Abstract
This paper addresses the challenge of improving decision-making capabilities and safety in autonomous vehicles (AVs) using Agent-Based Modelling (ABM). The study evaluates ABM’s effect on Advanced Driver Assistance Systems (ADASs) in challenging driving situations, like lane merging, by incorporating it into a simulation framework designed for autonomous vehicles. Identifying emergent behaviours that enhance safety and efficiency, verifying the efficacy of ABM in AV decision-making, and investigating the function of hardware acceleration to enable practical application in ADASs are some of the major achievements. According to the simulation results, ABM can greatly improve AV performance, providing a practical and scalable means of enhancing safety in future transportation systems.
1. Introduction
The advent of autonomous vehicles (AVs) [1] represents a transformative leap in transportation technology, promising safer, more efficient, and environmentally friendly mobility solutions. As these vehicles navigate complex urban environments and interact with each other and their surroundings, understanding their behaviours and impacts becomes crucial. Agent-based modelling (ABM) [2] emerges as a powerful computational tool for simulating and analysing the intricate dynamics of AV systems. In recent years, ABM has gained prominence across various disciplines for its ability to simulate the behaviour of individual agents within a system, considering their interactions and emergent collective behaviours. When applied to AVs, ABM offers a unique networking approach to studying the complex interactions between vehicles, pedestrians, infrastructure, and the environment, as shown in Figure 1 [3,4]. Vehicular wireless communications and networks are increasingly recognized as pivotal facilitators for enhancing traffic safety and efficiency. Numerous proposals have emerged advocating [5] for vehicle-to-vehicle (V2V) and vehicle-to-infrastructure (V2I) communication, aiming to leverage these technologies to their full potential [6].
Figure 1.
AV to infrastructure scenario [6].
The concept of a car being able to act as an intelligent agent (IA) was first introduced by World’s Fair, with an exhibition that proposed remote controlled electric vehicles propelled by electromagnets [7]. The human factor in driving would be eliminated by the 1960s, with the first truly AVs appearing in the 1980s. Driverless cars are now appearing on our roads, with Mercedes-Benz being the world’s first manufacturer to introduce SAE (formerly known as Society of Automotive Engineers) Level 3 automated driving [8]. The first three levels (Level 0, 1, and 2) represent support features for the drivers, for example, automatic emergency braking, adaptive cruise control, and lane centring. On the other hand, Levels 3, 4, and 5 focus on automated driving features like driver-less cars. Whether fully AVs will be on our roads any time soon, though, is still uncertain due to the high cost of ownership, public perception regarding safety, and issues with key technology enablers. The term ‘agent vehicle’ is used in this report to denote any vehicle with the capability to make intelligent decisions based on percepts it senses in its environment.
In recent years, the field of autonomous driving has witnessed remarkable growth, spanning across various technological domains including radar, cameras, Lidar, object recognition, high-precision mapping, and navigation technology [9,10,11,12]. With its longstanding involvement in the automotive industry, MathWorks has played a pivotal role in advancing autonomous driving technology [13,14]. ABM stands out as a powerful tool within the network landscape, offering unique capabilities to capture the heterogeneity and adaptability of agents, particularly relevant in the context of AV networking. Unlike conventional modelling approaches which often rely on simplified assumptions or aggregate-level analyses, ABM enables researchers to depict the diverse behaviours and decision-making processes of individual vehicles and how they network with other entities within the environment. One significant advantage of ABM lies in its capacity to simulate various network scenarios and policy interventions, allowing for a comprehensive assessment of the potential impacts of AVs on factors such as traffic flow, safety, energy consumption, and urban planning. By simulating the networking between AVs and their surroundings under diverse conditions, ABM serves as a valuable tool to inform decision-making processes and optimize the design and deployment of AV technologies. However, integrating ABM with AV simulations presents several challenges. These challenges include the requirement for accurate data inputs, scalability of computational resources, and validation against real-world observations. Overcoming these hurdles necessitates an interdisciplinary approach encompassing critical concepts of transportation engineering, computer science, urban planning, and social science. Hierarchical modelling can be employed. This approach involves using high-level, less-detailed ABM for broader traffic flow and detailed agent interactions only in areas of high interest or congestion. It is effective in reducing computational load by providing detail where it is most needed, improving simulation efficiency. However, it results in a loss of detail in less critical areas, potentially affecting the overall accuracy of the simulation. Additionally, techniques such as leveraging multi-core processors, cloud computing resources, and distributed simulation frameworks can distribute the computational load and dynamically scale simulations. This can allow for larger and more detailed simulations, improves performance, and can be scaled easily with additional resources. Even with these advantages, they tend to become complex to implement and manage, may require significant upfront investment in infrastructure, and may introduce latency in communication between distributed components. Another potential solution could be to employ an agent aggregation model; this can include methods like macro-agent models and dynamic agent resolution to reduce the number of entities simulated individually by grouping similar agents or adjusting the granularity of agents based on their impact on the simulation. This technique significantly reduces the number of agents to be processed, enhancing computational efficiency. However, aggregation can oversimplify interactions, potentially leading to less accurate or less nuanced results [15,16,17]. In essence, ABM offers a promising avenue to enhance the understanding of the complex dynamics involved in autonomous driving, paving the way for more informed decisions and efficient implementation strategies in this rapidly evolving domain [18].
The use of advanced driver-assistance systems (ADASs) provides automated driving features that can drive the vehicle under limited conditions, such as on a highway, to enhance comfort, safety, and efficiency through automatic intervention in performing the primary control tasks of the car, such as braking and steering [19]. As automated driving and connected vehicle technologies continue to advance, significant research has focused on cooperative intersection control. However, many existing control methods primarily involve passively observing or predicting the trajectories of approaching AVs, rather than actively guiding AVs to adjust their approaching trajectories strategically [20]. For instance, requesting an AV to drive faster when in a hurry may compromise safety and violate traffic laws, making it an inappropriate performance measure. For an agent to be able to perceive its environment and act on these percepts, a combination of sensors and actuators is required. In the realm of artificial intelligence and robotics, an agent refers to an entity that perceives its environment through sensors and acts upon it through effectors. The environment is everything that surrounds the agent and with which the agent interacts. Percepts are the raw data or information that an agent receives from its environment through its sensors. Actions are the behaviours or decisions that an agent can perform or execute in its environment. Effectors are the components or mechanisms through which an agent can affect its environment by performing actions. Sensors are the components or devices that enable an agent to perceive or gather information about its environment. For a vehicle, the driving environment will be varied and complex and includes a variety of different roads, such as highways or narrow streets. The vehicle must be able to share this environment with road users including other vehicles, bicycles, and pedestrians. The vehicle must also consider the rules of the road, such as speed limits, one-way systems, and other laws that can vary depending on where/when the vehicle is operating. The sensors for an AV will include those used for traditional piloted vehicles (e.g., vehicle odometry sensors) as well as new sensors to replace the IA that traditionally drives—a human. AVs use three basic sensors for environment perception: cameras, Lidar, and radar. These sensors are divided into three groups depending on the sensor range—short, medium, and long—and a combination of these types of sensors are required to enable an AV to effectively perceive its environment [21]. Actuators are used to convert electrical command signals from computers (i.e., the brain) into a force that enables control of the vehicle. Actuators are commonly grouped by energy source and common actuators in traditional vehicles include fuel injectors, spark plugs, and those found in anti-lock braking systems (ABSs). Many modern vehicles operate at SAE Level 2, where actuators aid a human driver by providing steering and braking input for smoother driving and in emergency situations.
Another key enabler for the AV is the evolution of wireless communications technology. In the last 20 years, 2G technology that supported voice and text communications with speeds of (0.006 Mb/s) has evolved to low latency and responsive (>1000 Mb/s) 5G communications suitable for 4K video streaming, smart homes, and supporting the Internet of Things (IoT) [22]. 5G communications will be essential for supporting communication between AVs (V2V), as well as communication between vehicles and the ‘smart city’ Intelligent Transport System infrastructure (V2I), as shown in Figure 2. In addition to wide-area network communications, developments have been made in safety and mobility related communications technology [23]. Such communication could be used by an AV if it cannot accurately or reliably perceive its environment due to a sensor fault or operating conditions (e.g., due to severe weather), with the communications acting in lieu of sensors to ensure the vehicle can operate intelligently [24]. In contrast to conventional control methods such as static feedback control, model predictive control, and hierarchical control, ABM offers unique advantages in capturing emergent behaviours, adapting to heterogeneous agent interactions, and simulating dynamic environments. This paper explores these distinctions in depth, underscoring ABM’s ability to handle complex multi-agent scenarios more effectively than traditional methods. These methods are summarized in Table 1.
Figure 2.
Wireless communications environment of an intelligent transportation system [25].
Table 1.
Comparison of traditional control methods and agent-based modelling (ABM).
For split-second, safety critical decision-making and acting, V2V communications must have low latency and be reliable. Dedicated Short-Range Communications (DSRC) is a communications service operating at 5.9 GHz that enables short-to-medium-range (1000 m) V2V and V2I communications with very high data transfer rates. Communications protocols must enable secure, private, multi-propagation communication and this is currently a key topic for designers of AVs. Currently, an evolution of the IEEE 802.11p (IEEE 1609) is the foundation of the European standard for vehicle communication (ETSI ITS-G5) [25].
To act intelligently, the AV must be able to choose the best action depending on what it is perceiving in the environment and its built-in knowledge [26]. Currently, vehicles on the road are somewhat controlled by both smart infrastructure (e.g., motorway variable speed limits) and driver assistance features on vehicles (e.g., adaptive cruise control). A key enabler of AVs will be systems that incorporate not only intelligent roadside infrastructure, but also utilise the sensing, control, and communications enablers afforded by intelligent vehicles. A variety of appropriate control methods for AVs exist, as well as the multi-agent traffic systems they will operate in, including static feedback control, optimal control, model predictive control, hierarchical control, and more modern AI techniques [27]. Modern computing power has helped facilitate the increase in AV capabilities and the choice of control method will depend on the nature of the application. As highlighted earlier, motion prediction stands as a fundamental aspect within contemporary robotics and autonomous driving research. Predictably, a variety of methodologies have emerged in recent years, each presenting distinct characteristics in terms of abstraction level. An extended literature survey indicates existing motion prediction methods can be categorised into three distinct silos: Physics-based, Manoeuvrer-based, and Interaction-aware models. This paper discusses and summarizes related works in Section 2. Section 3 discusses the methodology adopted and the novel contributions made by this work, followed by system design and architecture with focus on program and configuration in Section 4. Section 5 discusses simulation setup and analysis and its validation.
Motivation and Contributions
This study employs ABM to explore and validate its impact on decision-making capabilities for autonomous vehicles within ADASs. The system design and architecture focus on program configuration and simulation setup, ensuring accurate representation of real-world scenarios. By leveraging ABM, the research aims to demonstrate its effectiveness in enhancing driver safety and support, particularly in lane merging scenarios. The methodology also examines the practical benefits and considerations of hardware acceleration for deploying ABM in ADASs. Given the existing literature, we address the need for robust solutions centred around the integration of ADASs and AVs into future transportation systems. By utilizing ABM principles, we aim to analyse the behaviour and interactions of agents to improve decision-making capabilities for autonomous vehicles. The paper validates the effectiveness of ABM in enhancing safety and reliability in automated transportation scenarios, particularly focusing on the scenario of lane merging. Additionally, the paper explores the practical aspects of implementing ABM within ADASs, including the potential advantages and challenges of hardware acceleration to enable its deployment in real-world applications.
This paper thoroughly examines the essential requirements and technological components necessary for the successful implementation of agent-driven vehicles. This includes an in-depth analysis of sensors, actuators, communication systems, protocols/messaging standards, and control mechanisms crucial for enabling autonomous behaviour in vehicles. This paper as such makes the following contributions:
- The paper presents a comprehensive system design architecture for agent-driven vehicles, encompassing data flow, functional modules, connectivity mechanisms, and other critical aspects. This architecture serves as a blueprint for building robust and efficient autonomous vehicle systems.
- We introduce a novel approach to modelling agent-driven vehicles using MATLAB Simulink in dynamic systems. It elaborates on the creation of agent-based models and observes emergent behaviours within these models, providing valuable insights into the dynamics of autonomous vehicle systems.
- The paper showcases the practical applications of agent-based modelling in driver-assistance scenarios, such as localization and visualization. Through demonstrations and case studies, it highlights the effectiveness of agent-driven approaches in enhancing various aspects of driving assistance systems.
2. Related Work
The rapid development of ADASs promises significant advancements in AV technology. ADASs aim to minimize human involvement in driving, except under unexpected conditions like off-road driving. The evolving capabilities of ADASs have enormous potential to reduce road traffic injuries, aligning with the World Health Organization’s (WHO) goal to halve road traffic casualties by the end of the decade. This potential stems from ADAS’s quicker perception–reaction times, elimination of driver distractions, and mitigation of human driver conditions such as fatigue [28,29]. AV requirements closely mirror those of human drivers, emphasizing smooth driving, timely arrival, fuel efficiency, and safety. These criteria can shift based on specific circumstances, such as opting for a scenic route or prioritizing speed. Cloud computing enhances these requirements by enabling real-time data processing and analysis. It is crucial to define performance measures aligned with user goals rather than dictating specific agent behaviours.
The recent literature on agent-based modelling (ABM) has primarily focused on developing novel methodologies to achieve optimal routing in response to dynamic demand requests for AVs [30,31,32,33,34,35]. Examples include artificial ant colony algorithms employing two optimal local search strategies, memetic computing approaches, and fuzzy ant colony optimization techniques. ABM represents a system as a collection of agents, characterized by its flexibility, ability to capture emergent phenomena, and natural depiction of systems [36]. Emergent phenomena often exhibit properties different from their constituent elements, such as a traffic jam moving in the opposite direction to the individual cars causing it. Agent-based simulation modelling (ABSM) has proven effective in studying the dynamics of group situation awareness [37]. Comparative studies indicate that physics-based models exhibit the least abstraction and are constrained to short-term predictions, which may lack reliability. Conversely, interaction-aware models operate on a symbolic level, incorporating different model assumptions to offer more dependable long-term predictions [38]. Manoeuvrer-based approaches fall between these two extremes. Routing is another pivotal aspect in collaborative agent-based modelling for autonomous driving, impacting traffic management, efficiency, and safety. Effective routing algorithms optimize traffic flow by determining efficient paths, minimizing congestion, and reducing travel time [39,40]. These algorithms also incorporate collision avoidance strategies, enhancing safety by steering vehicles away from potential collision hotspots or risky manoeuvrers. Resource allocation within the transportation system is influenced by routing decisions, as algorithms distribute traffic evenly, optimize road infrastructure utilization, and minimize resource wastage. Furthermore, routing algorithms enable adaptation to dynamic conditions by utilizing real-time data and feedback to adjust route recommendations. They respond to changes such as accidents or road closures by dynamically re-routing vehicles to optimize performance and minimize disruptions. Within collaborative agent-based models, routing facilitates seamless communication and coordination among autonomous vehicles. By considering the intentions, preferences, and constraints of multiple agents simultaneously, these algorithms promote efficient and harmonious interactions within the traffic environment [41,42].
The literature is summarized in Table 2.
Table 2.
A summary of the literature.
Recent improvements in ADAS and AV technologies show how important they are for making roads safer and traffic more efficient by reducing human error and optimising driving behaviour. It is seen from the literature review that studies in this area focus on how ADASs can help drivers, especially when the environment is complicated, how simulation-based methods can be used for modelling, and how AVs behave and interact in real-life situations. ABM research has led to the development of flexible and dynmic methods for AV routing that are good at managing traffic flow, avoiding collisions, and being able to change in real time. This is because many studies have challenges, like not being able to handle large groups of agents, not being able to be used in the real world, and not taking into account things like lights and weather. Although agent-based approaches, such as collaborative agent models, have shown promise in making the best choices for autonomous vehicles’ routes and how they react to changing conditions, there is still a need to better understand how different factors combine in complicated traffic situations. This gap shows that we could use more advanced, scalable models that take into account all the conditions in the real world and help autonomous agents work together better.
3. System Architecture and Design
To create a model based on the agent concept, we need to show how the content that sensors perceive (the ‘percept’) is fed into the decision-making centre of the agent, its ‘agent function’, and then how that agent activates actuators. We also need to simulate the environment itself in order to test the agent’s operation in a number of scenarios, which ideally involve multiple agents operating simultaneously—as would be happening with an autonomous vehicle in the real world. Before creating the model, we must also consider the performance we expect from the agent, ensuring it is rational and ‘does the right thing’. We must look at the task environment in which the agent will perform, which sets out the problems it will encounter. The key categories are performance, environment, actuators, and sensors, which are discussed in the next section.
Figure 3 shows a flow diagram for the different components of the ABM. As can be seen, the sensors feed the perception and planning system mentioned earlier in the paper, comparing the sensed environment to the historic map saved already in the system. By fusing the sensor input (other than ultrasonic, which will only be used for short-range collision detection), it will look for differences with a saved mapping. This will allow it to identify its location, whilst also aiding the detection of other vehicles and any discrepancies in the road infrastructure, such as roadwork obstructions. The camera sensors provide important data for the prediction module within perception and planning, as the camera helps to classify objects around the vehicle, which is vital for using the appropriate prediction model. Pedestrians will display very different behaviours to motorcycles, so it is important that objects are classified in order to safely plan the behaviour of the car. Similarly, cameras allow the vehicle to see when other vehicles are signaling, allowing it to better predict their movement. Once decisions are made by the perception and planning system, it instructs the control system to change the position or speed of the car via its actuators. While this physical manoeuvre is carried out, the sensors continue to review the position of the car against its surroundings (other objects/vehicles and the road around it) and give continual feedback to the control system.
Figure 3.
Communications flow of agent-based model.
Table 3 presents the notations used in this paper.
Table 3.
List of notations.
3.1. System Environment and Operational Scenario
In delineating the task environment for a state-of-the-art SAE Level 4 AV, we introduce a structured specification termed performance, environment, actuators, and sensors (PEAS), as elaborated in Table 4. This framework serves as a foundational guide for comprehending and tackling the complexities inherent in the AV’s operational milieu. The PEAS framework facilitates a methodical categorization of the AV’s environment across critical dimensions, aiding in the selection of appropriate agent designs and implementation techniques specifically tailored for highly autonomous driving scenarios. Specifically, for the AV environment, the following information is central:
Table 4.
PEAS framework description for SAE Level 4 autonomous vehicles.
Given the complexity of road systems and the diverse array of factors influencing AV operation, it becomes imperative to categorize the task environment to design effective agents and implement suitable techniques. The environment in which AVs operate is partially observable, as they cannot fully predict how other road users will behave. Moreover, it is inherently multi-agent, as vehicles must navigate alongside various other road users, each with their own goals and behaviours. Additionally, the environment is stochastic, meaning AVs must contend with probabilities rather than certainties regarding events like traffic flow and pedestrian movement. Finally, the sequential nature of decision-making in this environment underscores the importance of recognizing that short-term decisions made by AVs can have significant long-term consequences, emphasizing the need for robust planning and adaptability in agent design.
Therefore, the task environment should be categorised in terms of its dimensions to determine the most appropriate agent design and identify suitable techniques for implementing the agent. For the AV, the environment is as follows:
- Partially observable—the vehicle cannot sense how other road users will behave.
- Multi-agent—the vehicle is competing with other road users to achieve its goals.
- Stochastic—the vehicle is dealing with probabilities of events occurring, not certainties.
- Sequential—short-term decisions made by the agent can have long-term consequences.
Following the discussion on agents and ADASs in the previous section, a system architecture can be proposed for an AV that can define the operational scenarios as follows:
- Operates at SAE Level 4 under limited conditions (e.g., highway driving).
- Acts rationally, with scope for learning (e.g., user preferences).
- Supports human drivers outside of limited conditions (e.g., off-road driving).
- Is part of a multi-agent network, communicating and negotiating with other road users.
- Responds to hierarchical control from a coordinator, linking road users to the road infrastructure.
3.2. Agent Vehicle Program
For the simplest ADAS functionality, such as automatic steering to avoid drifting out of a lane, a simple reflex agent would be appropriate. These agents act on current percepts and do not consider any previous percepts, implementing condition–action rules which, in this example, would be if vehicle-moves-out-of-lane, then initiate-corrective-steering. This reflex nature also makes these agents suitable for safety-related aspects of ADASs, like collision avoidance. However, limitations of such an agent are that at no point does it evaluate its performance against the measures provided. For example, this agent may be programmed to brake sharply if it sees braking ahead, but at no point does it consider the consequences of its actions and their impact on the passengers’ feelings about the trip. Utility is used by agents to choose actions that will maximise its usefulness, and therefore act rationally. A utility function is used to evaluate its possible actions against its preferences, before selecting the action that leads to the highest predicted utility. For example, a utility-based ADAS may determine it is more preferable to move into a different lane, rather than brake heavily, if it detects traffic slowing ahead to make smoother progress through congestion. This is clearly a better IA than one acting based on a set of condition–action rules but is more complex to design and implement. Figure 4 shows a comparison between a simple reflex agent seen in Figure 4a and model-based utility agent in Figure 4b.
Figure 4.
Comparison of simple reflex agent vs. model-based utility agent.
3.3. Agent Vehicle Sensor Configuration
For the detection of objects in the environment, a multi-sensor approach that provides data fusion of camera, radar, and Lidar information enhances the capabilities of AVs to perceive their environment, compared to using data from these sensors in isolation, improving accuracy and resilience to adverse weather conditions. A simplified example of the hierarchy of different sensors, actuators, and communication and control elements is shown in Figure 5.
Figure 5.
Simplified example hierarchy of elements used for sensing, actuation, control, and communications.
The AV must be equipped with an appropriate combination of sensors correctly positioned for optimal performance, as observed in Figure 6 and Figure 7.
Figure 6.
Arrangement of sensors on an AV.
Figure 7.
Placement of AV sensors and their roles in perceiving the environment.
This also provides a backup system with sensor redundancy and helps overcome specific machine vision issues on AVs such as vibrations, motion blur, and poor lighting, increasing resilience to sensor failures and increasing robustness. Improving ADAS safety is critical to improving public confidence in AVs, especially with media coverage of high-profile incidents such as a fatality caused by Tesla autopilot failing to detect a truck crossing its path. Ref. [44] recommends these sensors are oriented in the direction of travel to accurately detect road users, hazards, road signs, and lane markings. Data from wheel encoders and an Inertial Measurement Unit (IMU) can be combined with road maps to supplement Global Positioning System (GPS) data (visual odometry) and improve the reliability of calculations that determine the position of the vehicle, which is vital in ensuring the vehicle can accurately and reliably navigate through its environment. Odometric navigation based on inertial sensors alone is unreliable because of measurement bias and drift. This is studied in further detail with respect to the Localisation/Navigation using Lidar data case study in Section 4.2.
The AV sensors and actuators are designed to work in combination to perceive the environment as shown in Figure 7 and Table 5. Actuators have been broken down from the vehicle system they belong to (e.g., braking) to provide more detail about how ADAS functions are implemented. This analysis highlights how an AV can have considerable ADAS functionality if combinations of even a small number of sensors and actuators, many of which are already implemented on vehicles, are used. For intelligent AVs, this sensing and actuation capability can be enhanced through the application of artificial intelligence algorithms to enhance road safety as the human driver is gradually phased out.
Table 5.
ADAS functions and example combinations.
3.4. Data Flow Between Sensors, Processors, and Actuators
Consideration must be given to what data the AV uses to formulate a plan and act upon it. Research into control architectures for AVs is extensive, with one example being the ‘sense, think, act’ framework developed by Siemens. A simplified example of the data perceived from vehicle sensors and the environment and the possible choice of actuators for a vehicle has been specified in Figure 8. A ‘utility’ block has been added to represent how the agent is designed to consider how useful its actions will be and how happy they will make it. V2V and V2I communications provide the AV with information about the road network, to enable ADAS capabilities such as alerting it to hazards on the road ahead, as well as to the status and intentions of other advanced autonomous road users, allowing for hierarchical control. This scenario delegates control through layers, from a regional controller providing network-wide guidance to a platoon controller responsible for the control of a small number of AVs through the execution of manoeuvres like lane changing, joining other platoons, and keeping a safe distance from other platoon vehicles. These commands would be implemented by the AV control system, sending commands to actuators.
Figure 8.
Data flow between sensors, controller, and actuators structured using ‘sense, think, act’ framework.
3.5. ABM Algorithm
Rhe proposed model captures the information of the vehicle physical quantifiers, the weather conditions on the road–tyre interface, and the psychological state of the driver to provide driving assistance. The equation of the ABM gives the least time for the driver to take in the gap, represented by the sum of the time needed to reach the critical point safely, the time for the length of the autonomous vehicle clearance, and the error time to improve the efficiency of the scenario. The function is given mathematically as
where is the least time needed to reach the critical point safely, is the travel time to the critical point, is the time for the length of the ABM vehicle clearance from the intersection core, and is the error in timing allowance to minimize collisions at the core of the intersection.
considers the design model of a vehicle entering an intersection and the weather conditions of the road to reach the desired gap are computed through simulations and practical calculations. The function incorporates the acceleration rates of a vehicle and the distance to the desired location and time. The basic equation anticipates that the acceleration of a vehicle is proportional to the force applied to the surface of the road; it also predicts the friction co-efficient between the road–car tyre interface and gives an auto-mobile specification in terms of engine power as shown in Figure 9, which comprises all the algorithms of the ABM. Upon determining the , the least time required to get to the desired gap (conflict point), the time can be determined considering the vehicle type speed and the length. The length of the vehicle is visualized using the surveillance cameras. Lastly, the time increases the efficiency of the ABM, ensuring each vehicle arrives at the desired point without collisions. The model does not take care of the drivers who accelerate in an aggressive manner. In such instances, road accidents are more likely to occur.
Figure 9.
ABM algorithm.
The simulation framework used in this study models AVs in a two-lane highway environment using MATLAB’s ABM tools. The framework is designed to evaluate the impact of ABM on ADASs by simulating lane merging scenarios and capturing emergent behaviours.
The simulation begins by configuring the environment parameters, including road layout, traffic density, and vehicle properties. A two-lane highway is initialized. Each vehicle is modelled as an intelligent agent equipped with sensors for obstacle detection and vehicle-to-vehicle (V2V) communication modules.Each agent operates based on a finite state machine with the following states m of cruising, merging, and evasive manoeuvers. These states are triggered by environmental conditions and agent interactions. Algorithm 1 summarizes the simulation algorithm:
| Algorithm 1 Agent-based simulation for autonomous vehicles. |
|
4. Simulation Analysis and Validation
Agent-based models can be applied to understand traffic patterns from the perspective of both a road user and network controller due to their capability to model the behaviour of individual road users as IAs. Understanding the nuances of traffic conditions and variables is crucial for ensuring the integrity and dependability of our modelling methodology. Traffic flow dynamics are influenced by numerous factors, including road geometry, vehicle attributes, driver conduct, environmental elements, and infrastructure layout. Through a meticulous examination of these components and the underlying assumptions, our aim is to establish a comprehensive framework for interpreting and contextualizing the outcomes of our simulations. Traffic conditions encompass a wide array of parameters, spanning from vehicle density and speed distributions to traffic flow patterns and congestion levels. Key variables such as lane occupancy, vehicle acceleration, and inter-vehicle spacing exert significant influence on the emergent behaviours observed in our simulations, providing valuable insights into the underlying mechanisms driving traffic dynamics and facilitating informed decisions regarding system design and optimization strategies. Our modelling approach hinges on agent-based simulation techniques, which enable the replication of intricate interactions between individual vehicles and their surroundings. By representing each vehicle as an autonomous agent with specific behaviours and decision-making capabilities, we simulate the complex dynamics of real-world traffic scenarios, meticulously integrating flow elements such as lane changing manoeuvres, merging patterns, and interactions with infrastructure components to accurately replicate vehicular interactions. The MATLAB ABM toolkit was used to understand the emergent behaviour of vehicles in a driving scenario when tasked to maintain a safe distance and change lanes safely. The implemented Simulink model is shown in Figure 10.
Figure 10.
Architecture of basic driver strategy to check if it is safe to change lanes.
The toolbox operates within the context of a simulated traffic environment; Table 6 gives a breakdown of the traffic conditions, variables, and flow elements.
Table 6.
Simulated traffic parameters.
A pool of agents contains two types of agents, each with its own driver strategy and model of vehicle dynamics. Each vehicle has a driver strategy to check safety, which in this example is whether it is safe to change lanes by checking the distance to any vehicles in front. This model could be enhanced by adding more advanced safety checks or a strategy that places greater utility on behaviours such as smooth driving. Simulink is used to populate the world with these agents and a broker is used to connect the agents to the world, sending information back and forth between the two domains. The perception and localisation subsystem could be modified to include real-world map data to understand agent behaviour in different traffic scenarios.
4.1. Observations of Emergent Behaviour—Highway Ramp Merging
After the system and agents have been defined, the model can be executed to observe what actions transpire, their cause, and what it means. Several scenarios are simulated to understand how and when the agents decide to react and what its effect would have on the environment.
For lane switch cases, the most prominent responses as the vehicle are either trying to force itself into the next lane, as seen in Figure 11, or remain at its current acceleration until it finds another safe opportunity, as seen in Figure 11. We observe in some cases that there is little space between itself and the front vehicle.
Figure 11.
Two-lane switch scenario where a vehicle switches lane if it is safe to do so. (a) Vehicle successfully changing lanes. (b) Vehicles cannot change lanes, and continue at their current speed.
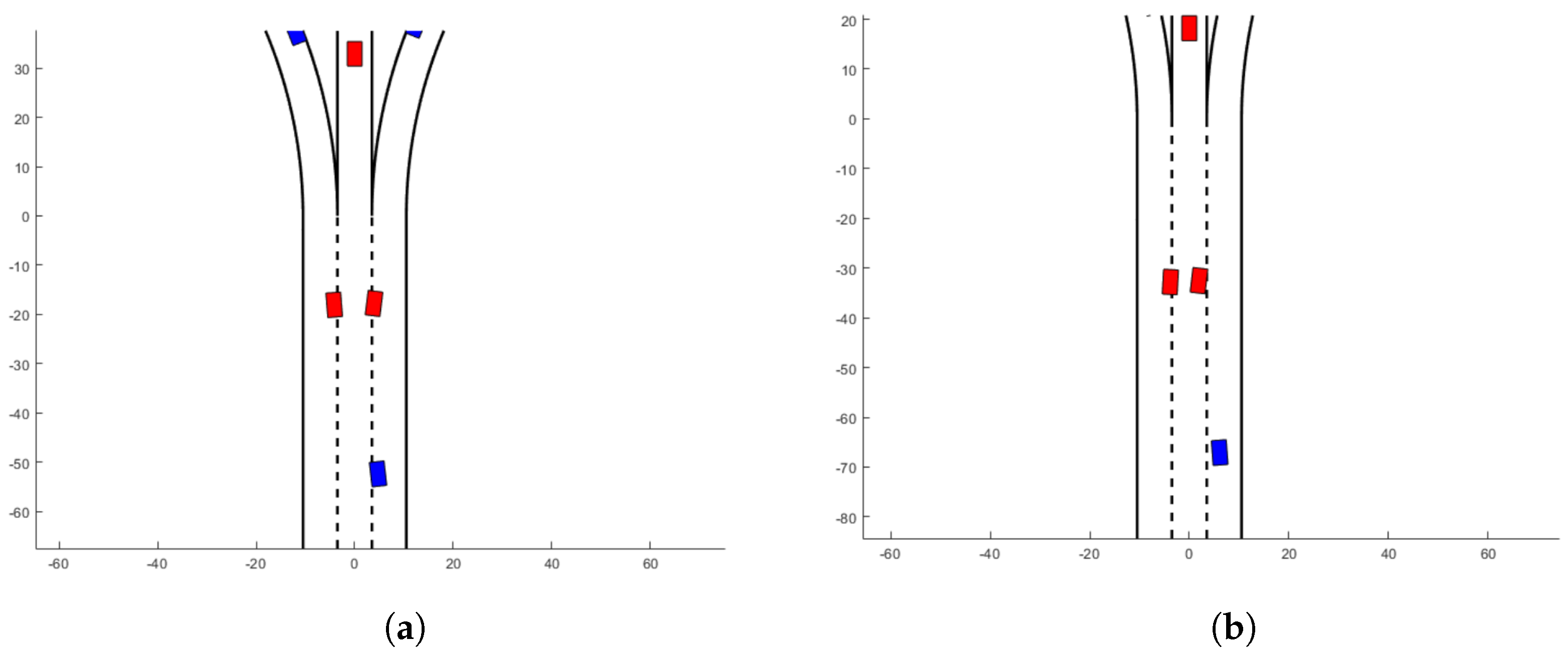
Comparing two-lane switches to three-lane cases highlights the evolution of behaviour in response to simply incorporating another lane. Whereas in former examples we witness either a lane change or no action taken, for the latter, we witness how two vehicles begin to initiate a manoeuvre into the same middle lane as shown in Figure 12a, forcing one agent to rescind its decision and return to its original, safer position, as seen in Figure 12b. Not only does this illustrate how applying checks only to the adjacent lanes limits what can be predicted, but it also demonstrates the behaviour’s quick response to divert the AV back to safety. Despite not resulting in any hazards, this is still a risky situation as it has forced evasive action from the AV that can be detrimental to the environment in the form of car accidents or collisions.
Figure 12.
Three-lane switch scenario highlighting the events of two vehicles entering the same middle lane. (a) Two vehicles are attempting to enter the middle lane. (b) One vehicle is forced to take evasive action.
Although the behaviour is adapting to its surroundings, and can effectively prevent major incidents occurring, the range of the sensors and the scope of the checks are not sufficient to ensure emergency actions do not occur as regularly as they did. This would be improved by further developing the behaviour to perform more vigorous checks and tests, broadening the scope of what can be measured, to confidently determine that no risks will be incurred from its actions.
For merge cases, we witness either a manoeuvre into the main carriageway, as seen in Figure 13a,b, or a deceleration to adjust itself within its current lane to not collide with any oncoming traffic, shown in Figure 14a. The latter is due to environmental limitations because if the AV deems it unsafe to merge, it does not have the road space to continue cruising in its current lane at its current speed and must respond by decelerating to prevent collisions. This leads to adverse effects in two-lane situations as it forces other agents behind it to slow down, causing congestion, and slowing entry into the carriageway, shown in Figure 14b. This suggests that improvements could be discovered by trialling new safety limits, implementing more varied agent behaviour, and testing different world designs to see how far this decelerating behaviour extends and whether it can be mitigated in any way.
Figure 13.
Two-lane merge scenario.
Figure 14.
(a) Vehicle forced to decelerate. (b) Traffic result from vehicle slowing down.
4.2. Localisation/Navigation Using Lidar Data
For AVs to safely avoid other vehicles merging onto the highway or when changing lanes, it is vital that they can accurately determine where they are. The MathWorks Automated Driving Toolbox was utilized to demonstrate the process of building maps using real-world vehicle GPS, Lidar, and IMU data for navigation, highlighting the importance of accurate localization for AVs to safely navigate complex environments. Figure 15 presents a map displaying the GPS location of the vehicle, showcasing the vehicle’s precise positioning within its environment. This map is generated using GPS data, which provides latitude and longitude coordinates, alongside waypoints that establish the vehicle’s planned path and trajectory.
Figure 15.
Map displaying GPS location of vehicle.
Figure 16 showcases data captured by the vehicle’s LIDAR sensor, which emits laser pulses to create a detailed 3D point cloud of the surroundings. This point cloud representation includes objects such as vehicles, pedestrians, road signs, and infrastructure, crucial for the vehicle’s perception and navigation. Additionally, the integration of GPS data with the LIDAR information enhances localization accuracy, enabling the creation of an estimated AV path. Such sensor data fusion processes are essential for improving the AV’s understanding of its environment, ensuring safe navigation and avoidance of obstacles, particularly when merging onto highways or changing lanes.
Figure 16.
Vehicle LIDAR sensor data.
Following the second turn, the estimated trajectory significantly drifted from the true vehicle trajectory due to several reasons. This could be because of insufficient filtering of noise in the point cloud scans, a lack of strong features in the environment, calibration difficulties, and significant rotation from the vehicle turning. To improve accuracy, Lidar point cloud data was fused with the orientation estimation data from the IMU to improve registration and a trajectory much closer to the ground truth. The data from before estimation are visualized in Figure 17 and after estimation are shown in Figure 18.
Figure 17.
Estimated vehicle trajectory vs. ground truth trajectory before using vehicle.
Figure 18.
Vehicle’s IMU data after driving.
This demonstrates the benefits of sensor fusion previously discussed when specifying the Agent Vehicle Sensor Configuration to accurately perceive where an AV is in the environment. For the highway merging studied in the MATLAB ABM, accurate localisation is required for AVs to determine how close they are in relation to other vehicles to maintain a safe distance, check if it is safe to change lanes, determine if it is safe to merge onto the highway, and, in all these cases, change position on the road as desired. None of these actions would be possible if the AV could not accurately calculate where it is.
5. Role of Hardware in Agent-Based Simulation
A major drawback of ABMs is the long simulation time for large models. ABM has seen increasing interest in leveraging hardware accelerators to enhance computational efficiency and scalability. To support computationally intensive ABM simulations, hardware accelerators such as GPUs, FPGAs, and ASICs offer significant advantages. Table 7 summarizes their relative strengths and weaknesses across key dimensions such as performance, cost, and scalability. For this study, the use of GPUs was considered due to their availability and suitability for high-parallelism tasks. GPUs enable the rapid execution of floating-point operations, which are critical for simulating agent dynamics and interactions.
Table 7.
Comparison of hardware accelerators for ABM simulations.
These accelerators, including GPUs, FPGAs, and custom ASICs, offer specialized architectures that can significantly speed up simulations by parallelizing and offloading computational tasks. Recent research continues to explore GPUs as powerful accelerators for ABM. GPUs provide massively parallel architectures with high memory bandwidth, making them suitable for handling large-scale simulations with complex agent interactions. Studies have shown significant speed-ups compared to CPU implementations, enabling simulations in epidemiology, urban planning, and ecological modelling to achieve faster execution times and higher scalability [45,46]. FPGAs offer reconfigurable hardware that can be customized to optimize specific ABM algorithms and agent interaction rules. Recent advancements focus on designing FPGA-based accelerators that balance throughput, latency, and power efficiency. For instance, FPGA implementations have been successful in real-time decision-making applications and sensor network simulations, showcasing their flexibility and performance advantages [47,48]. Custom ASICs provide specialized solutions for ABM tasks requiring high performance and energy efficiency. Recent developments include domain-specific designs tailored for genetic algorithms and biochemical reaction networks within ABM frameworks. These ASICs demonstrate superior performance metrics such as low power consumption and high throughput, addressing specific computational challenges in complex agent-based simulations [49]. The recent literature highlights ongoing efforts to optimize hardware accelerators for ABM, emphasizing performance improvements, energy efficiency, and application-specific customization. Challenges remain in programming models, hardware integration, and scalability across different ABM domains. Future research directions may explore hybrid accelerator architectures, advanced simulation algorithms, and integration with emerging technologies such as AI and edge computing. Consideration must also be given to how this improved hardware is implemented. Agent-based simulations can be accelerated by making efficient use of hardware though optimisation of algorithms, for example, the trade-off between precision and speed. Execution times can be reduced by allowing small errors in results, which can be achieved by using approximate algorithms. Reducing the number of executed operations is a simple way to improve execution times. Without optimisation in computer memory, improvements in simulation speed will still be limited by memory layout, even when simulation code has been optimised through the parallelisation of operations. Independence from hardware is also advisable, with approaches such as unified memory access that abstract from the hardware specifics negating the need for model developers to become experts in working with particular hardware accelerators.
6. Conclusions
In this paper, we have explored the critical challenges faced by AVs and proposed solutions leveraging advanced technologies and simulation methodologies. The investigation into the system architecture and design of AVs, utilizing the PEAS framework, highlights the complexity of the operational environment and the need for tailored agent designs. By categorizing the task environment based on dimensions such as observability, multi-agent interaction, stochasticity, and sequential decision-making, we lay the groundwork for effective ABM in highly autonomous driving scenarios. Furthermore, our discussion on operational scenarios elucidates the multifaceted nature of AV operation, encompassing rational decision-making, hierarchical control, and multi-agent negotiation. It emphasizes the importance of agent design choices, from simple reflex agents for basic ADAS functionalities to more sophisticated utility-based agents for rational decision-making in complex traffic scenarios. Additionally, the configuration of sensors and actuators in AVs underscores the significance of data fusion and redundancy for robust perception and action in dynamic environments. Through simulation analysis and validation, the efficacy of ABM in understanding traffic patterns and evaluating emergent behaviours in AV environments is demonstrated. By utilizing the MATLAB ABM toolkit and Automated Driving Toolbox, we simulate scenarios of highway ramp merging and localization/navigation using Lidar data, providing valuable insights into AV behaviour and performance. These simulations highlight the potential of ABM in informing decision-making processes and optimizing AV technologies for enhanced safety and efficiency. The findings presented in this paper underscore the importance of interdisciplinary collaboration and technological innovation in addressing the challenges of AVs. Standardizing regulations, enhancing data quality, establishing comprehensive legal and ethical frameworks, adapting infrastructure, and optimizing hardware utilization are critical steps toward realizing the full potential of AVs in transforming transportation systems. Future research endeavours should focus on integrating these efforts to facilitate the seamless and safe integration of AVs into our transportation networks.
Author Contributions
Conceptualization, J.M.-D. and S.A.-R.; methodology, J.M.-D.; software, J.M.-D.; validation, J.M.-D. and S.A.-R.; formal analysis, J.M.-D.; investigation, J.M.-D.; resources, S.A.-R. and M.S.; writing—original draft preparation, J.M.-D.; writing—review and editing, A.W., H.W., M.S., M.A.S. and S.A.-R.; visualization, J.M.-D.; supervision, S.A.-R. All authors have read and agreed to the published version of the manuscript.
Funding
This research received no external funding.
Data Availability Statement
Data are contained within the article.
Conflicts of Interest
The authors declare no conflicts of interest.
References
- Li, J.; Wu, Z.; Li, M.; Shang, Z. Dynamic Measurement Method for Steering Wheel Angle of Autonomous Agricultural Vehicles. Agriculture 2024, 14, 1602. [Google Scholar] [CrossRef]
- Lin, P.; Liu, J.; Jin, P.J.; Ran, B. Autonomous Vehicle-Intersection Coordination Method in a Connected Vehicle Environment. IEEE Intell. Transp. Syst. Mag. 2017, 9, 37–47. [Google Scholar] [CrossRef]
- Kagho, G.O.; Balac, M.; Axhausen, K.W. Agent-Based Models in Transport Planning: Current State, Issues, and Expectations. Procedia Comput. Sci. 2020, 170, 726–732. [Google Scholar] [CrossRef]
- Razmi Rad, S.; Homem de Almeida Correia, G.; Hagenzieker, M. Pedestrians’ road crossing behaviour in front of automated vehicles: Results from a pedestrian simulation experiment using agent-based modelling. Transp. Res. Part Traffic Psychol. Behav. 2020, 69, 101–119. [Google Scholar] [CrossRef]
- Liu, X.; Zhang, H.; Sheng, M.; Li, W.; Al-Rubaye, S.; Long, K. Ultra dense satellite-enabled 6G networks: Resource optimization and interference management. China Commun. 2023, 20, 262–275. [Google Scholar] [CrossRef]
- Sukuvaara, T.; Nurmi, P. Wireless traffic service platform for combined vehicle-to-vehicle and vehicle-to-infrastructure communications. IEEE Wirel. Commun. 2009, 16, 54–61. [Google Scholar] [CrossRef]
- Tajdari, F.; Ramezanian, H.; Paydarfar, S.; Lashgari, A.; Maghrebi, S. Flow metering and lane-changing optimal control with ramp-metering saturation. In Proceedings of the 2022 CPSSI 4th International Symposium on Real-Time and Embedded Systems and Technologies (RTEST), Tehran, Iran, 30–31 May 2022; pp. 1–6. [Google Scholar] [CrossRef]
- J3016_201806; Taxonomy and Definitions for Terms Related to Driving Automation Systems for On-Road Motor Vehicles. On-Road Automated Driving (ORAD) Committee: Warrendale, PA, USA, 2021. [CrossRef]
- Yeong, D.J.; Barry, J.; Walsh, J. A Review of Multi-Sensor Fusion System for Large Heavy Vehicles Off Road in Industrial Environments. In Proceedings of the 2020 31st Irish Signals and Systems Conference (ISSC), Letterkenny, Ireland, 11–12 June 2020; pp. 1–6. [Google Scholar] [CrossRef]
- Meng, Z.; Zhao, S.; Chen, H.; Hu, M.; Tang, Y.; Song, Y. The Vehicle Testing Based on Digital Twins Theory for Autonomous Vehicles. IEEE J. Radio Freq. Identif. 2022, 6, 710–714. [Google Scholar] [CrossRef]
- Gopalakrishnan, S.K.; Al-Rubaye, S.; Inalhan, G. Adaptive UAV Swarm Mission Planning by Temporal Difference Learning. In Proceedings of the 2021 IEEE/AIAA 40th Digital Avionics Systems Conference (DASC), San Antonio, TX, USA, 3–7 October 2021; pp. 1–10. [Google Scholar] [CrossRef]
- Chen, T.; Cai, Y.; Chen, L.; Xu, X. Trajectory and Velocity Planning Method of Emergency Rescue Vehicle Based on Segmented Three-Dimensional Quartic Bezier Curve. IEEE Trans. Intell. Transp. Syst. 2023, 24, 3461–3475. [Google Scholar] [CrossRef]
- Gao, Y.; Tian, F.; Li, J.; Fang, Z.; Al-Rubaye, S.; Song, W.; Yan, Y. Joint Optimization of Depth and Ego-Motion for Intelligent Autonomous Vehicles. IEEE Trans. Intell. Transp. Syst. 2023, 24, 7390–7403. [Google Scholar] [CrossRef]
- Kuutti, S.; Bowden, R.; Jin, Y.; Barber, P.; Fallah, S. A Survey of Deep Learning Applications to Autonomous Vehicle Control. IEEE Trans. Intell. Transp. Syst. 2021, 22, 712–733. [Google Scholar] [CrossRef]
- Kögel, M.; Ibrahim, M.; Kallies, C.; Findeisen, R. Safe hierarchical model predictive control and planning for autonomous systems. Int. J. Robust Nonlinear Control 2023. [Google Scholar] [CrossRef]
- Prakash, A.; Behl, A.; Ohn-Bar, E.; Chitta, K.; Geiger, A. Exploring Data Aggregation in Policy Learning for Vision-Based Urban Autonomous Driving. In Proceedings of the IEEE/CVF Conference on Computer Vision and Pattern Recognition (CVPR), Seattle, WA, USA, 14–19 June 2020. [Google Scholar]
- Liang, Q.; Liu, J.; Jiang, Z.; Yin, J.; Xu, K.; Li, H. Limited Information Aggregation for Collaborative Driving in Multi-Agent Autonomous Vehicles. IEEE Robot. Autom. Lett. 2024, 9, 6624–6631. [Google Scholar] [CrossRef]
- Conrad, C.; Al-Rubaye, S.; Tsourdos, A. Intelligent Embedded Systems Platform for Vehicular Cyber-Physical Systems. Electronics 2023, 12, 2908. [Google Scholar] [CrossRef]
- Eskandarian, A. Fundamentals of Driver Assistance. In Handbook of Intelligent Vehicles; Springer: London, UK, 2012; pp. 491–535. [Google Scholar] [CrossRef]
- Tajdari, F.; Golgouneh, A.; Ghaffari, A.; Khodayari, A.; Kamali, A.; Hosseinkhani, N. Simultaneous Intelligent Anticipation and Control of Follower Vehicle Observing Exiting Lane Changer. IEEE Trans. Veh. Technol. 2021, 70, 8567–8577. [Google Scholar] [CrossRef]
- Ignatious, H.A.; Hesham-El-Sayed; Khan, M. An overview of sensors in Autonomous Vehicles. Procedia Comput. Sci. 2022, 198, 736–741. [Google Scholar] [CrossRef]
- Warrier, A.; Aljaburi, L.; Whitworth, H.; Al-Rubaye, S.; Tsourdos, A. Future 6G Communications Powering Vertical Handover in Non-Terrestrial Networks. IEEE Access 2024, 12, 33016–33034. [Google Scholar] [CrossRef]
- Andrews, S. Vehicular Communications Requirements and Challenges. In Handbook of Intelligent Vehicles; Springer: London, UK, 2012; pp. 1091–1120. [Google Scholar] [CrossRef]
- Fagnant, D.J.; Kockelman, K. Preparing a nation for autonomous vehicles: Opportunities, barriers and policy recommendations. Transp. Res. Part A Policy Pract. 2015, 77, 167–181. [Google Scholar] [CrossRef]
- IEEE Std 1609.0-2019; IEEE Guide for Wireless Access in Vehicular Environments (WAVE) Architecture (Revision of IEEE Std 1609.0-2013). IEEE: New York, NY, USA, 2019; pp. 1–106. [CrossRef]
- Ghaffari, A.; Khodayari, A.; Kamali, A.; Tajdari, F.; Hosseinkhani, N. New fuzzy solution for determining anticipation and evaluation behavior during car-following maneuvers. Proc. Inst. Mech. Eng. Part D J. Automob. Eng. 2018, 232, 936–945. [Google Scholar] [CrossRef]
- Schutter, B.D.; Ploeg, J.; Baskar, L.; Naus, G.; Nijmeijer, H. Hierarchical, intelligent and automatic controls. In Handbook of Intelligent Vehicles; Springer: London, UK, 2012; pp. 81–116. [Google Scholar]
- Kukkala, V.K.; Tunnell, J.; Pasricha, S.; Bradley, T. Advanced Driver-Assistance Systems: A Path Toward Autonomous Vehicles. IEEE Consum. Electron. Mag. 2018, 7, 18–25. [Google Scholar] [CrossRef]
- Martens, M.; Jenssen, G. Behavioural adaptation and acceptance. In Handbook Intelligent Vehicles; Springer: Berlin/Heidelberg, Germany, 2012; pp. 117–138. [Google Scholar] [CrossRef]
- Liang, J.; Li, Y.; Yin, G.; Xu, L.; Lu, Y.; Feng, J.; Shen, T.; Cai, G. A MAS-Based Hierarchical Architecture for the Cooperation Control of Connected and Automated Vehicles. IEEE Trans. Veh. Technol. 2023, 72, 1559–1573. [Google Scholar] [CrossRef]
- Mahela, O.P.; Khosravy, M.; Gupta, N.; Khan, B.; Alhelou, H.H.; Mahla, R.; Patel, N.; Siano, P. Comprehensive overview of multi-agent systems for controlling smart grids. CSEE J. Power Energy Syst. 2022, 8, 115–131. [Google Scholar] [CrossRef]
- Liu, J.; Yan, J.; Wan, D.; Li, X.; Al-Rubaye, S.; Al-Dulaimi, A.; Quan, Z. Digital Twins Based Intelligent State Prediction Method for Maneuvering-Target Tracking. IEEE J. Sel. Areas Commun. 2023, 41, 3589–3606. [Google Scholar] [CrossRef]
- Pudane, M. Classification of agent-based models from the perspective of multi-agent systems. In Proceedings of the 2017 5th IEEE Workshop on Advances in Information, Electronic and Electrical Engineering (AIEEE), Riga, Latvia, 24–25 November 2017; pp. 1–6. [Google Scholar] [CrossRef]
- Dao, M.Q.; Berrio, J.S.; Frémont, V.; Shan, M.; Héry, E.; Worrall, S. Practical Collaborative Perception: A Framework for Asynchronous and Multi-Agent 3D Object Detection. IEEE Trans. Intell. Transp. Syst. 2024, 25, 12163–12175. [Google Scholar] [CrossRef]
- Harith, A.; Alireza, M.; Mohammad, R.K.S.; Haizhong, W. Measuring the impacts of connected vehicles on travel time reliability in a work zone environment: An agent-based approach. J. Intell. Transp. Syst. 2020, 24, 421–436. [Google Scholar]
- Mi, L.; Gonçalves, J.; Markdahl, J. Polarization of Multi-agent Gradient Flows Over Manifolds With Application to Opinion Dynamics. IEEE Trans. Autom. Control 2024, 69, 1288–1295. [Google Scholar] [CrossRef]
- Almeaibed, S.; Al-Rubaye, S.; Tsourdos, A.; Avdelidis, N.P. Digital Twin Analysis to Promote Safety and Security in Autonomous Vehicles. IEEE Commun. Stand. Mag. 2021, 5, 40–46. [Google Scholar] [CrossRef]
- Zhao, J.; Qu, T.; Gong, X.; Chen, H. Interaction-Aware Personalized Trajectory Prediction for Traffic Participant Based on Interactive Multiple Model. IEEE Trans. Intell. Veh. 2023, 8, 2184–2196. [Google Scholar] [CrossRef]
- Owais, M.; Alshehri, A. Pareto Optimal Path Generation Algorithm in Stochastic Transportation Networks. IEEE Access 2020, 8, 58970–58981. [Google Scholar] [CrossRef]
- Mostafizi, A.; Koll, C.; Wang, H. A Decentralized and Coordinated Routing Algorithm for Connected and Autonomous Vehicles. IEEE Trans. Intell. Transp. Syst. 2022, 23, 11505–11517. [Google Scholar] [CrossRef]
- Gruzlikov, A.M.; Kolesov, N.V.; Litunenko, E.G.; Tolmacheva, M.V. Energy-Efficient Routing of Information Exchanges in the Network of Autonomous Underwater Vehicles. In Proceedings of the 2022 11th Mediterranean Conference on Embedded Computing (MECO), Budva, Montenegro, 7–10 June 2022; pp. 1–6. [Google Scholar] [CrossRef]
- Bouhamed, O.; Ghazzai, H.; Besbes, H.; Massoud, Y. Q-learning based Routing Scheduling For a Multi-Task Autonomous Agent. In Proceedings of the 2019 IEEE 62nd International Midwest Symposium on Circuits and Systems (MWSCAS), Dallas, TX, USA, 4–7 August 2019; pp. 634–637. [Google Scholar] [CrossRef]
- Culley, J.; Garlick, S.; Gil Esteller, E.; Georgiev, P.; Fursa, I.; Vander Sluis, I.; Ball, P.; Bradley, A. System Design for a Driverless Autonomous Racing Vehicle. In Proceedings of the 2020 12th International Symposium on Communication Systems, Networks and Digital Signal Processing (CSNDSP), Porto, Portugal, 20–22 July 2020; pp. 1–6. [Google Scholar] [CrossRef]
- Aloseel, A.; Al-Rubaye, S.; Zolotas, A.; He, H.; Shaw, C. A Novel Approach for Detecting Cyberattacks in Embedded Systems Based on Anomalous Patterns of Resource Utilization-Part I. IEEE Access 2021, 9, 103204–103229. [Google Scholar] [CrossRef]
- Chisholm, R.; Maddock, S.; Richmond, P. Improved GPU near neighbours performance for multi-agent simulations. J. Parallel Distrib. Comput. 2020, 137, 53–64. [Google Scholar] [CrossRef]
- Kosiachenko, L.; Hart, N.; Fukuda, M. MASS CUDA: A General GPU Parallelization Framework for Agent-Based Models. In Proceedings of the Advances in Practical Applications of Survivable Agents and Multi-Agent Systems: The PAAMS Collection, Ávila, Spain, 26–28 June 2019; Demazeau, Y., Matson, E., Corchado, J.M., De la Prieta, F., Eds.; Springer: Cham, Switzerland, 2019; pp. 139–152. [Google Scholar]
- Xiao, J.; Kilinç, G.; Andelfinger, P.; Eckhoff, D.; Cai, W.; Knoll, A. Pedal to the Bare Metal: Road Traffic Simulation on FPGAs Using High-Level Synthesis. In Proceedings of the 2020 ACM SIGSIM Conference on Principles of Advanced Discrete Simulation, SIGSIM-PADS ’20, New York, NY, USA, 15–17 June 2020; pp. 117–121. [Google Scholar] [CrossRef]
- Ali, M.; Hossain, M.A.F.; Sukanya, M.I.; Chakraborty, R. Real-time Density-Based Dynamic Traffic Light Controller Using FPGA. In Proceedings of the 2021 IEEE International Women in Engineering (WIE) Conference on Electrical and Computer Engineering (WIECON-ECE), Dhaka, Bangladesh, 4–5 December 2021; pp. 25–28. [Google Scholar] [CrossRef]
- Krishnakumar, A.; Ogras, U.; Marculescu, R.; Kishinevsky, M.; Mudge, T. Domain-Specific Architectures: Research Problems and Promising Approaches. ACM Trans. Embed. Comput. Syst. 2023, 22, 1–26. [Google Scholar] [CrossRef]
Disclaimer/Publisher’s Note: The statements, opinions and data contained in all publications are solely those of the individual author(s) and contributor(s) and not of MDPI and/or the editor(s). MDPI and/or the editor(s) disclaim responsibility for any injury to people or property resulting from any ideas, methods, instructions or products referred to in the content. |
© 2025 by the authors. Licensee MDPI, Basel, Switzerland. This article is an open access article distributed under the terms and conditions of the Creative Commons Attribution (CC BY) license (https://creativecommons.org/licenses/by/4.0/).

















