Early Driver Fatigue Detection System: A Cost-Effective and Wearable Approach Utilizing Embedded Machine Learning
Abstract
1. Introduction
- Early Detection of Driver Fatigue: By leveraging HRV features extracted from ECG signals, this study presents an innovative framework for the early detection of fatigue. Unlike the existing systems that often detect fatigue at advanced stages, our approach emphasizes proactive intervention by identifying physiological changes in the early stages of fatigue with reliable accuracy, improving driver safety;
- Investigation of Gender Differences: This study pioneers the exploration of gender-specific variations in HRV features during fatigue states. By investigating the impact of gender on drivers’ physiological responses, our work lays the foundation for developing tailored, gender-sensitive fatigue detection models that enhance accuracy and inclusivity in real-world applications;
- Low-Cost, Wearable Solution: The proposed system leverages embedded machine learning algorithms to deliver a significantly lower cost and higher portability compared to existing vehicle-integrated driver fatigue detection systems, providing an affordable and practical wearable solution for diverse vehicles and drivers;
2. Materials and Methods
2.1. System Overview
2.2. ECG Data Acquisition
2.2.1. Electrodes Placement
2.2.2. Data Sampling and Transmission
2.3. ECG Signal Processing and Feature Extraction
2.3.1. Noise Filtering
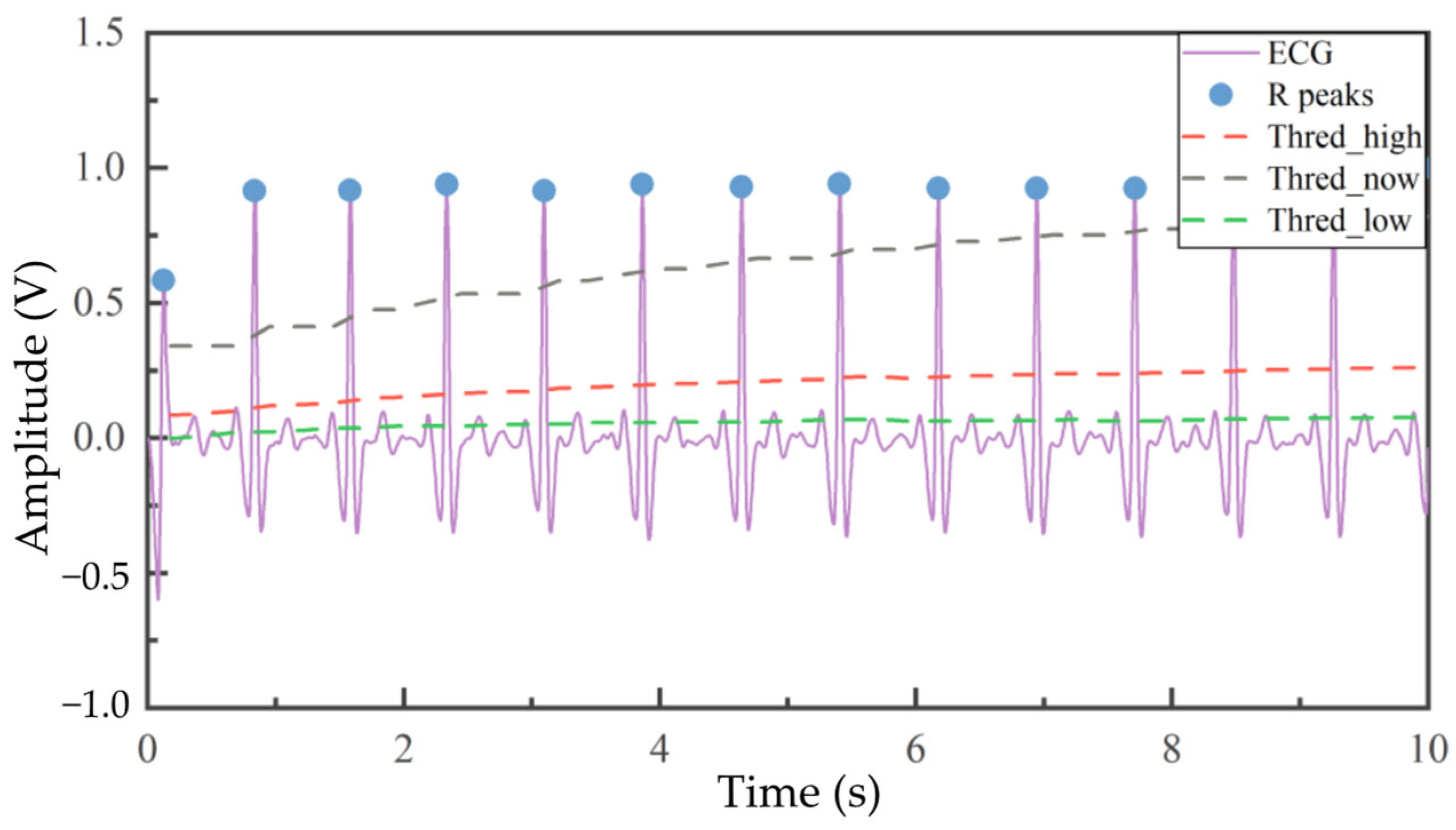
2.3.2. R-Wave Detection
2.3.3. HRV Feature Extraction
2.4. Dataset Collection in Simulated Driving Experiment
2.4.1. Experiment Volunteers
2.4.2. Simulated Driving Experiment Setup
- Stress simulation: to introduce stress, participants were given specific time-limited delivery tasks within the simulation. The tasks required maintaining a high level of concentration while adhering to strict schedules, replicating the time pressure often experienced in real-world driving. Additionally, penalties for errors, such as collisions or exceeding speed limits, were used to enhance stress levels;
- Distraction simulation: distraction was introduced by incorporating background auditory stimuli, such as random notifications and ambient noises, while participants navigated the simulated environment. These elements were designed to mimic real-life distractions, such as phone notifications or radio chatter, which can divert attention from driving;
- Dynamic environment changes simulation: the simulation included varying environmental conditions, such as sudden changes in weather (e.g., rain or fog), road types (e.g., highways vs. narrow streets), and traffic density. These scenarios replicated real-world driving challenges that require quick adaptation and heightened attention.
2.5. Machine Learning Algorithm for Fatigue Detection
2.5.1. Dataset Preparation
- Form an matrix from the original data after min-max normalization;
- Perform zero-mean normalization on each row of (representing a feature), i.e., subtract the mean of each row to obtain the zero-mean matrix ;
- Compute the covariance matrix ;
- Calculate the eigenvalues of and their corresponding eigenvectors;
- Arrange the eigenvectors into a matrix in descending order based on their corresponding eigenvalues, and select the top rows to form the matrix ;
- which represents the data reduced to R-dimensional space.
2.5.2. Classifier Selection and Training
| Algorithm 1: Fatigue Detection Using Machine Learning | |
| (Raw features: AVNN, SDNN, RMSSD, pNN50, HR, LF, HF, LF/HF, LF (n.u.), HF (n.u.)) | |
| 1: | ) // Min-max normalization |
| 2: | X_selected ← SignificanceAnalysis (X_norm) // Select key features |
| 3: | X_PCA ← PCA (X_selected, variance = 95%) // PCA retaining 95% variance |
| 4: | TrainSet, TestSet ← Split (X_PCA, ratio = 0.75) // Split dataset |
| 5: | for clf ∈ {BPNN, SVM, KNN, DT} do |
| 6: | Hyperparams ← Tune(clf) // Hyperparameter tuning |
| 7: | Model ← Train (clf, TrainSet, Hyperparams) // Train classifier |
| 8: | Accuracy[clf] ← Evaluate (Model, TestSet) // Test classifier |
| 9: | end for |
| 10: | ← argmax(Accuracy) // Select best-performing classifier |
| 11: | ) // Deploy the selected model |
3. Results
3.1. ECG Signal Preprocessing and R-Wave Detection Results
3.1.1. Signal Filtering Results
3.1.2. R-Wave Detection Results
3.2. HRV Features Analysis
3.2.1. HRV Features Trend Analysis
- AVNN and HR: the two are linearly correlated. After driving, the AVNN slightly increases, and the HR slightly decreases. However, due to individual differences, their correlation with the fatigue state is weak;
- SDNN, RMSSD, and pNN50: these time-domain metrics decrease, indicating a reduction in short-term fluctuations in the RR intervals and a decline in overall HRV variability, reflecting deepening fatigue in the volunteers;
- LF and LF (n.u.): with the onset of fatigue, LF and its normalized index LF (n.u.) show a significant increase, suggesting that the ANS is attempting to counteract fatigue by enhancing the sympathetic activity;
- HF and HF (n.u.): high-frequency power HF and its normalized index decrease in the fatigue state, indicating reduced parasympathetic activity and acetylcholine release, which helps maintain a relatively high heart rate;
- LF/HF: this ratio is significantly elevated in the fatigue state, demonstrating that the sympatho-vagal balance is affected, reflecting rhythm adjustments in the ANS under fatigue.
3.2.2. Significance Analysis of HRV Features
3.3. Gender Differences in HRV
3.3.1. Comparison of HRV Feature Trends
- AVNN and HR: in the fatigue state, males show higher AVNN values compared to the alert state, while HR exhibits an opposite trend; the difference between the two states is minimal for females;
- SDNN, RMSSD, and pNN50: in the fatigue state, these three time-domain features for males show a significant decrease, whereas changes in females are more irregular, with some features, such as SDNN and pNN50, even increasing in the fatigue state;
- LF, LF (n.u.), and LF/HF: these three frequency-domain features increase in both the male and female fatigued groups, with a more pronounced increase in males;
- HF and HF (n.u.): in the fatigue state, high-frequency features show a decreasing trend in both genders, with a greater decline observed in males.
3.3.2. Gender Differences in Significance Analysis
3.4. Machine Learning Classifier Evaluation and Deployment
3.4.1. PCA Results
3.4.2. Evaluation Results of Machine Learning Classifiers
3.4.3. Embedded Deployment of the Optimal Model
4. Discussion
5. Conclusions
Author Contributions
Funding
Data Availability Statement
Acknowledgments
Conflicts of Interest
References
- Study: Fatalities Due to Drowsiness 10× Higher Than Reported. Available online: https://newsroom.acg.aaa.com/study-fatalities-due-to-drowsiness-10x-higher-than-reported (accessed on 18 December 2024).
- Measures for the Administration of Penalty Points for Road Traffic Safety Offenses. Available online: https://www.gov.cn/gongbao/content/2022/content_5679697.html (accessed on 4 November 2024).
- Regulation (EC) No 561/2006 of the European Parliament and of the Council. Available online: https://eur-lex.europa.eu/legal-content/EN/TXT/?uri=CELEX%3A32006R0561 (accessed on 4 November 2024).
- Summary of Hours of Service Regulations. Available online: https://www.fmcsa.dot.gov/regulations/hours-service/summary-hours-service-regulations (accessed on 4 November 2024).
- Fu, S.; Yang, Z.; Ma, Y.; Li, Z.; Xu, L.; Zhou, H. Advancements in the intelligent detection of driver fatigue and distraction: A comprehensive review. Appl. Sci. 2024, 14, 3016. [Google Scholar] [CrossRef]
- El-Nabi, S.A.; El-Shafai, W.; El-Rabaie, E.S.M.; Ramadan, K.F.; Abd El-Samie, F.E.; Mohsen, S. Machine learning and deep learning techniques for driver fatigue and drowsiness detection: A review. Multimed. Tools Appl. 2024, 83, 9441–9477. [Google Scholar] [CrossRef]
- Fu, B.; Boutros, F.; Lin, C.T.; Damer, N. A survey on drowsiness detection—Modern applications and methods. IEEE Trans. Intell. Veh. 2024; Early Access. [Google Scholar]
- Gwak, J.; Hirao, A.; Shino, M. An Investigation of Early Detection of Driver Drowsiness Using Ensemble Machine Learning Based on Hybrid Sensing. Appl. Sci. 2020, 10, 2890. [Google Scholar] [CrossRef]
- Zhao, L.; Li, M.; He, Z.; Ye, S.; Qin, H.; Zhu, X.; Dai, Z. Data-driven learning fatigue detection system: A multimodal fusion approach of ECG (electrocardiogram) and video signals. Measurement 2022, 201, 111648. [Google Scholar] [CrossRef]
- Du, G.; Long, S.; Li, C.; Wang, Z.; Liu, P.X. A product fuzzy convolutional network for detecting driving fatigue. IEEE Trans. Cybern. 2022, 53, 4175–4188. [Google Scholar] [CrossRef] [PubMed]
- Shi, J.; Wang, K. Fatigue driving detection method based on time-space-frequency features of multimodal signals. Biomed. Signal Process. Control 2023, 84, 104744. [Google Scholar] [CrossRef]
- He, C.; Xu, P.; Pei, X.; Wang, Q.; Yue, Y.; Han, C. Fatigue at the wheel: A non-visual approach to truck driver fatigue detection by multi-feature fusion. Accid. Anal. Prev. 2024, 199, 107511. [Google Scholar] [CrossRef]
- Zhang, N.; Zhang, Z.; Ma, C.; Yang, Z.; Zhang, S.; Wu, J. Fatigue driving state detection for tanker truck drivers based on multi-feature fusion. In Proceedings of the Fourth International Conference on Smart City Engineering and Public Transportation, Beijing, China, 26–28 January 2024; Volume 13160, pp. 225–232. [Google Scholar]
- Ansari, S.; Du, H.; Naghdy, F.; Stirling, D. Automatic driver cognitive fatigue detection based on upper body posture variations. Expert Syst. Appl. 2022, 203, 117568. [Google Scholar] [CrossRef]
- Zhu, T.; Zhang, C.; Wu, T.; Ouyang, Z.; Li, H.; Na, X.; Liang, J.; Li, W. Research on a Real-Time Driver Fatigue Detection Algorithm Based on Facial Video Sequences. Appl. Sci. 2022, 12, 2224. [Google Scholar] [CrossRef]
- Lu, Y.; Liu, C.; Chang, F.; Liu, H.; Huan, H. JHPFA-Net: Joint head pose and facial action network for driver yawning detection across arbitrary poses in videos. IEEE Trans. Intell. Transp. Syst. 2023, 24, 11850–11863. [Google Scholar] [CrossRef]
- Yi, Y.; Zhang, H.; Zhang, W.; Yuan, Y.; Li, C. Fatigue working detection based on facial multifeature fusion. IEEE Sens. J. 2023, 23, 5956–5961. [Google Scholar] [CrossRef]
- Li, X.; Lin, H.; Du, J.; Yang, Y. Computer vision-based driver fatigue detection framework with personalization threshold and multi-feature fusion. Signal Image Video Process. 2024, 18, 505–514. [Google Scholar] [CrossRef]
- Davanathan, S.; Taujuddin, N.S.A.M.; Sari, S. Driving fatigue detection system using Haar cascade technique. Evol. Electr. Electron. Eng. 2024, 5, 436–442. [Google Scholar]
- Demestichas, K.; Alexakis, T.; Peppes, N.; Adamopoulou, E. Comparative analysis of machine learning-based approaches for anomaly detection in vehicular data. Vehicles 2021, 3, 171–186. [Google Scholar] [CrossRef]
- Guo, H.; Weng, J.; Lin, C. An adaptive fatigue driving detection method based on BP-SVM. In Proceedings of the International Conference of Transportation Professionals (CICTP 2023), Beijing, China, 14–17 July 2023; pp. 1246–1255. [Google Scholar]
- Harvy, J.; Bezerianos, A.; Li, J. Reliability of EEG measures in driving fatigue. IEEE Trans. Neural Syst. Rehabil. Eng. 2022, 30, 2743–2753. [Google Scholar] [CrossRef] [PubMed]
- Subasi, A.; Saikia, A.; Bagedo, K.; Singh, A.; Hazarika, A. EEG-based driver fatigue detection using FAWT and multiboosting approaches. IEEE Trans. Ind. Inf. 2022, 18, 6602–6609. [Google Scholar] [CrossRef]
- Chen, C.; Ji, Z.; Sun, Y.; Bezerianos, A.; Thakor, N.; Wang, H. Self-attentive channel-connectivity capsule network for EEG-based driving fatigue detection. IEEE Trans. Neural Syst. Rehabil. Eng. 2023, 31, 3152–3162. [Google Scholar] [CrossRef] [PubMed]
- Li, Q.; Luo, Z.; Qi, R.; Zheng, J. Automatic searching of lightweight and high-performing CNN architectures for EEG-based driving fatigue detection. IEEE Trans. Instrum. Meas. 2024, 73, 1–11. [Google Scholar] [CrossRef]
- Hu, F.; Zhang, L.; Yang, X.; Zhang, W.A. EEG-based driver fatigue detection using spatio-temporal fusion network with brain region partitioning strategy. IEEE Trans. Intell. Transp. Syst. 2024, 25, 9618–9630. [Google Scholar] [CrossRef]
- Zhao, P.; Lian, C.; Xu, B.; Zeng, Z. Multiscale global prompt transformer for EEG-based driver fatigue recognition. IEEE Trans. Autom. Sci. Eng. 2024; Early Access. [Google Scholar]
- Garcia-Perez, S.; Rodríguez, M.D.; Lopez-Nava, I.H. Towards recognition of driver drowsiness states by using ECG signals. In Proceedings of the International Conference on Ubiquitous Computing and Ambient Intelligence, Córdoba, Spain, 29 November–2 December 2022; pp. 369–380. [Google Scholar]
- Halomoan, J.; Ramli, K.; Sudiana, D.; Gunawan, T.S.; Salman, M. A New ECG Data Processing Approach to Developing an Accurate Driving Fatigue Detection Framework with Heart Rate Variability Analysis and Ensemble Learning. Information 2023, 14, 210. [Google Scholar] [CrossRef]
- Wang, F.; Yao, W.; Lu, B.; Fu, R. ECG-based real-time drivers’ fatigue detection using a novel elastic dry electrode. IEEE Trans. Instrum. Meas. 2024, 73, 1–16. [Google Scholar] [CrossRef]
- Sun, W.; Jiang, W.; Li, C.; Si, Y.; Li, S.; Guo, M.; Song, H. Study on identification method of driver fatigue considering individual ECG differences. Cogn. Technol. Work 2024, 26, 301–312. [Google Scholar] [CrossRef]
- Mahmood, H.R.; Irshayyid, M.S.; Hussien, M.K. Measuring the fatigue of persons based on EOG signal processing methods. In Proceedings of the International Conference on Engineering Technology and Its Applications, Al-Najaf, Iraq, 31 May–1 June 2022; pp. 283–288. [Google Scholar]
- Murugan, S.; Sivakumar, P.K.; Kavitha, C.; Harichandran, A.; Lai, W.-C. An Electro-Oculogram (EOG) Sensor’s Ability to Detect Driver Hypovigilance Using Machine Learning. Sensors 2023, 23, 2944. [Google Scholar] [CrossRef] [PubMed]
- Das, A.K.; Kumar, P.; Halder, S.; Metia, S. A statistical approach for investigation and comparison of fatigue and drowsiness based on complexity parameters of EOGs. Int. J. Image Graph. Signal Process. 2023, 15, 39–59. [Google Scholar]
- Das, A.K.; Kumar, P.; Halder, S. Complexity analysis of ocular signal for detection of human fatigue using small datasets. Procedia Comput. Sci. 2023, 218, 858–866. [Google Scholar] [CrossRef]
- Rahman, N.A.; Mustafa, M.; Sulaiman, N.; Samad, R.; Abdullah, N.R.H. EMG signal segmentation to predict driver’s vigilance state. In Proceedings of the Human Engineering Symposium, Pekan, Pahang, Malaysia, August 2020; pp. 29–42. [Google Scholar]
- Mohanavelu, K.; Lamshe, R.; Poonguzhali, S.; Adalarasu, K.; Jagannath, M. Assessment of human fatigue during physical performance using physiological signals: A review. Biomed. Pharmacol. J. 2017, 10, 1887–1896. [Google Scholar] [CrossRef]
- Niermann, D.; Trende, A.; Ihme, K.; Drewitz, U.; Hollander, C.; Hartwich, F. An integrated model for user state detection of subjective discomfort in autonomous vehicles. Vehicles 2021, 3, 764–777. [Google Scholar] [CrossRef]
- Freitas, A.; Almeida, R.; Gonçalves, H.; Conceição, G.; Freitas, A. Monitoring fatigue and drowsiness in motor vehicle occupants using electrocardiogram and heart rate: A systematic review. Transp. Res. Part F Traffic Psychol. Behav. 2024, 103, 586–607. [Google Scholar] [CrossRef]
- Apparies, R.J.; Riniolo, T.C.; Porges, S.W. A psychophysiological investigation of the effects of driving longer-combination vehicles. Ergonomics 1998, 41, 581–592. [Google Scholar] [CrossRef]
- Shaffer, F.; Ginsberg, J.P. An overview of heart rate variability metrics and norms. Front. Public Health 2017, 5, 258. [Google Scholar] [CrossRef]
- Everything You Need to Know About Heart Rate Variability (HRV). Available online: https://www.whoop.com/us/en/thelocker/heart-rate-variability-hrv/ (accessed on 4 November 2024).
- How To Improve Your HRV (Heart Rate Variability). Available online: https://ouraring.com/blog/improve-hrv/ (accessed on 4 November 2024).
- Understanding HRV Status on Your Garmin Device. Available online: https://www.garmin.com.sg/minisite/garmin-technology/health-science/hrv-status/ (accessed on 4 November 2024).
- Fitbit Community. Available online: https://community.fitbit.com/t5/Community/ct-p/EN (accessed on 4 November 2024).
- Monitor Heart Rate with Apple Watch. Available online: https://support.apple.com/en-us/120277 (accessed on 4 November 2024).
- Warden, P.; Situnayake, D. TinyML: Machine Learning with TensorFlow Lite on Arduino and Ultra-Low-Power Microcontrollers; O’Reilly Media: Sebastopol, CA, USA, 2019; p. 3. [Google Scholar]
- Pomoni, M. Exploring smart tires as a tool to assist safe driving and monitor tire–road friction. Vehicles 2022, 4, 744–765. [Google Scholar] [CrossRef]
- Reddy, B.; Kim, Y.H.; Yun, S.; Seo, C.; Jang, J. Real-time driver drowsiness detection for embedded system using model compression of deep neural networks. In Proceedings of the IEEE Conference on Computer Vision and Pattern Recognition Workshops, Honolulu, HI, USA, 21–26 July 2017; pp. 121–128. [Google Scholar]
- Sahin, M.E. Real-time driver drowsiness detection and classification on embedded systems using machine learning algorithms. Trait. Signal 2023, 40, 847. [Google Scholar] [CrossRef]
- Abirami, A.; Bhuvaneswari, S.; Vishnuvardhan, M.; Karthik, Y.; Shankar, S. An in-depth exploration of advanced driver drowsiness detection systems for enhanced road safety. In Proceedings of the International Conference on Computer, Communication and Control, Indore, India, 8–10 February 2024; pp. 1–6. [Google Scholar]
- Peng, Z.; Wang, G. A novel ECG eigenvalue detection algorithm based on wavelet transform. Biomed. Res. Int. 2017, 2017, 5168346. [Google Scholar] [CrossRef] [PubMed]
- Kher, R. Signal processing techniques for removing noise from ECG signals. J. Biomed. Eng. Res. 2019, 3, 1–9. [Google Scholar]
- Pan, J.; Tompkins, W.J. A real-time QRS detection algorithm. IEEE Trans. Biomed. Eng. 1985, 3, 230–236. [Google Scholar] [CrossRef] [PubMed]
- Welch, P. The use of fast Fourier transform for the estimation of power spectra: A method based on time averaging over short, modified periodograms. IEEE Trans. Audio Electroacoust. 1967, 15, 70–73. [Google Scholar] [CrossRef]
- Åkerstedt, T.; Gillberg, M. Subjective and objective sleepiness in the active individual. Int. J. Neurosci. 1990, 52, 29–37. [Google Scholar] [CrossRef] [PubMed]
- Deng, Z.; Gao, Y.; Li, T. Comparison on driving fatigue related hemodynamics activated by auditory and visual stimulus. In Proceedings of the Clinical and Translational Neurophotonics, San Francisco, CA, USA, 27–28 January 2018; Volume 10480, pp. 56–61. [Google Scholar]
- Mueller, S.T.; Piper, B.J. The psychology experiment building language (PEBL) and PEBL test battery. J. Neurosci. Methods 2014, 222, 250–259. [Google Scholar] [CrossRef] [PubMed]
- STM32Cube Initialization Code Generator. Available online: https://www.st.com/en/development-tools/stm32cubemx.html (accessed on 7 November 2024).
- How Driver Alert Control Works. Available online: https://www.crestvolvocars.com/blog/2017/march/28/how-driver-alert-control-works.htm (accessed on 27 December 2024).
- How do I use the Driver Alert System * in my Ford? Available online: https://www.ford.com/support/how-tos/ford-technology/driver-assist-features/how-do-i-use-the-driver-alert-system/ (accessed on 27 December 2024).
- Driver Drowsiness Detection. Available online: https://www.bosch-mobility.com/en/solutions/assistance-systems/driver-drowsiness-detection/ (accessed on 27 December 2024).
















| Features Name | Description | Calculation Formula | Unit | Physiological Interpretation |
|---|---|---|---|---|
| AVNN | Mean RR interval | ms | Basic heart rhythm regulation | |
| SDNN | Standard deviation of RR intervals | ms | Sympathetic and parasympathetic influence | |
| RMSSD | Root mean square of successive differences of RR intervals | ms | Parasympathetic activity | |
| pNN50 | Percentage of adjacent RR intervals with difference >50 m | Parasympathetic regulation | ||
| HR | Average heart rate | bpm | Vagal activity |
| Features Name | Description | Calculation Formula | Unit | Physiological Interpretation |
|---|---|---|---|---|
| LF | Low-frequency power | s²/Hz | Sympathetic and parasympathetic activity | |
| HF | High-frequency power | s²/Hz | Parasympathetic activity | |
| LF/HF | Ratio of low to high-frequency power | Sympatho-vagal balance | ||
| LF (n.u.) | Normalized low frequency power | Relative power of sympathetic activity | ||
| HF (n.u.) | Normalized high frequency power | Relative power of parasympathetic (vagal) activity |
| Attributes | Male (Mean ± SD) | Female (Mean ± SD) |
|---|---|---|
| age | 23.1 ± 1.1 (year) | 23.2 ± 1.2 (year) |
| height | 177.0 ± 5.8 (cm) | 165.1 ± 5.4 (cm) |
| weight | 67.4 ± 10.3 (kg) | 52.4 ± 4.8 (kg) |
| HRV Features | F-Value | p-Value | Sig-Value |
|---|---|---|---|
| AVNN * | 0.410 | −0.110 | 0.014 |
| SDNN ** | 4.156 | −0.127 | 0.005 |
| RMSSD ** | 9.216 | −0.321 | 0.000 |
| pNN50 ** | 7.843 | −0.258 | 0.000 |
| LF | 1.175 | 0.06 | 0.180 |
| HF | 0.276 | 0.036 | 0.420 |
| LF/HF ** | 6.707 | 0.300 | 0.000 |
| HR ** | 0.098 | 0.138 | 0.002 |
| LF (n.u.) ** | 84.376 | 0.748 | 0.000 |
| HF (n.u.) ** | 84.376 | −0.748 | 0.000 |
| HRV Features | Female | Male | ||
|---|---|---|---|---|
| p-Value | Sig-Value | p-Value | Sig-Value | |
| AVNN | −0.259 ** | 0.000 | 0.009 | 0.893 |
| SDNN | −0.086 | 0.165 | −0.151 * | 0.021 |
| RMSSD | −0.381 ** | 0.000 | −0.303 ** | 0.000 |
| pNN50 | −0.249 ** | 0.000 | −0.289 ** | 0.000 |
| LF | 0.151 * | 0.015 | 0.092 | 0.161 |
| HF | −0.417 ** | 0.000 | 0.058 | 0.377 |
| LF/HF | 0.641 ** | 0.000 | 0.272 ** | 0.000 |
| HR | 0.255 ** | 0.000 | 0.014 | 0.836 |
| LF (n.u.) | 0.750 ** | 0.000 | 0.751 ** | 0.000 |
| HF (n.u.) | −0.750 ** | 0.000 | −0.751 ** | 0.000 |
| Number of Components | Initial Eigenvalue | ||
|---|---|---|---|
| Total | Percentage of Variance | Cumulative Percentage | |
| 1 | 3.829 | 38.292 | 38.292 |
| 2 | 2.285 | 22.847 | 61.139 |
| 3 | 1.718 | 17.176 | 78.315 |
| 4 | 1.033 | 10.332 | 88.648 |
| 5 | 0.671 | 6.713 | 95.360 |
| 6 | 0.229 | 2.286 | 97.646 |
| 7 | 0.171 | 1.713 | 99.359 |
| 8 | 0.052 | 0.520 | 99.879 |
| 9 | 0.012 | 0.121 | 100.000 |
| 10 | −4.749 × 10−16 | −4.749 × 10−15 | 100.000 |
| Classifier | Without PCA | With PCA |
|---|---|---|
| BPNN | 90.31% | 94.35% |
| SVM | 89.52% | 91.13% |
| KNN | 93.55% | 93.55% |
| DT | 93.35% | 87.10% |
| Ref. and Year | Classification Methods | Data Type/Dataset | Experiment Environment | Number of Subjects | Dataset Size | Gender Difference Analysis | Accuracy (%) | Portability | Cost |
|---|---|---|---|---|---|---|---|---|---|
| Gwak et al., 2020 [8] | Random Forest | EEG, ECG, vehicle data, etc. | simulated driving | 16 | 2847 | no | 82.4% (slightly drowsy) | low | high |
| Du et al., 2022 [10] | Product Fuzzy Convolutional Network (PFCN) | EEG, ECG | simulated & real driving | 20 | N/A | no | 94.19 | low | high |
| Zhang et al., 2024 [13] | Random Forest | vehicle data, eye-tracking data, heartbeat intervals, etc. | real driving | 18 | 548,988 data points | no | 92.6 | low | high |
| Garcia-Perez et al., 2022 [28] | KNN | HRV (ECG) | simulated driving | 12 | 1080 | no | 76.5 | medium | medium |
| Halomoan et al., 2023 [29] | Random forest | HRV (ECG) | simulated driving | 11 | 23.59 min/subject | no | 86.36 | medium | medium |
| Wang et al., 2023 [30] | statistical methods | HRV (ECG) | simulated driving | 16 | 560 min | no | 96.88 (average) | high | medium |
| Sun et al., 2024 [31] | SVM (RBF kernel) | HRV (ECG) | simulated driving | 12 | 1224 | no | 87.04 | medium | medium |
| ours | BPNN | HRV (ECG) | simulated driving | 18 | 496 (29,760,000 data points) | yes | 94.35 | high | low |
Disclaimer/Publisher’s Note: The statements, opinions and data contained in all publications are solely those of the individual author(s) and contributor(s) and not of MDPI and/or the editor(s). MDPI and/or the editor(s) disclaim responsibility for any injury to people or property resulting from any ideas, methods, instructions or products referred to in the content. |
© 2025 by the authors. Licensee MDPI, Basel, Switzerland. This article is an open access article distributed under the terms and conditions of the Creative Commons Attribution (CC BY) license (https://creativecommons.org/licenses/by/4.0/).
Share and Cite
Lin, C.; Zhu, X.; Wang, R.; Zhou, W.; Li, N.; Xie, Y. Early Driver Fatigue Detection System: A Cost-Effective and Wearable Approach Utilizing Embedded Machine Learning. Vehicles 2025, 7, 3. https://doi.org/10.3390/vehicles7010003
Lin C, Zhu X, Wang R, Zhou W, Li N, Xie Y. Early Driver Fatigue Detection System: A Cost-Effective and Wearable Approach Utilizing Embedded Machine Learning. Vehicles. 2025; 7(1):3. https://doi.org/10.3390/vehicles7010003
Chicago/Turabian StyleLin, Chengyou, Xinying Zhu, Renpeng Wang, Wei Zhou, Na Li, and Yu Xie. 2025. "Early Driver Fatigue Detection System: A Cost-Effective and Wearable Approach Utilizing Embedded Machine Learning" Vehicles 7, no. 1: 3. https://doi.org/10.3390/vehicles7010003
APA StyleLin, C., Zhu, X., Wang, R., Zhou, W., Li, N., & Xie, Y. (2025). Early Driver Fatigue Detection System: A Cost-Effective and Wearable Approach Utilizing Embedded Machine Learning. Vehicles, 7(1), 3. https://doi.org/10.3390/vehicles7010003

