Abstract
Quinolones represent one of the largest classes of synthetic antibiotics used in both human and veterinary medicine. Since the discovery of nalidixic acid, a substantial body of research has been carried out on quinolones, resulting in the synthesis of several quinolone derivatives with exceptional pharmacology. In addition to their antibacterial action, quinolones have a broad spectrum of diverse biological activities. In this regard, the present review examines the literature of recent years describing synthesis protocols, reactivity and biological properties, with particular emphasis on the antibacterial, antimalarial, antitrypanosomal, antileishmanial, antiviral and anticancer activities of this famous class of molecules. Finally, this review highlights the potential of quinolones as preferred pharmacophores in medicinal chemistry. The aim is to highlight the innovative aspects of the rational design of new therapeutic agents with this structural motif, in the face of emerging antibiotic resistance and the urgent need for new active molecules.
1. Introduction
The synthesis of organic molecules has gained much interest over the years and applies to several areas, such as pharmaceutical chemistry, agrochemicals and cosmetics [1,2]. Furthermore, most of these molecules need to be synthesized in a multistep fashion, a factor that results in increased complexity, leading to research on how newly evolved reaction techniques can be ingeniously applied. In particular, recent advances in new pharmacophore designs are focused on addressing the ever-growing problem of antibacterial resistance, which represents a significant concern for human health and the safety of our food products [3]. Over the past seven decades, antibacterial compounds have played a very important role in preventing serious bacterial infections. However, given the emergence of resistant populations, there is an urgent need to develop newer and more potent antibacterial agents [4]. Quinolones have represented a class of useful antibacterial agents used in human medicine since they were first synthesized. This category ranges from the earliest agent, nalidixic acid, to advanced fourth-generation fluoroquinolones. Quinolines I–III belong to the benzo-pyridine family and are naturally occurring compounds derived from plants. A wide range of derivatives can be synthesized from them (Scheme 1) [5,6].
Scheme 1.
Quinolone cores.
Quinolones, or oxo-quinolines, are among the most commonly encountered heterocycles in drug discovery. Their derivatives have found extensive use in medicinal chemistry due to their distinctive structure, which confers several remarkable pharmacological effects. These effects include activities such as antitubercular [7], antimalarial [8], antibacterial [9], anti-HIV [10], antitumor [11], anti-HCV [12] and anticancer [13] activities, as well as numerous other biological properties [14,15,16,17] (Figure 1).
Figure 1.
Biological activities of quinolone derivatives.
Quinolones, a widely prescribed class of antibacterial agents worldwide, are used to treat a wide range of bacterial infections in humans [18,19]. However, the extensive utilization of these medications has resulted in a substantial surge in quinolone-resistant bacterial strains since the early 1990s [20], a trend that continues to escalate. With the emergence of bacterial and fungal resistance to established chemotherapeutic drugs [21], the search for new chemotherapeutic molecules has become an ongoing challenge. There is an urgent need for new, potent chemotherapeutic agents, ideally with novel mechanisms of action [22,23].
The medicinal chemistry of quinolones has been the subject of research studies, with particular attention given to 4-quinolones. Liu et al. emphasized the medicinal potential of quinolones as putative antitubercular agents, while Jiang et al. focused on the potential therapeutic usage of 4-quinolones against Gram-negative bacteria [23]. Another research group, Gao et al., examined the anticancer potentials of quinolone hybrids [24]. From a more general point of view, other researchers have investigated the antibacterial and antituberculosis activities of fluoroquinolone derivatives [25,26,27]. However, these works only cover certain aspects of the medicinal chemistry of these compounds, and recent developments in this field have not been included. Quinolone cores have long been recognized for their central role in medicinal chemistry, and significant progress has been made in elucidating their biological activities. However, ongoing research continues to broaden our understanding and unlock potential new applications. The present review aims to fill this gap by highlighting important and recent advances in the synthesis of new quinolone derivatives, as well as various reactions carried out on the reactive sites of the molecules and these derivatives. This review will also highlight the potential activities of synthetic 2- and 4-quinolone derivatives. It aims to provide an overview of recent research studies carried out on these compounds on their antibacterial, antiproliferative, antiviral, antitrypanosomal and antimalarial activities. Through its objectives, this review will hopefully assist organic and medicinal chemists working in the field of drug discovery and development, as well as those interested in exploiting the rich chemistry of quinolone derivatives for chemical or biological purposes.
2. Methods of Synthesis of Quinolone Derivatives
2.1. Synthesis from Derivatives of Aniline and an Arylamine
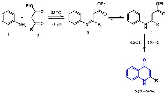
2.1.1. Conrad–Limpach–Knorr Reaction
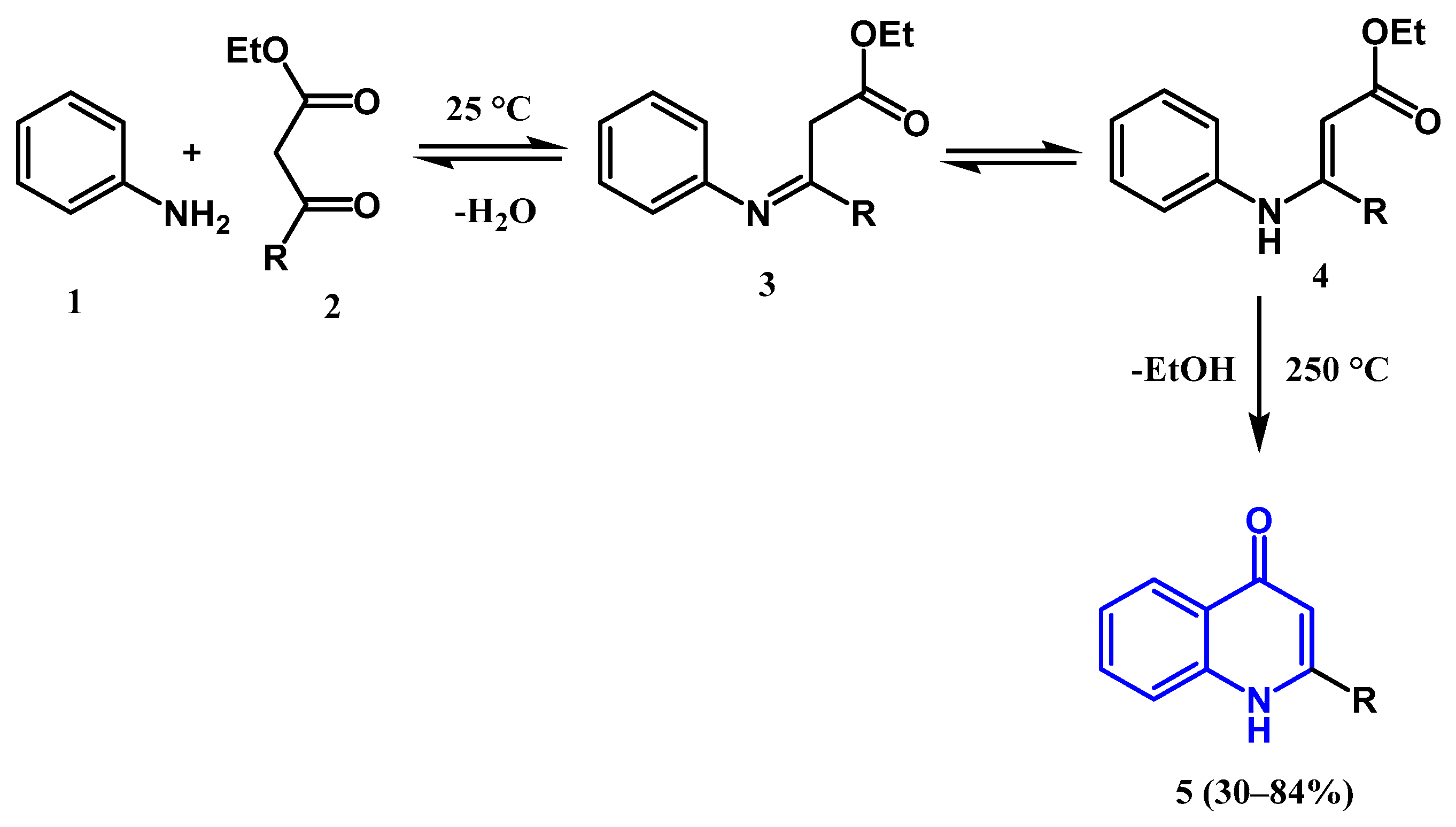
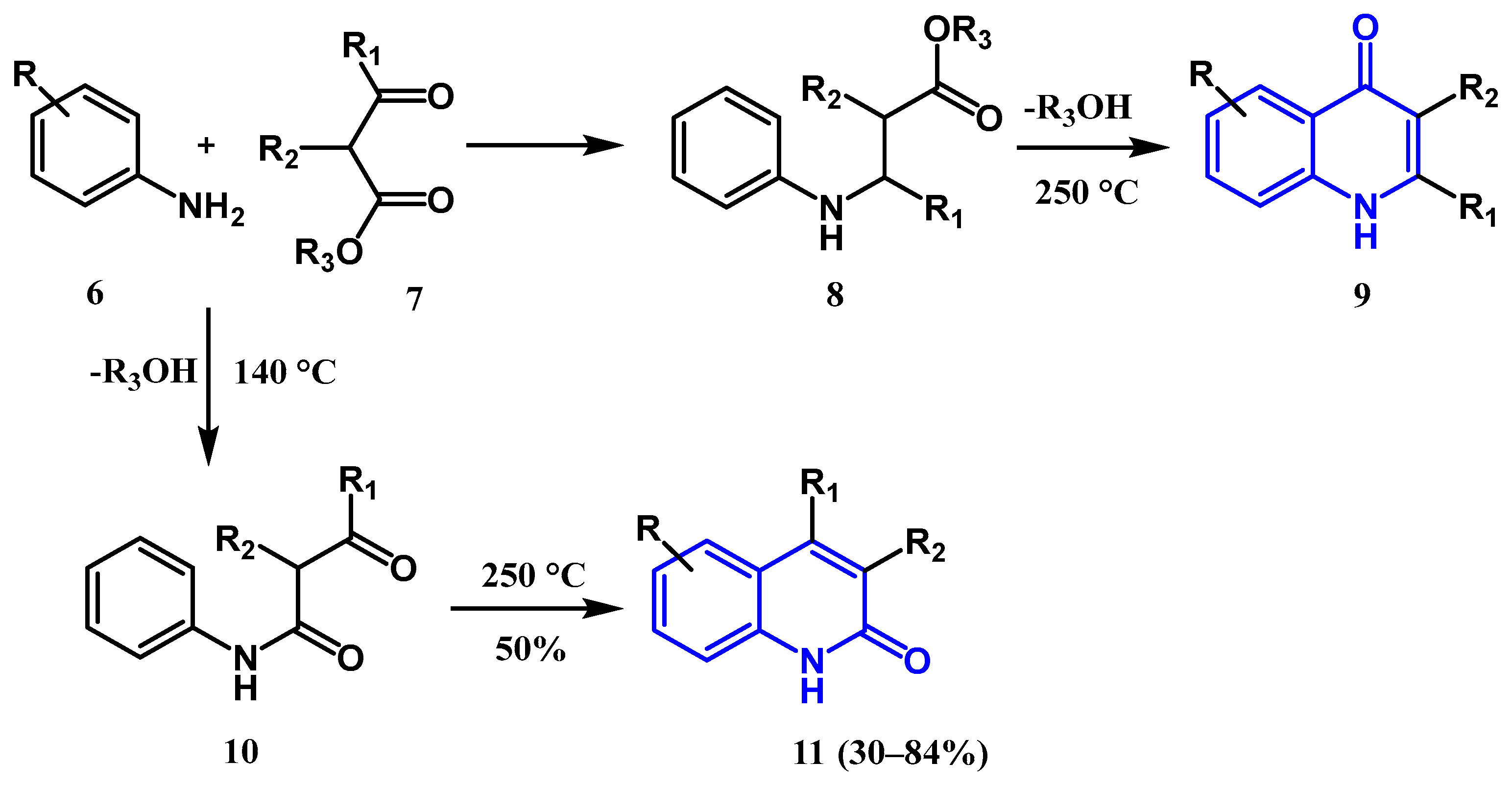
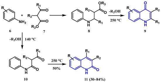
Conrad’s group [28] developed a synthesis method for quinolone derivatives 5 using β-ketoester 2 as a cyclization agent. Different products are formed depending on the reaction conditions. Heating to 250 °C leads to the formation of p-arylaminoacrylate 3, which then undergoes intramolecular cyclization to obtain 4-quinolones 5. Conversely, at temperatures above 100 °C and in the presence of a strong acid, β-ketoanilide 4 is formed, which undergoes cyclization to obtain 2-quinolone 11 (Scheme 2), and the general reaction of Conrad et al. is illustrated in Scheme 3.
Scheme 2.
Conrad–Limpach–Knorr reaction.
Scheme 3.
General reaction of Conrad et al.
The same authors [28] showed that the synthesis of aminoacrylates required for Conrad–Limpach synthesis could be achieved by the interaction of arylamines 1 with either β-ketoesters or ethyl ethoxymethylene malonate 2. The proposed mechanism is shown in Scheme 4.
Scheme 4.
Mechanism of formation of quinolone derivatives from dicarbonyl compounds.
An alternative and highly efficient method of synthesis, a modification of the Conrad–Limpach reaction, has been developed [29]. The mechanism of this method is shown in Scheme 5. It uses aniline 1, ethyl orthoformate and a compound with an activated methylene group (such as ethyl malonate or malononitrile) as starting materials.
Scheme 5.
Mechanism of formation of quinolone derivatives by a condensation reaction between three compounds.
The use of a basic medium promotes the condensation reaction between ethyl orthoformate, aniline and ethyl malonate.
2.1.2. Doebner Multicomponent Reaction
Zhou et al. [30] synthesized 3,4-dimethylquinolin-2(1H)-one 20 by reacting 2- iodoaniline 18 with a derivative of alkyl acrylate 19 in the presence of AIBN (azobisisobutyrononitrile) and n-Bu3SnH (Scheme 6).
Scheme 6.
3,4-dimethylquinolin-2-one synthesis.
In a single step, Zografos et al. [31] achieved the synthesis of alkaloid analogues of 2,4-quinolone 23, using Mukaiyama aldol 22 as a precursor and exploiting the enhanced reactivity of anhydrides (Scheme 7).
Scheme 7.
2,4-quinolone alkaloid analogue synthesis.
2.1.3. Gould–Jacobs Reactions
Gould–Jacobs synthesis is a widely used technique for the synthesis of quinolone derivatives [32]. By heating ethanol to reflux and stirring while reacting anilines 1 with an acyl malonic acid ester or alkoxymethyl malonic acid ester 22, Michael products are formed. Corresponding quinolone derivatives 25 [33] are then prepared by the condensation of the resulting condensed product, product 24, in an alkaline environment (Scheme 8).
Scheme 8.
Gould–Jacobs reactions.
2.1.4. Jampilek Reaction
In 2009, Jampilek et al. prepared ethyl 4-hydroxy-2-quinolone-3-carboxylate derivatives 28 in excellent yields using aniline 26 and triethylmethanetricarboxylate 27 in a microwave-assisted process [34] (Scheme 9).
Scheme 9.
Jampilek et al.’s reactions.
As reported and shown in Scheme 10, 4-hydroxyquinolin-2-one 30 was prepared by combining anhydrous zinc chloride, phosphorus oxychloride, aniline 1 and malonic acid 29 [35].
Scheme 10.
4-hydroxyquinolin-2-one synthesis.
2.1.5. Cheng Reaction
Long reaction times, the use of toxic phosphorus oxychloride, low yields and the use of dehydrating agents such as ZnCl2 are the disadvantages of this method [36]. However, it has been found that MW-assisted condensation can increase the yield in the presence of DMF (N,N-dimethylformamide) [37,38,39]. In the process described by Cheng et al. in Scheme 11, excess diethylmalonate 32 was reacted with anilines to obtain N,N-diarylmalonamide derivatives 31, which were then catalytically cyclized with polyphosphoric acid (PPA) to obtain 4-hydroxyquinolin-2(1H)-one 33 [40].
Scheme 11.
4-hydroxyquinolin-2-one synthesis under MW irradiation.
2.2. Syntheses from the Indole-2,3-dione Ring
Instead of conventional techniques such as reflux, El Ashry et al. [41] established a productive approach for the synthesis of 2-quinolone-4-carboxylic acid derivatives 35 using microwave irradiation. Surprisingly, 2-quinolone-4-carboxylic acid 35 was produced with a yield of 78% in only 15 min. An esterification reaction was also performed under microwave irradiation to produce ethyl 2-oxo-1,2-dihydroquinoline-4-carboxylate 37. The equivalent of 2-quinolone-4-carbohydrazide 38 was obtained after the further addition of hydrazine hydrate (Scheme 12).
Scheme 12.
Microwave-irradiated 2-quinolone-4-carboxylic acid and its synthesized derivatives.
The same applies to the reaction pathway shown above; between 2014 and 2020, Filali Baba et al. [42,43] carried out a series of investigations on the Pfitzinger reaction, which was used in conjunction with the N-alkylation method and the esterification reaction to prepare new derivatives of quinoline-4-carboxylic acid 35. They then investigated several quinoline-4-carboxamide derivatives 39, as a result of their research (Scheme 13).
Scheme 13.
The synthetic pathway for new 2-quinolone-4-carboxylic acid derivatives.
Under these aspects, Moussaoui et al. [44] realized an extended synthesis of different 2-quinolone-4-carboxamide derivatives 47 with microbial inhibitory activity. Their synthesis approach consists of coupling protected L-alaninate with 2-oxo-quinoline-4-carboxylic acid 45 under controlled conditions (TEA/DCM), which is necessary to obtain analogs with strong antibacterial activity (Scheme 14).
Scheme 14.
Synthesis of 2-quinolone-4-carboxamide derivatives.
Previous studies have highlighted the enormous role of various quinolones in a wide range of biological applications [45,46,47,48]. However, there is a need for newer strategies with an emphasis on simplifying the synthesis route and reducing the number of steps. Using readily available starting materials, isatoic anhydride 48 and indoline-1,3-dione 34, Ma et al. established an effective, green one-step method for the preparation of 4-quinolone derivatives 50. The process involves the interaction of isatoic anhydride 48 with compounds having a carbonyl function in the presence of K2CO3 as a weak base and water as a solvent to obtain bioactive 4-quinolone derivatives 50.
Similarly, indoline-1,3-dione 34 was reacted with alkyl/aryl substituted aldehydes in the presence of tert-butyl hydroperoxide (TBHP) and potassium carbonate (K2CO3) in DMSO solvent. This reaction led to the synthesis of a series of 4-quinolone derivatives 50 with yields varying between 87% and 95% [49]; these synthesized quinolone derivatives were further evaluated for their antimalarial activity (Scheme 15).
Scheme 15.
4-quinolone synthesis from indoline derivatives.
2.3. Reactions Catalyzed by Pd
The synthesis of 2-quinolones has been approached in a variety of ways in recent years, with palladium-catalyzed reactions involving two coupling components emerging as practical procedures for the preparation of 2-quinolone derivatives with a wide range of substituents.
O-iodoanilines 51 have often been used in the preparation of 2-quinolone derivatives 54. In addition, dimethyl maleate and readily available 2-iodoanilines can be used to prepare (Z)-acrylic esters 3, from which methyl 2-oxo-1,2-dihydroquinoline-4-carboxylate 54 can be efficiently prepared with yields ranging from 30% to 73% (Scheme 16). The Heck reaction provides the essential intermediate. In addition, 4-phenyl-2-quinolone 57 can be prepared from 2-iodoaniline 55 and (Z)-N-phenylcinnamamide 56 with a yield of 66%, whereas the yield of the E-isomer is only 15%. This finding demonstrates that (Z)-isomers are the preferred substrates for arylpalladium complexation [50,51].
Scheme 16.
2-Iodoanilines undergo a Pd-catalyzed reaction to produce derivatives of 2-quinolones.
In their 2007 study, Cho and Kim described a reaction between dialkyl itaconates 58 and 2-iodoaniline 59, which produced 2-quinolones 61 with substituents at the C-3 position. The conditions used to optimize the reactions are as follows: PPh3, Pd(OAc)2 was used as a catalyst and NaOAc as a base. The reactions were carried out at 100 °C for 20 h. The desired products were obtained in yields ranging from 67% to 76% [52] after studying several dialkyl itaconates 58. It is also important to note that 2,3-dialkyl-substituted quinoline, rather than quinolone, was produced when 2,3,-unsaturated ketones were used (Scheme 17).
Scheme 17.
4-aryl-2-quinolones are produced by sequential Heck reactions/amination.
For the synthesis of 4-quinolone derivatives 65, Linda et al. proposed a two-stage substituted 2-iodoaniline 63 and terminal alkyne carbonylation 62 cyclization approach in 2015.
The first phase produced cyclized products 64, which were obtained in less than 20 min at 120 °C and MW heating. In the second phase, Palladium (II) Acetate (Pd(OAc)2) was used as a catalyst to produce the cyclized product at room temperature in equivalent yields. It was found that under ideal conditions, the Pd(OAc)2 catalyst is required for aryl halogenide activation. As demonstrated in Scheme 18, Mo(CO)6 was employed as a solid source of carbon monoxide in both processes, providing favorable environmental properties as well as tolerance to a variety of functional groups. This method of synthesis allowed for the preparation of a variety of substituted quinolones 65 [53].
Scheme 18.
Sonogashira reactions for the preparation of 4-quinolones and their derivatives.
2.4. Catalytic Reduction
With an excellent yield of 88%, the synthesis of 4-hydroxyquinolin-2-one 30 was achieved by the catalytic reduction of ethyl 2-nitrobenzoylacetate 66 with hydrazine (NH2NH2, H2O) in the presence of Pd/C at 25 °C. This was followed by an intramolecular cyclization step (Scheme 19) [54].
Scheme 19.
Synthesis of 4-hydroxyquinolin-2-one.
This reduction can be successfully accomplished with hydrogen and a platinum black catalyst [55]. Additionally, Huntress and Bornstein described a reaction in which N-chloroacetylisatin 67 generated 4-hydroxy-2(1H)-quinolone 30 when it was treated with an alkali [56] (Scheme 20).
Scheme 20.
Huntress and Bornstein reaction.
2.5. Silver-Catalyzed Carboxylation
In 2014, Kikuchi and Yamada reported a high-yield reaction with o-alkynylaniline derivatives 68. The reaction was carried out with 1,8-diazabicyclo[5.4.0]undec-7-ene (DBU) and AgNO3. The reaction was performed under atmospheric pressure of CO2 in dimethylsulfoxide. As a result, the C-C bond was formed. Moreover, the yield ranged from 70% to 97% (Scheme 21) [57].
Scheme 21.
Kikuchi and Yamada reactions.
2.6. One-Pot Reaction
Kobayashi and Harayama also described an efficient one-pot synthesis of 3-hydroxy-4-phenylquinolin-2(1H)-one 72. Decyanative epoxide–arene cyclization is used to prepare quinolinone 72; this technique involves Knoevenagel condensation/epoxidation of cyanoacetanilide 71 (Scheme 22) [58].
Scheme 22.
Kobayashi and Harayama reactions.
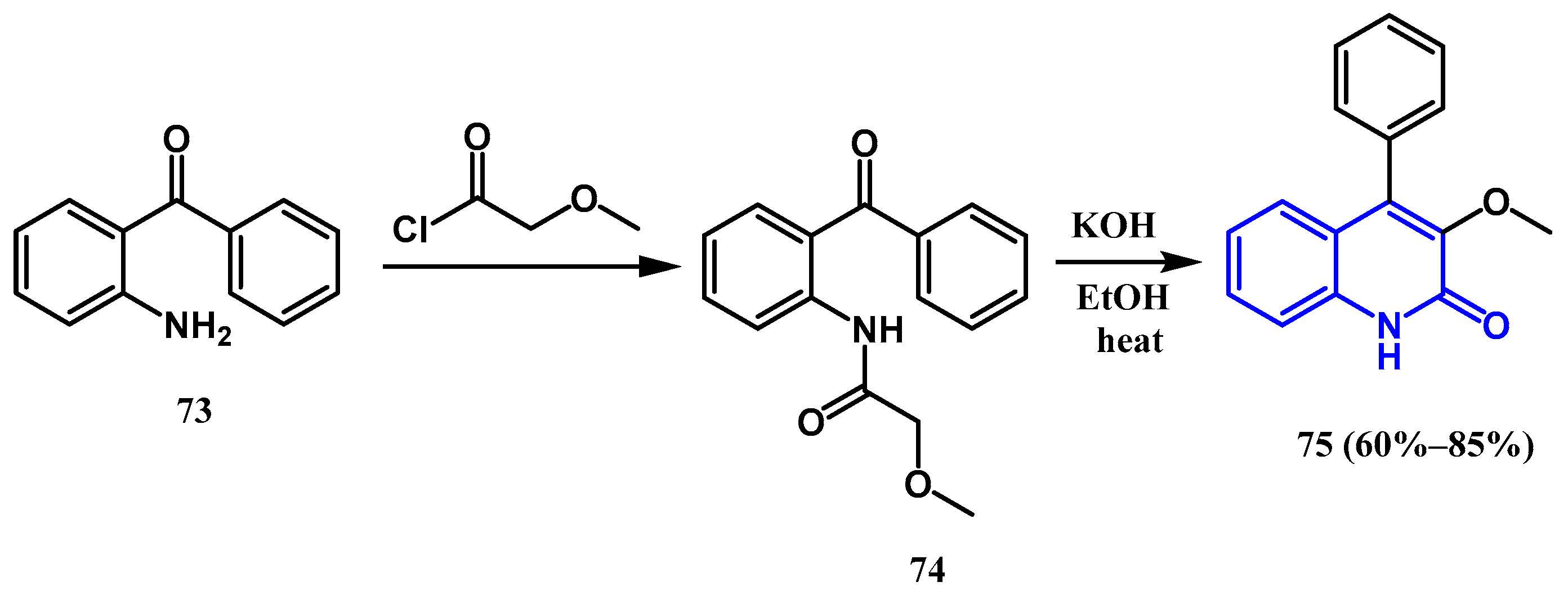
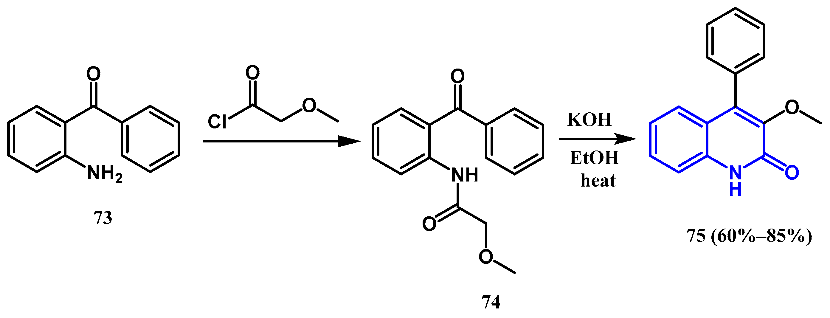
In addition, Ribeiro et al. described the synthesis of a compound derived from 2-quinolone 75 with a phenyl at C4 and a methoxy at C3. In this procedure, 2-aminobenzophenone 73 was acylated with methoxyacetyl chloride and then subjected to an alkaline cyclization step. The formation of an intermediate allowed the reaction to continue. Various substituents could be added at the 3-position by controlling the reaction between an aminobenzophenone and bromoacetyl bromide (Scheme 23) [59].
Scheme 23.
Synthesis of 3-methoxy-4-phenyl-2-quinolone.
2.7. PIFA Catalyzed Oxidative Reaction
In 2013, Liu et al. published a versatile and effective approach for the synthesis of different 3-arylquinolin-2-ones 77. This included the preparation of substituted 3-arylquinolones by the reaction of N-alkyl-N-phenylcinnamides 76 with PIFA (phenyliodine bis(trifluoroacetate)) in the presence of BF3, which is a Lewis acid (Scheme 24) [60].
Scheme 24.
The formation of various 3-arylquinolin-2-ones.
3. Reactivity of Quinolones’ Derivatives
3.1. Amidation and Amination
Many organic syntheses of amines are important to the development of biologically active compounds. Their functions are quite versatile, and thus, many chemical transformations are usually required in the synthesis of pharmaceuticals, agrochemicals and functional materials. Among them, the nucleophilic substitution of alkyl halides and the Buchwald–Hartwig reaction for aryl halides are among the most common ways to establish C-N bonds in modern organic chemistry. These reactions not only emphasize the growing importance of amines but also extend their versatility to aid in the synthesis of complex organic compounds [61]. Mikhalev et al. reported the synthesis of 2-oxo-4-quinoline-carboxylic acid arylamides 79 in a two-step process. First, they carried out the esterification of 2-oxo-1,2-dihydro-quinoline carboxylic acid in ethanol using H2SO4 as a catalyst. This step facilitated the formation of the corresponding ester 78 (Scheme 25) [62].
Scheme 25.
Synthesis of 1,2-dihydroquinolone-4-carboxamide derivatives.
Moreover, Kumar et al. reported an efficient synthetic route to access a library of substituted N-(3-acetyl-2-oxoquinoline-1(2H)-yl)benzamides 82 by coupling 3-acetyl-1-aminoquinoline-2-one 80 with various benzoic acids 81 under reflux conditions using pyridine and silicon tetrachloride. These compounds were prepared to investigate their therapeutic potential and structure–activity correlations (Scheme 26) [63].
Scheme 26.
Synthesis of N-(3-acetyl-2-oxoquinolin-1(2H)-yl)benzamide derivatives.
Shivaraj and colleagues [64] synthesized and evaluated the in vitro antibacterial activity of a series of 2-chloroquinolin-4-carboxamides 84 against Escherichia coli and Staphylococcus aureus (Scheme 27). The results indicate that the majority of the prepared compounds exhibited activity against the tested microorganisms when evaluated on a milligram scale.
Scheme 27.
Synthesis of 2-chloroquinolin-4-carboxamides and -6-carboxamides.
Kumar Suthar and his team [65] introduced additional substitutions to increase the biological activity of these backbones. They synthesized a library of thirty-one quinolone-thiazolidinone hybrids 86 and evaluated them for their ability to depict cancer and inflammation. Hybrids 86 were obtained through a one-pot reaction sequence involving the addition of dicyclohexylcarbodiimide in the presence of various aldehydes and thioglycolic acid (Scheme 28).
Scheme 28.
Synthesis of hybrid compounds of quinolone and thiazolidinone.
In a recent publication, Ibrahim et al. [66] described the synthesis of a variety of bioactive molecules [67,68,69,70,71]. They attempted to prepare a series of methyl salts of dipeptides bearing amino acids conjugated to quinoline nucleosides at position 4. The reaction sequence depended on the regioselective silylation of quinolines 35 and 87 [72] with protected ribose tosylate 88 in dry DMF in the presence of NaH. Using a slightly modified technique, this resulted in the synthesis of methyl 5-deoxy-2,3-O-isopropylidene-D-ribofuranosyl-5-yl)-2-oxo-1,2-dihydroquinoline-4-carboxylate 89 and acid 90 with 80–90% yields [73,74]. The structure of the nucleoside was chemically validated by hydrolysis with alcoholic potash from ester 89. Furthermore, ester 90 was esterified using thionyl chloride in 100% methanol to obtain fully deprotected nucleoside 93 with a yield of 60%.
Furthermore, compound 92 was obtained by heating ester 89 under the influence of hydrazine hydrate in ethyl alcohol; ester 89 was subjected to a reaction that resulted in the formation of hydrazide 91. Hydrazide 91 was then converted to azide 92 by treatment with NaNO2 and HCl (Scheme 29).
Scheme 29.
Synthesis of various bioactive molecules.
3.2. Esterification
Esterification is one of the most important fundamental chemical reactions involving the formation of esters by the reaction of alcohol with a carboxylic acid. Thus, this process is very important in organic chemistry and applicable directly to the food, cosmetic, and pharmaceutical industries. The esterification of quinolone derivatives, especially ciprofloxacin, is reported in the literature with different methods and biological activity relationships [75].
Among the factors influencing the increasing resistance of some microbes to antibiotics, their irrational use should be highlighted. Therefore, the design and study of heterocyclic compounds with various biological activities become highly important. The antimicrobial agent ciprofloxacin 94 was the subject of recent studies by Alasadi et al., who reported the preparation of novel esterification products of ciprofloxacin 96 by reacting ciprofloxacin 94 with glycerol 95 in the presence of sulfuric acid as a refluxing Brønsted–Lowry acid [76] (Scheme 30).
Scheme 30.
Esterification of ciprofloxacin.
Selig and Bach were the first to report that acetoxy-quinolones 98 have antiplatelet activity. This process is accomplished by the activation of platelet nitric oxide synthase (NOS) through CRTAase, which results in acetylation. This acetylation then leads to the inhibition of platelet aggregation that is dependent on ADP/Arachidonic acid (AA). The researchers discovered that the selectivity of platelet CRTAase towards various acetoxy quinolone analogs 98, as well as the resulting levels of intracellular NO, played a critical role in inhibiting platelet aggregation. Among the acetoxy-quinolones 98 studied, 2-oxo-1,2-dihydroquinolin-4-yl acetate was found to be the most efficient substance for platelet CRTAase. It exhibited the best antiplatelet activity in both in vitro and in vivo experiments. The target molecule was synthesized by the esterification reaction of 4-hydroxy-2(1H)-quinolone 30 with acetic anhydride 97 in a basic solution containing triethylamine. Under acidic conditions, the reaction with acetic acid produced 4-acetoxyquinolin-2-one 98 with a good yield (Scheme 31) [77,78].
Scheme 31.
Synthesis of 2-oxo-1,2-dihydroquinolin-4-yl acetate.
The SARS-CoV 3CLpro is a very promising target for the development of therapeutic agents against SARS. In this direction, Y. Sun et al. reported the synthesis of 2-oxo-1,2-dihydroquinolin-4-yl acetate derivatives 100 from acyl chloride derivatives 99 reacting with 4-hydroxy-2-quinolone 30 in the presence of pyridine as the solvent at room temperature (Scheme 32) [77].
Scheme 32.
Synthesis of 2-oxo-1,2-dihydroquinolin-4-yl acetate derivatives.
Additionally, to protect the acid function and alkylate the NH site of 2-quinolone, A. El-mrabet et al. [79] esterified 2-oxo-1,2-dihydroquinoline carboxylic acid 35 in ethanol using sulfuric acid as a catalyst for 2 h at reflux (Scheme 33).
Scheme 33.
Esterification of 2-oxo-1,2-dihydroquinoline carboxylic acid derivatives.
3.3. N-, O- and C-Alkylation
Alkylation is one of the most important reactions in the synthesis of new quinolone derivatives. The substitutions at the N and O positions vary from substituent to substituent, but after the optimization of the reaction conditions—i.e., temperature, base, and alkylating agent—selectivity and higher yields could be achieved. New methods, such as microwave irradiation, are far ahead of classical heating methods.
Xian-Qing Deng and his colleagues [80] have reported the synthesis of various 2-quinoline alkylation products. The starting product, 4-hydroxyquinoline-2(1H) 30, was reacted with the appropriate alkyl halide or benzyl chloride to obtain 4-alkoxyquinolinones 102 in DMF or acetone with stirring (Scheme 34).
Scheme 34.
Alkylation of 4-hydroxyquinolin-2-one.
According to Morel et al. [81], the reaction of 4-hydroxy-2-quinolones 30 with alkyl iodides, benzyl bromides and allyl bromides in benzene at room temperature using Ag2CO3 as a catalyst, 2,4-dialkoxyquinolines 103 are produced with moderate to excellent yields. This method exhibits a high degree of regioselectivity and provides a novel and gentle one-pot strategy for synthesizing this particular class of compounds (Scheme 35).
Scheme 35.
4-hydroxy-2-quinolone derivative synthesis.
In addition, Chen et al. [82] successfully carried out the targeted alkylation of substituted quinoline-2(1H)-one derivative 104. They demonstrated the alkylation of relatively large 8-methoxy, 8-benzyloxy and 8-chloroquinoline-2(1H)-ones 104 using 2-bromoacetophenone, DMF and K2CO3 under standard conditions. The selectivity observed in this case does not apply to the substituted C(6) and C(7) homologs of quinoline-2(1H)-one. In these compounds, alkylation takes place at both the N1 and O2 positions, with the N1-alkylated product being the major one. Thus, the process of introducing alkyl groups into substituted quinoline-2(1H)-ones 104 was primarily affected by the size and shape of the substituents rather than their electronic properties (Scheme 36).
Scheme 36.
O and N-alkylation of quinolin-2(1H)-one.
Recently, Grzelakowska et al. [83] synthesized new compounds derived from 3-formyl-2(1H)-quinolones 107 and N-methyl-3-formyl-2-quinolones 108 by attaching a methyl or methoxy group at the 6-position of both compounds. The resulting compounds were evaluated for their activity as chemosensors for detecting thiol-containing amino acids. The spectroscopic properties of the samples were analyzed, which included studying their absorption and emission spectra, fluorescence quantum yields and singlet lifetimes. The behavior of the compounds was studied at a pH of 7.4 in the presence of amino acids. The findings demonstrated that these compounds exhibited a notable decrease in fluorescence and a strong preference for L-cysteine over other amino acids, indicating their potential as L-cysteine sensors (Scheme 37).
Scheme 37.
Synthesis of N-methyl-3-formyl-2-quinolone derivatives.
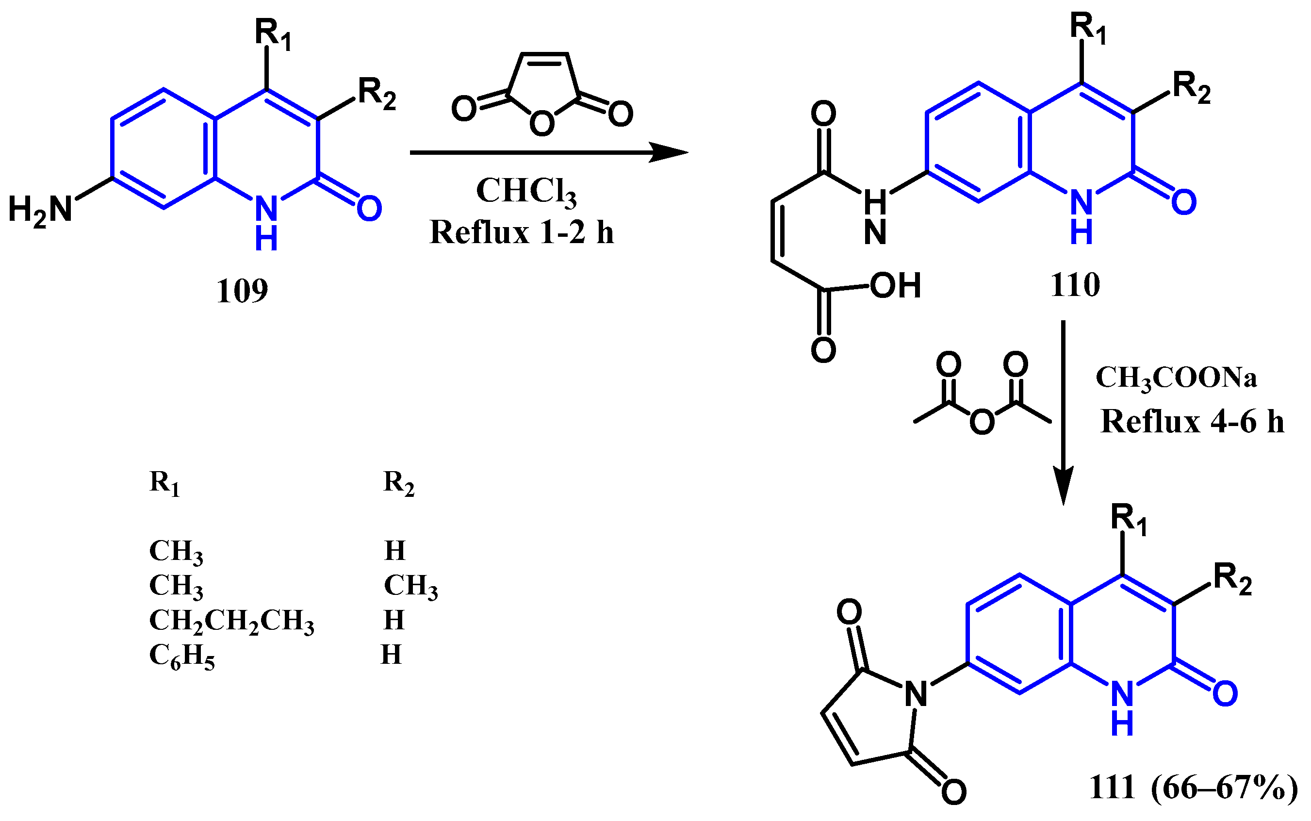
The same authors [84] synthesized and characterized new compounds derived from the 2(1H)-quinolone structure. The samples were subjected to studies of their spectroscopic properties, including an evaluation of their absorption and emission spectra, and the fluorescence quantum yield was determined. The maleimide derivatives 7-maleimido-4-methyl-2(1H)-quinolone, 7-maleimido-3,4-dimethyl-2(1H)-quinolone, 7-maleimido-4-propyl-2(1H)-quinolone and 7-maleimido-4-phenyl-2(1H)-quinolone 111 were investigated as potential sensors for the determination of sulfhydryl amino acid groups. Newly prepared compounds 111 showed a large fluorescence enhancement with prominent selectivity towards L-cysteine over other amino acids and metal cations (Scheme 38).
Scheme 38.
Synthesis of 1-(2-oxo-1,2-dihydroquinolin-7-yl)-1H-pyrrole-2,5-dione derivatives.
Selevero et al. [85] used 2,2,2-trifluoroethanol as a solvent for the highly effective and simple preparation of symmetrical 3,3-disubstituted quinoline-2,4-diones 113. This method is based on the reaction of 4-hydroxy-2-quinolones 112 with electrophiles such as methyl iodide, benzyl bromides, allyl bromides, phenyl iodide and isopropyl iodide in the presence of K2CO3. Ag2O enhances the efficiency of the methylation reactions. The developed method proceeded with very good yields and excellent regioselectivity (Scheme 39).
Scheme 39.
Alkylation at the C3 position of 4-hydroxyquinoline-2,4-diones derivatives.
Refouvelet et al. [86] prepared aromatic coumarins and aromatic α-quinolones 115 through the Knovenagel condensation of 2,4-quinolinediol 30 with benzaldehyde 114 in pyridine. The formed compounds were provided in only one diastereoisomeric (Z) form. Compounds 115 were subsequently tested in vitro for their potential to protect human liver cells, represented by a human hepatoma cell line, HepG2, and primary human hepatocytes, against oxidative insults exerted by t-BHP. Their work demonstrated that the protective efficacy of such compounds against the t-BHP-induced decrease in cell viability depended on the presence of a benzylidene group at the 3-position or a heterocycle containing nitrogen and sulfur atoms on the benzopyrone or quinolone system. Furthermore, it was found that the presence of a methoxy group on the aromatic ring systems reduced their protective ability (Scheme 40).
Scheme 40.
Synthesis of aromatic coumarins and aromatic α-quinolones.
3.4. Halogenation
However, Hao et al. evaluated the potential for vicinal functionalization using 1-methyl-3,6-dinitroquinolin-2(1H)-one 116 as a model substrate. Upon treatment of 1-methyl-3,6-dinitroquinolin-2(1H)-one 116 with sodium methoxide in methanol at ambient temperature, the solution promptly exhibited a reddish-yellow color, and a yellow solid precipitated from the reaction mixture. Then, the chlorination of the product formed 117 by NCS in acetonitrile, which led to the formation of 3-chloro-4-methoxy-1-methyl-6-nitro-3,4-dihydroquinolin-2(1H)-one 118 (Scheme 41) [87].
Scheme 41.
Synthesis of 3-chloro-4-methoxy-1-methyl-6-nitro-3,4-dihydroquinolin-2(1H)-one derivatives.
3.5. Thionation
Tetraphosphorus decasulfide (P4S10) 120 is commonly used as a thionating agent in pyridine. The thionating capabilities of this reagent have been investigated and extended to include solvents such as acetonitrile and pyridine. In these solvents, the reagent has shown considerable utility in synthesis and remarkable selectivity. The properties of this substance have been compared to those of the well-known Lawesson reagent (LR).
Bergman et al. [88] described the method for the thionation of 3-hydroxy-2-quinolone 119 using tetraphosphorus decasulfide (P4S10) 120. The compound 2-phenylquinoline-4(1H)-thione 121 was produced through the reaction of 2-phenylquinoline-4(1H)-one 119 with P4S10 120 in the presence of pyridine. The reaction was carried out under reflux conditions using dimethyl sulfone as the solvent for a duration of 2 h. The reaction afforded 2-phenylquinoline-4(1H)-thione 121 with a favorable yield of 77%, exhibiting a melting point range of 192–194 °C (Scheme 42).
Scheme 42.
Synthesis of 2-phenylquinoline-4(1H)-thione.
The same authors carried out the thionation reaction of 3-hydroxy-2-quinolone 122 using tetraphosphorus decasulfide (P4S10) 120 in acetonitrile. This reaction synthesized 3-hydroxyquinoline-2(1H)-thione 123 with a yield of 93%, which is higher than that of the previous reaction. The product had a melting temperature of 306–308 °C (Scheme 43).
Scheme 43.
Synthesis of 3-hydroxyquinoline-2(1H)-thione.
Researchers have been highly interested in derivatives of thioquinolines, which has resulted in the development of several methods for the thionation of this compound class. An example of one of these methods is the synthesis of 3-(dimethylsulfaneylidenes)-4-hydroxy-3,4-dihydroquinolin-2(1H)-one 125. The synthesis is accomplished by combining 4-hydroxy-2-quinolones 30 with dimethyl sulfoxide 124 and using acetic anhydride as the solvent at a temperature of 100 °C for a duration of 2 h (Scheme 44) [89].
Scheme 44.
Synthesis of 3-(dimethyl-sulfaneylidene)-4-hydroxy-3,4-dihydroquinolin-2(1H)-one.
3.6. Hydrolyse and Decarboxylation
Furthermore, Ukrainets et al. (2006) [90] reported that the ethyl esters of 4-halo-substituted 2-oxo-1,2-dihydroquinoline-3-carboxylic acids are formed when 3-ethoxycarbonyl-4-morpholino-2-oxo-1,2-dihydroquinoline 126 is treated with aqueous solutions of hydrohalogenic acids for a short time. Upon boiling for a longer period of time, it was found that the hydrolysis in HF leads exclusively to the formation of 4-hydroxy2-quinolones 30 derivatives (Scheme 45).
Scheme 45.
Hydrolysis of ethyl 4-morpholino-2-oxo-1,2,3,4-tetrahydroquinoline-3-carboxylate.
In addition, the same authors studied the decarboxylation and hydration of 4-chloro-2-oxo-1,2-dihydroquinoline-3-carboxylic acid 127 in DMF at high temperatures, resulting in the formation of N-ethyl 4-hydroxy-1H-quinoline-2-one 128. The structures of these compounds, obtained in crystal form, were confirmed by an X-ray analysis (Scheme 46) [91].
Scheme 46.
Synthesis of 1-ethyl-4-hydroxyquinolin-2(1H)-one.
3.7. Azidation
Täubl et al. described the nucleophilic substitution of chlorine in 4-chloro-1-methyl-3-phenylsulfanyl-2-quinolone 129 using the azide anion. This was carried out with sodium azide in dimethylformamide at a temperature of 60 °C, resulting in an almost quantitative yield of the product (Scheme 47) [92].
Scheme 47.
Nucleophilic substitution of 4-chloro-1-methyl-3-phenylsulfanyl-2-quinolone.
Aizikovich et al. [93] describe the conversion of the hydroxy group in 2-quinolone 30 to 4-azido-2-quinolone 131, which is subsequently converted to 4-amino derivatives with moderate yields. This conversion is accomplished through a novel, concise, and convenient process employing diphenylphosphoryl azide (DPPA) as the reagent. A proposed mechanism for this innovative application of DPPA is derived from the identification of certain intermediates (Scheme 48).
Scheme 48.
Synthesis of 4-azidoquinolin-2(1H)-one.
4-Azido-2-quinolone derivatives 135 were synthesized in several steps from 4-hydroxy-2-quinolone 132 by Alshammari et al. [94]. First of all, 4-hydroxy-2-quinolone 132 was treated with phosphoryl chloride to form the corresponding intermediate compound. The hydrolysis of the latter resulted in 4-chloro-2-quinolone 134, which was then treated with sodium azide in DMF. This afforded the desired 4-azido-2-quinolone derivatives 135 (Scheme 49).
Scheme 49.
Synthesis of 4-azido-2-quinolone derivatives.
3.8. Cycloaddition
3.8.1. Preparation of Triazole-Quinolone
Quinoline molecules are frequently present in living organisms as important secondary metabolites [95], while 1,2,3-triazoles, which are chemically unreactive compounds, have not been observed in naturally occurring substances [96]. The combination of quinoline and 1,2,3-triazole skeletons through various methods can produce important biomolecules that are useful for the development of drugs. Moreover, 1,2,3-triazoles have the ability to function as pharmacophores and linkers connecting quinoline with other pharmacophoric molecules, which makes them particularly interesting in molecular hybridization strategies [97].
Scientists are motivated to synthesize uniform and diverse ring compounds to develop treatments for a wide variety of diseases [98]. 2-quinolones represent an interesting class of compounds due to their greater pharmacological importance and diverse biological activity [99,100]. 1,2,3-triazoles are an important class of compounds containing a wide range of biological activities such as antibacterial, anti-tubercular, anticancer, antifungal and anti-HIV activities [97,101]. The development of the copper-catalyzed [3 + 2] cycloaddition of organic azides with terminal alkynes under mild conditions has significantly increased the value and applications of 1,2,3-triazole compounds [102,103]. One of the most representative examples of click chemistry is the regioselective preparation of 1,2,3-triazoles, which have recently been used extensively in almost all fields of chemistry [104,105,106]. Cu-catalyzed [3 + 2] cycloadditions of azides and alkynes, commonly referred to as the Meldal–Sharpless ‘click’ reaction, are one of the most widely used methods for the generation of 1,2,3-triazoles. Indeed, this reaction provides a wide functional range for biomolecules. Cycloaddition, which is used in molecular hybridization strategies for heterocyclic compounds, is a chemical cyclization reaction in which two or more unsaturated molecules or fragments of the same molecule join to form a cyclic structure. It reduces the number of bonds between atoms and therefore facilitates the formation of new heterocyclic compounds. Click chemistry is used in the synthesis of 8-((1-(anthracen-9-ylmethyl)-1H-1,2,3-triazol-4-yl)methoxy)-4-hydroxyquinoline-2-carbaldehyde 140. The most widely applied synthetic methodology in bioconjugation, drug design and materials chemistry has been click chemistry through the coupling of terminal alkynes with organic azides via a 1,3-dipolar cycloaddition process, which affords 1,2,3-triazoles.
Additionally, the 1,2,3-triazole linker has the potential to be utilized for the attachment of cations, which could be advantageous for the identification of metal ions. According to this method, the probe is 8-((1-(anthracen-9-ylmethyl)-1H-1,2,3-triazol-4-yl)methoxy)-4-hydroxyquinoline-2-carbaldehyde 140, which can be achieved by reacting anthracene azide 139 with the alkyne of 8-oxyquinoline 138 in the presence of CuSO4 as a catalyst (Scheme 50) [107].
Scheme 50.
Synthesis of 8-((1-(anthracen-9-ylmethyl)-1H-1,2,3-triazol-4-yl)methoxy)-4-hydroxyquinoline-2-carbaldehyde.
In this study, El-Sheref et al. described the synthesis of novel classes of 1,2,3-triazoles derived from 2-quinolone via Cu-catalyzed [3 + 2] cycloadditions (Meldal–Sharpless ‘click’ reactions). The reactions included the treatment of 4-azidoquinolin-2(1H)-ones 141 with various alkynes such as ethyl propiolate 142 (Scheme 51) and 1-(4-(prop-2-yn-1-yloxy)phenyl)ethan-1-one derivatives 144 (Scheme 52). These reactions were performed in the presence of sodium ascorbate, which reduced Cu(II) to Cu(I), and DMF was used as the solvent. The reactions were carried out for a duration of 12 h at temperatures that varied from 30 to 50 °C [108].
Scheme 51.
Synthesis of ethyl 1-(2-oxo-1,2-dihydroquinolin-4-yl)-1H-1,2,3-triazole-4-carboxylate derivatives.
Scheme 52.
Synthesis of 4-(4-((4-acetylphenoxy)methyl)-1H-1,2,3-triazol-1-yl)quinolin-2(1H)-one derivatives.
On the other hand, El-Sheref E. M. et al. [109] reported the synthesis of a new hybrid molecule from the previously synthesized triazole ring with 1,8-bis(prop-2-yn-1-yloxy)naphthalene 147 through Cu(I)-catalyzed [3 + 2] cycloadditions. The hybrid product produced 148 in the anti-form, which acts as a fascinating precursor for functionalized inhibitors of the epidermal growth factor receptor (EGFR) with the potential to inhibit cell proliferation and induce apoptosis. The synthesized compound demonstrated potent antiproliferative activity against four cancer cell lines, with average GI50 values ranging from 34 nM to 134 nM (Scheme 53).
Scheme 53.
Synthesis of a new hybrid molecule.
The same authors, M. El-Sheref et al. [110], developed an effective and adaptable technique that utilizes Cu-catalyzed [3 + 2] cycloaddition (Huisgen–Meldal–Sharpless reaction) for coupling 3,3′-((4-(prop-2-yn-1-yloxy)phenyl)methylene)bis(4-hydroxyquinoline-2(1H)-ones) 151 with 4-azido-2-quinolone derivatives 152. This process produces products 153 with high yields. This approach facilitated the joining of three quinolone molecules using a triazole linker. The resulting products are valuable precursors because of their potential to inhibit cell proliferation (Scheme 54).
Scheme 54.
Cu-catalyzed [3 + 2] cycloaddition.
In a recent study, M. Alshammari et al. [94] synthesized (E)-4-(4-((4-(3-oxo-3-phenylprop-1-en-1-yl)phenoxy)methyl)-1H-1,2,3-triazol-1-yl)quinolin-2(1H)-one 155 through the reaction of 4-azido-2-quinolone derivatives 141 with 1-phenyl-3-(4-propargyloxyphenyl)prop-2-en-1-one 154 in the click condition. The desired hybrids were synthesized with excellent yields using a copper (I)-catalyzed azide-alkyne [3 + 2] dipolar cycloaddition reaction (CuAAC).
The synthetic sequence was initiated with the preparation of 4-hydroxy-2-quinolone, which was subsequently treated with phosphoryl chloride to yield an intermediate compound. In the next step, the compound was subjected to hydrolysis. Finally, the treatment of 4-chloro-2-quinolone with sodium azide in DMF yielded the formation of 4-azido-2-quinolone derivatives 141 (Scheme 55).
Scheme 55.
Synthesis of (E)-4-(4-((4-(3-oxo-3-phenylprop-1-en-1-yl)phenoxy)methyl)-1H-1,2,3-triazol-1-yl)quinolin-2(1H)-one.
As microbial inhibitors, Moussaoui et al. [8] described in detail the synthesis of a variety of 2-quinolone-4-carboxamide derivatives 18. Under appropriate conditions, protected L-alaninate 46 is coupled with 2-oxo-quinoline-4-carboxylic acid 45 using triethylamine (TEA) as the base and DCM as the solvent. The resulting chemical was then subjected to N-alkylation using propargyl bromide. The desired products, methyl (1-((1H-1,2,3-triazol-4-yl)methyl)-2-oxo-1,2-dihydroquinoline-4-carbonyl)-L-alaninate derivatives 157 (shown in Scheme 9), were then prepared by an azidation reaction using different azides (Scheme 56).
Scheme 56.
Synthesis of 2-quinolone-4-carboxamide derivatives containing a triazole nucleus.
3.8.2. Preparation of Furanoquinolones and Pyranoquinolones
Furanoquinolones and pyranoquinolones are organic compounds that have a wide range of biological applications, making them of great interest. Sakharov et al. discovered a method for the furo-annulation of 4-hydroxy-2-oxoquinoline-3-carboxylates 158 using 3-arylazirines and Cu(acac)2 as a catalyst. This method combines various 2-phenylfuro[3,2-c]quinolin-4(5H)-one compounds. The reaction entails the cleavage of the azirine ring at the N−C2 bond, resulting in the formation of a dihydrofuran ring that includes two carbon atoms from the azirine. Additionally, the ester group undergoes migration to the nitrogen atom. The efficacy of this approach ranges from 56% to 87% (Scheme 57), and The reaction mechanism is detailed in (Scheme 58) [111].
Scheme 57.
Synthesis of 2-phenylfuro[3,2-c]quinolin-4(5H)-one derivatives.
Scheme 58.
Plausible mechanism of Sakharov reaction.
Furthermore, Aly et al. reported a reaction in which 4-Hydroxy-quinoline-2-ones were combined with 2-[bis(methylthio)methylene]malononitrile 165 in the presence of DMF as a solvent and triethylamine (Et3N). This reaction resulted in the formation of two distinct products: 3-(methylthio)-4-oxo-4,5-dihydrofuro[3,2-c] 168–169. The predominant product obtained is quinolone-2-carbonitriles 168, with yields ranging from 45% to 56%. Additionally, 3-(methylthio)-4-oxo-4,5-dihydrofuro[3,2-c] 169 was identified as a secondary product, albeit with lower yields ranging from 25% to 33% (Scheme 59), and the mechanism proposed for the formation of the three compounds is depicted in (Scheme 60) [112].
Scheme 59.
Synthesis of furo[3,2-c]quinolin-4(5H)-one derivatives.
Scheme 60.
Plausible mechanism of Aly reaction.
Pyrano[3,2-c]quinolone forms a class of scaffolds that present a wide range of important biological activities in nature. Haiting Y. et al. have reported the acid-catalyzed formal [3 + 3]/[3 + 2] cascade annulation processes for the synthesis of pyrano[3,2-c]quinolone and furo[3,2-c]quinolone derivatives 177. These processes utilize 4-hydroxy-1-methylquinoline-2(1H)-one 175 and propargylic alcohols 176 as starting materials [113,114].
In the initial reaction, 4-hydroxy-1-methyl-2-quinolone 175 was reacted with 1,1,3-triphenylprop-2-yn-1-ol in 1,2-dichlorethane (DCE) 176 with pTsOH·H₂O as a catalyst for 1 h. This reaction yielded 6-methyl-2,2,4-triphenyl-2,6-dihydro-5H-pyrano[3,2-c]quinolin-5-one 177 with a 70% yield (Scheme 61).
Scheme 61.
Synthesis of 6-methyl-2,2,4-triphenyl-2,6-dihydro-5H-pyrano[3,2-c]quinolin-5-one.
In the subsequent reaction, the same starting material 175 was reacted with 1,3-diphenylprop-2-yn-1-ol 178 and CuOTf, acting as a catalyst. The isolated product was identified as (Z)-2-benzylidene-5-methyl-3-phenyl-3,5-dihydrofuro[3,2-c]quinolin-4(2H)-one 179, with a yield of 60% (Scheme 62) [115].
Scheme 62.
Synthesis of (Z)-2-benzylidene-5-methyl-3-phenyl-3,5-dihydrofuro[3,2-c]quinolin-4(2H)-one.
3.8.3. Preparation of Imidazole Quinolones
Abonia and colleagues [116] presented a one-pot synthesis of hybrid compounds. The synthesis of 3-(1H-benzimidazol-2-yl)quinolin-2(1H)-ones 182 was achieved by the addition of various substituted o-phenylenediamines 181 to 2-chloro-3-formylquinoline 180. The reaction was carried out in a 70% aqueous acetic acid solution, with the use of Amberlyst-15 at a concentration of 20% w/w. The resulting hybrid compounds exhibited antitumor potential against various cancer cells (Scheme 63).
Scheme 63.
Synthesis of 2-quinolone with a benzimidazol ring.
3.8.4. Preparation of Thiazolidin-4-one Quinolones
H. Al-Wahaibi et al. described the synthesis of a novel series of quinoline-2-one-based derivatives as potential apoptotic antiproliferative agents targeting the epidermal growth factor receptor (EGFR) inhibitory pathway. Specifically, 4-((quinolin-4-yl)amino)-thia-azaspiro[4.4/5]alkan-3-ones 188 were prepared via thioglycolic acid-catalyzed reactions between 4-(2-cyclodenehydrazinyl)quinolin-2(1H)-one 187 and thioglycolic acid. [117]. Compounds 187 and 188 exhibited potent EGFR inhibitory activity, with IC50 values of 0.18 and 0.09 µM, respectively. Additionally, these compounds markedly increased apoptotic markers (caspase-3, caspase-8 and Bax) while reducing anti-apoptotic BCl2 levels (Scheme 64). The proposed mechanism for the formation of the compound 188 is depicted in Scheme 65.
Scheme 64.
Synthesis of 4-((2-oxo-1,2-dihydroquinolin-4-yl)amino)-1-thia-4-azaspiro[4.5]decan-3-one.
Scheme 65.
Proposed mechanism for the cyclization step.
3.8.5. Preparation of Tetrazole Quinolones
Xian-Qing Deng et al. [80] reported the synthesis of a series of 5-alkoxy-tetrazolo[1,5-a]quinolines 194 and evaluated their anticonvulsant and antidepressant properties. The target compounds 194 were obtained through a multistep process. Initially, 4-hydroxyquinoline-2(1H) 30 was reacted with the appropriate alkyl halide or benzyl chloride in DMF, yielding 4-alkoxyquinolinones 192. These intermediates 192 were subsequently treated with POCl₃ at 80 °C to produce 2-chloro-4-alkoxyquinoline derivatives 193. Finally, the reaction of compounds 3a–3s with sodium azide in DMSO afforded the desired target compounds 194. All the synthesized compounds exhibited potent anticonvulsant activity at a dose of 300 mg/kg (Scheme 66).
Scheme 66.
Synthesis of a series of 5-alkoxy-tetrazolo[1,5-a]quinolones.
4. Biological Activities of Quinolone Derivatives
4.1. Antibacterial Activity
Such variations can be considered important in estimating the effect of esterification on the antibiotic activity and selectivity of fluoroquinolones, which are broad-spectrum antimicrobial agents. In this regard, Pais, J. P. [118] reported that the newly synthesized derivatives were tested against several clinically significant bacterial strains belonging to both Gram-positive (Gram+) and Gram-negative (Gram−) categories. As expected, consistent with previous studies, the minimum inhibitory concentration (MIC) values for the ester derivatives increased compared to the original compounds, levofloxacin and ciprofloxacin. Nevertheless, the data may provide additional valuable information [119,120,121,122,123]. The results show discernible patterns of bioactivity differences between Gram-negative and Gram-positive bacteria.
Similar to mycobacteria, MIC values for Gram-negative bacteria generally increase as a function of increasing ester chain length. For Gram-positive bacteria, there is no simple relationship between chain length and MIC; there is an optimal chain length. Typically, this level of efficacy is observed in compounds containing aliphatic chains of nine and ten carbons, reflecting the optimal chain length for the effectiveness of antibacterial activity (Figure 2).
Figure 2.
Antibacterial activity of fluoroquinolone esters.
Xue et al. [124] reported the activity of N-thiadiazole-4-hydroxy-2-quinolone-3-carboxamides against Staphylococcus aureus ATCC29213 through both in vitro and in vivo systems. Ten derivatives with better antibacterial activities than those previously reported were identified (196, 197, 198, 199, 200, 201, 202, 203, 204 and 205). It was observed that all compounds demonstrated a minimum inhibitory concentration of less than 1.6 µg/mL. Of these, compound 205 was the most active in this chemical series; however, until now, its target has not been reported. Although promising activity can be observed from this compound, its high PPB may limit its wider use clinically (Figure 3).
Figure 3.
Quinolones demonstrating antibacterial efficacy.
4.2. Antiproliferative Activity
The compounds recently developed by El-Sheref, E.M. et al. in 2019, 2021 and 2022 were tested for their ability to inhibit the growth of four different types of cancer cells: A-549 (epithelial cancer), MCF-7 (breast cancer), Panc-1 (pancreatic cancer) and HT-29 (colon cancer) [109]. The mean GI50 value of the test compounds ranged from 34 to 134 nM, indicating their substantial antiproliferative activity. In contrast, the GI50 for the reference compound erlotinib was 33 nM against the four tested cancer cell lines. The synthetic derivative with R1 = R2 = R3 = H exhibited an average GI50 of 34nM, which was nearly equivalent to the GI50 of erlotinib at 33 nM, indicating it was the most potent synthetic derivative.
The study also examined the properties and placement of substitutions on the quinoline structure. The derivative 6-methylquinoline compound, in which R1 = R2 = H and R3 = CH3, is 1.8 times more potent than the derivative 6-methoxyquinoline compound, in which R1 = R2 = H and R3 = OCH3. This finding suggests that the methyl group is better tolerated than the methoxy group. Moreover, compound 4d (R1 = R3 = H, R2 = CH3) demonstrated that the compound that was a derivative of 6-methylquinoline possessed at least half the potency of the compound that was a derivative of 8-methylquinoline. This observation suggests that 6-substituted quinoline structures are better tolerated than 8-substituted ones (Figure 4).
Figure 4.
Quinolones exhibiting efficacy against cancer cells.
The most potent activities against all four cell lines, with average IC50 values within 1.57–3.85 μM, were recorded for those compounds bearing R2 groups as OCH3. The highest antiproliferative activity was shown by the compound possessing R1 = R3 = H and R2 = R4 = OCH3 with an average IC50 of 1.575 µM. In comparison, the reference doxorubicin had an average IC50 of 1.136 µM. Subsequently, compounds with the substituents R1 = R3 = R4 = H and R2 = OCH3 with an average IC50 of 1.875 µM and compounds with R1 = R2 = R3 = H and R4 = OCH3, demonstrating an average IC50 of 3.850 µM, exhibited higher IC50 values, indicative of diminished potency, in comparison to the aforementioned compound. The substitution of the OCH3 group with either H or CH3 resulted in a decrease in antiproliferative activity. The results clearly indicate that the electronic effect of substitutions (R2) on the phenyl groups of the quinoline moieties is crucial for antiproliferative activity. It means that the position in the scaffold of the substituent significantly determines the activity of these compounds. In general, the triazoles substituted in positions (R1 and R3 = H) exhibited higher antiproliferative activity compared to N-methylated analogs with radicals (R1 and R3 = CH3). To illustrate, the derivative lacking substitutions (R1 = R2 = R3 = R4 = H) exhibited an average IC50 of 5.575 µM against the four cell lines examined. The substitution of the NH group with N-CH3 resulted in a minimum four-fold increase in the average IC50 value (average IC50 = 24.725 µM) [108,110] (Figure 5).
Figure 5.
Antiproliferative activity of quinolones.
In addition, H. Al-Wahaibi et al. reported synthesizing two novel series of quinoline-2-one-based derivatives as potential apoptotic antiproliferative agents, targeting the epidermal growth factor receptor (EGFR) inhibitory pathway [117]. Three compounds, compounds 209, 210 and 211, had significant inhibitory effects on EGFR, with IC50 values of 0.18 and 0.09 µM, respectively. Furthermore, the two compounds significantly increased the apoptotic markers caspase-3 and caspase-8 and the Bax levels, while decreasing the antiapoptotic BCl2 levels (Figure 6).
Figure 6.
Quinolone derivatives as potential apoptotic antiproliferative agents.
4.3. Antiviral Activity
Acquired immune deficiency syndrome (AIDS) represents the most advanced stage of infection caused by the human immunodeficiency virus (HIV) [121,122,123]. One of the most effective classes of chemical agents reported to be useful against HIV is quinolone derivatives, among which are drugs like Elvitegravir (GS-9137). A representative compound showing the scope of quinolone derivatives in AIDS treatment, Elvitegravir is a member of the quinolone derivative class and was approved by the FDA in 2012 [124]. Recent studies have demonstrated that certain quinolone-3-carboxylic acid derivatives contain the integrase enzyme, a key in the cycle of viral replication. This finding underscores the significant therapeutic value of these derivatives in combating drug-resistant strains of HIV [125]. For this reason, these structure–activity relationship (SAR) investigations for quinolone derivatives are directed toward increasing their ability to attack HIV. Substitutions at individual positions of the quinolone nucleus, such as C-7, C-8 and others, have been found to obtain an improved antiviral profile; however, the substitutions at the C-2 position of the quinolone ring have not yielded significant added advantages [125].
In a recent study, Xu et al. developed novel quinolone acid derivatives that may have the ability to inhibit HIV-1 integrase. Of these synthesized compounds, 214, featuring 3,4,5-trihydroxylated aromatic substituents at the N-1 position of the quinolone ring, showed the most effective inhibitory activity against the strand transfer process of HIV-1 integrase with an IC50 value of 2.6 μM. In contrast, its IC50 value in a control compound, 212, was lower at 0.50 μM. A new derivative, compound 123, was synthesized and reported by Massari et al. This compound displayed significant antiviral activity towards both HIV-1IIIB and HIV-2ROD in MT-4 cells, with effective concentration (EC50) values of 1.85 ± 0.76 mg/mL and 1.31 ± 0.89 mg/mL, respectively. The findings indicate that compound 213 exhibits higher potency compared to nevirapine, an antiretroviral agent currently in clinical use. The EC50 value of nevirapine for HIV-1 is 23 nM, and it is more than 4000-fold higher (i.e., greater than 4000 nM) for HIV-2. Sriram and colleagues have developed a novel series of prodrugs for the treatment of HIV/AIDS. Bioevaluation studies revealed that compound 214 exhibited the greatest activity against HIV-1 replication, with an EC50 value of 5.2 μM. The compound also demonstrated low toxicity against CEM cells, with a CC50 value of 200 μM. Additionally, compound 214 exhibited an MIC of 0.2 mg/mL against the H37Rv strain of Mycobacterium tuberculosis (Figure 7).
Figure 7.
Quinolones exhibiting efficacy against HIV.
In their study, Naik et al. described a novel class of compounds, 4-aminoquinolone piperidine amides (AQs), which were identified via whole-cell screening. The estimation of minimum inhibitory concentrations (MICs) and whole-genome sequencing on mutants resistant to 4-aminoquinolone piperidine amides (AQs) indicated that DprE1 was the main target for these compounds against M. tuberculosis. Results from mass spectrometry and enzyme kinetic experiments revealed that AQs function as slow-binding, reversible noncovalent inhibitors of DprE1, characterized by long residence times on the enzyme of around 100 min. Overall, AQs present promising hit-like properties and an interesting secondary pharmacological profile in vitro. Initially, the scaffold started with a single compound showing moderate potency in whole-cell screening. Through structure–activity relationship (SAR) optimization, the series produced compounds with potent DprE1 inhibition (IC50 < 10 nM) and strong cellular activity (MIC = 60 nM) against Mtb [126] (Figure 8).
Figure 8.
2-Quinolones with activity against HIV.
4.4. Antitrypanosomal and Antileishmaniasis Activity
The protozoan parasites Trypanosoma brucei are the causative agents of two distinct human diseases. The more prevalent of these is African trypanosomiasis, which is also referred to as sleeping sickness. Sleeping sickness is a severe, neglected tropical disease caused by protozoan parasites of the species Trypanosoma brucei. Humans contract the disease through the bite of an infected tsetse fly, primarily in regions south of the Sahara Desert. An additional protozoan parasite, Trypanosoma cruzi, is the causative agent of Chagas disease, which is more commonly referred to as American trypanosomiasis. The disease is transmitted to humans through bites from an infected Triatominae bug, commonly known as the kissing bug. The disease is endemic in many regions in Central and South America; hence, about six million cases are estimated to occur among people globally [127,128,129].
In recent years, quinoline derivatives have been increasingly recognized in the treatment of various infectious diseases, especially those caused by species of Leishmania and Trypanosoma, leading to devastating diseases such as leishmaniasis and Chagas disease. More contemporary studies have focused on the preparation and evaluation of new quinolone derivatives and the pharmacological activity of potent antitrypanosomal agents. In the same vein, Pedron et al. reported a study of a series of new quinolone derivatives and evaluated them against Leishmania infantum, Trypanosoma brucei brucei and Trypanosoma cruzi. Among these, compound 219 emerged as the lead compound, which was potent with inhibitory effects showing IC50 values of 12 nM against T. b. brucei trypomastigotes and 500 nM against T. cruzi amastigotes. Furthermore, this compound was highly microsomal stable with a half-life of less than 40 min and displayed good pharmacokinetic properties in mice. Notably, bioactivation by the type 1 nitroreductase was also reported to occur within the Leishmania and Trypanosoma species, which is a probable mechanism of their antiprotozoal activity [130].
Moreover, quinolone derivatives have been reported to exhibit significant cytotoxic effects on the HepG2 cell line, underscoring the selective nature of compound 219, which was shown to target parasitic cells while sparing human cells. This property is crucial for the development of safe and effective therapeutic agents [130,131,132].
Hiltensperger et al. very recently presented a library of quinolone-based compounds exhibiting strong antitrypanosomal activity, with selective activity against Trypanosoma brucei. However, compound 220, the lead compound in the study, inherently suffers from problems associated with its poor aqueous solubility. This is a significant challenge in drug development: better solubility will enhance bioavailability and pharmacokinetics to effectively support therapeutic applications [133].
Beteck et al. also reported a library of nonfluoroquinolones, which revealed moderate to poor antitrypanosomal activity. Compound 221 was the most active compound obtained in the research by their group, showing an IC50 value of 7.14 µM against Trypanosoma brucei. Most importantly, the compounds tested within this study were not cytotoxic, which suggests that such nonfluoroquinolone derivatives may be safe [134]. Continuing with this work, Angula et al. studied new quinolone derivatives which had a heteroarylidene moiety at position 6 of the quinolone ring. This was followed by the discovery of compound 221, which had relatively improved antitrypanosomal activity compared with the previously synthesized derivatives, showing an IC50 value of 80 nM against T. b. brucei. This enhancement in potency suggests the potential for structural modifications within the quinolone framework to provide effective treatment for trypanosomiasis [135].
Both studies underline the importance of exploring various structural modifications to the quinolone framework in the quest for optimization of antitrypanosomal activity with low toxicity. Furthermore, these findings can be valuable in the search for effective therapies for diseases caused by Trypanosoma spp., which are a significant global health challenge (Figure 9).
Figure 9.
Quinolones exhibiting efficacy against trypanosomiasis.
Another kind of neglected tropical disease is leishmaniasis, caused by protozoan parasites of the genus Leishmania. The major mode through which these protozoa are transmitted to humans is through bites from infected female phlebotomine sandflies. The disease manifests in various clinical forms, with cutaneous, mucocutaneous and visceral leishmaniasis being the most common [136] (Figure 10).
Figure 10.
Quinolones exhibiting efficacy against Leishmania parasites.
4.5. Anti-Malaria Activity
Malaria is an acute, life-threatening infectious disease caused by protozoan parasites of the Plasmodium type. These parasites are transmitted to humans through the bites of infected Anopheles mosquitoes. The parasites undergo multiplication in the liver cells before invading red blood cells, where they subsequently multiply and proliferate rapidly [137]. The disease is concentrated in 11 countries; 70% of the global burden rests there. In Africa, young children bear the brunt of the majority of cases, in which under-fives account for 61% of all malaria deaths in the world [138].
Even though preventable and curable with artemisinin, a drug widely used in the treatment of malaria, artemisinin resistance has developed, which poses a huge challenge in the control of malaria. Therefore, there is a need for urgency for new compounds that target the malarial parasite [3]. Quinolone-based derivatives have exhibited activity against all stages of the Plasmodium life cycle, including the blood, liver and gametocytes. Their multi-target effectiveness positions them as promising lead compounds in the development of novel antimalarial treatments, a critical endeavor to ensure the ongoing effectiveness of efforts to combat the emerging resistance [139,140].
Endochin-like quinolones (ELQs) are a promising class of antimalarial agents that have garnered attention due to their unique chemical structure and potent activity against various stages of the malaria parasite Plasmodium falciparum. These compounds are characterized by a quinolone nucleus that features a methyl group and a diphenyl ether substituent at positions 2 and 3, respectively. This distinctive configuration, along with various substituents in the benzenoid ring, enhances their pharmacological properties and efficacy [141]. ELQs, particularly ELQ-300, have been shown to inhibit the cytochrome bc1 complex of the malaria parasite, disrupting the mitochondrial electron transport chain. This mechanism is similar to that of atovaquone, a well-known antimalarial drug. By targeting the electron transport chain, ELQs effectively impair the parasite’s ability to generate ATP, leading to reduced viability and replication of the parasite within the host [142,143].
Research has demonstrated that ELQ-300 and its prodrugs, ELQ-331 and ELQ-337, exhibit significant antimalarial activity. In preclinical studies, a single oral dose of ELQ-300 (0.03 mg/kg) effectively prevented malaria infections in mouse models. Furthermore, administering four daily doses of 1 mg/kg resulted in complete cures of established infections. These findings indicate that ELQ-300 possesses favorable pharmacokinetic properties that allow for effective oral administration and the ability to block transmission in rodent models of malaria [144].
Despite its promising efficacy, ELQ-300 faces challenges related to its physicochemical properties. Its relatively high degree of crystallinity limits its aqueous solubility and absorption, leading to low blood concentrations after oral dosing. This limitation can significantly affect the drug’s overall efficacy, making it difficult to achieve therapeutic levels in the bloodstream. To address these challenges, researchers have turned to prodrug strategies, which involve modifying the chemical structure to enhance bioavailability and absorption [145].
One notable prodrug, ELQ-337, has been developed to overcome the limitations of ELQ-300. Studies have shown that ELQ-337, a bio-reversible prodrug, achieves a three- to four-fold increase in bioavailability compared to ELQ-300 when administered at a molar equivalent dose of 3 mg/kg body weight. This prodrug reaches a maximum serum concentration (Cmax) of 5.9 µM and has demonstrated the ability to cure malaria infections in mice with low doses. These results suggest that prodrug strategies can effectively enhance the delivery of the active drug to the bloodstream, improving therapeutic outcomes. In addition to ELQ-337, several bio-reversible ester prodrugs of ELQ-300 have been synthesized. These compounds are converted back to ELQ-300 by esterases present in the liver and bloodstream, further improving their pharmacokinetic profiles. For instance, ELQ-331 has shown the ability to cure Plasmodium yoelii infections in murine models at a single dose of 3 mg/kg, indicating its potential for clinical application [146,147].
ELQs are not limited to treating malaria; they also show promise against other apicomplexan pathogens. For example, ELQ-316 has been identified as a lead compound for treating toxoplasmosis, a disease caused by Toxoplasma gondii. This compound exhibits specificity for T. gondii cytochrome b over human cytochrome b, which is crucial for minimizing potential side effects. A carbonate ester prodrug of ELQ-316, known as ELQ-334, has been synthesized to improve its pharmacokinetic properties. Oral administration of ELQ-334 resulted in a six-fold increase in both the maximum plasma concentration (Cmax) and area under the curve (AUC) of ELQ-316. This enhanced bioavailability has led to effective treatment against latent toxoplasmosis, demonstrating the versatility of ELQs in combating various parasitic infections [148] (Figure 11).
Figure 11.
Quinolones with activities against malaria.
5. Conclusions and Perspectives
In conclusion, quinolones represent an important class of synthetic antibiotics with high therapeutic potential to treat a wide range of medical conditions. Due to their wide-ranging biological activities attained by the development of innovative approaches in organic synthesis, numerous derivatives have been prepared to respond to critical demands in health, such as mechanisms to combat bacterial resistance and to develop efficient anti-cancer agents.
Going forward, the sustained struggle against antimicrobial resistance demands further deliberate attempts to design and synthesize novel quinolone derivatives with higher potency against resistant strains. Future research should be directed toward the pursuit of new synthetic strategies enabling the structural diversification and functionalization of the quinolone scaffold. The reactivity study of quinolones will enhance the possibility of finding new derivatives with new mechanisms of action and wider scopes of therapeutic application beyond their traditional use as antibacterial agents.
To further elucidate the pharmacodynamics and pharmacokinetics of quinolones requires close interdisciplinary collaboration among medicinal chemists, biologists and pharmacologists. This would encompass computational methodologies such as molecular docking and structure-based drug design. To develop next-generation therapeutics that answer emerging needs in modern medicine, such as overcoming drug resistance, research should focus on the rich chemistry of quinolone derivatives.
Author Contributions
Conceptualization, visualization and formal analysis, A.E.-m.; investigation, data curation and writing—original draft preparation, A.E.-m. and A.H.; supervision, project administration and funding acquisition, Y.K.-R. and A.M., writing review and editing, A.M. All authors have read and agreed to the published version of the manuscript.
Funding
This research received no external funding.
Data Availability Statement
The original contributions presented in the study are included in the article; further inquiries can be directed to the corresponding authors.
Acknowledgments
We would like to thank the Science Committee of the Ministry of Science and Higher Education of the Morocco Kingdom through Sidi Mohamed Ben Abdellah University, Science and Technology Faculty, Chemistry Department for their support to his research.
Conflicts of Interest
The authors declare no conflicts of interest.
References
- Barros, A.I.; Nunes, F.M.; Gonçalves, B.; Bennett, R.N.; Silva, A.P. Effect of cooking on total vitamin C contents and antioxidant activity of sweet chestnuts (Castanea sativa Mill.). Food Chem. 2011, 128, 165–172. [Google Scholar] [PubMed]
- Gothelf, K.V.; Jørgensen, K.A. Asymmetric 1, 3-dipolar cycloaddition reactions. Chem. Rev. 1998, 98, 863–910. [Google Scholar] [CrossRef]
- Ashley, E.A.; Dhorda, M.; Fairhurst, R.M.; Amaratunga, C.; Lim, P.; Suon, S.; Sreng, S.; Anderson, J.M.; Mao, S.; Sam, B.; et al. Spread of Artemisinin Resistance in Plasmodium falciparum Malaria. N. Engl. J. Med. 2014, 371, 411–423. [Google Scholar] [CrossRef] [PubMed]
- Xing, G.; Pan, L.; Yi, C.; Li, X.; Ge, X.; Zhao, Y.; Liu, Y.; Li, J.; Woo, A.; Lin, B.; et al. Design, synthesis and biological evaluation of 5-(2-amino-1-hydroxyethyl)-8-hydroxyquinolin-2(1H)-one derivatives as potent β2-adrenoceptor agonists. Bioorg. Med. Chem. 2019, 27, 2306–2314. [Google Scholar]
- Batista, V.F.; Pinto, D.C.G.A.; Silva, A.M.S. Synthesis of Quinolines: A Green Perspective. ACS Sustain. Chem. Eng. 2016, 4, 4064–4078. [Google Scholar] [CrossRef]
- Diaz, G.; Miranda, I.L.; Diaz, M.A.N. Quinolines, isoquinolines, angustureine, and congeneric alkaloids—Occurrence, chemistry, and biological activity. In Phytochemicals: Isolation, Characterisation and Role in Human Health; IntechOpen: Rijeka, Croatia, 2015; pp. 141–162. [Google Scholar]
- Pranger, A.D.; Van Der Werf, T.S.; Kosterink, J.G.W.; Alffenaar, J.W.C. The Role of Fluoroquinolones in the Treatment of Tuberculosis in 2019. Drugs 2019, 79, 161–171. [Google Scholar] [CrossRef]
- Fan, Y.-L.; Cheng, X.-W.; Wu, J.-B.; Liu, M.; Zhang, F.-Z.; Xu, Z.; Feng, L.-S. Antiplasmodial and antimalarial activities of quinolone derivatives: An overview. Eur. J. Med. Chem. 2018, 146, 1–14. [Google Scholar]
- Sood, D.; Kumar, N.; Singh, A.; Sakharkar, M.K.; Tomar, V.; Chandra, R. Antibacterial and pharmacological evaluation of fluoroquinolones: A chemoinformatics approach. Genom. Inform. 2018, 16, 44–51. [Google Scholar] [CrossRef]
- Chokkar, N.; Kalra, S.; Chauhan, M.; Kumar, R. A review on quinoline derived scaffolds as anti-HIV agents. Mini Rev. Med. Chem. 2019, 19, 510–526. [Google Scholar] [CrossRef]
- Kojima, H.; Kaita, K.D.E.; Hawkins, K.; Uhanova, J.; Minuk, G.Y. Use of Fluoroquinolones in Patients with Chronic Hepatitis C Virus-Induced Liver Failure. Antimicrob. Agents Chemother. 2002, 46, 3280–3282. [Google Scholar] [CrossRef] [PubMed][Green Version]
- Xia, Y.; Yang, Z.-Y.; Morris-Natschke, S.L.; Lee, K.-H. Recent advances in the discovery and development of quinolones and analogs as antitumor agents. Curr. Med. Chem. 1999, 6, 179–194. [Google Scholar] [CrossRef]
- Li, J.; Zheng, T.; Jin, Y.; Xu, J.; Yu, J.; Lv, Y. Synthesis, molecular docking and biological evaluation of quinolone derivatives as novel anticancer agents. Chem. Pharm. Bull. 2018, 66, 55–60. [Google Scholar] [CrossRef]
- Sharma, V.; Das, R.; Mehta, D.K.; Gupta, S.; Venugopala, K.N.; Mailavaram, R.; Nair, A.B.; Shakya, A.K.; Deb, P.K. Recent insight into the biological activities and SAR of quinolone derivatives as multifunctional scaffold. Bioorg. Med. Chem. 2022, 59, 116674. [Google Scholar] [CrossRef]
- Daneshtalab, M.; Ahmed, A. Nonclassical biological activities of quinolone derivatives. J. Pharm. Pharm. Sci. 2012, 15, 52–72. [Google Scholar] [CrossRef]
- Dhiman, P.; Arora, N.; Thanikachalam, P.V.; Monga, V. Recent advances in the synthetic and medicinal perspective of quinolones: A review. Bioorg. Chem. 2019, 92, 103291. [Google Scholar] [CrossRef]
- Sales, E.M.; Figueroa-Villar, J.D. Recent studies about synthesis and biological activity of quinolones and derivatives: A Review. World J. Pharm. Pharm. Sci. 2016, 5, 253–268. [Google Scholar]
- Lungu, I.-A.; Moldovan, O.-L.; Biriș, V.; Rusu, A. Fluoroquinolones hybrid molecules as promising antibacterial agents in the fight against antibacterial resistance. Pharmaceutics 2022, 14, 1749. [Google Scholar] [CrossRef]
- Dube, P.S.; Legoabe, L.J.; Beteck, R.M. Quinolone: A versatile therapeutic compound class. Mol. Divers. 2023, 27, 1501–1526. [Google Scholar] [CrossRef]
- Zaman, S.B.; Hussain, M.A.; Nye, R.; Mehta, V.; Mamun, K.T.; Hossain, N. A review on antibiotic resistance: Alarm bells are ringing. Cureus 2017, 9, e1403. Available online: https://www.ncbi.nlm.nih.gov/pmc/articles/PMC5573035/ (accessed on 24 January 2025).
- Terreni, M.; Taccani, M.; Pregnolato, M. New antibiotics for multidrug-resistant bacterial strains: Latest research developments and future perspectives. Molecules 2021, 26, 2671. [Google Scholar] [CrossRef]
- Uddin, T.M.; Chakraborty, A.J.; Khusro, A.; Zidan, B.R.M.; Mitra, S.; Emran, T.B.; Dhama, K.; Ripon, M.K.H.; Gajdács, M.; Sahibzada, M.U.K.; et al. Antibiotic resistance in microbes: History, mechanisms, therapeutic strategies and future prospects. J. Infect. Public Health 2021, 14, 1750–1766. [Google Scholar]
- Liu, X.; Deng, J.; Xu, Z.; Lv, Z.-S. Recent advances of 2-Quinolone-based derivatives as anti-tubercular agents. Anti-Infect. Agents 2018, 16, 4–10. [Google Scholar] [CrossRef]
- Gao, F.; Zhang, X.; Wang, T.; Xiao, J. Quinolone hybrids and their anti-cancer activities: An overview. Eur. J. Med. Chem. 2019, 165, 59–79. [Google Scholar]
- Naeem, A.; Badshah, S.L.; Muska, M.; Ahmad, N.; Khan, K. The current case of quinolones: Synthetic approaches and antibacterial activity. Molecules. 2016, 21, 268. [Google Scholar] [CrossRef]
- Ezelarab, H.A.A.; Abbas, S.H.; Hassan, H.A.; Abuo-Rahma, G.E.A. Recent updates of fluoroquinolones as antibacterial agents. Arch. Pharm. 2018, 351, e1800141. [Google Scholar] [CrossRef]
- Fan, Y.-L.; Wu, J.-B.; Cheng, X.-W.; Zhang, F.-Z.; Feng, L.-S. Fluoroquinolone derivatives and their anti-tubercular activities. Eur. J. Med. Chem. 2018, 146, 554–563. [Google Scholar]
- Conrad, M.; Limpach, L. Ueber das γ-Oxychinaldin und dessen Derivate. Berichte Dtsch. Chem. Ges. 1887, 20, 948–959. [Google Scholar]
- Weyesa, A.; Mulugeta, E. Recent advances in the synthesis of biologically and pharmaceutically active quinoline and its analogues: A review. RSC Adv. 2020, 10, 20784–20793. [Google Scholar]
- Zhou, W.; Zhang, L.; Jiao, N. The tandem reaction combining radical and ionic processes: An efficient approach to substituted 3,4-dihydroquinolin-2-ones. Tetrahedron 2009, 65, 1982–1987. [Google Scholar]
- Kostopoulou, I.; Tzani, A.; Chronaki, K.; Prousis, K.C.; Pontiki, E.; Hadjiplavlou-Litina, D.; Detsi, A. Novel Multi-Target Agents Based on the Privileged Structure of 4-Hydroxy-2-quinolinone. Molecules 2023, 29, 190. [Google Scholar] [CrossRef]
- Li, J.J. Name Reactions: A Collection of Detailed Mechanisms and Synthetic Applications; Springer: Berlin/Heidelberg, Germany, 2009; ISBN 978-3-642-01052-1. [Google Scholar]
- Wang, H. Comprehensive Organic Name Reactions; Wiley: New York, NY, USA, 2010; Volume 2. [Google Scholar]
- Jampilek, J.; Musiol, R.; Pesko, M.; Kralova, K.; Vejsova, M.; Carroll, J.; Coffey, A.; Finster, J.; Tabak, D.; Niedbala, H.; et al. Ring-substituted 4-hydroxy-1H-quinolin-2-ones: Preparation and biological activity. Molecules 2009, 14, 1145–1159. [Google Scholar] [CrossRef] [PubMed]
- Aly, A.A.; Ramadan, M.; Abuo-Rahma, G.E.-D.A.; Elshaier, Y.A.; Elbastawesy, M.A.; Brown, A.B.; Braese, S. Quinolones as prospective drugs: Their syntheses and biological applications. In Advances in Heterocyclic Chemistry; Elsevier: Amsterdam, The Netherlands, 2021; Volume 135, pp. 147–196. [Google Scholar]
- Abdou, M.M. Chemistry of 4-Hydroxy-2(1H)-quinolone. Part 1: Synthesis and reactions. Arab. J. Chem. 2017, 10, S3324–S3337. [Google Scholar]
- Ahmed, N.; Brahmbhatt, K.G.; Singh, I.P.; Bhutani, K.K. Efficient chemoselective alkylation of quinoline 2,4-diol derivatives in water. J. Heterocycl. Chem. 2011, 48, 237–240. [Google Scholar] [CrossRef]
- Ahmed, N.; Brahmbhatt, K.G.; Sabde, S.; Mitra, D.; Singh, I.P.; Bhutani, K.K. Synthesis and anti-HIV activity of alkylated quinoline 2,4-diols. Bioorg. Med. Chem. 2010, 18, 2872–2879. [Google Scholar] [PubMed]
- Arya, K.; Agarwal, M. Microwave prompted multigram synthesis, structural determination, and photo-antiproliferative activity of fluorinated 4-hydroxyquinolinones. Bioorg. Med. Chem. Lett. 2007, 17, 86–93. [Google Scholar]
- Cheng, P.; Gu, Q.; Liu, W.; Zou, J.-F.; Ou, Y.-Y.; Luo, Z.-Y.; Zeng, J.-G. Synthesis of quinolin-2-one alkaloid derivatives and their inhibitory activities against HIV-1 reverse transcriptase. Molecules 2011, 16, 7649–7661. [Google Scholar] [CrossRef]
- El Ashry, E.S.H.; Ramadan, E.S.; Abdel Hamid, H.; Hagar, M. Microwave-Assisted Synthesis of Quinoline Derivatives from Isatin. Synth. Commun. 2005, 35, 2243–2250. [Google Scholar] [CrossRef]
- Baba, Y.F.; Gökce, H.; Rodi, Y.K.; Hayani, S.; Chahdi, F.O.; Boukir, A.; Jasinski, J.P.; Kaur, M.; Hökelek, T.; Sebbar, N.K.; et al. Syntheses of novel 2-oxo-1,2-dihydroquinoline derivatives: Molecular and crystal structures, spectroscopic characterizations, Hirshfeld surface analyses, molecular docking studies and density functional theory calculations. J. Mol. Struct. 2020, 1217, 128461. [Google Scholar]
- Baba, Y.F.; Misbahi, K.; Chahdi, F.O.; Kerbal, A. Synthese et Reactivite de Nouveaux Systemes Heterocyliques Derives de la Quinoleine. Moroc. J. Heterocycl. Chem. 2014, 13. [Google Scholar]
- Moussaoui, O.; Bhadane, R.; Sghyar, R.; Ilaš, J.; El Hadrami, E.M.; Chakroune, S.; Salo-Ahen, O.M.H. Design, Synthesis, in vitro and in silico Characterization of 2-Quinolone-L-alaninate-1,2,3-triazoles as Antimicrobial Agents. ChemMedChem 2022, 17, e202100714. [Google Scholar] [CrossRef]
- Pashaei, H.; Rouhani, A.; Nejabat, M.; Hadizadeh, F.; Mirzaei, S.; Nadri, H.; Maleki, M.F.; Ghodsi, R. Synthesis and molecular dynamic simulation studies of novel N-(1-benzylpiperidin-4-yl) quinoline-4-carboxamides as potential acetylcholinesterase inhibitors. J. Mol. Struct. 2021, 1244, 130919. [Google Scholar] [CrossRef]
- Slania, S.L.; Das, D.; Lisok, A.; Du, Y.; Jiang, Z.; Mease, R.C.; Rowe, S.P.; Nimmagadda, S.; Yang, X.; Pomper, M.G. Imaging of Fibroblast Activation Protein in Cancer Xenografts Using Novel (4-Quinolinoyl)-glycyl-2-cyanopyrrolidine-Based Small Molecules. J. Med. Chem. 2021, 64, 4059–4070. [Google Scholar] [CrossRef] [PubMed]
- Baragaña, B.; Norcross, N.R.; Wilson, C.; Porzelle, A.; Hallyburton, I.; Grimaldi, R.; Osuna-Cabello, M.; Norval, S.; Riley, J.; Stojanovski, L.; et al. Discovery of a Quinoline-4-carboxamide Derivative with a Novel Mechanism of Action, Multistage Antimalarial Activity, and Potent in Vivo Efficacy. J. Med. Chem. 2016, 59, 9672–9685. [Google Scholar] [CrossRef] [PubMed]
- Jansen, K.; Heirbaut, L.; Cheng, J.D.; Joossens, J.; Ryabtsova, O.; Cos, P.; Maes, L.; Lambeir, A.-M.; De Meester, I.; Augustyns, K.; et al. Selective Inhibitors of Fibroblast Activation Protein (FAP) with a (4-Quinolinoyl)-glycyl-2-cyanopyrrolidine Scaffold. ACS Med. Chem. Lett. 2013, 4, 491–496. [Google Scholar] [CrossRef]
- Ma, Y.; Zhu, Y.; Zhang, D.; Meng, Y.; Tang, T.; Wang, K.; Ma, J.; Wang, J.; Sun, P. Eco-friendly decarboxylative cyclization in water: Practical access to the anti-malarial 4-quinolones. Green Chem. 2019, 21, 478–482. [Google Scholar]
- Bernini, R.; Cacchi, S.; Fabrizi, G.; Sferrazza, A. 4-Aryl-2-quinolones via a domino Heck reaction/cyclization process. Heterocycles 2006, 69, 99. [Google Scholar] [CrossRef]
- Cortese, N.A.; Ziegler, C.B.; Hrnjez, B.J.; Heck, R.F. Palladium-catalyzed synthesis of 2-quinolone derivatives from 2-iodoanilines. J. Org. Chem. 1978, 43, 2952–2958. [Google Scholar] [CrossRef]
- Cho, C.S.; Kim, J.U. An approach for quinolines via palladium-catalyzed Heck coupling followed by cyclization. Tetrahedron Lett. 2007, 48, 3775–3778. [Google Scholar] [CrossRef]
- Åkerbladh, L.; Nordeman, P.; Wejdemar, M.; Odell, L.R.; Larhed, M. Synthesis of 4-Quinolones via a Carbonylative Sonogashira Cross-Coupling Using Molybdenum Hexacarbonyl as a CO Source. J. Org. Chem. 2015, 80, 1464–1471. [Google Scholar] [CrossRef]
- Bunce, R.A.; Nammalwar, B. 4(1H)-Quinolinones by a Tandem Reduction-Addition-Elimination Reaction. Org. Prep. Proced. Int. 2010, 42, 557–563. [Google Scholar] [CrossRef]
- Flipo, M.; Beghyn, T.; Leroux, V.; Florent, I.; Deprez, B.P.; Deprez-Poulain, R.F. Novel Selective Inhibitors of the Zinc Plasmodial Aminopeptidase PfA-M1 as Potential Antimalarial Agents. J. Med. Chem. 2007, 50, 1322–1334. [Google Scholar] [CrossRef] [PubMed]
- Ismail, M.M.; Kamel, M.M.; Mohamed, L.W.; Faggal, S.I. Synthesis of new indole derivatives structurally related to donepezil and their biological evaluation as acetylcholinesterase inhibitors. Molecules 2012, 17, 4811–4823. [Google Scholar] [CrossRef]
- Kikuchi, S.; Yamada, T. Carbon Dioxide Incorporation into Alkyne Compounds Mediated by Silver Catalysts. Chem. Rec. 2014, 14, 62–69. [Google Scholar] [CrossRef] [PubMed]
- Kobayashi, Y.; Harayama, T. A Concise and Versatile Synthesis of Viridicatin Alkaloids from Cyanoacetanilides. Org. Lett. 2009, 11, 1603–1606. [Google Scholar] [CrossRef]
- Ribeiro, N.; Tabaka, H.; Peluso, J.; Fetzer, L.; Nebigil, C.; Dumont, S.; Muller, C.D.; Désaubry, L. Synthesis of 3-O-methylviridicatin analogues with improved anti-TNF-α properties. Bioorg. Med. Chem. Lett. 2007, 17, 5523–5524. [Google Scholar]
- Liu, L.; Lu, H.; Wang, H.; Yang, C.; Zhang, X.; Zhang-Negrerie, D.; Du, Y.; Zhao, K. PhI(OCOCF3)2-Mediated C–C Bond Formation Concomitant with a 1,2-Aryl Shift in a Metal-Free Synthesis of 3-Arylquinolin-2-ones. Org. Lett. 2013, 15, 2906–2909. [Google Scholar] [CrossRef]
- Schlummer, B.; Scholz, U. Palladium-Catalyzed C—N and C—O Coupling–A Practical Guide from an Industrial Vantage Point†. Adv. Synth. Catal. 2004, 346, 1599–1626. [Google Scholar] [CrossRef]
- Dubrovin, A.N.; Mikhalev, A.I.; Ukhov, S.V.; Goldshtein, A.G.; Novikova, V.V.; Odegova, T.F.; Makhmudov, R.R. Synthesis, Properties, and Biological Activities of 2-Methyl- and 2-Styrylquinoline-4-Carboxylic Acids. Pharm. Chem. J. 2015, 49, 309–312. [Google Scholar] [CrossRef]
- Kumar, A.; Fernandes, J.; Kumar, P. Synthesis, antimicrobial and antitubercular activities of some novel carboxamide derivatives of 2-quinolones. Orient. J. Chem. 2014, 30, 1993–1997. [Google Scholar]
- Shivaraj, Y.; Naveen, M.H.; Vijayakumar, G.R.; Kumar, D.B.A. Design, synthesis and antibacterial activity studies of novel quinoline carboxamide derivatives. J. Korean Chem. Soc. 2013, 57, 241–245. [Google Scholar]
- Suthar, S.K.; Jaiswal, V.; Lohan, S.; Bansal, S.; Chaudhary, A.; Tiwari, A.; Alex, A.T.; Joesph, A. Novel quinolone substituted thiazolidin-4-ones as anti-inflammatory, anticancer agents: Design, synthesis and biological screening. Eur. J. Med. Chem. 2013, 63, 589–602. [Google Scholar] [CrossRef] [PubMed]
- Ibrahim, S.A.; Rizk, H.F.; El-Borai, M.A.; Sadek, M.E. Green routes for the synthesis of new pyrazole bearing biologically active imidiazolyl, pyridine and quinoxaline derivatives as promising antimicrobial and antioxidant agents. J. Iran. Chem. Soc. 2021, 18, 1391–1404. [Google Scholar] [CrossRef]
- Ibrahim, S.R.; Mohamed, G.A.; Al Haidari, R.A.; El-Kholy, A.A.; Zayed, M.F.; Khayat, M.T. Biologically active fungal depsidones: Chemistry, biosynthesis, structural characterization, and bioactivities. Fitoterapia 2018, 129, 317–365. [Google Scholar]
- Donaire-Arias, A.; Montagut, A.M.; Puig de la Bellacasa, R.; Estrada-Tejedor, R.; Teixidó, J.; Borrell, J.I. 1H-Pyrazolo [3,4-b] pyridines: Synthesis and biomedical applications. Molecules 2022, 27, 2237. [Google Scholar] [CrossRef]
- Polo-Cuadrado, E.; Rojas-Peña, C.; Acosta-Quiroga, K.; Camargo-Ayala, L.; Brito, I.; Cisterna, J.; Moncada, F.; Trilleras, J.; Rodríguez-Núñez, Y.A.; Gutierrez, M. Design, synthesis, theoretical study, antioxidant, and anticholinesterase activities of new pyrazolo-fused phenanthrolines. RSC Adv. 2022, 12, 33032–33048. [Google Scholar]
- Noser, A.A.; Baren, M.H.; Ibrahim, S.A.; Rekaby, M.; Salem, M.M. New Pyrazolothiazole as Potential Wnt/β-Catenin Inhibitors: Green Synthesis, Characterization, Antimicrobial, Antioxidant, Antineoplastic Evaluation, and Molecular Docking Study. ChemistrySelect 2023, 8, e202204670. [Google Scholar] [CrossRef]
- Aljaar, N.; Ibrahim, M.M.; Younes, E.A.; Al-Noaimi, M.; Abu-Safieh, K.A.; Ali, B.F.; Kant, K.; Al-Zaqri, N.; Sengupta, R.; Malakar, C.C. Strategies towards the Synthesis of 2-Ketoaryl Azole Derivatives using C-H Functionalization Approach and 1,2-Bis-Nucleophile Precursors. Asian J. Org. Chem. 2023, 12, e202300036. [Google Scholar] [CrossRef]
- Okada, K.; Sakuma, H.; Kondo, M.; Inoue, S. Diels–Alder Reaction of 3-Methoxycarbonylmethylene-2-Oxoindoline Derivatives with Unsymmetrical Butadienes. Chem. Lett. 1979, 8, 213–216. [Google Scholar] [CrossRef]
- Abdel-Rahman, A.A.-H.; Abdel-Megied, A.E.-S.; Goda, A.E.-S.; Zeid, I.F.; El Ashry, E.S.H. Synthesis and Anti-HBV Activity of Thiouracils Linked via S and N-1 to the 5-Position of Methyl β-D-Ribofuranoside. Nucleosides Nucleotides Nucleic Acids 2003, 22, 2027–2038. [Google Scholar] [CrossRef]
- Kuş, N.S. The synthesis of ribose and nucleoside derivatives. Madridge J. Nov. Drug Res. 2018, 2, 37–56. [Google Scholar]
- Khwaza, V.; Mlala, S.; Aderibigbe, B.A. Advancements in Synthetic Strategies and Biological Effects of Ciprofloxacin Derivatives: A Review. Int. J. Mol. Sci. 2024, 25, 4919. [Google Scholar] [CrossRef] [PubMed]
- Alasadi, G.M.; Al-Obaidi, Z. Synthesis of novel acylated and esterified ciprofloxacin derivatives as efficient anticancer and antimicrobial agents. Front. Mater. 2023, 10, 1255955. [Google Scholar] [CrossRef]
- Sun, Y.; Zhang, N.; Wang, J.; Guo, Y.; Sun, B.; Liu, W.; Zhou, H.; Yang, C. Synthesis and Biological Evaluation of Quinolinone Compounds as SARS CoV 3CL pro Inhibitors. Chin. J. Chem. 2013, 31, 1199–1206. [Google Scholar] [CrossRef]
- Priya, N.; Gupta, A.; Chand, K.; Singh, P.; Kathuria, A.; Raj, H.G.; Parmar, V.S.; Sharma, S.K. Characterization of 4-methyl-2-oxo-1,2-dihydroquinolin-6-yl acetate as an effective antiplatelet agent. Bioorg. Med. Chem. 2010, 18, 4085–4094. [Google Scholar] [CrossRef]
- El-Mrabet, A.; Haoudi, A.; Dalbouha, S.; Skalli, M.K.; Hökelek, T.; Capet, F.; Kandri Rodi, Y.; Mazzah, A.; Sebbar, N.K. Crystal structure, Hirshfeld surface analysis, interaction energy and energy framework calculations, as well as density functional theory (DFT) computation, of methyl 2-oxo-1-(prop-2-ynyl)-1,2-dihydroquinoline-4-carboxylate. Acta Crystallogr. Sect. E Crystallogr. Commun. 2023, 79, 883–889. [Google Scholar] [CrossRef]
- Deng, X.-Q.; Wei, C.-X.; Song, M.-X.; Chai, K.-Y.; Sun, Z.-G.; Quan, Z.-S. Synthesis and studies on anticonvulsant and antidepressant activities of 5-alkoxy-tetrazolo [1,5-a] quinolines. Bull. Korean Chem. Soc. 2010, 31, 447–452. [Google Scholar] [CrossRef]
- Morel, A.F.; Larghi, E.L.; Selvero, M.M. Mild, Efficient and Selective Silver Carbonate Mediated O-Alkylation of 4-Hydroxy-2-quinolones: Synthesis of 2,4-Dialkoxyquinolines. Synlett 2005, 2005, 2755–2758. [Google Scholar] [CrossRef]
- Chen, C.; Chen, I.-L.; Chen, J.; Wei, D.; Hsieh, H.; Chang, K.-M.; Tzeng, C.-C.; Wang, T.-C. Studies on the alkylation of quinolin-2(1H)-one derivatives. J. Chil. Chem. Soc. 2015, 60, 2812–2816. [Google Scholar] [CrossRef]
- Grzelakowska, A.; Kolińska, J.; Mąkiewicz, M. The synthesis and spectroscopic characterisation of 3-formyl-2-quinolones in the presence of biothiols. Color. Technol. 2018, 134, 440–449. [Google Scholar] [CrossRef]
- Kolińska, J.; Grzelakowska, A.; Sokołowska, J. Novel 7-maleimido-2(1H)-quinolones as potential fluorescent sensors for the detection of sulphydryl groups. Color. Technol. 2018, 134, 148–155. [Google Scholar] [CrossRef]
- Selvero, M.M.; Ledesma, G.N.; Abram, U.; Schulz-Lang, E.; Morel, A.F.; Larghi, E.L. 2,2,2-trifluoroethanol-promoted access to symmetrically 3,3-disubstituted quinoline-2,4-diones. J. Fluor. Chem. 2020, 234, 109520. [Google Scholar] [CrossRef]
- Refouvelet, B.; Guyon, C.; Jacquot, Y.; Girard, C.; Fein, H.; Bévalot, F.; Robert, J.-F.; Heyd, B.; Mantion, G.; Richert, L.; et al. Synthesis of 4-hydroxycoumarin and 2,4-quinolinediol derivatives and evaluation of their effects on the viability of HepG2 cells and human hepatocytes culture. Eur. J. Med. Chem. 2004, 39, 931–937. [Google Scholar] [CrossRef] [PubMed]
- Hao, F.; Asahara, H.; Nishiwaki, N. A direct and vicinal functionalization of the 1-methyl-2-quinolone framework: 4-alkoxylation and 3-chlorination. Org. Biomol. Chem. 2016, 14, 5128–5135. [Google Scholar]
- Bergman, J.; Pettersson, B.; Hasimbegovic, V.; Svensson, P.H. Thionations Using a P4S10−Pyridine Complex in Solvents Such as Acetonitrile and Dimethyl Sulfone. J. Org. Chem. 2011, 76, 1546–1553. [Google Scholar] [CrossRef]
- de Macedo, M.B.; Kimmel, R.; Urankar, D.; Gazvoda, M.; Peixoto, A.; Cools, F.; Torfs, E.; Verschaeve, L.; Lima, E.S.; Lyčka, A.; et al. Design, synthesis and antitubercular potency of 4-hydroxyquinolin-2(1H)-ones. Eur. J. Med. Chem. 2017, 138, 491–500. [Google Scholar]
- Ukrainets, I.V.; Sidorenko, L.V.; Gorokhova, O.V.; Slobodzyan, S.V. 4-Hydroxy-2-quinolones. 97. Simple synthesis of the esters of 4-halo-substituted 2-oxo-1,2-dihydroquinoline-3-carboxylic acids. Chem. Heterocycl. Compd. 2006, 42, 882–885. [Google Scholar] [CrossRef]
- Ukrainets, I.V.; Sidorenko, L.V.; Slobodzyan, S.V.; Rybakov, V.B.; Chernyshev, V.V. 4-Hydroxyquinol-2-ones. 87. Unusual Synthesis of 1-R-4-Hydroxy-2-oxo-1,2-dihydroquinoline-3-carboxylic Acid Pyridylamides. Chem. Heterocycl. Compd. 2005, 41, 1158–1166. [Google Scholar] [CrossRef]
- Täubl, A.E.; Langhans, K.; Kappe, T.; Stadlbauer, W. Thermolytic ring closure reactions of 4-azido-3-phenylsulfanyl- and 4-azido-3-phenylsulfonyl-2-quinolones to 12H-quinolino-[3,4-b][1,4]benzothiazin-6(5H)-ones. J. Heterocycl. Chem. 2002, 39, 1259–1264. [Google Scholar] [CrossRef]
- Aizikovich, A.; Kuznetsov, V.; Gorohovsky, S.; Levy, A.; Meir, S.; Byk, G.; Gellerman, G. A new application of diphenylphosphorylazide (DPPA) reagent: Convenient transformations of quinolin-4-one, pyridin-4-one and quinazolin-4-one derivatives into the 4-azido and 4-amino counterparts. Tetrahedron Lett. 2004, 45, 4241–4243. [Google Scholar]
- Alshammari, M.B.; Aly, A.A.; Brown, A.B.; Bakht, M.A.; Shawky, A.M.; Abdelhakem, A.M.; El-Sheref, E.M. An efficient click synthesis of chalcones derivatized with two 1-(2-quinolon-4-yl)-1,2,3-triazoles. Z. Naturforsch. B 2021, 76, 395–403. [Google Scholar] [CrossRef]
- Chung, P.-Y.; Bian, Z.-X.; Pun, H.-Y.; Chan, D.; Chan, A.S.-C.; Chui, C.-H.; Tang, J.C.-O.; Lam, K.-H. Recent Advances in Research of Natural and Synthetic Bioactive Quinolines. Future Med. Chem. 2015, 7, 947–967. [Google Scholar] [CrossRef] [PubMed]
- Faraz, K.M.; Garima, V.; Wasim, A.; Akranth, M.; Mumtaz, A.M.; Mymoona, A.; Asif, H.; Misbahul, H.S.; Mohammad, S.; Rashiduddin, H.S. Synthetic trends followed for the development of 1,2,3-triazole derivatives. Int. J. Drug Dev. 2017, 9, 22–25. [Google Scholar]
- Agalave, S.G.; Maujan, S.R.; Pore, V.S. Click Chemistry: 1,2,3-Triazoles as Pharmacophores. Chem. Asian J. 2011, 6, 2696–2718. [Google Scholar] [CrossRef]
- Chen, Y.-L.; Fang, K.-C.; Sheu, J.-Y.; Hsu, S.-L.; Tzeng, C.-C. Synthesis and Antibacterial Evaluation of Certain Quinolone Derivatives. J. Med. Chem. 2001, 44, 2374–2377. [Google Scholar] [CrossRef]
- Abass, M.; Hassanin, H.M.; Allimony, H.A.; Hassan, H. Substituted quinolinones 27.* Regioselective synthesis of pyrazolo-, oxazolo-, and triazepinoquinoline derivatives. Chem. Heterocycl. Compd. 2015, 51, 1023–1029. [Google Scholar] [CrossRef]
- Abass, M.; Mostafa, B.B. Synthesis and evaluation of molluscicidal and larvicidal activities of some novel enaminones derived from 4-hydroxyquinolinones: Part IX. Bioorg. Med. Chem. 2005, 13, 6133–6144. [Google Scholar] [CrossRef]
- Ganesh, I. Conversion of carbon dioxide into several potential chemical commodities following different pathways—A review. In Materials Science Forum; Trans Tech Publications Ltd.: Bäch, Switzerland, 2013; Volume 764, pp. 1–82. [Google Scholar]
- Rostovtsev, V.V.; Green, L.G.; Fokin, V.V.; Sharpless, K.B. A Stepwise Huisgen Cycloaddition Process: Copper(I)-Catalyzed Regioselective “Ligation” of Azides and Terminal Alkynes. Angew. Chem. 2002, 114, 2708–2711. [Google Scholar] [CrossRef]
- Tornøe, C.W.; Christensen, C.; Meldal, M. Peptidotriazoles on Solid Phase: [1,2,3]-Triazoles by Regiospecific Copper(I)-Catalyzed 1,3-Dipolar Cycloadditions of Terminal Alkynes to Azides. J. Org. Chem. 2002, 67, 3057–3064. [Google Scholar] [CrossRef]
- Goddard-Borger, E.D.; Stick, R.V. An Efficient, Inexpensive, and Shelf-Stable Diazotransfer Reagent: Imidazole-1-sulfonyl Azide Hydrochloride. Org. Lett. 2007, 9, 3797–3800. [Google Scholar] [CrossRef]
- Bock, V.D.; Hiemstra, H.; Van Maarseveen, J.H. CuI-Catalyzed Alkyne–Azide “Click” Cycloadditions from a Mechanistic and Synthetic Perspective. Eur. J. Org. Chem. 2006, 2006, 51–68. [Google Scholar] [CrossRef]
- Kolb, H.C.; Finn, M.G.; Sharpless, K.B. Click Chemistry: Diverse Chemical Function from a Few Good Reactions. Angew. Chem. Int. Ed. 2001, 40, 2004–2021. [Google Scholar] [CrossRef]
- Gumus, A.; Gumus, S. Synthesis of Triazole-Coupled Quinoline-Based Fluorescent Sensor. Eurasia Proc. Sci. Technol. Eng. Math. 2019, 7, 58–62. [Google Scholar]
- El-Sheref, E.M.; Aly, A.A.; Ameen, M.A.; Brown, A.B. Synthesis of new 4-(1,2,3-triazolo)quinolin-2(1H)-ones via Cu-catalyzed [3 + 2] cycloaddition. Monatshefte Chem. Chem. Mon. 2019, 150, 747–756. [Google Scholar] [CrossRef]
- El-Sheref, E.M.; Ameen, M.A.; El-Shaieb, K.M.; Abdel-Latif, F.F.; Abdel-Naser, A.I.; Brown, A.B.; Bräse, S.; Fathy, H.M.; Ahmad, I.; Patel, H.; et al. Design, synthesis and biological evaluation of syn and anti-like double warhead quinolinones bearing dihydroxy naphthalene moiety as epidermal growth factor receptor inhibitors with potential apoptotic antiproliferative action. Molecules 2022, 27, 8765. [Google Scholar] [CrossRef]
- El-Sheref, E.M.; Elbastawesy, M.A.; Brown, A.B.; Shawky, A.M.; Gomaa, H.A.; Bräse, S.; Youssif, B.G. Design and synthesis of (2-oxo-1,2-dihydroquinolin-4-yl)-1,2,3-triazole derivatives via click reaction: Potential apoptotic antiproliferative agents. Molecules 2021, 26, 6798. [Google Scholar] [CrossRef]
- Sakharov, P.A.; Rostovskii, N.V.; Khlebnikov, A.F.; Panikorovskii, T.L.; Novikov, M.S. 2H-Azirines as C–C Annulation Reagents in Cu-Catalyzed Synthesis of Furo[3,2-c]quinolone Derivatives. Org. Lett. 2019, 21, 3615–3619. [Google Scholar] [CrossRef]
- Aly, A.A.; Ishak, E.A.; Shwaky, A.M.; Mohamed, A.H. Formation of furo[3,2-c]quinolone-2-carbonitriles and 4-oxo-4,5-dihydrofuro[3,2-c]quinolone-2-carboxamides from reaction of quinoline-2,4-diones with 2-[bis(methylthio)methylene]malononitrile. Monatshefte Chem. Chem. Mon. 2020, 151, 223–229. [Google Scholar] [CrossRef]
- Michael, J.P. Quinoline, quinazoline and acridone alkaloids. Nat. Prod. Rep. 2002, 19, 742–760. [Google Scholar] [CrossRef]
- Michael, J.P. Quinoline, quinazoline and acridone alkaloids. Nat. Prod. Rep. 2007, 24, 223–246. [Google Scholar] [CrossRef]
- Yin, H.; Wu, Y.; Gu, X.; Feng, Z.; Wang, M.; Feng, D.; Wang, M.; Cheng, Z.; Wang, S. Synthesis of pyrano [3,2-c] quinolones and furo [3,2-c] quinolones via acid-catalyzed tandem reaction of 4-hydroxy-1-methylquinolin-2(1H)-one and propargylic alcohols. RSC Adv. 2022, 12, 21066–21078. [Google Scholar] [CrossRef]
- Abonia, R.; Castillo, J.; Cuervo, P.; Insuasty, B.; Quiroga, J.; Ortíz, A.; Nogueras, M.; Cobo, J. A Simple One-Pot Synthesis of New Imidazol-2-yl-1H-quinolin-2-ones from the Direct Reaction of 2-Chloroquinolin-3-carbaldehyde with Aromatic o-Diamines. Eur. J. Org. Chem. 2010, 2010, 317–325. [Google Scholar] [CrossRef]
- Al-Wahaibi, L.H.; El-Sheref, E.M.; Hammouda, M.M.; Youssif, B.G. One-pot synthesis of 1-Thia-4-azaspiro [4.4/5] alkan-3-ones via schiff base: Design, synthesis, and apoptotic antiproliferative properties of dual EGFR/BRAFV600E inhibitors. Pharmaceuticals 2023, 16, 467. [Google Scholar] [CrossRef]
- Pais, J.P.; Policarpo, M.; Pires, D.; Francisco, A.P.; Madureira, A.M.; Testa, B.; Anes, E.; Constantino, L. Fluoroquinolone derivatives in the treatment of mycobacterium tuberculosis infection. Pharmaceuticals 2022, 15, 1213. [Google Scholar] [CrossRef]
- Shang, X.F.; Morris-Natschke, S.L.; Liu, Y.Q.; Guo, X.; Xu, X.-S.; Goto, M.; Li, J.-C.; Yang, G.-Z.; Lee, K.-H. Biologically active quinoline and quinazoline alkaloids part I. Med. Res. Rev. 2018, 38, 775–828. [Google Scholar]
- Xue, W.; Li, X.; Ma, G.; Zhang, H.; Chen, Y.; Kirchmair, J.; Xia, J.; Wu, S. N-thiadiazole-4-hydroxy-2-quinolone-3-carboxamides bearing heteroaromatic rings as novel antibacterial agents: Design, synthesis, biological evaluation and target identification. Eur. J. Med. Chem. 2020, 188, 112022. [Google Scholar]
- Berhan, A.; Bayleyegn, B.; Getaneh, Z. HIV/AIDS Associated Lymphoma: Review. Blood Lymphat. Cancer Targets Ther. 2022, 12, 31–45. [Google Scholar] [CrossRef]
- He, N. Research progress in the epidemiology of HIV/AIDS in China. China CDC Wkly. 2021, 3, 1022–1030. [Google Scholar]
- Obeagu, E.I.; Amekpor, F.; Scott, G.Y. An update of human immunodeficiency virus infection: Bleeding disorders. J. Public Health Nutr. 2023, 6, 139. [Google Scholar]
- Wang, R.; Xu, K.; Shi, W. Quinolone derivatives: Potential anti-HIV agent—Development and application. Arch. Pharm. 2019, 352, 1900045. [Google Scholar] [CrossRef]
- Hu, L.; Yan, S.; Luo, Z.; Han, X.; Wang, Y.; Wang, Z.; Zeng, C. Design, practical synthesis, and biological evaluation of novel 6-(pyrazolylmethyl)-4-quinoline-3-carboxylic acid derivatives as HIV-1 integrase inhibitors. Molecules 2012, 17, 10652–10666. [Google Scholar] [CrossRef]
- Senerovic, L.; Opsenica, D.; Moric, I.; Aleksic, I.; Spasić, M.; Vasiljevic, B. Quinolines and quinolones as antibacterial, antifungal, anti-virulence, antiviral and anti-parasitic agents. Adv. Microbiol. Infect. Dis. Public Health 2000, 14, 37–69. [Google Scholar]
- Papagni, R.; Novara, R.; Minardi, M.L.; Frallonardo, L.; Panico, G.G.; Pallara, E.; Cotugno, S.; Ascoli Bartoli, T.; Guido, G.; De Vita, E.; et al. Human African Trypanosomiasis (sleeping sickness): Current knowledge and future challenges. Front. Trop. Dis. 2023, 4, 1087003. [Google Scholar]
- Ortiz-Martínez, Y.; Kouamé, M.G.; Bongomin, F.; Lakoh, S.; Henao-Martínez, A.F. Human African Trypanosomiasis (Sleeping Sickness)—Epidemiology, Clinical Manifestations, Diagnosis, Treatment, and Prevention. Curr. Trop. Med. Rep. 2023, 10, 222–234. [Google Scholar] [CrossRef]
- Jamabo, M.; Mahlalela, M.; Edkins, A.L.; Boshoff, A. Tackling sleeping sickness: Current and promising therapeutics and treatment strategies. Int. J. Mol. Sci. 2023, 24, 12529. [Google Scholar] [CrossRef]
- Pham, T.D.; Ziora, Z.M.; Blaskovich, M.A. Quinolone antibiotics. Medchemcomm 2019, 10, 1719–1739. [Google Scholar]
- Dine, I.; Mulugeta, E.; Melaku, Y.; Belete, M. Recent advances in the synthesis of pharmaceutically active 4-quinolone and its analogues: A review. RSC Adv. 2023, 13, 8657–8682. [Google Scholar] [CrossRef]
- Pedron, J.; Boudot, C.; Brossas, J.-Y.; Pinault, E.; Bourgeade-Delmas, S.; Sournia-Saquet, A.; Boutet-Robinet, E.; Destere, A.; Tronnet, A.; Bergé, J.; et al. New 8-Nitroquinolinone Derivative Displaying Submicromolar in Vitro Activities against Both Trypanosoma brucei and cruzi. ACS Med. Chem. Lett. 2020, 11, 464–472. [Google Scholar] [CrossRef]
- Hiltensperger, G.; Jones, N.G.; Niedermeier, S.; Stich, A.; Kaiser, M.; Jung, J.; Puhl, S.; Damme, A.; Braunschweig, H.; Meinel, L.; et al. Synthesis and Structure–Activity Relationships of New Quinolone-Type Molecules against Trypanosoma brucei. J. Med. Chem. 2012, 55, 2538–2548. [Google Scholar] [CrossRef]
- Beteck, R.M.; Isaacs, M.; Hoppe, H.C.; Khanye, S.D. Synthesis, in vitro cytotoxicity and trypanocidal evaluation of novel 1,3,6-substituted non-fluoroquinolones. S. Afr. J. Chem. 2018, 71, 188–195. [Google Scholar]
- Angula, K.T.; Legoabe, L.J.; Swart, T.; Hoppe, H.C.; Beteck, R.M. Synthesis and in vitro antitrypanosomal evaluation of novel 6-heteroarylidene-substituted quinolone derivatives. Eur. J. Med. Chem. 2022, 227, 113913. [Google Scholar]
- Chanquia, S.N.; Larregui, F.; Puente, V.; Labriola, C.; Lombardo, E.; Liñares, G.G. Synthesis and biological evaluation of new quinoline derivatives as antileishmanial and antitrypanosomal agents. Bioorg. Chem. 2019, 83, 526–534. [Google Scholar] [PubMed]
- Arora, G.; Chuang, Y.-M.; Sinnis, P.; Dimopoulos, G.; Fikrig, E. Malaria: Influence of Anopheles mosquito saliva on Plasmodium infection. Trends Immunol. 2023, 44, 256–265. [Google Scholar] [PubMed]
- Patel, P.; Bagada, A.; Vadia, N. Epidemiology and Current Trends in Malaria. In Rising Contagious Diseases; Amponsah, S.K., Shegokar, R., Pathak, Y.V., Eds.; Wiley: Hoboken, NJ, USA, 2024; pp. 261–282. ISBN 978-1-394-18871-0. [Google Scholar]
- Shaw, W.R.; Marcenac, P.; Catteruccia, F. Plasmodium development in Anopheles: A tale of shared resources. Trends Parasitol. 2022, 38, 124–135. [Google Scholar] [CrossRef] [PubMed]
- Balogun, T.A.; Omoboyowa, D.A.; Saibu, O.A. In silico Anti-malaria Activity of Quinolone Compounds against Plasmodium falciparum Dihydrofolate Reductase (pfDHFR). Int. J. Biochem. Res. Rev. 2020, 29, 10–17. [Google Scholar] [CrossRef]
- Van Schalkwyk, D.A.; Riscoe, M.K.; Pou, S.; Winter, R.W.; Nilsen, A.; Duffey, M.; Moon, R.W.; Sutherland, C.J. Novel Endochin-Like Quinolones Exhibit Potent In Vitro Activity against Plasmodium knowlesi but Do Not Synergize with Proguanil. Antimicrob. Agents Chemother. 2020, 64, e02549-19. [Google Scholar] [CrossRef]
- Pou, S.; Dodean, R.A.; Frueh, L.; Liebman, K.M.; Gallagher, R.T.; Jin, H.; Jacobs, R.T.; Nilsen, A.; Stuart, D.R.; Doggett, J.S.; et al. New Scalable Synthetic Routes to ELQ-300, ELQ-316, and Other Antiparasitic Quinolones. Org. Process Res. Dev. 2021, 25, 1841–1852. [Google Scholar] [CrossRef]
- Doggett, J.S.; Schultz, T.; Miller, A.J.; Bruzual, I.; Pou, S.; Winter, R.; Dodean, R.; Zakharov, L.N.; Nilsen, A.; Riscoe, M.K.; et al. Orally Bioavailable Endochin-Like Quinolone Carbonate Ester Prodrug Reduces Toxoplasma gondii Brain Cysts. Antimicrob. Agents Chemother. 2020, 64, e00535-20. [Google Scholar] [CrossRef]
- Miley, G.P.; Pou, S.; Winter, R.; Nilsen, A.; Li, Y.; Kelly, J.X.; Stickles, A.M.; Mather, M.W.; Forquer, I.P.; Pershing, A.M.; et al. ELQ-300 Prodrugs for Enhanced Delivery and Single-Dose Cure of Malaria. Antimicrob. Agents Chemother. 2015, 59, 5555–5560. [Google Scholar] [CrossRef]
- Frueh, L.; Li, Y.; Mather, M.W.; Li, Q.; Pou, S.; Nilsen, A.; Winter, R.W.; Forquer, I.P.; Pershing, A.M.; Xie, L.H.; et al. Alkoxycarbonate Ester Prodrugs of Preclinical Drug Candidate ELQ-300 for Prophylaxis and Treatment of Malaria. ACS Infect. Dis. 2017, 3, 728–735. [Google Scholar] [CrossRef]
- Balbino, L.S.; Bernardes, J.C.; Ladeia, W.A.; Martins, F.D.C.; Nino, B.D.S.L.; Mitsuka-Breganó, R.; Navarro, I.T.; Pinto-Ferreira, F. Epidemiological study of toxoplasmosis outbreaks in Brazil. Transbound. Emerg. Dis. 2022, 69, 2021–2028. [Google Scholar] [CrossRef]
- Garrido-Cardenas, J.A.; Mesa-Valle, C.; Manzano-Agugliaro, F. Human parasitology worldwide research. Parasitology 2018, 145, 699–712. [Google Scholar] [CrossRef]
- Eberhard, N.; Balmer, V.; Müller, J.; Müller, N.; Winter, R.; Pou, S.; Nilsen, A.; Riscoe, M.; Francisco, S.; Leitao, A.; et al. Activities of Endochin-Like Quinolones Against in vitro Cultured Besnoitia besnoiti Tachyzoites. Front. Vet. Sci. 2020, 7, 96. [Google Scholar] [CrossRef]
Disclaimer/Publisher’s Note: The statements, opinions and data contained in all publications are solely those of the individual author(s) and contributor(s) and not of MDPI and/or the editor(s). MDPI and/or the editor(s) disclaim responsibility for any injury to people or property resulting from any ideas, methods, instructions or products referred to in the content. |
© 2025 by the authors. Licensee MDPI, Basel, Switzerland. This article is an open access article distributed under the terms and conditions of the Creative Commons Attribution (CC BY) license (https://creativecommons.org/licenses/by/4.0/).












































































