The Study of the Balancing Process for Starting Rotors in Heavy-Duty Vehicles: An Industrial Application
Abstract
1. Introduction
2. Methodology
2.1. Armature Manufacturing Procedure
2.2. Unbalance Measurement Equipment
2.3. Unbalance Mathematical Computation
3. Results and Discussion
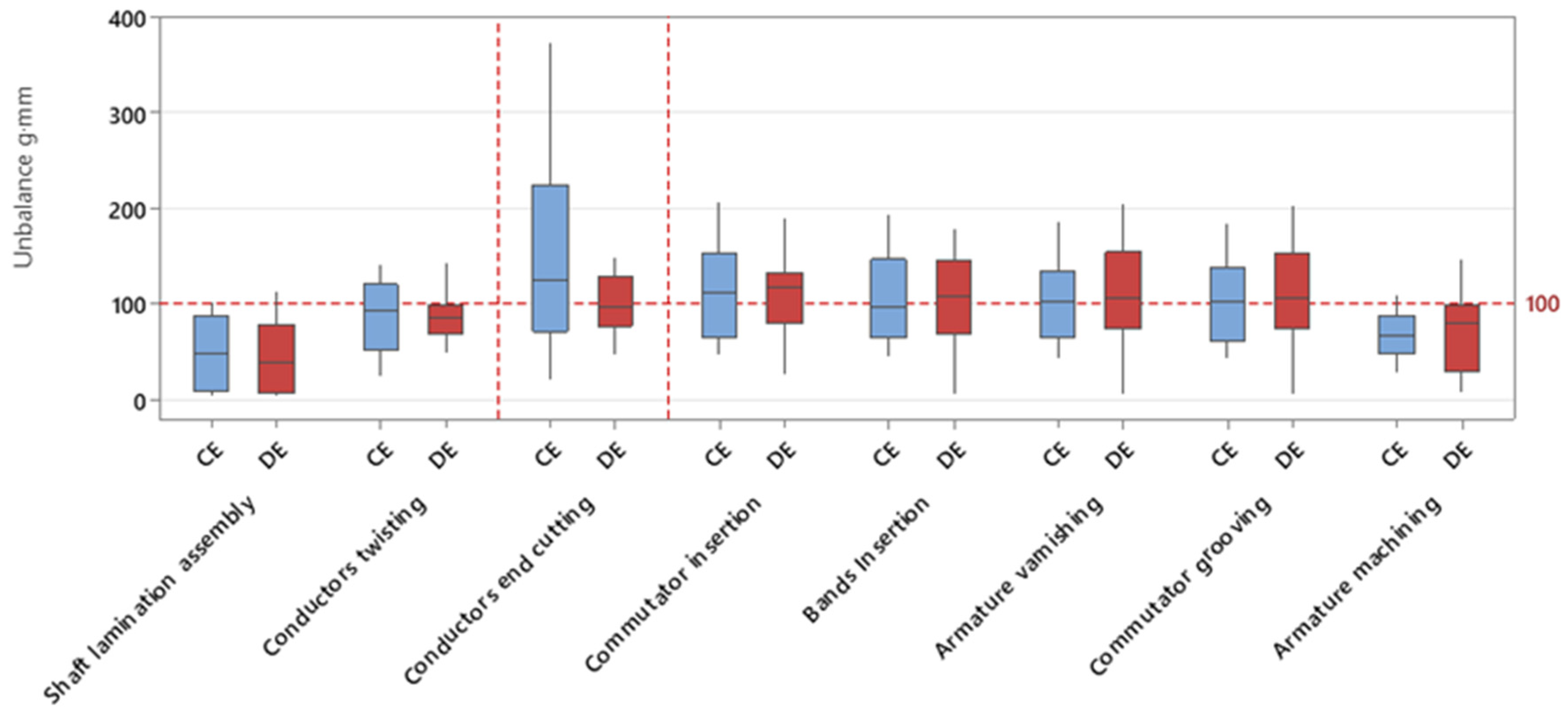
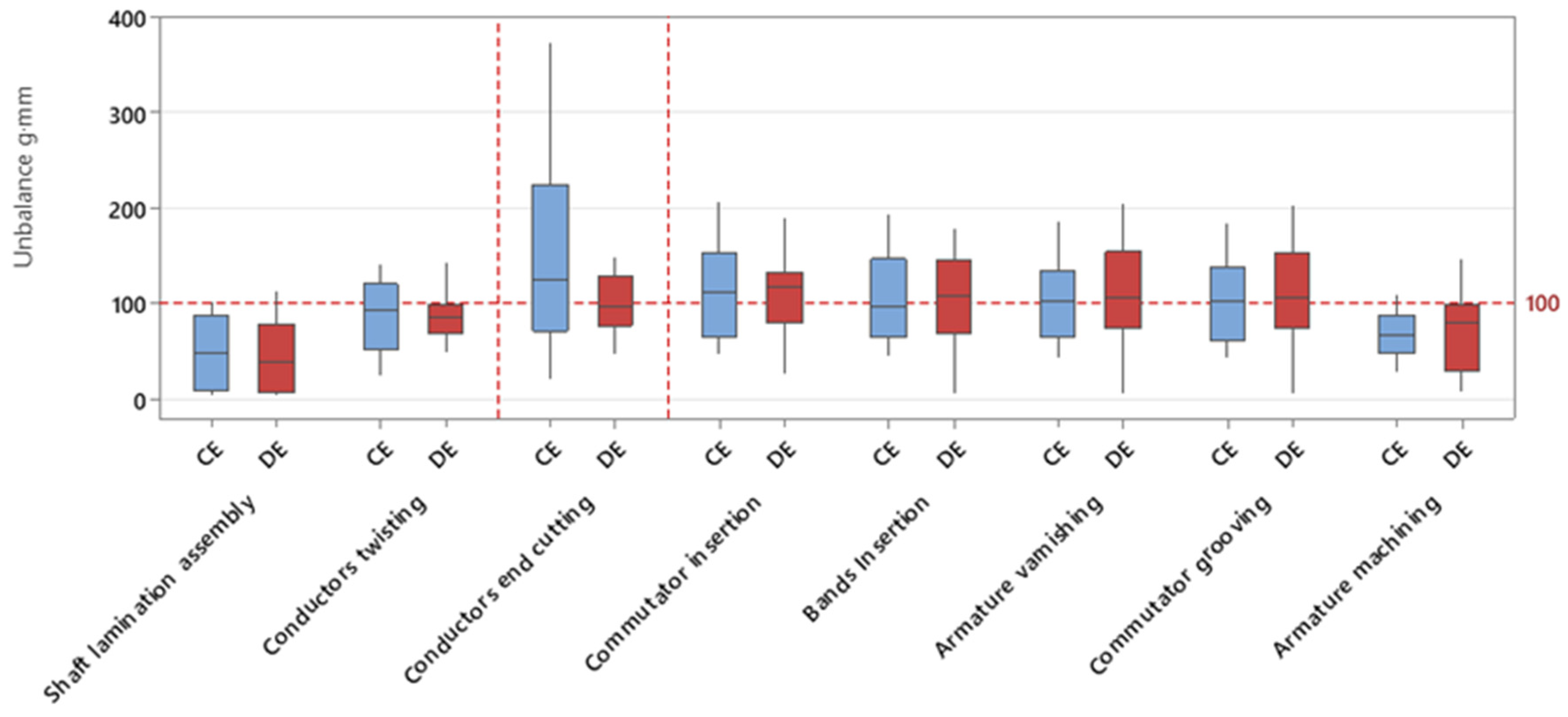
3.1. Analysis of Results before the Alignment Tool Implementing
3.2. General Analysis of the Armature Unbalanced Process
3.3. Design of the Alignment Tool
Rotational Dynamics Analysis of the Alignment Tool
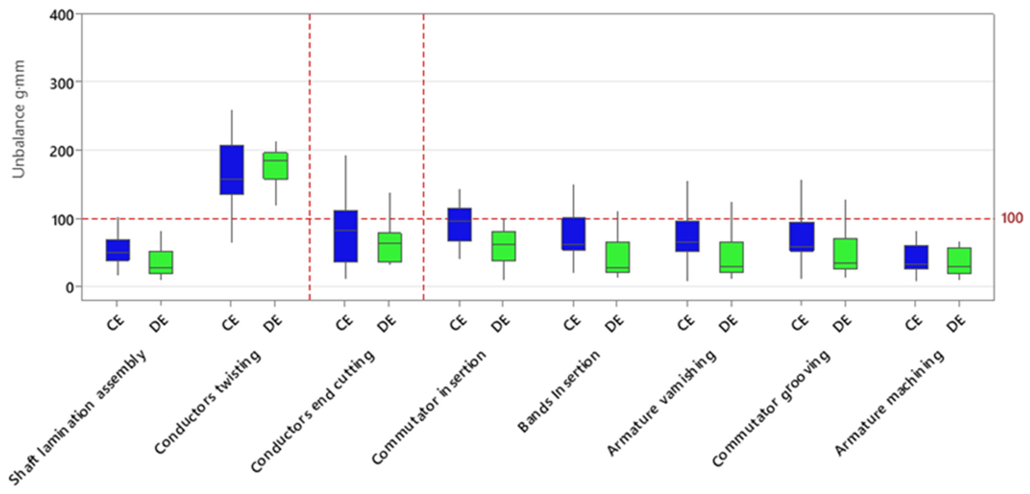
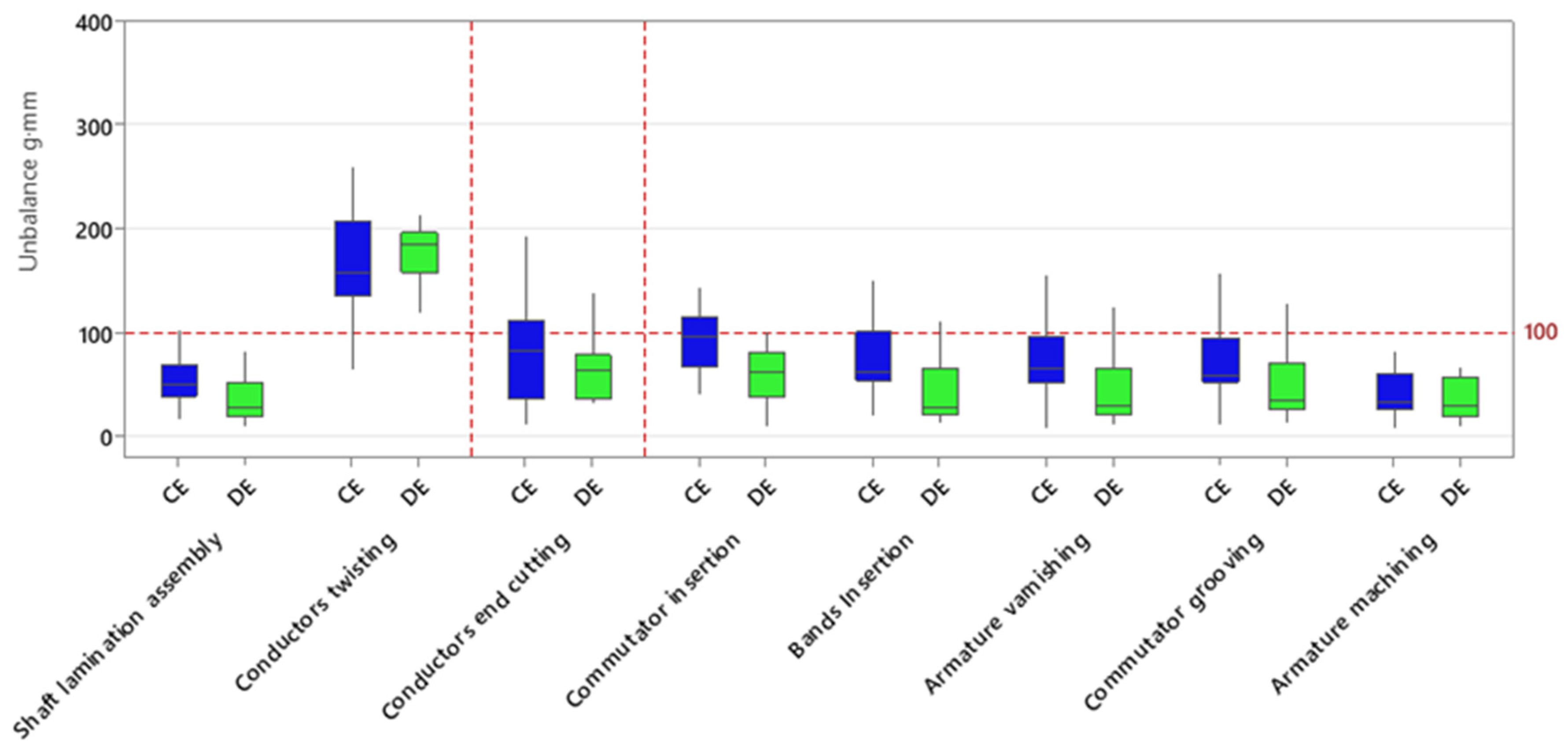
3.4. Analysis of Results after the Alignment Tool Implementing
4. Conclusions
Author Contributions
Funding
Data Availability Statement
Acknowledgments
Conflicts of Interest
References
- Li, L.; Cao, S.; Li, J.; Nie, R.; Hou, L. Review of Rotor Balancing Methods. Machines 2021, 9, 89. [Google Scholar] [CrossRef]
- Monroy, M.; Romero, C.A.; Henao, E.D.J. Considerations for starting combustion engines with AC machines. Diagnostyka 2023, 24, 15748. [Google Scholar] [CrossRef]
- Bu, F.; Liu, H.; Huang, W.; Hu, Y.; Degano, M.; Gerada, C.; Rajashekara, K. Induction-Machine-Based Starter/Generator Systems: Techniques, Developments, and Advances. IEEE Ind. Electron. Mag. 2020, 14, 4–19. [Google Scholar] [CrossRef]
- Midya, M.; Ganguly, P.; Datta, T.; Chattopadhyay, S. ICA-Feature-Extraction-Based Fault Identification of Vehicular Starter Motor. IEEE Sens. Lett. 2023, 7, 6001104. [Google Scholar] [CrossRef]
- Sánchez Gutiérrez, M. Mantenimiento del Sistema de Arranque del Motor del Vehículo (MF0626_2); IC Editorial: Antequera, Spain, 2014. [Google Scholar]
- Michelotti, A.; Silva, J. Design innovation in dynamic coupling of starting system for internal combustion engines. J. Braz. Soc. Mech. Sci. Eng. 2016, 38, 177–188. [Google Scholar] [CrossRef]
- Ye, C.; Du, K.; Liu, K.; Zhang, J.; Xiang, Y.; Qin, L. Design and Analysis of a Novel Integrated Starter-Generator Based on Brush DC Motor. In Proceedings of the 2021 IEEE 4th Student Conference on Electric Machines and Systems (SCEMS), Huzhou, China, 1–3 December 2021; pp. 1–7. [Google Scholar] [CrossRef]
- Xu, B.; Zang, C.; Zhang, G. Robust tolerance design for rotor dynamics based on possibilistic concepts. Arch. Appl. Mech. 2022, 92, 755–770. [Google Scholar] [CrossRef]
- ISO 21940-11; Mechanical Vibration—Rotor Balancing. International Organization for Standardization: Geneva, Switzerland, 2016.
- Paramasivam, A.; Vidhushini, P.; Srinivasan, S.P.; Arunprakash, N.; Kakulapati, V. Manufacturing Process Rejection Analysis of Heavy Duty Gear Reduction Starter Motor. Mater. Today Proc. 2022, 59, 1295–1300. [Google Scholar] [CrossRef]
- Scheffer, C.; Girdhar, P. Correcting Faults that Cause Vibration. In Practical Machinery Vibration Analysis and Predictive Maintenance, 1st ed.; Mackay, S., Ed.; Elsevier: London, UK, 2004; pp. 134–144. [Google Scholar]
- Zhang, X.; Zhang, B. Analysis of Magnetic Forces in Axial-Flux Permanent-Magnet Motors with Rotor Eccentricity. Math. Probl. Eng. 2021, 2021, 7683715. [Google Scholar] [CrossRef]
- Lawson, V.; Phister, M.; Rogers, C. Automated Rotor Assembly CNC Machine. In Proceedings of the 2020 Systems and Information Engineering Design Symposium (SIEDS), Charlottesville, VA, USA, IEEE, 24–24 April 2020; pp. 1–5. [Google Scholar] [CrossRef]
- ISO 1940-1; Mechanical Vibration—Balance Quality Requirements for Rotors in a Constant (Rigid) State—Specification and Verification of Balance Tolerances. International Organization for Standardization: Geneva, Switzerland, 2003.
- Yang, Y.; Yang, Y.; Cao, D.; Chen, G.; Jin, Y. Response Evaluation of Imbalance-Rub-Pedestal Looseness Coupling Fault on a Geometrically Non-linear Rotor System. Mech. Syst. Signal Process. 2019, 118, 423–442. [Google Scholar] [CrossRef]
- Bin, G.; Li, X.; Shen, Y.; Wang, W. Development of Whole-Machine High-Speed Balance Approach for Turbomachinery Shaft System with N + 1 Supports. Meas. J. Int. Meas. Confed. 2018, 123, 68–379. [Google Scholar] [CrossRef]
- Zhao, S.; Ren, X.; Deng, W.; Lu, K.; Yang, Y.; Fu, C. A Transient, Characteristic-Based Balancing Method of Rotor System without Trail Weights. Mech. Syst. Signal Process. 2021, 148, 107117. [Google Scholar] [CrossRef]
- Thanh, L.T.; Thien, N.D.; Chi, C.L. Study on the Applicability of Influence Coefficient Method Combined with Vector Analysis in Dynamic Balancing Rigid Rotor Using Flexible Supports. In Proceedings of the 2018 4th International Conference on Green Technology and Sustainable Development (GTSD), Ho Chi Minh City, Vietnam, 23–24 November 2018; pp. 228–231. [Google Scholar] [CrossRef]
- Diouf, P.; Herbert, W. Understanding Rotor Balance for Electric Motors. In Proceedings of the Conference Record of 2014 Annual Pulp and Paper Industry Technical Conference, Atlanta, GA, USA, 22–26 June 2014; pp. 7–17. [Google Scholar] [CrossRef]
- Medellin, H.I.; Mendoza, E.A. Dynamic Balancing Analysis of the Armature in an Automobile Starting Motor: An Industrial Case Study. ASME Int. Mech. Eng. Congr. Expo. 2011, 3, 621–628. [Google Scholar] [CrossRef]
- Sun, C.; Hu, M.; Liu, Y.; Zhang, M.; Liu, Z.; Chen, D.; Tan, J. A Method to Control the Amount of Unbalance Propagation in Precise Cylindrical Components Assembly. Proc. Inst. Mech. Eng. Part B J. Eng. Manuf. 2019, 233, 2458–2468. [Google Scholar] [CrossRef]
- Tseng, C.Y.; Shih, T.W.; Lin, J.T. Dynamic balancing scheme for motor armatures. J. Sound Vib. 2007, 304, 110–123. [Google Scholar] [CrossRef]
- Montgomery, D.C. Control charts for Variables. In Introduction to Statistical Quality Control, 6th ed.; Dumas, S., Ed.; John Wiley & Sons: Hoboken, NJ, USA, 2009; pp. 226–230. [Google Scholar]
- Darlow, M.S. Influence Coefficient Balancing. Balancing of High-Speed Machinery, 1st ed.; Ling, F.F., Ed.; Springer: New York, NY, USA, 1989; pp. 81–106. [Google Scholar]
- Park, Y.; Fernández, D.; Lee, S.; Hyun, D.; Jeong, M.; Kommuri, S.; Cho, C.; Reigosa, D.; Briz, F. Online Detection of Rotor Eccentricity and Demagnetization Faults in PMSMs Based on Hall-Effect Field Sensor Measurements. IEEE Trans. Ind. Appl. 2019, 55, 2499–2509. [Google Scholar] [CrossRef]
- Zhao, B.; Yuan, Q.; Li, P. Improvement of the Vibration Performance of Rod-Fastened Rotor by Multioptimization on the Distribution of Original Bending and Unbalance. J. Mech. Sci. Technol. 2020, 34, 83–95. [Google Scholar] [CrossRef]
- Shrivastava, A.; Mohanty, A.R. Identification of Unbalance in a Rotor-Bearing System Using Kalman Filter–Based Input Estimation Technique. JVC/J. Vib. Control. 2020, 26, 1081–1091. [Google Scholar] [CrossRef]
- Rieger, N.F. Balancing of Rigid and Flexible Rotors; Shock and Vibration Monograph Series; Shock and Vibration Information Center; US Department of Defense: Washington, DC, USA, 1986.
- Li, M.; Sun, Y.; Dong, R.; Chen, W.; Jiang, D. An Approach on V-Shaped Milling for Rotor Balancing of Armatures. Machines 2022, 10, 21106. [Google Scholar] [CrossRef]
- Sun, C.; Liu, Z.; Liu, Y.; Wang, X.; Tan, J. An Adjustment Method of Geometry and Mass Centers for Precision Rotors Assembly. IEEE Access 2019, 7, 169992–170002. [Google Scholar] [CrossRef]
- Chen, Y.; Cui, J.; Sun, X. An Unbalance Optimization Method for a Multi-Stage Rotor Based on an Assembly Error Propagation Model. Appl. Sci. 2021, 11, 887. [Google Scholar] [CrossRef]
- Guido, A.R.; Adiletta, G. Dynamics of a Rigid Unbalanced Rotor with Nonlinear Elastic Restoring Forces. Part I: Theoretical Analysis. Nonlinear Dyn. 1999, 19, 359–385. [Google Scholar] [CrossRef]
- Herbert, G.; Charles, P.; John, S. The Rigid Body Equations of Motion. In Classical Mechanics, 3rd ed.; Addison, W., Ed.; Addison Wesley: Boston, MA, USA, 2002; pp. 191–197. [Google Scholar]
- Nayek, B.; Das, A.; Dutt, J. Model based estimation of inertial parameters of a rigid rotor having dynamic unbalance on Active Magnetic Bearings in presence of noise. Appl. Math. Model. 2021, 97, 701–720. [Google Scholar] [CrossRef]
- Genta, G. Dynamics of Rotating Systems; Springer: Berlin/Heidelberg, Germany, 2005. [Google Scholar]
















Disclaimer/Publisher’s Note: The statements, opinions and data contained in all publications are solely those of the individual author(s) and contributor(s) and not of MDPI and/or the editor(s). MDPI and/or the editor(s) disclaim responsibility for any injury to people or property resulting from any ideas, methods, instructions or products referred to in the content. |
© 2024 by the authors. Licensee MDPI, Basel, Switzerland. This article is an open access article distributed under the terms and conditions of the Creative Commons Attribution (CC BY) license (https://creativecommons.org/licenses/by/4.0/).
Share and Cite
Davila-Alfaro, G.d.J.; Salas-Reyes, A.E.; Chaires, J.M.; Arcos-Gutiérrez, H.; Garduño, I.E.; Gallegos-Melgar, A.; Hernández-Hernández, M.; Mercado-Lemus, V.H. The Study of the Balancing Process for Starting Rotors in Heavy-Duty Vehicles: An Industrial Application. Vehicles 2024, 6, 1752-1768. https://doi.org/10.3390/vehicles6040085
Davila-Alfaro GdJ, Salas-Reyes AE, Chaires JM, Arcos-Gutiérrez H, Garduño IE, Gallegos-Melgar A, Hernández-Hernández M, Mercado-Lemus VH. The Study of the Balancing Process for Starting Rotors in Heavy-Duty Vehicles: An Industrial Application. Vehicles. 2024; 6(4):1752-1768. https://doi.org/10.3390/vehicles6040085
Chicago/Turabian StyleDavila-Alfaro, Gabriel de Jesús, Antonio Enrique Salas-Reyes, Jan Mayén Chaires, Hugo Arcos-Gutiérrez, Isaías E. Garduño, Adriana Gallegos-Melgar, Maricruz Hernández-Hernández, and Víctor Hugo Mercado-Lemus. 2024. "The Study of the Balancing Process for Starting Rotors in Heavy-Duty Vehicles: An Industrial Application" Vehicles 6, no. 4: 1752-1768. https://doi.org/10.3390/vehicles6040085
APA StyleDavila-Alfaro, G. d. J., Salas-Reyes, A. E., Chaires, J. M., Arcos-Gutiérrez, H., Garduño, I. E., Gallegos-Melgar, A., Hernández-Hernández, M., & Mercado-Lemus, V. H. (2024). The Study of the Balancing Process for Starting Rotors in Heavy-Duty Vehicles: An Industrial Application. Vehicles, 6(4), 1752-1768. https://doi.org/10.3390/vehicles6040085

