Abstract
This paper presents a comparative analysis of a fractional-order proportional–integral–derivative (FO-PID) controller against the standard proportional–integral–derivative (PID) controller, applied to a nonlinear robotic arm manipulator systems. The genetic algorithm (GA) optimization method was implemented to tune the gain parameters of the FO-PID and PID controllers. The performance of the FO-PID and PID controllers were evaluated though different cost functions, including integral of squared error (ISE), integral of absolute error (IAE), integral of time-weighted absolute error (ITAE), and integral of time-weighted squared error (ITSE). The performance of these controllers was examined via extensive simulations by using MATLAB/SIMULINK for different operating scenarios of the robotic arm manipulator system. Based on the obtained results, a comparative performance matrix is proposed, wherein cost functions ISE, IAE, ITAE, and ITSE are represented as columns while characteristic parameters (overshoot, rising time, and settling time) are represented as rows. The proposed performance matrix facilitates the selection between the PID and FO-PID controllers.
1. Introduction
Robotic manipulator systems have changed many manufacturing automation systems in a way that makes them much more accurate and efficient while still meeting high safety standards [1,2,3]. However, their impact extends beyond industrial settings, finding applications in fields such as healthcare, agriculture, and research [4]. In the 1950s and 1960s, industrial robot manipulators were introduced as substitutes for humans in hazardous tasks, resulting in improved productivity and quality. These robotics are typically designed and programmed to perform specific tasks, such as welding, object manipulation, painting, assembly, and manufacturing [5,6,7].
Robotics surpasses automation by introducing physical machines capable of performing tasks with a high degree of autonomy, where robotics plays a crucial role in flexible production, particularly when tasks require precision and adaptability [8]. The robotics are equipped with sensors and actuators systems that enable interaction with their environment [9].
Figure 1 illustrates a two-joint robotic arm that enables the links to perform rotational movements. The positions of the two joints relative to a reference point are represented by the angles and . The values of these two angles determine the overall shape and orientation of the robotic arm. By controlling these two angles (state variables), it becomes possible to manipulate the robotic arm position and orientation. The capabilities of a robotic arm include performing various tasks such as reaching specific points in space, manipulating objects, or following desired trajectories.
Figure 1.
Illustration of a two-joint robotic arm manipulator.
FO-PID and standard PID controllers are gaining popularity in various industrial applications due to their advantages such as simplicity, straightforward implementation, and easy troubleshooting and maintenance [10]. The tuning methods proposed for either PID or FO-PID controller designs include biquadratic approximation of a fractional-order differential operator [11], constrained min–max optimization [12], swarm optimization [13], auto-tuning methods [14], and robust tuning methods [15,16].
Intelligent controllers such as fuzzy logic controllers and neural network controllers are applied for the control of robotic manipulators. These controllers are complemented by optimization algorithms to enhance the performance of robotic manipulator systems by optimizing position, velocity, and vibration [17].
The selection of optimal gain values for the PID controller is crucial as it directly affects the overall performance and effectiveness of the control system design, while it is more challenging in the case of the FO-PID controller. The selection of the gain values (tuning) directly results in the overall control performance against uncertainties or/and disturbances that may negatively influence the controller stability, such as in terms of tracking accuracy, transient response, overshoot, rising time, and settling time.
Traditionally, the tuning of PID or FO-PID controllers relied on trial-and-error methods, which become more time consuming as systems become more complex, especially for nonlinear systems such as in robotic arm dynamics. To address these challenges and achieve more efficient gains in the tuning process, several heuristic iterative techniques have been proposed [18,19] to solve the PID and FO-PID controller optimization problem in robotic manipulation.
These techniques include several optimization methods such as the particle swarm optimization (PSO) algorithm [20,21], improved PSO [22,23], the GA algorithm [24,25,26], differential evolution (DE) [27], ant colony optimization (ACO) [28,29], and artificial bee colony [30,31] algorithms. These optimization methods are able to be applied to different types of complex control systems and designs, such as in [32,33], where the performance of these designs can be further improved.
This paper applied the GA optimization method, one of the most commonly used and fundamental optimization techniques, to tune gain parameters for the FO-PID and traditional PID controllers. The main contributions of this paper can be outlined as follows.
- The aim is to contribute to the existing body of knowledge by providing a comparative analysis of FO-PID and traditional PID controllers for nonlinear robotic arm manipulators applying GA optimization.
- The unique aspect of this study lies in the comprehensive evaluation of the performance of the FO-PID and PID controllers considering different cost functions, namely, ISE, IAE, ITAE, and ITSE. The performance evaluation for each controller was conducted under two different robotic arm operating scenarios. The first scenario involved ideal conditions with nominal parameter values for the robot arm model. The second scenario assumed parameter uncertainty in the robotic arm mass, particularly , where its value changes from the nominal 5 kg to 6 kg due to an additional load of 1 kg. In this scenario, friction forces were included in the robot arm dynamics, with coefficients .
- This study fills a gap in the literature by proposing a performance matrix to facilitate the selection between FO-PID and PID controllers. In this matrix, cost functions (ISE, IAE, ITAE, and ITSE) are represented as columns, while characteristic parameters (overshoot, rise time, and settling time) are represented as rows. The elements of the matrix indicate the type of controller.
The paper is organized into the following pattern: Section 1 presented a brief introduction, while Section 3 is dedicated to the robotic arm mathematical modeling. Section 4 discusses the control design. Next, Section 5 provides a detailed discussion about the GA algorithm and integration with the FO-PID controller. Section 6 is the core part where the simulation results are obtained and critically analyzed. Finally, Section 7 concludes the paper, followed by recommendations and future directions in Section 8.
2. The Methodology
The main objective of this paper is to conduct a comparative analysis of the performance of an FO-PID controller against the traditional PID controller implemented for a nonlinear robotic arm manipulator system, where the GA optimization technique is used to tune the controllers’ gain parameters. This section explains the methodology that was conducted to achieve the research objectives.
Figure 2 shows a flowchart that describes the major steps followed to obtain the results. These steps include the introduction, where some previous work is discussed and objectives are defined. Then, the dynamic model of the two-link robotic arm manipulator is developed. Subsequently, the standard PID and FO-PID controllers are implemented to the robotic arm manipulator systems. Thereafter, the GA optimization algorithm is applied to tune the PID and FO-PID controllers’ gain parameters to enhance the control system performance. The simulation results are obtained for each type of controller separately. Then, a comparative analysis is performed between the performances of the standard PID and FO-PID controllers. Subsequently, the performance matrix is created to include the cost functions (ISE, IAE, ITAE, and ITSE) as columns and the performance criteria (overshoot, rise time, and settling time) as rows.
Figure 2.
Research methodology flowchart.
3. Robotic Manipulator Dynamics
Modeling the robot manipulator involves considering both internal and external forces. The internal forces comprise the inertia force, Coriolis force, and friction force, while the external forces consist of the gravitational forces and external loads. By accounting for the combination and interaction of these forces, the dynamics of a two-link rigid robot arm manipulator can be described as follows:
where represents the inertial matrix, as given by
and represents the Coriolis force.
while represents the gravitational forces and can be written as
and represents the friction force as given by
Finally, is the control input signal and can be written as
where the dynamic model parameters in (1) are listed and defined as in Table 1.
Table 1.
Definition of the model parameters.
4. FO-PID Control Design
This section presents a detailed description of the design and implementation of the FO-PID controller. Simply, the FO-PID controller is an enhanced version of the standard PID controller which is commonly implemented in industrial applications to improve the performance of control systems. Technically, the FO-PID controller introduces a range of improvements to provide extra degrees of freedom by adding two supplementary parameters ( and ) in addition to the original three parameters (, , and ) of the standard PID controller.
The first step in control design involves defining the error dynamics equation. Given that the measured states are determined by and , along with their respective set points and , then the error dynamic equation can be formulated as follows:
where , , and .
Now, given the error dynamic equation as in (2), then the FO-PID control law can be written either in the time domain as in (3), or in the frequency domain as in (4).
where is the FO-PID output (control signal to be supplied to the robotic arm manipulator system), and is the error signal (the difference between the measured response, and the desired signal); while , , , , and represent the FO-PID controller’s gain parameters. The implementation of the proposed control scheme is shown in Figure 3, where the dynamic equation of the robotic arm manipulator and FO-PID control law are given as in (1) and (3), respectively.
Figure 3.
Control scheme for robotic arm manipulator systems.
Despite the straightforward implementation of the FO-PID controller, fine-tuning its gain parameters remains a substantial challenge. This research aims to capitalize on the advantages offered by the FO-PID controller while addressing the intricate task of optimizing its gain parameters. Consequently, a significant portion of this paper is dedicated to a comprehensive analysis and implementation of the GA algorithm, as detailed in the following section, in order to tune the FO-PID controller.
5. Genetic Algorithm
A GA algorithm [34] is an optimization technique inspired by the process of natural selection and genetics. It utilizes a population of candidate solutions, applies genetic operators such as selection, crossover, and mutation, and iteratively evolves the population to find optimal or near-optimal solutions to a given problem [25].
The basic idea behind a GA algorithm is to represent candidate solutions to a problem as individuals in a population. Each individual is encoded as a string of genes, where each gene represents a parameter or a decision variable of the problem. The population starts with a set of randomly generated individuals.
The algorithm proceeds through a series of generations. In each generation, the individuals in the population are evaluated using a fitness function, which quantifies the quality of a generated solution. The fitter individuals, those with higher fitness values, are more likely to be selected for reproduction.
Reproduction is performed through genetic operators. Crossover involves generating offspring individuals from two parent individuals. This is typically achieved by exchanging segments of their gene strings. Mutation introduces random changes to the gene strings of individuals, which helps introduce diversity into the population.
After reproduction, the offspring individuals, along with some of the fittest individuals from the previous generation, make up the population for the next generation. This process continues until reaching a maximum number of generations [25].
In this study, a genetic algorithm is applied to optimize the gains of an FO-PID controller. The goal is to find the optimal values for gains that result in the best control performance for a given system. The GA for the FOPID is illustrated in Figure 4. In the following parts, we explain each part of the GA algorithm.
Figure 4.
Flowchart of the GA-based FO-PID control scheme.
5.1. Initialization Part
The initialization phase of the GA algorithm is responsible for initializing the GA parameters (population size, maximum generation), and the controller parameters (, , , , and ). N solutions (N = population size) of the controllers gain parameters, as shown in Figure 5, are generated. Then, the fitness values of the initial solutions are evaluated by assessing the performance of the fractional PID controllers gain parameters via an objective function. This process involves simulating the behavior of the controller with the initial parameter values, calculating the corresponding error values, and updating the best iterated solution.
Figure 5.
Solution representation of FO-PID controller gains.
5.2. Objective Function
The quality of the performance of the proposed control scheme is represented by a fitness value, which is calculated based on a cost or objective function. The performance of the FO-PID controller is determined by using performance criteria (requirements) such as overshoot, settling time, and rising time. Throughout the optimization process, different sets of tuning gain parameters are tested, and the main objective is to capture the minimum fitness value resulting in improving the performance requirements.
As can be observed from (3) and (4) the FO-PID controller is characterized by five parameters (, , , , and ), where the selection of these parameters’ values directly influences the robustness of the FO-PID controller.
In this study, the most commonly used objective functions in the field of control systems, namely, ISE, IAE, ITSE, and ITAE were employed to investigate the performance of the FO-PID controller, where the standard PID controller was chosen as benchmark to evaluate the performance FO-PID controller. The following are the mathematical expressions of the cost functions (ISE, IAE, ITAE, and ITSE).
ISE is the integral over time of the squared error between the desired response and the actual response of the robot arm manipulator system q, as shown in Figure 3, where denotes the error as in (2) at time t, and is the total time.
IAE is similar to ISE but calculates the integral of the absolute error over time.
Similarly, ITAE is a variant of IAE where the absolute error is weighted by time before integration. It emphasizes minimizing the accumulation of absolute errors over time, with a preference for earlier errors.
ITSE is a variant of ISE where the squared error is weighted by time before integration. This weighting scheme gives more importance to errors occurring earlier in the response.
5.3. Create the Next Generation
The new generation is obtained from the old one through the following steps:
- Selection: Select individuals from the population for reproduction based on their fitness values. Individuals with higher fitness values are selected, mimicking the process of natural selection. In PID and FO-PID controllers, the selection technique selects individuals of the PID or FO-PID controller parameters represented in Figure 5.
- Crossover: After the selection process, the crossover operation is performed on selected individuals to create offspring. Crossover involves exchanging FO-PID gains between two parents to generate new sets of gains, as illustrated in Figure 6.
Figure 6. One-point crossover for FO-PID controller in GA algorithm. - Mutation: Introduce random changes (mutations) to the offspring individuals to maintain diversity in the population. This helps explore new regions of the search space. Mutation can involve small perturbations to the FO-PID gains, as shown in Figure 7.
Figure 7. Mutation process for FO-PID controller in GA algorithm. - Insertion and deletion: Insertion involves adding new individuals to the population from outside sources, such as randomly generated individuals or individuals from previous generations. This helps introduce new genetic material into the population. Deletion involves removing individuals from the population to control its size and prevent it from growing too large.
Finally, the next generation is created by combining the offspring individuals with some of the fittest individuals from the previous generation to form the next generation population. Once the GA algorithm terminates, extract the FO-PID gains with the best fitness value as the optimized solution.
6. Simulation Results and Discussion
The simulation results in this work were obtained using MATLAB/SIMULINK R2023b, where extensive simulations were carried out with different scenarios to evaluate the performance of the proposed control scheme.
6.1. Simulation Setup
The parameter settings of this simulation throughout the work are listed in Table 2, Table 3 and Table 4.
Table 2.
Robot arm manipulator physical parameters [35].
Table 3.
Parameters of GA.
Table 4.
Lower and upper values for PID and FO-PID controllers.
The PID controller gain parameters, , , and , resulting from the application of the GA algorithm are presented in Table 5, where the initial values of are and the desired values are .
Table 5.
PID controller parameters for different cost functions.
The FO-PID controller gain parameters, , , , , and , resulting from the application of the GA algorithm are presented in Table 6.
Table 6.
FO-PID controller parameters for different cost functions.
6.2. Simulation Results
In this section, two different operating scenarios were applied to evaluate the performance of the proposed control scheme.
6.2.1. Scenario 1
In this scenario the performance of the proposed control scheme was evaluated under ideal conditions, assuming only the nominal parameter values of the robot arm manipulator model as listed in Table 2.
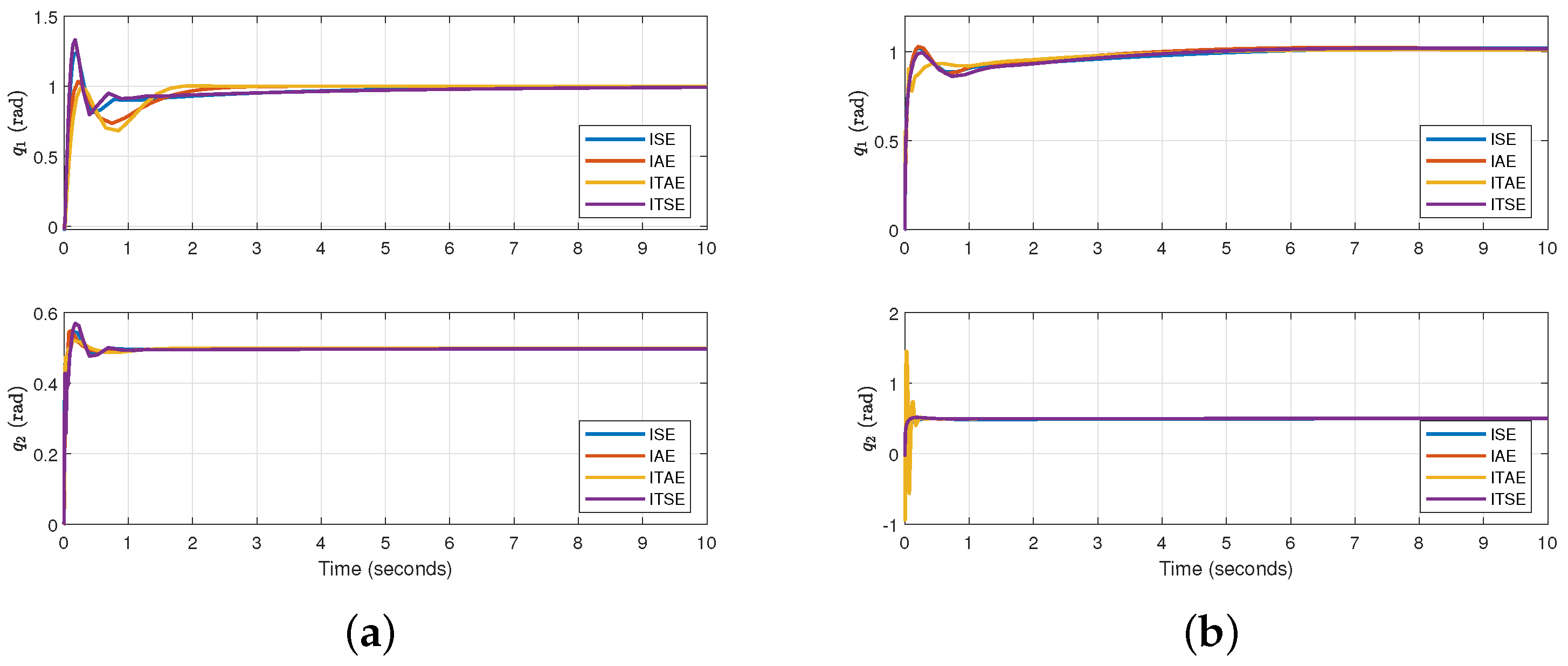
The PID and FO-PID controllers responses were tested against each cost function, where Figure 8a–d represent the step responses against the ISE, IAE, ITAE, and ITSE cost functions, respectively.
Figure 8.
Ideal case: evaluating objective functions against controller (PID and FO-PID). (a) ISE: Step response for robotic arm joints and ; (b) IAE: Step response for robotic arm joints and ; (c) ITAE: Step response for robotic arm joints and ; (d) ITSE: Step response for robotic arm joints and .
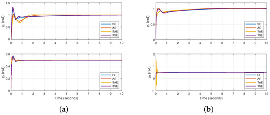
For further and deep analysis, the simulation results were obtained for each cost function ISE, IAE, ITAE, and ITSE in the case of the PID controller response, as depicted in Figure 9a. Similarly, Figure 9b shows the results for the FO-PID controller response.
Figure 9.
Ideal case:Evaluating the cost functions against each controller separately. (a) Evaluating the cost functions against the PID controller only; (b) Evaluating the cost functions against the FOPID controller only.
Table 7 compares the improvement as percentage in the fitness values between the PID and FO-PID controllers against each cost function, ISE, IAE, ITAE, and ITSE. While Figure 10 shows a graphical visualization of the fitness values between the PID and FO-PID controllers against each cost function, ISE, IAE, ITAE, and ITSE.
Table 7.
Comparison of fitness values between PID and FO-PID controllers.
Figure 10.
Fitness value comparison for PID and FO-PID controllers.
Table 8 and Table 9 present the values of rising time (), settling time (), and overshoot () for PID and FO-PID, respectively, against different cost functions (ISE, IAE, ITAE, ITSE). The following is a summary of observations and analysis:
Table 8.
Characteristics of PID controller against cost functions.
Table 9.
Characteristics of FO-PID controller against cost functions.
- 1.
- Overshoot:
- As can be observed, the FO-PID outperformed the PID controller when employing the ITE and ITSE cost functions, while for the IAE and ITAE cost functions, the standard PID outperformed the FO-PID controller.
- 2.
- Rising time:
- The FO-PID controller provided a faster rising time compared to the PID controller when employing the IAE and ITAE cost functions. While for the ISE and ITSE cost functions, the PID and FO-PID controllers almost have the same performance, with slightly better performance in the cases of the PID controller.
- 3.
- Settling time:
- The FO-PID controller outperformed the standard PID controller, with the FO-PID providing faster settling times across most cost functions.
Based on the above observations and analysis, Table 10 presents the characteristic parameters against the cost functions and provides recommendations regarding the choice between PID and FO-PID controllers.
Table 10.
Performance metrics comparison.
6.2.2. Scenario 2
In this scenario, the performance of the proposed control system was evaluated by assuming parameter uncertainty in , where it changes from a nominal value of 5 kg to 6 kg, picking up an extra load of 1 kg. Furthermore, friction forces have been added to the robot arm dynamic with coefficients .
The PID and FO-PID controllers’ responses were evaluated against each cost function in the presence of parameter uncertainty and friction forces in the system dynamics, where Figure 11a–d represent the step responses against the ISE, IAE, ITAE, and ITSE cost functions.
Figure 11.
Evaluating the objective functions against controller (PID and FO-PID) in the presence of parameter uncertainty. (a) ISE: Step response for robotic arm joints and ; (b) IAE:Step response for robotic arm joints and ; (c) ITAE:Step response for robotic arm joints and ; (d) ITSE:Step response for robotic arm joints and .
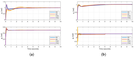
For a more comprehensive analysis, simulation results were obtained considering parameter uncertainty for each cost function, ISE, IAE, ITAE, and ITSE, in the case of PID controller response, as depicted in Figure 12a. Similarly, Figure 12b presents the results for the FO-PID controller response.
Figure 12.
Evaluating the cost functions against each controller separately in the presence of uncertainty. (a) Evaluating the cost functions against the PID controller only in the presence of uncertainty; (b) Evaluating the cost functions against the FO-PID controller only in the presence of uncertainty.
Summarily, as in the first scenario, Table 11 and Table 12 present the values of rising time (), settling time (), and overshoot () for PID and FO-PID, respectively, in the presence of uncertainty and added frictional forces against different cost functions (ISE, IAE, ITAE, ITSE). The following is a summary of observations and analysis:
Table 11.
Characteristics of PID controller against cost functions in the presence of uncertainty.
Table 12.
Characteristics of FO-PID controller against cost functions in the presence of uncertainty.
- 1.
- Overshoot:
- As can be observed the FO-PID outperformed the PID controller when employing the ITE and ITSE cost functions, while for the IAE and ITAE cost functions, the standard PID outperformed the FO-PID controller.
- 2.
- Rising Time:
- The FO-PID controller provided faster rising time compared to the PID controller when employing the IAE and ITAE cost functions. While for the ISE and ITSE cost functions, the PID and FO-PID controllers almost have the same performance, with slightly better performance in the case of the PID controller.
- 3.
- Settling Time:
- The FO-PID controller outperformed the standard PID controller, with the FO-PID providing faster settling times across most cost functions.
7. Conclusions
In this research, a comparative analysis was conducted between FO-PID and traditional PID controllers for a nonlinear robotic arm manipulator system using GA optimization. The objective was to evaluate the performance of these two controllers under two different operating scenarios by tuning the gain parameters of the proposed scheme. The first scenario involved ideal nominal parameters, while the second scenario included the presence of frictional forces in the dynamical model. The performance of the controller gains, including ISE, IAE, ITAE, and ITSE, was evaluated through numerical simulations using MATLAB/SIMULINK. The results demonstrated that the FO-PID controller outperformed the standard PID controller in terms of overshoot, rise time, and settling time when evaluated against certain cost functions. The application of GA for tuning the FO-PID controller’s gain parameters proved to be effective in enhancing its performance. The proposed performance matrix, which considered different cost functions and characteristic parameters, provided valuable insights for selecting between PID and FO-PID controllers.
8. Future Work and Recommendations
The research team is planning to apply similar comprehensive and comparative analysis to different optimization methods such as PSO or/and adaptive PSO where similar performance matrices can be extracted. Meanwhile, the team may recommend extending the performance matrices to include additional criteria.
Author Contributions
A.E.: formal analysis, writing—original draft preparation, conceptualization, methodology, software, validation, visualization; G.A.: discussion, conceptualization, methodology, writing—review and editing; I.H.I.: discussion, conceptualization, methodology, project administration, writing—review and editing; N.M.A.: discussion, conceptualization, methodology, project administration, writing—review and editing; A.A.: discussion, validation, writing—review and editing. All authors have read and agreed to the published version of the manuscript.
Funding
This research was funded by grant number INML2404.
Data Availability Statement
The article presents all essential data.
Acknowledgments
The authors would like to acknowledge King Fahd University of Petroleum and Minerals, as well as the Interdisciplinary Research Center for Smart Mobility and Logistics.
Conflicts of Interest
The authors declare no conflicts of interest.
References
- Javaid, M.; Haleem, A.; Singh, R.P.; Suman, R. Substantial capabilities of robotics in enhancing industry 4.0 implementation. Cogn. Robot. 2021, 1, 58–75. [Google Scholar] [CrossRef]
- Eltayeb, A.; Rahmat, M.; Eltoum, M.M.; MH, S.I.; Basri, M. Adaptive sliding mode control design for the 2-DOF robot arm manipulators. In Proceedings of the 2019 International Conference on Computer, Control, Electrical, and Electronics Engineering (ICCCEEE), Khartoum, Sudan, 21–23 September 2019; IEEE: Piscataway, NJ, USA, 2019; pp. 1–5. [Google Scholar]
- Mohammed, A.A.; Eltayeb, A. Dynamics and control of a two-link manipulator using PID and sliding mode control. In Proceedings of the 2018 International Conference on Computer, Control, Electrical, and Electronics Engineering (ICCCEEE), Khartoum, Sudan, 2–14 August 2018; IEEE: Piscataway, NJ, USA, 2018; pp. 1–5. [Google Scholar]
- Campilho, R.D.; Silva, F.J. Industrial Process Improvement by Automation and Robotics. Machines 2023, 11, 1011. [Google Scholar] [CrossRef]
- Czimmermann, T.; Chiurazzi, M.; Milazzo, M.; Roccella, S.; Barbieri, M.; Dario, P.; Oddo, C.M.; Ciuti, G. An autonomous robotic platform for manipulation and inspection of metallic Surfaces in Industry 4.0. IEEE Trans. Autom. Sci. Eng. 2021, 19, 1691–1706. [Google Scholar] [CrossRef]
- Buerkle, A.; Eaton, W.; Al-Yacoub, A.; Zimmer, M.; Kinnell, P.; Henshaw, M.; Coombes, M.; Chen, W.H.; Lohse, N. Towards industrial robots as a service (IRaaS): Flexibility, usability, safety and business models. Robot. Comput. Integr. Manuf. 2023, 81, 102484. [Google Scholar] [CrossRef]
- Lakshminarayanan, S.; Kana, S.; De San Bernabe, A.; Turlapati, S.H.; Accoto, D.; Campolo, D. Robots in manufacturing: Programming, control, and safety standards. In Digital Manufacturing; Elsevier: Amsterdam, The Netherlands, 2024; pp. 85–131. [Google Scholar]
- Michalos, G.; Makris, S.; Spiliotopoulos, J.; Misios, I.; Tsarouchi, P.; Chryssolouris, G. ROBO-PARTNER: Seamless human-robot cooperation for intelligent, flexible and safe operations in the assembly factories of the future. Procedia CIRP 2014, 23, 71–76. [Google Scholar] [CrossRef]
- Ogenyi, U.E.; Liu, J.; Yang, C.; Ju, Z.; Liu, H. Physical human–robot collaboration: Robotic systems, learning methods, collaborative strategies, sensors, and actuators. IEEE Trans. Cybern. 2019, 51, 1888–1901. [Google Scholar] [CrossRef]
- Jamil, A.A.; Tu, W.F.; Ali, S.W.; Terriche, Y.; Guerrero, J.M. Fractional-order PID controllers for temperature control: A review. Energies 2022, 15, 3800. [Google Scholar] [CrossRef]
- El-Khazali, R. Fractional-order PIλDμ controller design. Comput. Math. Appl. 2013, 66, 639–646. [Google Scholar] [CrossRef]
- Beschi, M.; Padula, F.; Visioli, A. The generalised isodamping approach for robust fractional PID controllers design. Int. J. Control 2017, 90, 1157–1164. [Google Scholar] [CrossRef]
- Kumar, A.; Kumar, V. Hybridized ABC-GA optimized fractional order fuzzy pre-compensated FOPID control design for 2-DOF robot manipulator. AEU-Int. J. Electron. Commun. 2017, 79, 219–233. [Google Scholar] [CrossRef]
- Monje, C.A.; Vinagre, B.M.; Feliu, V.; Chen, Y. Tuning and auto-tuning of fractional order controllers for industry applications. Control Eng. Pract. 2008, 16, 798–812. [Google Scholar] [CrossRef]
- Valério, D.; Da Costa, J.S. Tuning of fractional PID controllers with Ziegler–Nichols-type rules. Signal Process. 2006, 86, 2771–2784. [Google Scholar] [CrossRef]
- Lee, A.C.; Wang, S.; Fan, C.J. A current index approach to compensate commutation phase error for sensorless brushless DC motors with nonideal back EMF. IEEE Trans. Power Electron. 2015, 31, 4389–4399. [Google Scholar] [CrossRef]
- Sahu, V.S.D.M.; Samal, P.; Panigrahi, C.K. Modelling, and control techniques of robotic manipulators: A review. Mater. Today Proc. 2022, 56, 2758–2766. [Google Scholar] [CrossRef]
- Tajjudin, M.; Ishak, N.; Ismail, H.; Rahiman, M.H.F.; Adnan, R. Optimized PID control using Nelder-Mead method for electro-hydraulic actuator systems. In Proceedings of the 2011 IEEE Control and System Graduate Research Colloquium, Shah Alam, Malaysia, 27–28 June 2011; IEEE: Piscataway, NJ, USA, 2011; pp. 90–93. [Google Scholar]
- Bingül, Z.; KARAHAN, O. Fractional PID controllers tuned by evolutionary algorithms for robot trajectory control. Turk. J. Electr. Eng. Comput. Sci. 2012, 20, 1123–1136. [Google Scholar]
- Zhong, H.; Bai, W.; Huang, W.; Zheng, Z. Adaptive pid controller design method based on pso. In Proceedings of the 2020 Chinese Control And Decision Conference (CCDC), Hefei, China, 22–24 August 2020; IEEE: Piscataway, NJ, USA, 2020; pp. 4501–4506. [Google Scholar]
- Kobaku, T.; Poola, R.; Agarwal, V. Design of Robust PID Controller Using PSO-Based Automated QFT for Nonminimum Phase Boost Converter. IEEE Trans. Circuits Syst. II Express Briefs 2022, 69, 4854–4858. [Google Scholar] [CrossRef]
- Jia, L.; Zhao, X. An improved particle swarm optimization (PSO) optimized integral separation PID and its application on central position control system. IEEE Sens. J. 2019, 19, 7064–7071. [Google Scholar]
- Ahmed, G.; Sheltami, T.; Mahmoud, A.; Yasar, A. IoD swarms collision avoidance via improved particle swarm optimization. Transp. Res. Part A Policy Pract. 2020, 142, 260–278. [Google Scholar] [CrossRef]
- Liming, C.; Jun, Z. Motion Strategy of Drilling Anchor Manipulator Based on Intelligent Optimization Algorithm. J. Phys. Conf. Ser. 2023, 2519, 012033. [Google Scholar] [CrossRef]
- Ahmed, G.; Sheltami, T.; Ghaleb, M.; Hamdan, M.; Mahmoud, A.; Yasar, A. Energy-Efficient Internet of Drones Path-Planning Study Using Meta-Heuristic Algorithms. Appl. Sci. 2024, 14, 2418. [Google Scholar] [CrossRef]
- Wang, P.; Kwok, D. Optimal design of PID process controllers based on genetic algorithms. Control Eng. Pract. 1994, 2, 641–648. [Google Scholar] [CrossRef]
- Storn, R.; Price, K. Differential evolution–a simple and efficient heuristic for global optimization over continuous spaces. J. Glob. Optim. 1997, 11, 341–359. [Google Scholar] [CrossRef]
- Dorigo, M.; Di Caro, G. Ant colony optimization: A new meta-heuristic. In Proceedings of the 1999 Congress on Evolutionary Computation-CEC99 (Cat. No. 99TH8406), Washington, DC, USA, 6–9 July 1999; IEEE: Piscataway, NJ, USA, 1999; Volume 2, pp. 1470–1477. [Google Scholar]
- Dorigo, M.; Blum, C. Ant colony optimization theory: A survey. Theor. Comput. Sci. 2005, 344, 243–278. [Google Scholar] [CrossRef]
- Karaboga, D.; Basturk, B. Artificial bee colony (ABC) optimization algorithm for solving constrained optimization problems. In Proceedings of the International Fuzzy Systems Association World Congress, Cancun, Mexico, 18–21 June 2007; Springer: Berlin/Heidelberg, Germany, 2007; pp. 789–798. [Google Scholar]
- Karaboga, D.; Basturk, B. A powerful and efficient algorithm for numerical function optimization: Artificial bee colony (ABC) algorithm. J. Glob. Optim. 2007, 39, 459–471. [Google Scholar] [CrossRef]
- Imran, I.H.; Stolkin, R.; Montazeri, A. Adaptive control of quadrotor unmanned aerial vehicle with time-varying uncertainties. IEEE Access 2023, 11, 19710–19724. [Google Scholar] [CrossRef]
- Imran, I.H.; Memon, A.M.; Kurtulus, D.F.; Goli, S.; Alhems, L.M. Extended Discrete-Time Quasi-Sliding Mode Control for VTOL UAV in the Presence of Uncertain Disturbances. IEEE Access 2023, 11, 55630–55643. [Google Scholar] [CrossRef]
- Whitley, D. A genetic algorithm tutorial. Stat. Comput. 1994, 4, 65–85. [Google Scholar] [CrossRef]
- Baek, J.; Jin, M.; Han, S. A new adaptive sliding-mode control scheme for application to robot manipulators. IEEE Trans. Ind. Electron. 2016, 63, 3628–3637. [Google Scholar] [CrossRef]
Disclaimer/Publisher’s Note: The statements, opinions and data contained in all publications are solely those of the individual author(s) and contributor(s) and not of MDPI and/or the editor(s). MDPI and/or the editor(s) disclaim responsibility for any injury to people or property resulting from any ideas, methods, instructions or products referred to in the content. |
© 2024 by the authors. Licensee MDPI, Basel, Switzerland. This article is an open access article distributed under the terms and conditions of the Creative Commons Attribution (CC BY) license (https://creativecommons.org/licenses/by/4.0/).











