Sign in to use this feature.

Years

Between: -

Subjects

remove_circle_outline
remove_circle_outline
remove_circle_outline
remove_circle_outline
remove_circle_outline
remove_circle_outline
remove_circle_outline
remove_circle_outline
remove_circle_outline

Journals

remove_circle_outline
remove_circle_outline
remove_circle_outline
remove_circle_outline
remove_circle_outline
remove_circle_outline
remove_circle_outline
remove_circle_outline
remove_circle_outline
remove_circle_outline
remove_circle_outline
remove_circle_outline

Article Types

Countries / Regions

remove_circle_outline
remove_circle_outline
remove_circle_outline
remove_circle_outline
remove_circle_outline
remove_circle_outline

Search Results (3,168)

Search Parameters:
Keywords = PID

Order results
Result details
Results per page
Select all
Export citation of selected articles as:
27 pages, 2154 KB  
Article
Active Push-Assisted Yaw-Correction Control for Bridge-Area Vessels via ESO and Fuzzy PID
by Cheng Fan, Xiongjun He, Liwen Huang, Teng Wen and Yuhong Zhao
Appl. Sci. 2026, 16(5), 2520; https://doi.org/10.3390/app16052520 (registering DOI) - 5 Mar 2026
Abstract
This paper investigates ship–pier collision risk caused by yaw deviation in inland bridge waterways. The proposed framework is conceived for fixed auxiliary thruster installation in bridge areas, rather than retrofitting shipboard propulsion systems. A proactive intervention scheme is developed based on state estimation [...] Read more.
This paper investigates ship–pier collision risk caused by yaw deviation in inland bridge waterways. The proposed framework is conceived for fixed auxiliary thruster installation in bridge areas, rather than retrofitting shipboard propulsion systems. A proactive intervention scheme is developed based on state estimation and short-horizon prediction. A Kalman filter is used for state fusion and short-horizon motion prediction. Yaw events are detected via a threshold rule with consecutive-decision logic. An extended state observer (ESO) is adopted to estimate lumped disturbances and model uncertainties. A fuzzy self-tuning PID law is then applied to generate thruster commands for closed-loop corrective control. Numerical simulations suggest that, relative to rudder-only recovery, thruster-assisted intervention yields improved restoration behavior, reduced lateral deviation accumulation, and increased minimum clearance to bridge piers under the tested conditions. Additional tests with cross-current disturbances indicate that the risk-triggered scheme with ESO-based compensation can maintain stable recovery and a higher safety margin. The proposed approach provides an engineering-oriented pathway to extend bridge-area risk management from warning-level assessment to executable control intervention. Full article
(This article belongs to the Section Marine Science and Engineering)
17 pages, 6553 KB  
Article
Multi-Degree-of-Freedom Backstepping Control for Magnetic Levitation Actuators in Laser Cutting Applications
by Qinwei Zhang, Chuan Zhao, Ling Tong, Feng Liu, Fangchao Xu, Honglei Sha and Feng Sun
Actuators 2026, 15(3), 152; https://doi.org/10.3390/act15030152 - 4 Mar 2026
Abstract
During laser processing, optimizing the cutting performance by adjusting the angle or off-axis displacement between the auxiliary gas flow and the laser beam is an effective approach to improving processing quality and efficiency. However, traditional electromechanical actuators suffer from inherent limitations in compactness [...] Read more.
During laser processing, optimizing the cutting performance by adjusting the angle or off-axis displacement between the auxiliary gas flow and the laser beam is an effective approach to improving processing quality and efficiency. However, traditional electromechanical actuators suffer from inherent limitations in compactness and multi-degree-of-freedom cooperative control, which restrict their applicability in high-speed and high-precision laser cutting systems. To address these limitations, this paper presents a five-degree-of-freedom magnetic levitation actuator for laser cutting lens control and proposes a multi-degree-of-freedom cooperative control strategy based on backstepping control (BC) to cope with the system’s strong coupling, nonlinearity, and model uncertainty. First, a dynamic model of the actuator system is established, and a corresponding BC is designed. Subsequently, a centralized control framework is developed, and comparative simulations and experiments are carried out between the proposed BC and a conventional PID controller. The experimental results demonstrate that the proposed BC method outperforms the PID controller in terms of multi-degree-of-freedom cooperative control capability and dynamic response, thereby significantly enhancing the overall control performance of the system. Full article
Show Figures

Figure 1

27 pages, 2269 KB  
Article
Long-Stroke Reluctance Magnetic Levitation Systems: Characteristic Analysis and Gain Scheduling Positioning Control
by Wenzhe Pei, Chuan Zhao, Koichi Oka, Feng Sun, Junjie Jin and Xiaoyou Zhang
Actuators 2026, 15(3), 151; https://doi.org/10.3390/act15030151 - 4 Mar 2026
Abstract
With inherent negative stiffness and nonlinearity, reluctance magnetic levitation systems struggle to sustain satisfactory control performance across a long stroke. To address this issue, theoretical analysis, control strategy design, and experiments are performed. First, the magnetic and dynamic behavior are analyzed, and the [...] Read more.
With inherent negative stiffness and nonlinearity, reluctance magnetic levitation systems struggle to sustain satisfactory control performance across a long stroke. To address this issue, theoretical analysis, control strategy design, and experiments are performed. First, the magnetic and dynamic behavior are analyzed, and the corresponding mathematical model is derived. Then, the control system analysis is conducted, and the feedback properties are described from a physically intuitive perspective. Moreover, with a standard PD/PID compensator, a clear trade-off emerges between robustness at small air gaps and tracking performance at large air gaps. Subsequently, a control strategy combining feedforward compensation with gain scheduling PD is designed. It is directly mapped from the reluctance actuator parameters without relying on engineering experience and can be flexibly configured to meet performance requirements. Finally, time-domain and frequency-domain experiments are conducted. The positioning control results show that the proposed strategy effectively shortens the settling time of long-stroke step responses and improves the uniformity of the dynamic performance. The frequency response evidence shows a more uniform response over the full stroke and simultaneous improvements in robustness and tracking, effectively resolving the long-stroke conflict. Full article
Show Figures

Figure 1

22 pages, 2865 KB  
Article
Theoretical Analysis of IGAO-Fuzzy PID Fault-Tolerant Control and Performance Optimization for Electro-Hydraulic Active Suspensions Under Internal Leakage Faults
by Haiwu Zheng, Hao Xiong, Dingxuan Zhao, Yufei Zhao, Yinying Ren, Yao Xiao and Yi Han
Actuators 2026, 15(3), 149; https://doi.org/10.3390/act15030149 - 4 Mar 2026
Abstract
To address performance degradation and control instability in electro-hydraulic servo active suspension systems due to internal leakage faults arising from wear and aging of hydraulic components, this paper proposes an innovative fuzzy PID fault-tolerant controller based on the Improved Giant Armadillo Optimization (IGAO) [...] Read more.
To address performance degradation and control instability in electro-hydraulic servo active suspension systems due to internal leakage faults arising from wear and aging of hydraulic components, this paper proposes an innovative fuzzy PID fault-tolerant controller based on the Improved Giant Armadillo Optimization (IGAO) algorithm. Specifically, to overcome the limitations of the standard Giant Armadillo Optimization (GAO), which is prone to local optima and exhibits poor convergence performance when handling multi-constraint parameter optimization problems, this study introduces a nonlinear dynamic inertia weight mechanism and a random reflection strategy for out-of-bounds particles to improve the original algorithm’s performance. These enhancements significantly enhance its ability to balance global exploration and local exploitation. Furthermore, this research develops a comprehensive performance evaluation fitness function by quantifying key performance indicators such as body acceleration, suspension dynamic deflection, and tire dynamic load. A quarter-car model incorporating an internal leakage fault was established as a simulation validation platform to demonstrate the reliability of the proposed method. Simulation results indicate that under various road excitation conditions, the proposed IGAO algorithm can rapidly and stably converge to superior parameters for the fuzzy PID controller. Compared to the Particle Swarm Optimization (PSO) and standard GAO algorithm, the control system optimized by IGAO not only significantly more effectively suppresses body vibration and reduces shock amplitude but also exhibits stronger dynamic recovery performance and control robustness under varying degrees of internal leakage faults. This research provides a robust control approach for addressing internal parameter uncertainties in hydraulic systems and offers a new approach to theoretical modeling for enhancing the reliability of design and fault-tolerant control capabilities of active suspension systems. Full article
Show Figures

Figure 1

27 pages, 8457 KB  
Article
Design and Research of Bionic Knee Joint Robot Based on SWO Fuzzy PID Control
by Wei Li, Yukun Li, Zhengwei Yue, Zhuoda Jia, Bowen Yang and Tianlian Pang
Processes 2026, 14(5), 828; https://doi.org/10.3390/pr14050828 - 3 Mar 2026
Abstract
The rehabilitation training of patients with lower limb motor dysfunction highly relies on the precise control of biomimetic knee joint robots. Existing control strategies generally suffer from insufficient control accuracy and weak anti-interference ability, and an optimization plan that balances high precision and [...] Read more.
The rehabilitation training of patients with lower limb motor dysfunction highly relies on the precise control of biomimetic knee joint robots. Existing control strategies generally suffer from insufficient control accuracy and weak anti-interference ability, and an optimization plan that balances high precision and strong anti-interference has not yet been formed, which seriously affects the effectiveness of rehabilitation training. In order to improve the control accuracy and anti-interference ability of biomimetic knee joint robots for leg rehabilitation training of patients with lower limb movement disorders, the purpose of this study is to address the performance shortcomings of existing biomimetic knee joint robot control strategies. The goal is to propose a high-precision and strong anti-interference control strategy to provide more reliable rehabilitation support for patients with lower limb movement disorders. Therefore, this article proposes an optimization strategy based on the Spider Bee Algorithm (SWO) combined with fuzzy PID control. Based on a biomimetic knee joint robot model, this study simulates three common pathological states of knee joint ligament injury, meniscus injury, and muscle atrophy in patients, and compares the trajectory tracking and anti-interference performance of PID, fuzzy PID, and SWO fuzzy PID control strategies. The experimental results show that the SWO fuzzy PID control strategy has the best comprehensive performance: the overshoot of knee joint angle control is only 9.7%, and the peak angle error is reduced to 2.1948°; when simulating pathological conditions, the system takes the shortest time to recover stability: 1.068 s for ligament injuries and 0.929 s for meniscus injuries, with maximum response errors below 0.017°. Simulation experiments on healthy subjects showed that the system had a tracking error of ≤5° under two rehabilitation training modes, meeting clinical accuracy requirements, and had good performance in restoring stability under irregular vibration interference. The core contribution of this study is the proposal of the SWO fuzzy PID optimization control strategy, which effectively addresses the shortcomings of existing strategies and significantly improves the control accuracy and anti-interference ability of bionic knee joint robots, providing theoretical support and practical reference for the application of bionic knee joint robots. Full article
(This article belongs to the Special Issue Intelligent Process Control Techniques Used for Robotics)
Show Figures

Figure 1

21 pages, 3026 KB  
Article
PID Tuning for Micro Screw Pumps Based on an Improved Spider Wasp Algorithm
by Zhuanzhe Zhao, Deao Shen, Yongming Liu, Zhibo Liu and Huichuang Luo
Electronics 2026, 15(5), 1061; https://doi.org/10.3390/electronics15051061 - 3 Mar 2026
Abstract
To address the issues of large overshoot, slow response, poor stability, and suboptimal control performance of traditional PID algorithms caused by the nonlinear relationship between the rotational speed and output flow rate of micro screw pump motors, this study proposes a PID parameter [...] Read more.
To address the issues of large overshoot, slow response, poor stability, and suboptimal control performance of traditional PID algorithms caused by the nonlinear relationship between the rotational speed and output flow rate of micro screw pump motors, this study proposes a PID parameter optimization method based on an improved spider wasp optimizer algorithm. First, this method incorporates the Tent chaotic mapping into the Spider Wasp Optimizer algorithm (SWO) to enhance initial population diversity, integrates differential evolution strategies to accelerate convergence, and employs Levy flight to boost local search capabilities, thereby balancing global exploration with local exploitation. Subsequently, comparative validation using 12 benchmark functions demonstrates that the improved algorithm (ISWO) outperforms SWO, PSO, SA, GOOSE, and CPO across metrics including mean, standard deviation, and Wilcoxon rank-sum test. Finally, integrating ISWO with PID control yields ISWO-PID, applied to a screw pump model. Simulation results demonstrate superior optimization efficiency and control performance: runtime was reduced by over 60% compared to benchmark algorithms, with enhanced system robustness and adaptability. Full article
Show Figures

Figure 1

18 pages, 4743 KB  
Article
Reinforcement Learning-Based Super-Twisting Sliding Mode Control for Maglev Guidance System
by Junqi Xu, Wenshuo Wang, Chen Chen, Lijun Rong, Wen Ji and Zijian Guo
Actuators 2026, 15(3), 147; https://doi.org/10.3390/act15030147 - 3 Mar 2026
Viewed by 37
Abstract
The high-speed Electromagnetic Suspension (EMS) maglev guidance system exhibits inherent characteristics of strong nonlinearity, parameter time-variation, and complex external disturbances. To further optimize and improve the control performance of the guidance system for high-speed maglev trains, a novel intelligent control strategy that integrates [...] Read more.
The high-speed Electromagnetic Suspension (EMS) maglev guidance system exhibits inherent characteristics of strong nonlinearity, parameter time-variation, and complex external disturbances. To further optimize and improve the control performance of the guidance system for high-speed maglev trains, a novel intelligent control strategy that integrates the Deep Deterministic Policy Gradient (DDPG) algorithm with Super-Twisting Sliding Mode Control (STSMC) is proposed. Focusing on a single-ended guidance unit with differential control of dual electromagnets, an STSMC controller is first designed based on a cascaded control framework. To overcome the limitation of offline parameter tuning in dynamic operational conditions, a reinforcement learning optimization framework employing DDPG is introduced. A multi-objective hybrid reward function is formulated, incorporating error convergence, sliding mode stability, and chattering suppression, thereby realizing the online self-tuning of core STSMC parameters via real-time interaction between the agent and the environment. Numerical simulations under typical disturbance conditions verify that the proposed DDPG-STSMC controller significantly reduces the amplitude of guidance gap variation and accelerates dynamic recovery compared to conventional PID control. Its superior performance in disturbance rejection, control accuracy, and operational adaptability is validated. This study, conducted through high-fidelity numerical simulations based on actual system parameters, provides a robust theoretical foundation for subsequent hardware-in-the-loop (HIL) experimentation. Full article
(This article belongs to the Special Issue Advanced Theory and Application of Magnetic Actuators—3rd Edition)
Show Figures

Figure 1

20 pages, 3008 KB  
Article
Data-Driven Modeling and Simulation of Angle–Torque in a Sensorless Pneumatic Soft Bending Actuator Using the Ideal Gas Law
by Wenyuan Shi and M. B. J. Wijesundara
Actuators 2026, 15(3), 146; https://doi.org/10.3390/act15030146 - 3 Mar 2026
Viewed by 80
Abstract
This paper presents a data-driven modeling and sensorless angle–torque prediction method for a pneumatic soft bending actuator. The actuator contains no embedded angle or torque sensors; instead, only airflow and pressure sensors located in the external control box (standard components in pneumatic systems) [...] Read more.
This paper presents a data-driven modeling and sensorless angle–torque prediction method for a pneumatic soft bending actuator. The actuator contains no embedded angle or torque sensors; instead, only airflow and pressure sensors located in the external control box (standard components in pneumatic systems) are used during operation. The proposed method, and therefore eliminates the need for onboard sensing and detailed valve hysteresis modeling. Based on the ideal gas law, four continuous, monotonic, and single-valued pneumatic state equations were derived and experimentally validated. As a case study, a pneumatic soft actuator was designed to generate high torque for assisting knee and ankle extension. An experimental setup with multiple sensors collected key data on air mass, internal pressure, actuator torque, and bending angle. These additional sensors were used only during dataset generation. A data-driven modeling approach was developed with training neural networks to generate four fitting functions to predict actuator behavior, including equations for angle and torque prediction. An angle-sensorless closed-loop control simulation study, incorporating a PID controller, a proportional valve delay block, and torque prediction, demonstrated the controllability and computational feasibility of the proposed model as well as the actuator’s effectiveness in supporting additional weight during squat-to-stand motion. Full article
(This article belongs to the Special Issue Design and Control of Soft Assistive Wearable Robots)
Show Figures

Figure 1

16 pages, 3347 KB  
Article
Design and Validation of a Multimodal Environmental Monitoring System Based on Sensors and Artificial Intelligence
by Yu Fang and Mingjun Xin
Electronics 2026, 15(5), 1051; https://doi.org/10.3390/electronics15051051 - 3 Mar 2026
Viewed by 36
Abstract
Reliable and real-time environmental monitoring is essential for controlling pollution and protecting public health. However, conventional station-based measurements are expensive and often lack spatial and temporal resolution. This paper proposes a low-cost multimodal environmental monitoring system. Experiments verified that thin-film thermocouples exhibit near-linear [...] Read more.
Reliable and real-time environmental monitoring is essential for controlling pollution and protecting public health. However, conventional station-based measurements are expensive and often lack spatial and temporal resolution. This paper proposes a low-cost multimodal environmental monitoring system. Experiments verified that thin-film thermocouples exhibit near-linear voltage–temperature characteristics (R2>0.99). Integration of the AI data pipeline substantially enhances monitoring accuracy: the proposed fusion strategy reduces relative error to approximately 2.3% under typical noise conditions, with a correlation coefficient of 0.79 between predicted and observed PM2.5 values. This research provides a scalable blueprint for edge-deployable environmental monitoring. A thin-film thermocouple with a fast response time is used as a temperature sensor and is statically calibrated against a K-type reference. To improve dynamic tracking and reduce measurement noise, a Kalman filter-based fusion strategy is employed, which is then compared with weighted averaging and Bayesian fusion. Simulation-driven validation is performed for thermocouple linearity, PID-based temperature control, micro-signal filtering and system-level latency and robustness. The results demonstrate that thin-film thermocouples exhibit near-linear voltage–temperature characteristics (R2 > 0.99) with Seebeck coefficients ranging from 40.92 to 42.08 μV/°C, close to the theoretical K-type value of 42.87 μV/°C. The proposed fusion strategy reduces relative error to ~2.3% under typical noise conditions, enabling stable, real-time processing with near-second latency for 10,000-point batches. This study summarizes the design considerations for selecting and calibrating sensors and for achieving AI robustness in the presence of drift and faults. It provides a scalable blueprint for edge-deployable environmental monitoring. Full article
Show Figures

Figure 1

28 pages, 6243 KB  
Article
Research on Control Strategy of Electromagnetic Pneumatic System Based on Fuzzy PID and Exploration of Flow Estimation Method for IWT
by Yitong Qin, Fangping Huang, Zongcai Ma, Zhenyu Fan, Jiayong Xia and Hongbai Yin
Actuators 2026, 15(3), 141; https://doi.org/10.3390/act15030141 - 2 Mar 2026
Viewed by 123
Abstract
Accurate real-time pneumatic flow estimation offers a cost-effective alternative to expensive, bulky flow meters, yet persistent challenges stem from complex valve environments, high nonlinearity, and stringent precision requirements. This paper introduces a novel control framework integrating fuzzy PID dynamic tuning with adaptive wavelet [...] Read more.
Accurate real-time pneumatic flow estimation offers a cost-effective alternative to expensive, bulky flow meters, yet persistent challenges stem from complex valve environments, high nonlinearity, and stringent precision requirements. This paper introduces a novel control framework integrating fuzzy PID dynamic tuning with adaptive wavelet threshold denoising, synergistically optimizing fuzzy PID and improved wavelet transform (IWT) to simultaneously enhance control accuracy and signal quality. Experimental validation demonstrates a 35% reduction in spool displacement overshoot versus conventional PID control. IWT integration improves flow estimation signal-to-noise ratio (SNR) by 65% relative to hard/soft thresholding methods while reducing root mean square error (RMSE) by 49%. The approach significantly outperforms mainstream techniques in dynamic response and noise immunity, enabling precise proportional valve flow measurement. This algorithm-driven strategy replaces high-cost sensors, reducing industrial maintenance requirements. Especially applicable to electromagnetic pneumatic systems in harsh environments, it establishes a reliable framework for proportional valve flow control. Full article
(This article belongs to the Section Control Systems)
Show Figures

Figure 1

29 pages, 5055 KB  
Article
Adaptive Sliding Mode with Finite-Time Convergence for Synchronized Hydraulic Multi-Arm Systems
by Bo Gao, Fuqiang Yang, Guangwei Ji, Guanghai Yang, Yuliang Lin and Liangsong Huang
Sensors 2026, 26(5), 1567; https://doi.org/10.3390/s26051567 - 2 Mar 2026
Viewed by 99
Abstract
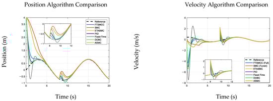
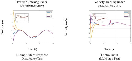
This study introduces a novel robust finite-time adaptive sliding mode control (FTSMC) strategy, emphasizing its contributions to the synchronized deployment of hydraulically actuated multi-arm systems in confined environments, such as coal bunker cleaning. Key innovations include the integration of adaptive sliding mode control [...] Read more.
This study introduces a novel robust finite-time adaptive sliding mode control (FTSMC) strategy, emphasizing its contributions to the synchronized deployment of hydraulically actuated multi-arm systems in confined environments, such as coal bunker cleaning. Key innovations include the integration of adaptive sliding mode control with guaranteed finite-time convergence, a distributed leader–follower framework, and a graph-theoretical communication topology for localized interactions. Specifically, we developed a dynamic model for a multi-agent system comprising one leader and multiple followers, incorporating nonlinear dynamics and unknown external disturbances. The proposed controller ensures rapid finite-time convergence of tracking errors while maintaining robustness against parameter uncertainties, frictional forces, and external perturbations. The theoretical analysis, based on Lyapunov stability, rigorously proves the boundedness and convergence of all system states. Simulation results on a three-arm robotic platform validate the method’s superiority, demonstrating higher tracking accuracy, faster convergence, and stronger disturbance rejection compared with baseline controllers, including SMC, ETASMC, PID, Fixed-Time Consensus Control (FTCC), Disturbance Observer-Based Control (DOBC), and Adaptive Sliding Mode Control (ASMC). This research provides a practical and scalable solution for multi-arm coordination in unstructured environments, significantly advancing the autonomy and reliability of industrial robotic systems. Full article
(This article belongs to the Section Sensors and Robotics)
Show Figures

Figure 1

16 pages, 2565 KB  
Article
Environmental Evaluation of VOC Emissions in CIPP Rehabilitation: Comparative Analysis of Resin Types and Curing Techniques
by Rasoul Adnan Abbas, Mohammad Najafi, Shima Zare and Sevda Jannatdoust
Pollutants 2026, 6(1), 14; https://doi.org/10.3390/pollutants6010014 - 2 Mar 2026
Viewed by 98
Abstract
Aging underground pipeline infrastructure across the United States, including systems used for potable water supply, wastewater collection, and stormwater conveyance, has exceeded its intended service life, emphasizing the need for replacement or rehabilitation to maintain reliable service to communities. Among available trenchless technologies, [...] Read more.
Aging underground pipeline infrastructure across the United States, including systems used for potable water supply, wastewater collection, and stormwater conveyance, has exceeded its intended service life, emphasizing the need for replacement or rehabilitation to maintain reliable service to communities. Among available trenchless technologies, cured-in-place pipe (CIPP) is widely applied because it minimizes surface disruption and is well-suited for use in densely populated areas. Despite these advantages, environmental concerns remain regarding the release of total volatile organic compounds (VOCs) during CIPP installation and curing. This study evaluates total VOC emissions from CIPP liners under field conditions. Air samples were collected at six installation sites across the United States before, during, and after installation and curing to quantify key VOC species. Multiple sampling methods were employed, including photoionization detectors (PIDs), Summa canisters, and personal worker sampling. The measured compounds included styrene, cumene, acetophenone, hexane, toluene, and ethanol. Measured concentrations were compared with occupational exposure limits established by the U.S. Environmental Protection Agency (USEPA), the National Institute for Occupational Safety and Health (NIOSH), and the Occupational Safety and Health Administration (OSHA). The results indicate that styrene was the dominant compound within active CIPP work zones, with peak concentrations reaching 25.5 ppm during curing. In contrast, VOC concentrations decreased substantially within five feet downwind of the work zone. Overall, the findings suggest that potential public exposure risks are limited, while workers directly involved in CIPP operations may experience elevated short-term exposures during installation and curing activities. Full article
(This article belongs to the Section Air Pollution)
Show Figures

Figure 1

32 pages, 5608 KB  
Article
Research on Stewart Platform Control Method for Wave Compensation Based on BiLSTM Prediction and ADRC
by Zongyu Zhang, Jingwei Li, Jingjin Xie, Hui Zhang, Longfang Zhang and Jian Zhou
Actuators 2026, 15(3), 140; https://doi.org/10.3390/act15030140 - 2 Mar 2026
Viewed by 63
Abstract
Offshore operational environments are inherently stochastic, with waves, currents, and wind loads exerting a significant influence on vessel attitude and equipment stability. While Stewart platforms enable active motion compensation, conventional control strategies frequently suffer from time delays, actuator lag, and limited disturbance rejection, [...] Read more.
Offshore operational environments are inherently stochastic, with waves, currents, and wind loads exerting a significant influence on vessel attitude and equipment stability. While Stewart platforms enable active motion compensation, conventional control strategies frequently suffer from time delays, actuator lag, and limited disturbance rejection, resulting in inadequate performance under complex sea conditions. To overcome these limitations, this paper presents a wave compensation control strategy for a Stewart platform that integrates deep learning-based prediction with active disturbance rejection control (ADRC). A bidirectional long short-term memory (BiLSTM) network is developed to predict vessel attitude in advance. The predicted attitude is transformed into actuator displacement commands through the inverse kinematics of the Stewart platform. An ADRC-based displacement controller is then designed to achieve fast and robust compensation under wave disturbances. Six-degree-of-freedom (6-DOF) dynamic models of a catamaran and a Stewart platform are established in Simulink and Simscape, and sea states 2, 4, and 6 are simulated using an enhanced Joint North Sea Wave Project (JONSWAP) wave spectrum. The simulation results show that, compared with Proportional–Integral–Derivative (PID) and ADRC methods, the proposed BiLSTM-ADRC strategy reduces the roll root mean squared error (RMSE) by 76.6% and 73.2%, and pitch RMSE by 64.1% and 58.1%, respectively, demonstrating an improved attitude stabilization performance. Full article
(This article belongs to the Section Control Systems)
Show Figures

Figure 1

27 pages, 656 KB  
Review
A Review of Automatic Voltage Regulation Methods for Synchronous Generator Control
by Nelson Dhanpal Chetty, Gulshan Sharma, Ravi Gandhi, Amit V. Sant, Pitshou N. Bokoro and Rajesh Kumar
Electricity 2026, 7(1), 18; https://doi.org/10.3390/electricity7010018 - 1 Mar 2026
Viewed by 103
Abstract
Traditional thermal power systems are merging with distributed generation and renewable energy sources, resulting in complex interconnected power system networks. This results in operational burdens and complexities in thermal power plants that they were not designed to handle. The role of Automatic Voltage [...] Read more.
Traditional thermal power systems are merging with distributed generation and renewable energy sources, resulting in complex interconnected power system networks. This results in operational burdens and complexities in thermal power plants that they were not designed to handle. The role of Automatic Voltage Regulation (AVR) is crucial in maintaining the stability and dependability of these complicated power systems. This research provides a comprehensive review of the AVR control strategies within the last five years, considering operational complexities, changing topologies, and evolving challenges, in contemporary power systems. This review first explores the contemporary control strategies used in voltage regulation. Second, it provides an in-depth evaluation of the traditional Proportional Integral Derivative controllers with various improvements, adaptions, and modifications, followed by an examination of supplementary controllers in the AVR framework. Lastly, this paper reviews various optimisation strategies published in the last five years. This paper enriches our understanding of traditional and advanced control strategies in AVR, providing a comprehensive evaluation of their effectiveness and constraints, and aims to provide a valuable resource for researchers in this field. Full article
Show Figures

Figure 1

22 pages, 2447 KB  
Article
Adaptive Predefined-Time Tracking Control for Robotic Manipulator Based on Actor-Critic Reinforcement Learning
by Yong Qin, Yuan Sun, Jun Huang and Yankai Li
Sensors 2026, 26(5), 1529; https://doi.org/10.3390/s26051529 - 28 Feb 2026
Viewed by 85
Abstract
This paper proposes a novel predefined-time adaptive neural tracking control method for uncertain manipulator systems based on Actor-Critic reinforcement learning framework. The proposed control scheme integrates the advantages of predefined-time stability theory and reinforcement learning to achieve fast convergence with guaranteed settling time [...] Read more.
This paper proposes a novel predefined-time adaptive neural tracking control method for uncertain manipulator systems based on Actor-Critic reinforcement learning framework. The proposed control scheme integrates the advantages of predefined-time stability theory and reinforcement learning to achieve fast convergence with guaranteed settling time bounds while handling unknown system dynamics. An Actor neural network is designed to approximate the unknown nonlinear functions and generate control inputs, while a Critic neural network evaluates the cost-to-go function to guide the learning process. The predefined-time convergence is ensured by incorporating specially designed terms into both the control law and the neural network weight update laws. The upper bound of the settling time can be explicitly preset by a single design parameter, independent of initial conditions and system parameters. Rigorous stability analysis based on Lyapunov theory proves that all closed-loop signals are bounded and the tracking error converges to a small neighborhood of the origin within the predefined time. Simulation results on a single-link manipulator system demonstrate the effectiveness and superiority of the proposed control scheme compared with conventional PID control. Full article
(This article belongs to the Special Issue Dynamics and Control System Design for Robotics)
Show Figures

Figure 1

Back to TopTop