) and Coordination of Improvement of Higher Education Personnel (CAPES) for PROSUP scholarship.
Institutional Review Board Statement
Not applicable.
Data Availability Statement
Not applicable.
Acknowledgments
We would like to thank Wadi Baganha, an academic student, for support in the enzymatic treatment methodology.
Conflicts of Interest
The authors declare no conflict of interest.
References
- Cereda, M.P.; Vilpoux, O.F.; Demiate, I.M. Modified starches. In Technology, Uses and Potentialities of South American Starchy Crops; Cargill Foundation: São Paulo, Brazil, 2003; Volume 3, pp. 246–332. (In Portuguese) [Google Scholar]
- National Starch & Chemical Industrial Limited. How to Choose: A Professional Guide to Food Starches. International Trusted Ingredient Advisers; National Starches Company: Bridgewater, NJ, USA, 1997; 8p. [Google Scholar]
- Rickard, J.E.; Asaoka, M.; Blanshard, J.V. The physico-chemical properties of cassava starch. Trop. Sci. 1991, 31, 189–207. [Google Scholar]
- Park, S.; Kim, Y.R. Clean label starch: Production, physicochemical characteristics, and industrial applications. Food Sci. Biotechnol. 2021, 30, 1–17. [Google Scholar] [CrossRef]
- Whistler, R. Industrial Gums: Polysaccharides and Their Derivatives, 2nd ed.; Elsevier: Amsterdam, The Netherlands, 2012. [Google Scholar]
- Vilpoux, O.F. International legislations for the use of modified starches in food and standards for native starches. In Starchy Crops Morphology, Extraction, Properties and Applications; Academic Press: Cambridge, MA, USA, 2023; Chapter 6; pp. 131–163. [Google Scholar]
- Howling, D. Modified starches for the food industry. Food Technology in Australia. Sidney 1974, 26, 464–467. [Google Scholar]
- Swinkels, J.J.M. Industrial Starch Chemistry: Properties, Modifications and Applications of Starches; AVEBE: Veendam, The Netherlands, 1996; 48p. [Google Scholar]
- Moorthy, S.N. Tuber Crop Starches; Technical Bulletin Series; Central tuber Crops Research Institute: Thiruvanthapuran, India, 1994; Volume 18. [Google Scholar]
- BeMiller, J.N. Starch modification: Challenges and prospects. Starch/Stärke 1997, 4, 127–131. [Google Scholar] [CrossRef]
- Dias, A.R.G.; Elias, M.C.; Oliveira, M.; Helbig, E. Oxidation of fermented cassava and common corn starches: Development of the expansion property. Cienc. Tecnol. Aliment. 2007, 4, 794–799. [Google Scholar] [CrossRef]
- Wurzburg, O.B. Converted starches. In Wurzburg, O.B. Modified Starches: Properties and Uses; CRC Press: Boca Raton, FL, USA, 1989. [Google Scholar]
- Takizawa, F.F.; Silva, G.D.O.D.; Konkel, F.E.; Demiate, I.M. Characterization of tropical starches modified with potassium permanganate and lactic acid. Braz. Arch. Biol. Technol. 2004, 47, 921–931. [Google Scholar] [CrossRef]
- Westby, A.; Cereda, M.P. Production of fermented cassava starch (Polvilho azedo) in Brazil. Trop. Sci. 1994, 2, 203–210. [Google Scholar]
- Demiate, I.M.; Dupuy, N.; Huvenne, J.P.; Cereda, M.P.; Wosiacki, G. Relationship between baking behavior of modified cassava starches and starch chemical structure determined by FTIR spectroscopy. Carbohydr. Polym. 2000, 42, 149–158. [Google Scholar] [CrossRef]
- Wang, Q.; Hu, Y.; Hu, J.; Liu, Y.; Yang, X.; Bian, J. Convenient synthetic method of starch/lactic acid graft copolymer catalyzed with sodium hydroxide. Bull. Mater. Sci. 2012, 35, 415–418. [Google Scholar] [CrossRef]
- Schoch, T.J.; Maywald, E.C. Microscopie examination of modified starches. Anal. Chem. 1956, 28, 382–387. [Google Scholar] [CrossRef]
- Smith, R.J. Characterization and analysis of starches. In Starch: Chemistry and Technology; Whistler, R.L., Paschall, E.F., Eds.; Academic Press: New York, NY, USA, 1967. [Google Scholar]
- Macêdo, I.; Machado, F.; Ramos, G.; Costa, A.; Batista, R.; Filho, A.; Asquieri, E.; Souza, A.; Oliveira, A.; Gil, E. Starch adulteration in turmeric samples through multivariate analysis with infrared spectroscopy. Food Chem. 2021, 340, 127899. [Google Scholar] [CrossRef]
- Dupuy, N.; Wojciechowskic, T.A.; Huvenn, J.P.; Legrand, P. Mid-red spectroscopy nachemormetrics in corn starch classification. J. Mol. Struct. 1997, 410–411, 551–554. [Google Scholar] [CrossRef]
- Dolmatova, L.; Ruckebusch, C.; Dupuy, N.; Huvenne, J.; Legrand, P. Identificationof Modified Starches Using Infrared Spectroscopy and Artificial Neural Network Processing. Appl. Spectrosc. 1998, 52, 329–338. [Google Scholar] [CrossRef]
- Galtier, O.; Dupuy, N.; Dreau, Y.; Ollivier, D.; Pinatel, C.; Kister, J.; Artaud, J. Geographic origins and compositions of virgin olive oils determinated by chemometric analysis of NIR spectra. Anal. Chim. Acta 2007, 595, 136–144. [Google Scholar] [CrossRef]
- Shokey, A.S.; Hanna, M.A. Properties of irradiated starches. Food Struct. 1993, 12, 397–410. [Google Scholar]
- Kizil, R.; Irudayaraj, J.; Seetharaman, K. Characterization of Irradiated Starches by Using FT-Raman and FTIR Spectroscopy. J. Agric. Food Chem. 2002, 50, 3912–3918. [Google Scholar] [CrossRef] [PubMed]
- Chough, S.H.; Kim, K.S.; Hyung, K.W.; Cho, H.I.; Park, H.R.; Choi, O.K.J.; Song, S.H.; Rogers, K.R. Identification of botanical origins of starches using a glucose biosensor and amyloglucosidase. Sens. Actuators B 2006, 114, 573–577. [Google Scholar] [CrossRef]
- Uthumporn, U.; Zaidul, I.S.M.; Karim, A.A. Hydrolysis of granular starch at sub-gelatinization temperature using a mixture of amylolytic enzymes. Food Bioprod. Process. 2010, 88, 47–54. [Google Scholar] [CrossRef]
- Cereda, M.P. Specific analyses to differentiate commercial modified starches. In Starchy Crops Morphology, Extraction, Properties and Applications; Academic Press: Cambridge, MA, USA, 2023; Chapter 13; pp. 339–351. [Google Scholar]
- Trela, D.; Ramallo, A.L.; Albani, O.A. Synthesis and characterization of acetylated cassava starch with different degrees of substitution. Braz. Arch. Biol. Technol. 2020, 63. [Google Scholar] [CrossRef]
- Clasen, S.H.; Müller, C.M.; Parize, A.L.; Pires, A.T. Synthesis and characteriza-tion of cassava starch with maleic acid derivatives by etherification reaction. Carbohydr. Polym. 2018, 180, 348–353. [Google Scholar] [CrossRef] [PubMed]
- Sumardiono, S.; Riska, L.; Jos, B.; Pudjiastuti, I. Effect of esterification on cassava starch: Physicochemical properties and expansion ability. Reaktor 2019, 19, 34–41. [Google Scholar] [CrossRef]
- Satmalawati, E.M.; Pranoto, Y.; Marseno, D.W.; Marsono, Y. Oxidation of cassava starch at different dissolved ozone concentration: Effect on functional and structural properties. Food Res. 2020, 4, 1896–1904. [Google Scholar] [CrossRef] [PubMed]
- Wang, H.; Liang, J.; Zhang, J.; Zhou, X.; Du, G. Performance of urea-formaldehyde adhesive with oxidized cassava starch. BioResources 2017, 12, 7590–7600. [Google Scholar] [CrossRef]
- Klein, B.; Vanier, N.L.; Moomand, K.; Pinto, V.Z.; Colussi, R.; Da Rosa Zavareze, E.; Dias, A.R.G. Ozone oxidation of cassava starch in aqueous solution at different pH. Food Chem. 2014, 155, 167–173. [Google Scholar] [CrossRef]
- Parada, J.L.; Zapata, E.; De Fabrizio, S.V.; Martinez, A. Microbiological and technological aspects of cassava-starch fermentation. World J. Microbiol. Biotechnol. 1996, 12, 53–56. [Google Scholar] [CrossRef] [PubMed]
- Marcon, M.J.A.; Vieira, M.A.; Santos, K.; De Simas, K.N.; Dias De Mello Castanho Amboni, R.; Amante, E.R. The effect of fermentation on cassava starch microstructure. J. Food Process Eng. 2006, 29, 362–372. [Google Scholar] [CrossRef]
Disclaimer/Publisher’s Note: The statements, opinions and data contained in all publications are solely those of the individual author(s) and contributor(s) and not of MDPI and/or the editor(s). MDPI and/or the editor(s) disclaim responsibility for any injury to people or property resulting from any ideas, methods, instructions or products referred to in the content. |
© 2023 by the authors. Licensee MDPI, Basel, Switzerland. This article is an open access article distributed under the terms and conditions of the Creative Commons Attribution (CC BY) license (https://creativecommons.org/licenses/by/4.0/).
