Identification of Glucagon Secretion Patterns during an Oral Glucose Tolerance Test
Abstract
1. Introduction
2. Materials and Methods
2.1. Experimental Data
2.2. Shapelet Extraction and Feature Generation
2.3. Clustering
2.4. Post Hoc Analysis
3. Results
3.1. Feature Preparation and Outlier Removal
3.2. Clustering and Model Selection
3.3. Analysis of Clusters
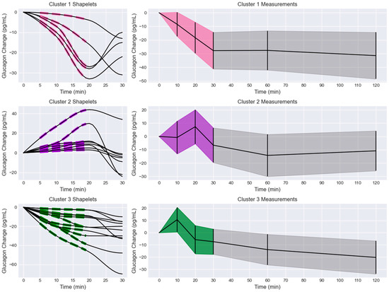
3.3.1. Shapelets and Time Series Analysis
3.3.2. Subject Characteristics
4. Discussion
5. Conclusions
Author Contributions
Funding
Institutional Review Board Statement
Informed Consent Statement
Data Availability Statement
Acknowledgments
Conflicts of Interest
References
- DeFronzo, R.A.; Ferrannini, E.; Groop, L.; Henry, R.R.; Herman, W.H.; Holst, J.J.; Hu, F.B.; Kahn, C.R.; Raz, I.; Shulman, G.I.; et al. Type 2 diabetes mellitus. Nat. Rev. Dis. Prim. 2015, 1, 15019. [Google Scholar] [CrossRef]
- D’alessio, D. The role of dysregulated glucagon secretion in type 2 diabetes. Diabetes Obes. Metab. 2011, 13 (Suppl. S1), 126–132. [Google Scholar] [CrossRef] [PubMed]
- ElSayed, N.A.; Aleppo, G.; Aroda, V.R.; Bannuru, R.R.; Brown, F.M.; Bruemmer, D.; Collins, B.S.; Gibbons, C.H.; Giurini, J.M.; Hilliard, M.E.; et al. 12. Retinopathy, Neuropathy, and Foot Care: Standards of Care in Diabetes—2023. Diabetes Care 2023, 46, S203–S215. [Google Scholar] [CrossRef] [PubMed]
- ElSayed, N.A.; Aleppo, G.; Aroda, V.R.; Bannuru, R.R.; Brown, F.M.; Bruemmer, D.; Collins, B.S.; Gaglia, J.L.; Hilliard, M.E.; Isaacs, D.; et al. 3. Prevention or Delay of Type 2 Diabetes and Associated Comorbidities: Standards of Care in Diabetes—2023. Diabetes Care 2023, 46, S41–S48. [Google Scholar] [CrossRef]
- Marín-Peñalver, J.J.; Martín-Timón, I.; Sevillano-Collantes, C.; Del Cañizo-Gómez, F.J. Update on the treatment of type 2 diabetes mellitus. World J. Diabetes 2016, 7, 354. [Google Scholar] [CrossRef] [PubMed]
- ElSayed, N.A.; Aleppo, G.; Aroda, V.R.; Bannuru, R.R.; Brown, F.M.; Bruemmer, D.; Collins, B.S.; Hilliard, M.E.; Isaacs, D.; Johnson, E.L.; et al. 9. Pharmacologic Approaches to Glycemic Treatment: Standards of Care in Diabetes—2023. Diabetes Care 2023, 46, S140–S157. [Google Scholar] [CrossRef]
- ElSayed, N.A.; Aleppo, G.; Aroda, V.R.; Bannuru, R.R.; Brown, F.M.; Bruemmer, D.; Collins, B.S.; Hilliard, M.E.; Isaacs, D.; Johnson, E.L.; et al. 5. Facilitating Positive Health Behaviors and Well-being to Improve Health Outcomes: Standards of Care in Diabetes—2023. Diabetes Care 2023, 46, S68–S96. [Google Scholar] [CrossRef]
- ElSayed, N.A.; Aleppo, G.; Aroda, V.R.; Bannuru, R.R.; Brown, F.M.; Bruemmer, D.; Collins, B.S.; Hilliard, M.E.; Isaacs, D.; Johnson, E.L.; et al. 8. Obesity and Weight Management for the Prevention and Treatment of Type 2 Diabetes: Standards of Care in Diabetes—2023. Diabetes Care 2023, 46, S128–S139. [Google Scholar] [CrossRef]
- Hædersdal, S.; Lund, A.; Knop, F.K.; Vilsbøll, T. The Role of Glucagon in the Pathophysiology and Treatment of Type 2 Diabetes. Mayo Clin. Proc. 2018, 93, 217–239. [Google Scholar] [CrossRef]
- Wewer Albrechtsen, N.J.; Kuhre, R.E.; Pedersen, J.; Knop, F.K.; Holst, J.J. The biology of glucagon and the consequences of hyperglucagonemia. Biomarks Med. 2016, 10, 1141–1151. [Google Scholar] [CrossRef]
- Shah, P.; Vella, A.; Basu, A.; Basu, R.; Schwenk, W.F.; Rizza, R.A. Lack of Suppression of Glucagon Contributes to Postprandial Hyperglycemia in Subjects with Type 2 Diabetes Mellitus. J. Clin. Endocrinol. Metab. 2000, 85, 4053–4059. Available online: https://academic.oup.com/jcem/article/85/11/4053/2852644 (accessed on 1 January 2023). [CrossRef] [PubMed]
- Yabe, D.; Kuroe, A.; Watanabe, K.; Iwasaki, M.; Hamasaki, A.; Hamamoto, Y.; Harada, N.; Yamane, S.; Lee, S.; Murotani, K.; et al. Early phase glucagon and insulin secretory abnormalities, but not incretin secretion, are similarly responsible for hyperglycemia after ingestion of nutrients. J. Diabetes Complicat. 2015, 29, 413–421. [Google Scholar] [CrossRef] [PubMed]
- Grøndahl, M.F.; Lund, A.B.; Bagger, J.I.; Petersen, T.S.; Albrechtsen, N.J.W.; Holst, J.J.; Vilsbøll, T.; Christensen, M.B.; Knop, F.K. Glucagon Clearance Is Preserved in Type 2 Diabetes. Diabetes 2022, 71, 73–82. [Google Scholar] [CrossRef]
- Knop, F.K.; Aaboe, K.; Vilsbøll, T.; Vølund, A.; Holst, J.J.; Krarup, T.; Madsbad, S. Impaired incretin effect and fasting hyperglucagonaemia characterizing type 2 diabetic subjects are early signs of dysmetabolism in obesity. Diabetes Obes. Metab. 2012, 14, 500–510. [Google Scholar] [CrossRef] [PubMed]
- Gar, C.; Rottenkolber, M.; Sacco, V.; Moschko, S.; Banning, F.; Hesse, N.; Popp, D.; Hübener, C.; Seissler, J.; Lechner, A. Patterns of plasma glucagon dynamics do not match metabolic phenotypes in young women. J. Clin. Endocrinol. Metab. 2018, 103, 972–982. [Google Scholar] [CrossRef] [PubMed]
- Göbl, C.; Morettini, M.; Salvatori, B.; Alsalim, W.; Kahleova, H.; Ahrén, B.; Tura, A. Temporal Patterns of Glucagon and Its Relationships with Glucose and Insulin following Ingestion of Different Classes of Macronutrients. Nutrients 2022, 14, 374. [Google Scholar] [CrossRef] [PubMed]
- Ahlqvist, E.; Storm, P.; Käräjämäki, A.; Martinell, M.; Dorkhan, M.; Carlsson, A.; Vikman, P.; Prasad, R.B.; Aly, D.M.; Almgren, P.; et al. Novel subgroups of adult-onset diabetes and their association with outcomes: A data-driven cluster analysis of six variables. Lancet Diabetes Endocrinol. 2018, 6, 361–369. [Google Scholar] [CrossRef] [PubMed]
- Sarría-Santamera, A.; Orazumbekova, B.; Maulenkul, T.; Gaipov, A.; Atageldiyeva, K. The identification of diabetes mellitus subtypes applying cluster analysis techniques: A systematic review. Int. J. Environ. Res. Public Health 2020, 17, 9523. [Google Scholar] [CrossRef]
- Morettini, M.; Burattini, L.; Göbl, C.; Pacini, G.; Ahrén, B.; Tura, A. Mathematical Model of Glucagon Kinetics for the Assessment of Insulin-Mediated Glucagon Inhibition During an Oral Glucose Tolerance Test. Front. Endocrinol. 2021, 12, 611147. [Google Scholar] [CrossRef]
- Delgado, C.; Baweja, M.; Crews, D.C.; Eneanya, N.D.; Gadegbeku, C.A.; Inker, L.A.; Mendu, M.L.; Miller, W.G.; Moxey-Mims, M.M.; Roberts, G.V.; et al. A Unifying Approach for GFR Estimation: Recommendations of the NKF-ASN Task Force on Reassessing the Inclusion of Race in Diagnosing Kidney Disease. Am. J. Kidney Dis. 2022, 79, 268–288.e1. [Google Scholar] [CrossRef]
- Rabbath, C.A.; Corriveau, D. A comparison of piecewise cubic Hermite interpolating polynomials, cubic splines and piecewise linear functions for the approximation of projectile aerodynamics. Def. Technol. 2019, 15, 741–757. [Google Scholar] [CrossRef]
- Yeh, C.-C.M.; Zhu, Y.; Ulanova, L.; Begum, N.; Ding, Y.; Dau, H.A.; Silva, D.F.; Mueen, A.; Keogh, E. Matrix profile I: All pairs similarity joins for time series: A unifying view that includes motifs, discords and shapelets. In Proceedings of the IEEE International Conference on Data Mining, ICDM, Barcelona, Spain, 12–15 December 2016; Institute of Electrical and Electronics Engineers Inc.: Piscataway, NJ, USA, 2017; pp. 1317–1322. [Google Scholar] [CrossRef]
- Yeh, C.C.M.; Kavantzas, N.; Keogh, E. Matrix profile VI: Meaningful multidimensional motif discovery. In Proceedings of the IEEE International Conference on Data Mining, ICDM, New Orleans, LA, USA, 18–21 November 2017; Institute of Electrical and Electronics Engineers Inc.: Piscataway, NJ, USA, 2017; pp. 565–574. [Google Scholar] [CrossRef]
- Law, S. STUMPY: A Powerful and Scalable Python Library for Time Series Data Mining. J. Open Source Softw. 2019, 4, 1504. [Google Scholar] [CrossRef]
- Harris, C.R.; Millman, K.J.; van der Walt, S.J.; Gommers, R.; Virtanen, P.; Cournapeau, D.; Wieser, E.; Taylor, J.; Berg, S.; Smith, N.J.; et al. Array programming with NumPy. Nature 2020, 585, 357–362. [Google Scholar] [CrossRef] [PubMed]
- Virtanen, P.; Gommers, R.; Oliphant, T.E.; Haberland, M.; Reddy, T.; Cournapeau, D.; Burovski, E.; Peterson, P.; Weckesser, W.; Bright, J.; et al. SciPy 1.0: Fundamental algorithms for scientific computing in Python. Nat. Methods 2020, 17, 261–272. [Google Scholar] [CrossRef]
- Zhu, Y.; Gharghabi, S.; Silva, D.F.; Dau, H.A.; Yeh, C.-C.M.; Senobari, N.S.; Almaslukh, A.; Kamgar, K.; Zimmerman, Z.; Funning, G.; et al. The Swiss army knife of time series data mining: Ten useful things you can do with the matrix profile and ten lines of code. Data Min. Knowl. Discov. 2020, 34, 949–979. [Google Scholar] [CrossRef]
- Waskom, M. seaborn: Statistical data visualization. J. Open Source Softw. 2021, 6, 3021. [Google Scholar] [CrossRef]
- Mckinney, W. Data Structures for Statistical Computing in Python. In Proceedings of the 9th Python in Science Conference, Austin, TX, USA, 28 June–3 July 2010; Van der Walt, S., Millman, J., Eds.; pp. 56–61. [Google Scholar] [CrossRef]
- Abdi, H.; Williams, L.J. Principal component analysis. Wiley Interdiscip. Rev. Comput. Stat. 2010, 2, 433–459. [Google Scholar] [CrossRef]
- Pedregosa, F.; Varoquaux, G.; Gramfort, A.; Michel, V.; Thirion, B.; Grisel, O.; Blondel, M.; Prettenhofer, P.; Weiss, R.; Dubourg, V.; et al. Scikit-learn: Machine Learning in Python. J. Mach. Learn. Res. 2011, 12, 2825–2830. [Google Scholar]
- Cheng, Z.; Zou, C.; Dong, J. Outlier detection using isolation forest and local outlier. In Proceedings of the 2019 Research in Adaptive and Convergent Systems, RACS 2019, Chongqing, China, 24–27 September 2019; Association for Computing Machinery, Inc.: New York, NY, USA, 2019; pp. 161–168. [Google Scholar] [CrossRef]
- Kluger, Y.; Basri, R.; Chang, J.T.; Gerstein, M. Spectral biclustering of microarray data: Coclustering genes and conditions. Genome Res. 2003, 13, 703–716. [Google Scholar] [CrossRef] [PubMed]
- Madeira, S.C.; Oliveira, A.L. Biclustering algorithms for biological data analysis: A survey. IEEE/ACM Trans. Comput. Biol. Bioinform. 2004, 1, 24–45. [Google Scholar] [CrossRef]
- Xu, R.; Wunsch, D. Survey of clustering algorithms. IEEE Trans. Neural. Netw. 2005, 16, 645–678. [Google Scholar] [CrossRef] [PubMed]
- Shahapure, K.R.; Nicholas, C. Cluster quality analysis using silhouette score. In Proceedings of the 2020 IEEE 7th International Conference on Data Science and Advanced Analytics, DSAA 2020, Sydney, Australia, 6–9 October 2020; Institute of Electrical and Electronics Engineers Inc.: Piscataway, NJ, USA, 2020; pp. 747–748. [Google Scholar] [CrossRef]
- Rousseeuw, P.J. Silhouettes: A Graphical Aid to the Interpretation and Validation of Cluster Analysis. J. Comput. Appl. Math. 1987, 20, 53–65. [Google Scholar] [CrossRef]
- Terpilowski, M. Scikit-posthocs: Pairwise multiple comparison tests in Python. J. Open Source Softw. 2019, 4, 1169. [Google Scholar] [CrossRef]
- Abdul-Ghani, M.A.; Lyssenko, V.; Tuomi, T.; DeFronzo, R.A.; Groop, L. The shape of plasma glucose concentration curve during OGTT predicts future risk of type 2 diabetes. Diabetes Metab. Res. Rev. 2010, 26, 280–286. [Google Scholar] [CrossRef]
- Tschritter, O.; Fritsche, A.; Machicao, F.; Häring, H.H.; Stumvoll, M. Assessing the Shape of the Glucose Curve During an Oral Glucose Tolerance Test. Diabetes Care 2003, 26, 1026–1033. [Google Scholar] [CrossRef]
- Rosenbaum, S.E. Basic Pharmacokinetics and Pharmacodynamics: An Integrated Textbook and Computer Simulations, 1st ed.; Wiley: Hoboken, NJ, USA, 2011. [Google Scholar]




| Window | Number of Clusters | Cluster 1 | Cluster 2 | Cluster 3 | Cluster 4 | Cluster 5 | Total |
|---|---|---|---|---|---|---|---|
| 10 | 3 | 0.395 (0.186) | 4.571 (1.317) | 1.368 (1.048) | - | - | 2.237 (0.860) |
| 4 | 2.991 (0.715) | 2.939 (0.556) | 0.175 (0.193) | 0.701 (0.444) | - | 1.502 (0.463) | |
| 5 | 3.580 (0.450) | 0.281 (0.312) | 3.162 (0.00) | 3.162 (0.00) | 1.284 (0.750) | 2.090 (0.187) | |
| 15 | 3 | 0.447 (0.253) | 0.972 (0.518) | 0.806 (0.400) | - | - | 0.795 (0.409) |
| 4 | 0.447 (0.253) | 0.851 (0.613) | 2.698 (1.143) | 1.827 (0.837) | - | 1.620 (0.758) | |
| 5 | 3.485 (1.100) | 1.220 (0.471) | 7.287 (0.411) | 0.895 (0.439) | 0.667 (0.316) | 2.432 (0.475) |
| Time | Cluster | Significance | ||||
|---|---|---|---|---|---|---|
| 1 | 2 | 3 | 1 and 2 | 1 and 3 | 2 and 3 | |
| 10 | −7.837 (7.721) | −0.320 (15.536) | 11.063 (10.844) | NS | <0.001 | 0.003 |
| 20 | −16.196 (8.678) | 8.495 (17.121) | −6.499 (12.386) | <0.001 | 0.015 | 0.001 |
| 30 | −25.412 (10.823) | −7.520 (17.624) | −7.534 (10.552) | <0.001 | <0.001 | NS |
| 60 | −25.131 (12.151) | −14.933 (17.145) | −15.007 (12.593) | NS | 0.024 | NS |
| 120 | −28.427 (13.665) | −11.226 (13.254) | −21.063 (14.410) | <0.001 | NS | NS |
| Variable | Original | Inlier Data | Cluster | Significance | ||||
|---|---|---|---|---|---|---|---|---|
| 1 | 2 | 3 | 1 and 2 | 1 and 3 | 2 and 3 | |||
| Size | 101 | 88 | 23 | 25 | 40 | - | - | - |
| Age (years) | 47.44 (10.97) | 47.45 (0.85) | 41.39 (10.2) | 53.16 (8.58) | 47.38 (10.97) | <0.001 | NS | NS |
| Sex (M:F) | 64:37 | 55:33 | 13:10 | 15:10 | 27:13 | NS | NS | NS |
| BMI ) | 22.15 (2.52) | 22.05 (2.53) | 21.25 (2.48) | 22.39 (2.21) | 22.30 (2.65) | NS | NS | NS |
| eGFR ) | 88.56 (13.43) | 88.61 (12.42) | 86.11 (10.52) | 87.07 (12.27) | 91.01 (13.08) | NS | NS | NS |
| Diagnosis (NGT:IGT:T2D) | 53:20:28 | 46:18:24 | 17:3:3 | 8:9:8 | 21:7:12 | NS | NS | NS |
| HbA1c (%) | 5.45 (0.60) | 5.41 (0.56) | 5.17 (0.39) | 5.58 (0.57) | 5.45 (0.6) | NS | NS | NS |
| HOMA-IR (-) | 1.76 (1.96) | 1.59 (0.97) | 1.44 (0.89) | 1.47 (0.93) | 1.74 (1.01) | NS | NS | NS |
| HOMA-beta (%) | 73.75 (46.23) | 75.08 (46.63) | 87.5 (47.07) | 55.77 (35.41) | 80.0 (48.78) | 0.019 | NS | NS |
| FPG (mg/dL) | 99.22 (18.31) | 99.32 (18.96) | 90.17 (9.54) | 102.56 (14.47) | 100.62 (19.66) | 0.013 | NS | NS |
| FPI (mU/L) | 6.75 (5.45) | 6.75 (5.45) | 6.38 (3.75) | 5.65 (3.09) | 6.97 (3.78) | NS | NS | NS |
| FPGn (pg/mL) | 100.89 (31.17) | 100.89 (31.17) | 110.35 (27.23) | 91.28 (26.59) | 99.42 (31.81) | NS | NS | NS |
Disclaimer/Publisher’s Note: The statements, opinions and data contained in all publications are solely those of the individual author(s) and contributor(s) and not of MDPI and/or the editor(s). MDPI and/or the editor(s) disclaim responsibility for any injury to people or property resulting from any ideas, methods, instructions or products referred to in the content. |
© 2023 by the authors. Licensee MDPI, Basel, Switzerland. This article is an open access article distributed under the terms and conditions of the Creative Commons Attribution (CC BY) license (https://creativecommons.org/licenses/by/4.0/).
Share and Cite
Shahidehpour, A.; Rashid, M.; Askari, M.R.; Ahmadasas, M.; Cinar, A. Identification of Glucagon Secretion Patterns during an Oral Glucose Tolerance Test. Endocrines 2023, 4, 488-501. https://doi.org/10.3390/endocrines4030035
Shahidehpour A, Rashid M, Askari MR, Ahmadasas M, Cinar A. Identification of Glucagon Secretion Patterns during an Oral Glucose Tolerance Test. Endocrines. 2023; 4(3):488-501. https://doi.org/10.3390/endocrines4030035
Chicago/Turabian StyleShahidehpour, Andrew, Mudassir Rashid, Mohammad Reza Askari, Mohammad Ahmadasas, and Ali Cinar. 2023. "Identification of Glucagon Secretion Patterns during an Oral Glucose Tolerance Test" Endocrines 4, no. 3: 488-501. https://doi.org/10.3390/endocrines4030035
APA StyleShahidehpour, A., Rashid, M., Askari, M. R., Ahmadasas, M., & Cinar, A. (2023). Identification of Glucagon Secretion Patterns during an Oral Glucose Tolerance Test. Endocrines, 4(3), 488-501. https://doi.org/10.3390/endocrines4030035

