Abstract
To develop new hybrid anticancer agents, 3,5-bis(benzylidene)-4-piperidone scaffolds (compounds 1–6) were functionalized with (1R)-borneoyl chloroacetate (8) or (1S)-camphorsulfonyl chloride (10). Covalent attachment of the camphorsulfonyl moiety via N-sulfonylation yielded hybrid molecules (16–21) that exhibited selective cytotoxic and cytostatic activity against cancer cells, with submicromolar IC50 values. In silico ADME analysis indicated that these camphorsulfonyl-conjugated piperidones have improved drug-like properties (enhanced absorption, metabolism, and bioavailability) compared to curcumin. The most potent analogs were halogen-substituted and trimethoxy-substituted analogs, which showed the strongest tumor cell growth inhibition while sparing normal cells. Overall, this terpene-functionalization strategy addresses curcumin’s pharmacokinetic limitations and improves its anticancer profile. These hybrid molecules hold promise as potential anticancer agents.
1. Introduction
Being the active component of the Curcuma longa L., curcumin (Figure 1) has been widely recognized in the literature as a versatile bioactive molecule with a broad spectrum of therapeutic effects, including anti-inflammatory [1], neuroprotective [2], antimicrobial [3], antifungal [4,5], and antitumor [6,7] activities, among others [8]. Despite decades of intensive research into its therapeutic potential, the clinical significance and efficacy of curcumin remain actively debated [9]. These limitations stem primarily from its poor solubility, low bioavailability, and chemical instability under physiological conditions, which result from the β-diketone moiety and the reactive methylene group in its structure [10]. Accordingly, attention has shifted toward the design and evaluation of monocarbonyl analogs of curcumin, aiming to enhance its pharmacological activity while improving its pharmacokinetic properties and overall therapeutic potential.
Figure 1.
The structural formula of curcumin in comparison to its analogs is presented in this work as a way to overcome the imperfections of the phytomolecule.
It is worth noting that the ability to efficiently reach target sites within cells while overcoming numerous biological barriers is one of the key factors determining the success of the therapeutic agent. In this context, the modification of parent molecules with lipophilic fragments acquires particular significance. The introduction of lipophilic groups into the structure of compounds significantly enhances their solubility in lipid environments of the body, which improves transport across cell membranes, increases circulation time in the blood, and prolongs the elimination half-life [11]. Moreover, lipophilic modifications often contribute to reduced toxicity and improved selectivity of drug action, creating favorable conditions for targeted delivery to specific biological targets [12,13].
A striking example of this is the tricyclic isomer C10H16, adamantane, which is considered a “lipophilic bullet” that substantially improves the pharmacokinetics of therapeutic agents [14]. For instance, unlike radioligands unmodified by adamantane, Cucurbituril-Adamantane conjugates demonstrate exceptional stability (>90% over 24 h) and highly specific tumor uptake in in vivo mouse xenograft models of human pancreatic cancers BxPC3 and MIAPaCa-2. Thus, the incorporation of lipophilic fragments can be regarded as an important strategic tool in the design of new chemical entities with improved pharmacokinetic profiles.
Various analogs of curcumin have been described in the literature, among which 3,5-bis(benzylidene)-4-piperidones are particularly interesting. These compounds have attracted considerable attention in medicinal chemistry for many years due to their promising range of biological activity [15,16]. Their reactive and modular structure allows for facile chemical modifications that enhance biological effectiveness. This combination of structural versatility and pronounced biological activity makes them some of the most promising curcumin analogs for therapeutic development. In particular, a wide range of 3,5-bis(benzylidene)-4-piperidones has been shown to exhibit potent antitumor activity, interfering with various cellular processes associated with cancer progression, including apoptosis, cell proliferation, metastasis, angiogenesis, etc. [17,18].
The promising therapeutic profile of 3,5-bis(benzylidene)-4-piperidones is confirmed in numerous studies describing the antitumor potential of these compounds. Special attention is being paid to the importance of structural variations in these compounds. For that, cyclic [16,17,18], unsaturated [19], and heterocyclic [20] phosphorus compounds [21,22,23] are used as pharmacophores. In recent years, a methodology for constructing hybrid structures using natural compounds has been developed. The choice of natural compounds seems more promising, since the biological profile for most of these substrates is well known. For example, hybrids using sesquiterpene lactones [16,18] or polymethoxyl arenes [24], have higher antitumor activity on various cancer cell lines than the original scaffolds.
In continuation of the work related to the construction of hybrids using natural substrates, we synthesized and studied the biological properties of new conjugates of 3,5-bis(benzylidene)-4-piperidones with terpenoids. This approach is not accidental, as terpenoids have proven themselves to be effective, biologically active substrates. It has been shown that the presence of 1,7,7-trimethylbicyclo[2.2.1]heptane scaffold in various molecular systems leads to the manifestation of conjugates of various biological properties, including antitumor, anti-ulcer, antihypertensive, analgesic, anti-inflammatory, and antiviral activity [25,26]. Data on the synthesis and biological properties of 3,5-bis(benzylidene)-4-piperidones conjugated with terpenoids are not available in the literature, so their synthesis and biological screening are an urgent task in the search for new compounds with a wide range of biological properties.
2. Materials and Methods
2.1. Reagents and Materials
All commercial reagents were used as purchased without further purification; all solvents used in the reactions were freshly distilled from appropriate drying agents before use. Analytical TLC was performed on Merck silica gel 60 F254 plates (Merck, Darmstadt, Germany), visualized under UV light (λmax = 254 nm) or by staining with iodine vapor. Column chromatography was carried out using Merck silica gel (Kieselgel 60, 0.063–0.200 mm, Darmstadt, Germany). The 1H and 13C spectra were recorded on a Bruker Avance 400 spectrometer (Bruker, Rheinstetten, Germany) operating at 400.1 and 100.6, respectively. Chloroform solvent signals (δH 7.24 ppm, δC 76.90 ppm (Merck, Darmstadt, Germany), were used as an internal standard. The 13C NMR spectra were recorded using the JMODECHO mode; the signals for the C-atom bearing odd and even numbers of H-atoms have opposite polarities. High-resolution mass spectra were recorded on a LCMS-9030 device (Shimadzu, Kyoto, Japan) by electrospray ionization mass spectrometry (ESI-MS). Measurements were carried out in positive ion mode; samples were dissolved in acetonitrile (99.9%, Merck, Darmstadt, Gemany) and injected into the mass-spectrometer chamber from an HPLC system LC-40 Nexera (Shimadzu, Kyoto, Japan). The following parameters were used: capillary voltage 4.0 kV; mass scanning range: m/z 150–2000; external calibration with solution NaI (99.9%, Merck, Darmstadt, Germany) in MeOH (99.0%, Merck, Darmstadt, Germany) /H2O; drying and heating gases (nitrogen, 99% Chemistry 21 centure, Russia) (each 10 L/min); nebulizing gas (nitrogen) (3 L/min); interface temperature: 250 °C; flow rate 100% methanol (99.0%, Merck, Darmstadt, Germany) 0.4 mL/min. Molecular ions in the spectra were analyzed and matched with the appropriately calculated m/z and isotopic profiles in the LabSolutions v.5.114 program (v.5.114 program, Shimadzu, Kyoto, Japan).
2.2. General Procedure of 3,5-Bis(benzylidene)-4-piperidones (1–6) Synthesis
3,5-bis(benzylidene)-4-piperidone (1). It was synthesized according to the procedure described in [27]. The yield of non-recrystallized compound 1 was 80%.
1H NMR, δ: 4.17 (s, 4H, 2CH2); 7.38–7.43 (m, 10 H, C6H5); 7.83 (s, 2H). 13C NMR, δ: 46.71 (s, 2CH2), 128.59, 129.11, 130.54, 135.2 (s, 12C, Ph), 134.98 (s, C=), 136.02 (s, CH=), 188.02 (s, C=O).
3,5-bis(4-fluorbenzylidene)-4-piperidone (2). It was synthesized according to the procedure described in [27]. The yield of non-recrystallized compound 2 was 79%.
1H NMR, δ: 4.15 (s, 4H, 2CH2,); 7.10–7.16 (m, 4 H, C6H4F); 7.37–7.42 (m, 4 H, C6H4F); 7.88 (s, 2H). 13C NMR, δ: 46.62 (s, 2CH2), 115.79 (d, JC–F = 40 Hz, Ar), 131.35 (s, C=),132.46 (d, JC–F = 5 Hz, Ar), 134.54 (s, CH=), 134.92 (s, Ar), 163.45 (d, JC–F = 460 Hz, Ar), 187.69 (s, C=O). 19F NMR, δ: 110. 70.
3,5-bis(4-chlorobenzylidene)-4-piperidone (3). It was synthesized according to the procedure described in [27]. The yield of non-recrystallized compound 3 was 79%
1H NMR, δ: 4.13 (s, 4H, 2CH2); 7.31–7.42 (m, 8 H, C6H5); 7.75 (s, 2H). 13C NMR, δ: 48.15 (s, 2CH2), 129.05, 132.48, 132.76, 134.36 (s, 12C, Ar), 134.41 (s, C=), 137.06 (s, CH=), 187.57 (s, C=O).
3,5-bis(4-methoxybenzylidene)-4-piperidone (4). It was synthesized according to the procedure described in [27]. The yield of non-recrystallized compound 4 was 76%.
1H NMR, δ: 3.87 (s, 6H, 2 OCH3); 4.17 (s, 4H, 2CH2); 6.95–6.97 (m, 4 H, Ar); 7.37–7.39 (m, 4 H, Ar); 7.78 (s, 2H). 13C NMR, δ: 48.21 (s, 2CH2), 55.39 (s, 2OCH3); 113.04, 127.98, 132.45, 133.15 (s, 12C, Ar), 135.63 (s, C=), 160.31 (s, CH=), 187.93 (s, C=O).
3,5-bis(4-iso-propylbenzylidene)-4-piperidone (5). It was synthesized according to the procedure for compound 1. The yield of non-recrystallized compound 5 was 75%.
1H NMR, δ: 1.30 (d, 12 H, J = 6.0 Hz); 2.96 (six, 2H, J = 6.0 Hz); 4.18 (s, 4H, 2CH2); 7.28–7.37 (m, 8 H, Ar); 7.81 (s, 2H). 13C NMR, δ: 23.83 (s, 2CH3), 34.06 (s, 2CH); 48.20 (s, 2CH2), 126.71, 130.78, 132.82, 134.31 (s, 12C, Ar), 135.97 (s, C=), 150.28 (s, CH=), 188.07 (s, C=O).
3,5-bis(3,4,5-trimethoxybenzylidene)-4-piperidone (6). It was synthesized according to the procedure for compound 1. The yield of non-recrystallized compound 6 was 77%.
1H NMR, δ: 3.88, 3.89 (s, 18H,9 OCH3); 4.19 (s, 4H, 2CH2); 6.61 (s, 4 H, Ar); 7.72 (s, 2H). 13C NMR, δ: 23.83 (s, 2CH3), 34.06 (s, 2CH); 48.20 (s, 2CH2), 107.90, 130.65, 134.18, 136.17 (s, 12C, Ar), 139.10 (s, C=), 153.07 (s, CH=), 187.53 (s, C=O).
2.3. Synthesis of (1S,2R,4S)-1,7,7-Trimethylbicyclo[2.2.1]heptan-2-yl 3-Chloroacetate (8) and (1S)-(+)-Camphor-10-sulfonyl chloride (10)
(1S,2R,4S)-1,7,7-trimethylbicyclo[2.2.1]heptan-2-yl 3-chloroacetate (8) was prepared according to the known procedure [28].
(1R)-(-)-Borneol (1.56 g, 0.01 mol, 98%, Merck, Darmstadt, Germany) was added to a mixture of chloroacetic chloride (1.12 g, 0.01 mol, 97%, Merck, Darmstadt, Germany) and Et3N (1.21 g, 0.012 mol, 98%, Merck, Darmstadt, Germany) in CH2Cl2 (10 mL, 98%, Chemistry 21 century, Moscow, Russia) at −4 °C, and the reaction mixture was stirred for 1 h and next 2 h at room temperature. The reaction mixture was then washed with cold water, the organic layer was separated, and dried over Na2SO4 (95%, Chemistry 21 century, Moscow, Russia). The solution was filtered and concentrated. The crude product was used in the next step without further purification.
(1S)-(+)-camphor-10-sulfonyl chloride (10) was prepared according to the known procedure [29].
The mixture of 10-camphor sulfonic acid (2.16 g, 0.01 mol, Merck, Darmstadt, Germany) (1) and thionyl chloride (4.76 g, 0.04 mol, 95%, Chemistry 21 century, Moscow, Russia) was boiled and stirred for 30 min, then the reaction mixture was allowed to cool and poured over ice. Sulfonyl chloride (10) was extracted with CH2Cl2 (3 × 30 mL), dried MgSO4, (95%, Chemistry 21 century, Moscow, Russia), and concentrated in vacuo. Yield (2.25 g; 90%):
1H NMR spectrum, δ, ppm (J, Hz): δ 4.31 (d, J = 15.0 Hz, 1H), 3.72 (d, J = 15.0, 1H), 2.51–2.40 (m, 2H), 2.17–2.12 (t, J = 5.0 Hz, 1H), 2.15–2.05 (m, 1H), 2.0 (d, J = 18.0 Hz, 1H), 1.80–1.73 (m, 1H), 1.51–1.42 (m, 1H), 1.13 (s, 3H), 0.92 (s, 3H).
13C NMR, δ: 19.73 (s, CH3), 19.80 (s, CH3), 24.96 (s, CH2), 26.89 (s, CH2), 42.5 (s, CH2), 42.63 (s, CH), 47.97 (s, CH2), 47.97 (s, Cq), 58.32. (s, Cq), 214.68 (s, C=O).
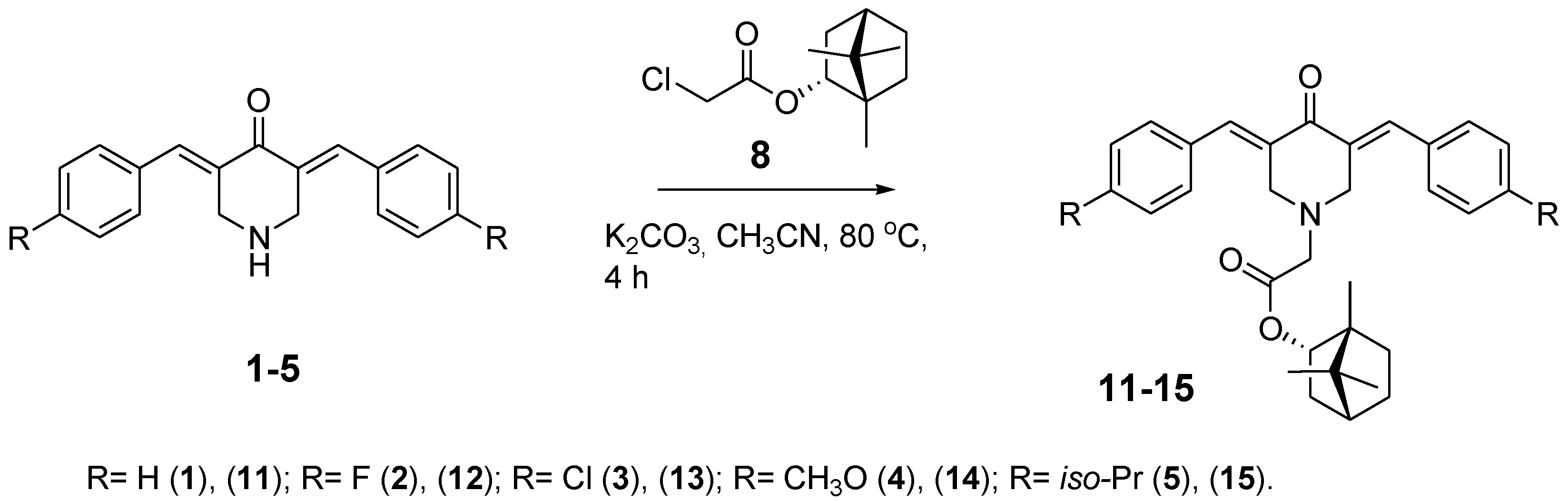
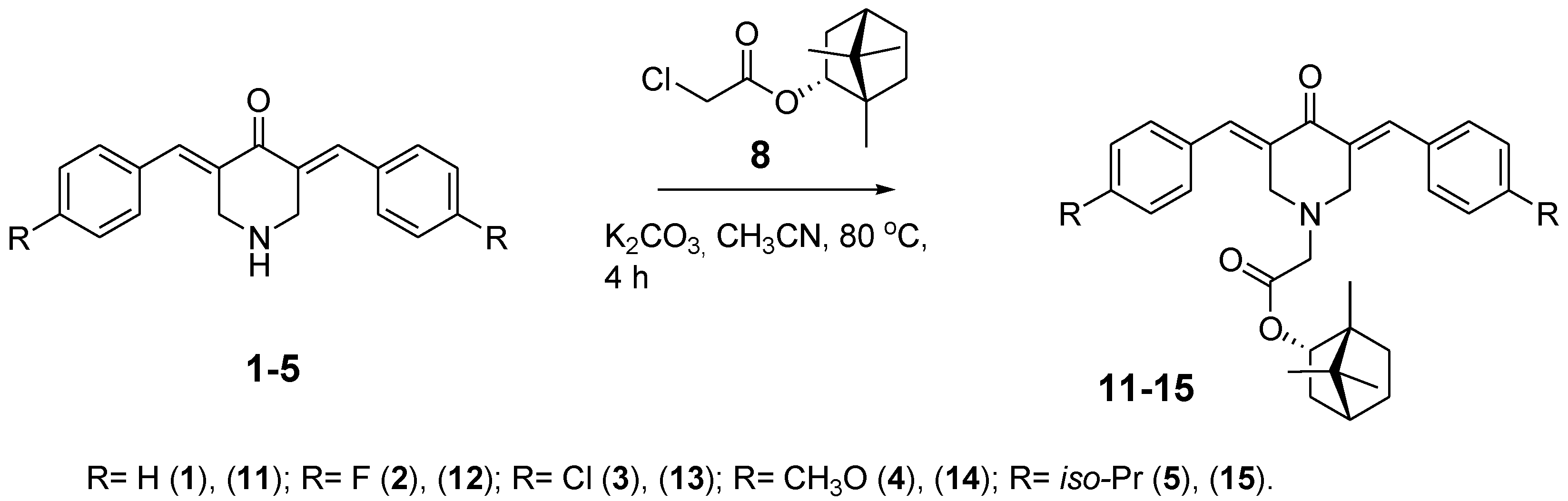
2.4. General Procedure of (1S,2R,4S)-1,7,7-Trimethylbicyclo[2.2.1]heptan-2-yl (E,E)-3,5-Dibenzylidene-4-oxo-1-piperidineacetate Synthesis (11–15)
(1S,2R,4S)-1,7,7-trimethylbicyclo[2.2.1]heptan-2-yl (E,E)-3,5-dibenzylidene-4-oxo-1-piperidineacetate (11).
3,5-bis(benzylidene)-4-piperidone (1) (0.275 g, 0.001 mol) and K2CO3 (0.21 g, 0.0015 mol, 97%, Chemistry 21 century, Moscow, Russia) were added to a solution of (1R)-(-)-borneol chloroacetate (8) (0.23 g, 0.001 mol) in CH2CN (20 mL, 98%, Chemistry 21 century, Moscow, Russia). The reaction mixture was boiled and stirred for 4 h. After the reaction was completed, the reaction mixture was filtered, the solvent was evaporated, and the residue was purified by silica gel column chromatography using a CHCl3 (98%, Chemistry 21 century, Moscow, Russia)/MeOH (98%) mixture (100:1.0) as the eluent. The yield was 0.33 g (70%); colorless oil.
1H NMR spectrum, δ, ppm (J, Hz): 0.75 (s, 3H, CH3); 0.86 (s, 3H, CH3); 0.88 (s, 3H, CH3); 0.91 (dd, 1H, JHH = 13.7, JHH = 3.5); 1.23–1.12 (m, 2H); 1.82–1.65 (m, 2H); 2.34 (ddd, 1H, JHH = 13.5, JHH = 9.3, JHH = 4.4 Hz); 3.47 (s, 2H, CH2C(O)-); 4.08 (s, 4H, 2CH2N); 4.93 (dd, 1H, JHH = 9.4, JHH = 3.5 Hz); 7.86–7.46 (m, 10H, 2C6H5); 7.86 (s, 2 CH=).
13C NMR spectrum, δ, ppm: 13.47 (s, CH3), 18.82 (s, CH3), 19.70 (s, CH3), 27.10 (s, C7-CH2), 27.94 (s, C3-CH2), 36.75 (s, C6-CH2), 44.79 (s, C5-CH2), 47.83 (C7), 48.75 (C2), 54.18 (s, 2NCH2), 58.16 (s, CH2C(O)), 80.60 (C1), 128.63, 129.13, 130.43, 132.90 (s, 6C, Ph), 135.12 (s, C=), 136.83 (s, CH=), 170.39 (s, C=O), 186.98 (s, C=O).
HRMS (ESI+) of C31H35NO3, m/z: calcd for [M+H]+ 470.2690, found 470.2685.
(1S,2R,4S)-1,7,7-trimethylbicyclo[2.2.1]heptan-2-yl (E,E)-3,5-bis(4-fluorobenzylidene)-4-oxo-1-piperidineacetate (12).
As in the synthesis of 11, compound 2 (0.31 g, 0.001 mol) was allowed to react with 8 (0.23 g, 0.001 mol); yield: 0.4 g (72%); colorless oil.
1H NMR spectrum, δ, ppm (J, Hz): 0.76 (s, 3H, CH3); 0.86 (s, 3H, CH3); 0.89 (s, 3H, CH3); 0.99 (dd, 1H, JHH = 13.5, JHH = 3.5); 1.23–1.12 (m, 2H); 1.85–1.65 (m, 2H); 2.35 (ddd, 1H, JHH = 13.5, JHH = 9.3, JHH = 4.4 Hz); 3.46 (s, 2H, CH2C(O)-); 4.04 (s, 4H, 2CH2N); 4.93 (dd, 1H, JHH = 9.4, JHH = 3.5 Hz); 7.80–7.09 (m, 5H, 2C6H4); 7.80 (s, 2 CH=).
13C NMR spectrum, δ, ppm: 13.47 (s, CH3), 18.80 (s, CH3), 19.67 (s, CH3), 27.09 (s, C7-CH2), 27.95 (s, C3-CH2), 36.78 (s, C6-CH2), 44.77 (s, C5-CH2), 47.84 (C7), 48.75 (C2), 54.05 (s, 2NCH2), 58.17 (s, CH2C(O), 80.60 (C1), 116.25 (d, JC–F = 40 Hz, Ar), 130.60 (d, JC–F = 5 Hz, Ar), 132.42 (d, JC–F = 15 Hz, Ar), 132.50 (d, JC–F = 2 Hz, s, C=), 134.57 (s, CH=), 162.96 (d, JC–F = 462 Hz, Ar), 170.27 (s, C=O), 186.6 (s, C=O).
19F NMR, δ: 109.0.
HRMS (ESI+) of C31H33F2NO3, m/z: calcd for [M+H]+ 506.2501, found 506.2495.
(1S,2R,4S)-1,7,7-trimethylbicyclo[2.2.1]heptan-2-yl (E,E)-3,5-bis(4-chlorobenzylidene)-4-oxo-1-piperidineacetate (13).
As in the synthesis of 11, compound 3 (0.34 g, 0.001 mol) was allowed to react with 8 (0.23 g, 0.001 mol); yield: 0.35 g (65%); colorless oil.
1H NMR spectrum, δ, ppm (J, Hz): 0.76 (s, 3H, CH3); 0.86 (s, 3H, CH3); 0.89 (s, 3H, CH3); 0.91 (dd, 1H, JHH = 13.7, JHH = 3.5); 1.24–1.12 (m, 2H); 1.85–1.66 (m, 2H); 2.34 (ddd, 1H, JHH = 13.5, JHH = 9.5, JHH = 4.5 Hz); 3.47 (s, 2H, CH2C(O)-); 4.03 (s, 4H, 2CH2N); 4.90 (dd, 1H, JHH = 9.5, JHH = 3.5 Hz); 7.41–7.30 (m, 10H, 2C6H5); 7.77 (s, 2 CH=).
13C NMR spectrum, δ, ppm: 13.50 (s, CH3), 18.81 (s, CH3), 19.68 (s, CH3), 27.11 (s, C7-CH2), 27.98 (s, C3-CH2), 36.80 (s, C6-CH2), 44.78 (s, C5-CH2), 47.85 (C7), 48.77 (C2), 54.02 (s, 2NCH2), 58.12 (s, CH2C(O), 80.69 (C1), 128.93, 131.60, 133.48, 133.90 (s, 6C, Ph), 135.21 (s, C=), 135.46 (s, CH=), 170.24 (s, C=O), 186.50 (s, C=O).
HRMS (ESI+) of C31H33Cl2NO3, m/z: calcd for [M+H]+ 538.1910, found 538.1905.
(1S,2R,4S)-1,7,7-trimethylbicyclo[2.2.1]heptan-2-yl (E,E)-3,5-bis(4-methoxybenzylidene)-4-oxo-1-piperidineacetate (14).
As in the synthesis of 11, compound 4 (0.33 g, 0.001 mol) was allowed to react with 8 (0.23 g, 0.001 mol); yield: 0.34 g (64%); colorless oil.
1H NMR spectrum, δ, ppm (J, Hz): 0.76 (s, 3H, CH3); 0.85 (s, 3H, CH3); 0.88 (s, 3H, CH3); 0.93 (dd, 1H, JHH = 13.5, JHH = 3.5); 1.25–1.14 (m, 2H); 1.91–1.63 (m, 2H); 2.33 (ddd, 1H, JHH = 13.5, JHH = 9.5, JHH = 4.5 Hz); 3.47 (s, 2H, CH2C(O)-); 3.81 (s, 6H, 2 OCH3); 4.06 (s, 4H, 2CH2N); 4.92 (dd, 1H, JHH = 9.5, JHH = 3.5 Hz); 6.95 (d, JHH = 9 Hz, 4H, 2Ar); 7.37 (d, JHH = 9 Hz, 4H, 2Ar); 7.70 (s, 2 CH=).
13C NMR spectrum, δ, ppm: 13.48 (s, CH3), 18.81 (s, CH3), 19.69 (s, CH3), 27.10 (s, C7-CH2), 27.94 (s, C3-CH2), 36.77 (s, C6-CH2), 44.78 (s, C5-CH2), 47.82 (C7), 48.75 (C2), 54.27 (s, 2NCH2), 55.36 (s, 2OCH3); 58.17 (s, CH2C(O), 80.51 (C1), 114.11, 127.89, 131.06, 132.34 (s, 6C, Ar), 136.37 (s, C=), 160.47 (s, CH=), 170.47 (s, C=O), 186.82 (s, C=O).
HRMS (ESI+) of C33H39NO3, m/z: calcd for [M+H]+ 530.2901, found 530.2898.
(1S,2R,4S)-1,7,7-trimethylbicyclo[2.2.1]heptan-2-yl (E,E)-3,5-bis(4-iso-propylbenzylidene)-4-oxo-1-piperidineacetate (15).
As in the synthesis of 11, compound 5 (0.36 g, 0.001 mol) was allowed to react with 8 (0.23 g, 0.001 mol); yield: 0.39 g (70%); colorless oil.
1H NMR spectrum, δ, ppm (J, Hz): 0.74 (s, 3H, CH3); 0.85 (s, 3H, CH3); 0.88 (s, 3H, CH3); 0.90 (dd, 1H, JHH = 13.7, JHH = 3.5); 1.27–1.15 (m, 2H); 1.31 (d, 12 H, JHH = 6.0 Hz, 4CH3)); 1.82–1.65 (m, 2H); 2.32 (ddd, 1H, JHH = 13.5, JHH = 9.3, JHH = 4.4 Hz); 2.95 (m, 2H, JHH = 6.0 Hz, 2CH(CH3)2); 3.47 (s, 2H, CH2C(O)-); 4.08 (s, 4H, 2CH2N); 4.92 (dd, 1H, JHH = 9.4, JHH = 3.5 Hz); 7.37–7.30 (m, 8H, 2C6H4); 7.85 (s, 2 CH=).
13C NMR spectrum, δ, ppm: 13.46 (s, CH3), 18.82 (s, CH3), 19.69 (s, CH3), 23.84 (s, 2 CH(CH3)2); 27.08 (s, C7-CH2), 27.91 (s, C3-CH2), 34.06 (s, 2 CH(CH3)2); 36.73 (s, C6-CH2), 44.79 (s, C5-CH2), 47.82 (C7), 48.73 (C2), 54.30 (s, 2NCH2), 58.17 (s, CH2C(O), 80.55 (C1), 126.75, 130.67, 132.21, 132.78 (s, 6C, Ph), 136.82 (s, C=), 150.24 (s, CH=), 170.51 (s, C=O), 187.01 (s, C=O).
HRMS (ESI+) of C37H47NO3, m/z: calcd for [M+H]+ 554.3629, found 554.3626.
2.5. General Procedure of 3,5-Bis(benzylidene)-1-[(7,7-dimethyl-2-oxobicyclo[2.2.1]heptan-1-yl)methylsulfonyl]-4-piperidones Synthesis (16–21)
3,5-bis(benzylidene)-1-[(7,7-dimethyl-2-oxobicyclo[2.2.1]heptan-1-yl)methylsulfonyl]-4-piperidone (16).
3,5-bis(benzylidene)-4-piperidone (1) (0.275 g, 0.001 mol) and Et3N (0.2 g, 0.002 mol) were added to a solution of (1S)-(+)-camphorsulfonyl chloride (7) (0.3 g, 0.0012 mol) in CH2Cl2 (15 mL). The reaction mixture was heated and stirred for 12 h. After the reaction was completed, the reaction mixture was washed with saturated sodium chloride (95.0% Merck, Darmstadt, Germany) and dried over sodium sulfate anhydrous (99.0%, Merck, Darmstadt, Germany). Then the solvent was removed by evaporation. The residue was purified by silica gel column chromatography using a CHCl3/MeOH mixture (100:1.2) as the eluent. The yield 16 was 0.32 g (65%); pale yellow solid compound;
1H NMR, δ: 0.78 (s, 3 H, CH3); 0.98 (s, 3 H, CH3); 1.38 (ddd, 1 H, J = 12.0 Hz, J = 9.0 Hz, J = 3.0 Hz); 1.55 (ddd, 1 H, J =15.0 Hz, J = 9.0 Hz, J = 6.0 Hz); 1.89 (d, 1 H, J = 18.0 Hz); 1.94–2.02 (m, 1 H); 2.05 (br.t, 1 H, J = 6.0 Hz); 2.29–2.33 (m, 1 H); 2.37–2.41 (m, 1 H); 2.76 (d, 1 H, J = 15.0 Hz); 3.38 (d, 1 H, J = 15.0 Hz); 4.69 (d, 2H, J = 18.0 Hz, CH2,); 4.73 (d, 2H, J = 18.0 Hz, CH2); 7.40–7.48 (m, 10 H, C6H5); 7.91 (s, 2H).
13C NMR, δ: 19.74 (s, CH3), 19.82 (s, CH3), 24.96 (s, CH2), 26.89 (s, CH2), 42.5 (s, CH2), 42.63 (s, CH), 46.71 (s, 2CH2), 47.97 (s, CH2), 47.97 (s, Cq), 58.32. (s, Cq), 128.92, 129.74, 130.46, 130.79 (s, 6C, Ph), 134.35 (s, C=), 138.55 (s, CH=), 185.77 (s, C=O), 214.68 (s, C=O).
HRMS (ESI+) of C29H31NO4S, m/z: calculated for [M+H]+ 490.2047, found 490.2043.
3,5-bis(4-fluorobenzylidene)-1-[(7,7-dimethyl-2-oxobicyclo[2.2.1]heptan-1-yl)methylsulfonyl]-4-piperidone (17).
As in the synthesis of 16, compound 10 (0.3 g, 0.0012 mol) was allowed to react with 2 (0.31 g, 0.001 mol); yield: 0.27 g (52%); colorless oil.
1H NMR, δ: 0.8 (s, 3 H, CH3); 1.01 (s, 3 H, CH3); 1.39 (ddd, 1 H, J = 12.0 Hz, J = 9.0 Hz, J = 3.0 Hz); 1.57 (ddd, 1 H, J =12.0 Hz, J = 9.0 Hz, J = 3.0 Hz); 1.91 (d, 1 H, J = 18.0 Hz); 1.96–2.04 (m, 1 H); 2.08 (br.t, 1 H, J = 6.0 Hz); 2.28–2.43 (m, 2 H); 2.76 (d, 1 H, J = 15.0 Hz); 3.38 (d, 1 H, J = 15.0 Hz); 4.65 (d, 2H, J = 18.0 Hz, CH2,); 4.73 (d, 2H, J = 15.0 Hz, CH2); 7.13–7.45 (m, 8 H, C6H4F); 7.86 (s, 2H).
13C NMR, δ: 19.75 (s, CH3), 19.80 (s, CH3), 24.98 (s, CH2), 26.89 (s, CH2), 42.51 (s, CH2), 42.62 (s, CH), 46.62 (s, 2CH2), 48.02 (s, CH2), 48.02 (s, Cq), 58.32. (s, Cq), 116.22 (d, JC–F = 41 Hz, Ar), 130.41 (s, C=),130.52 (d, JC–F = 5 Hz, Ar), 132.52 (d, JC–F = 15 Hz, Ar), 137.37 (s, CH=), 163.28 (d, JC–F = 462 Hz, Ar), 185.47 (s, C=O), 214.85 (s, C=O).
19F NMR, δ: 109. 44.
HRMS (ESI+) of C29H29F2NO4S, m/z: calculated for [M+H]+ 526.1856, found 526.1852.
3,5-bis(4-chlorobenzylidene)-1-[(7,7-dimethyl-2-oxobicyclo[2.2.1]heptan-1-yl)methylsulfonyl]-4-piperidone (18).
As in the synthesis of 16, compound 10 (0.3 g, 0.0012 mol) was allowed to react with 3 (0.35 g, 0.001 mol); yield: 0.39 g (70%); colorless oil.
1H NMR, δ: 0.81 (s, 3 H, CH3); 1.01 (s, 3 H, CH3); 1.39 (ddd, 1 H, J = 12.0 Hz, J = 9.0 Hz, J = 3.0 Hz); 1.57 (ddd, 1 H, J =18.0 Hz, J = 9.0 Hz, J = 6.3 Hz); 1.92 (d, 1 H, J = 18.0 Hz); 1.96–2.06 (m, 1 H); 1.93 (dd, 1 H, J = 6.0 Hz, J = 6.0 Hz); 2.31–2.34 (m, 1 H); 2.37–2.42 (m, 1 H); 2.77 (d, 1 H, J = 15.0 Hz); 3.40 (d, 1 H, J = 15.0 Hz); 4.65 (d, 2H, J = 18.0 Hz, CH2,); 4.72 (d, 2H, J = 18.0 Hz, CH2); 7.35–7.46 (m, 8 H, C6H4Cl); 7.84 (s, 2H).
13C NMR, δ: 19.77 (s, CH3), 19.81 (s, CH3), 24.98 (s, CH2), 26.91 (s, CH2), 42.53 (s, CH2), 42.63 (s, CH), 46.64 (s, 2CH2), 48.09 (s, CH2), 48.09 (s, Cq), 58.33. (s, Cq), 129.26, 131.08, 131.65, 132.74 (s, Ar), 135.90 (s, C=), 137.28 (s, CH=), 185.37 (s, C=O), 214.87 (s, C=O).
HRMS (ESI+) of C29H29Cl2NO4S, m/z: calculated for [M+H]+ 558.1267, found 526.1258.
3,5-bis(4-methoxybenzylidene)-1-[(7,7-dimethyl-2-oxobicyclo[2.2.1]heptan-1-yl)methylsulfonyl]-4-piperidone (19).
As in the synthesis of 16, compound 10 (0.3 g, 0.0012 mol) was allowed to react with 4 (0.34 g, 0.001 mol); yield: 0.38 g (69%); colorless oil.
1H NMR, δ: 0.78 (s, 3 H, CH3); 0.99 (s, 3 H, CH3); 1.36 (ddd, 1 H, J = 12.0 Hz, J = 9.0 Hz, J = 3.0 Hz); 1.57 (ddd, 1 H, J =15.0 Hz, J = 9.0 Hz, J = 6.0 Hz); 1.89 (d, 1 H, J = 18.0 Hz); 1.95–2.03 (m, 1 H); 2.04 (br.t, 1 H, J = 6.0 Hz); 2.29–2.33 (m, 1 H); 2.37–2.41 (m, 1 H); 2.75 (d, 1 H, J = 16.0 Hz); 3.39 (d, 1 H, J = 16.0 Hz); 3.85 (s, 3H); 3.86 (s, 3H); 4.68 (d, 2H, J = 18.0 Hz, CH2,); 4.75 (d, 2H, J = 18.0 Hz, CH2); 6.96–7.42 (m, 8 H, C6H4); 7.86 (s, 2H).
13C NMR, δ: 19.75 (s, CH3), 19.85 (s, CH3), 24.97 (s, CH2), 26.90 (s, CH2), 42.51 (s, CH2), 42.63 (s, CH), 46.78 (s, 2CH2), 47.90 (s, CH2), 47.95 (s, Cq), 55.42 (s, 2CH3O), 58.31 (s, Cq), 114.45, 127.11, 128.71, 132.58 (s, 6C, Ar), 138.16 (s, C=), 160.82 (s, CH=), 185.65 (s, C=O), 214.65 (s, C=O).
HRMS (ESI+) of C31H35NO6S, m/z: calculated for [M+H]+ 550.2258, found 550.2256.
3,5-bis(4-iso-propylbenzylidene)-1-[(7,7-dimethyl-2-oxobicyclo[2.2.1]heptan-1-yl)methylsulfonyl]-4-piperidone (20).
As in the synthesis of 16, compound 10 (0.3 g, 0.0012 mol) was allowed to react with 5 (0.36 g, 0.001 mol); yield: 0.41 g (72%); colorless oil.
1H NMR, δ: 0.84 (s, 3 H, CH3); 1.09 (s, 3 H, CH3); 1.35 (d, 12 H, J = 6.0 Hz);1.36 (ddd, 1 H, J = 12.0 Hz, J = 9.0 Hz, J = 3.0 Hz); 1.56 (ddd, 1 H, J = 15.0 Hz, J = 9.0 Hz, J = 6.0 Hz); 1.88 (d, 1 H, J = 18.0 Hz); 1.98–2.04 (m, 2 H); 2.32 (dt, 1 H, J = 18.0 Hz, J = 3.0 Hz); 2.48 (dt, 1 H, J = 18.0 Hz, J = 3.0 Hz); 2.75 (d, 1 H, J = 15.0 Hz); 3.0 (six, 2H, J = 6.0 Hz); 3.34 (d, 1 H, J = 15.0 Hz); 4.68 (d, 2H, J = 18.0 Hz, CH2); 4.75 (d, 2H, J = 18.0 Hz, CH2); 7.31–7.43 (m, 8 H, C6H4); 7.81 (s, 2H).
13C NMR, δ: 19.75 (s, CH3), 20.10 (s, CH3), 23.69 (S, 4CH3), 24.80 (s, CH2), 26.96 (s, CH2), 34.04 (s, 2CH); 42.13 (s, CH2), 42.84 (s, CH), 46.64 (s, 2CH2), 47.36 (s, CH2), 47.51 (s, Cq), 58.00 (s, Cq), 126.80, 130.20, 130.69, 132.33 (s, 6C, Ar), 137.51 (s, C=), 149.91 (s, CH=), 184.18 (s, C=O), 212.36 (s, C=O).
HRMS (ESI+) of C35H43NO4S, m/z: calculated for [M+H]+ 574.2984, found 574.2986.
3,5-bis(3,4,5-trimethoxybenzylidene)-1-[(7,7-dimethyl-2-oxobicyclo[2.2.1]heptan-1-yl)methylsulfonyl]-4-piperidone (21).
As in the synthesis of 16, compound 10 (0.3 g, 0.0012 mol) was allowed to react with 6 (0.395 g, 0.001 mol); yield: 0.33 g (50%); colorless oil.
1H NMR, δ: 0.79 (s, 3 H, CH3); 1.01 (s, 3 H, CH3); 1.38 (ddd, 1 H, J = 18.0 Hz, J = 9.0 Hz, J = 3.0 Hz); 1.59 (ddd, 1 H, J = 18.0 Hz, J = 9.0 Hz, J = 6.0 Hz); 1.89 (d, 1 H, J = 18.0 Hz); 1.97–2.10 (m, 2 H); 2.29–2.44 (m, 2 H); 2.75 (d, 1 H, J = 15.0 Hz); 3.40 (d, 1 H, J = 15.0 Hz); 3.90 (s, 9CH3O); 4.70 (d, 2H, J = 18.0 Hz, CH2,); 4.73 (d, 2H, J = 18.0 Hz, CH2); 6.67 (s, 4H, Ar); 7.81 (s, 2H).
13C NMR, δ: 19.75 (s, CH3), 19.80 (s, CH3), 25.03 (s, CH2), 26.93 (s, CH2), 42.54 (s, CH2), 42.58 (s, CH), 46.74 (s, 2CH2), 47.71 (s, CH2), 48.04 (s, Cq), 56.26 (s, 6CH3O); 58.25. (s, Cq), 107.71 (s, C, Ar), 129.87 (s, C, Ar), 130.02 (s, C, Ar); 138.73 (s, CH=); 139.50 (s, C=); 153.33 (s, 6C, Ar); 185.48 (s, C=O), 214.62 (s, C=O).
HRMS (ESI+) of C35H43NO10S, m/z: calculated for [M+H]+ 670.2677, found 670.2681.
2.6. Cell Culture
A549 lung cancer cells, MCF-7 breast cancer cells, HeLa cervical cancer cells, SW-480 colon adenocarcinoma cell line, and normal human embryonic lung fibroblasts (WI-38) were procured from the collection of the Institute of Cytology, Russian Academy of Sciences, St. Petersburg, Russia. Dulbecco’s Minimum Essential Medium (DMEM), containing GlutaMAX, with 10% fetal bovine serum, 1% penicillin-streptomycin, was used for cell culturing. Cells were incubated at 37 °C with a humidified atmosphere and 5% CO2.
2.7. Cell Viability Assay (MTT)
The MTT assay was chosen to determine the cytotoxic effect of the synthesized molecules. Exponentially growing A549, MCF-7, HeLa, SW-480, and WI-38 cells were seeded into 96-well culture plates. After 24 h, upon reaching the attachment of cells in the wells, different concentrations of compounds (0.1, 1, 10, 30, 100 µM) in triplicate were used for the treatment of cells. The cells were treated with the test compounds for 24 h.
A total of 1% DMSO (99,9%, Servicebio, Wuhan, China) in media was added to cells in the control group. Curcumin in similar concentrations was used as a positive control.
A total of 25 μL of MTT reagent (5 mg/mL, PanEco, Moscow, Russia) was added to each well, and the culture plates were incubated at 37 °C for 2 h. This time interval was sufficient for the formation of formazane crystals, which indicate the intensity of the metabolic activity of the cells and, as a result, the number of live cells [30].
MTT reagent was removed, and 200 µL DMSO was added to each well. Absorbance values were recorded at 540 nm wavelength. The IC50 values were calculated as parameters of the effectiveness of the cytotoxic effect of the compounds.
All experiments were conducted three times.
2.8. In Silico Toxicological and ADME Profiles
The in silico toxicological profile of the most active compound 21 was assessed by the web-service Cell-Line Cytotoxicity Predictor 2.0 (CLC-Pred) (https://www.way2drug.com/clc-pred/, accessed on 7 March 2025), which is based on PASS technology (Prediction of Activity Spectra for Substances) [31].
The 2D chemical structures of the compounds were obtained in the chemdraw program (SMILEY mode, ChemDraw Ultra 12.0, CambridgeSoft, Cambridge, MA, USA).
To predict the ADME properties of 3,5-bis(benzylidene)-1-[(7,7-dimethyl-2- oxobicyclo[2.2.1]heptan-1-yl)methylsulfonyl]-4-piperidones, we used the publicly available ADMETlab 3.0 program (https://admetlab3.scbdd.com/, accessed on 20 January 2025). This model is based on more than 30 different datasets that contain information about more than 400,000 molecules [32].
3. Results
3.1. Chemistry
The aim of this work was to synthesize conjugates of 3,5-bis(benzylidene)-4-piperidones with bulky terpene fragments by covalent hybridization of (1R)-borneol chloroacetate and (1S)-(+)-camphorsulfonyl chloride at the nitrogen atom of the 4-piperidone cycle using an amine or sulfoamide bond. It was previously shown that the biological properties of 3,5-bis(benzylidene)-4-piperidones are significantly influenced by substituents in aromatic rings, in particular, their steric and electronic effects dramatically affect cytotoxicity. Therefore, we used 3,5-bis(benzylidene)-4-piperidones (1–6) as conjugation objects, which contain electron-donating, electron-acceptor, and bulk substituents.
The synthesis of compounds (1–6), was carried out according to Scheme 1. Starting 3,5-bis(benzylidene)-4-piperidones (1–6) were obtained by the Claisen–Schmidt condensation of 4-piperidone and the appropriate aldehyde in the presence of hydrogen chloride in acetic acid according to the procedure [27]. Yields of (1–6) in all cases were 65–70% (Scheme 1).
Scheme 1.
Synthesis of 3,5-bis(benzylidene)-4-piperidones (1–6).
The structure of compounds 1–6 was determined by 1H and 13C NMR spectroscopy. The 1H NMR spectra contain characteristic signals confirming the structure of compounds 1–6 (S2–S14, Supplementary Materials). Thus, a singlet signal in the 8.2 ppm region indicates the presence of protons in the sp2-hybridized carbon atom. Signals from protons of the aromatic ring are present in the range of 8.1–7.4 ppm, and signals from methylene protons of the piperidone ring are located in the range of 4.5 ppm. 13C NMR spectra confirm the structure of compounds 1–6. For example, for compound 1, a signal in the range of 188.02 ppm is present in the spectra, belonging to the C=O group. The signals of atoms in the range of 134.98 ppm (s, C=) and 136.02 ppm (s, CH=) belong to carbon atoms of the double bond. The signals of aromatic carbon atoms are located at 128–135 ppm. A singlet with a chemical shift of 46.71 ppm indicates the presence of an NCH2 fragment in the molecule. The spectral data for compounds 1–4 correspond to the literature data [27].
To introduce a terpenoid fragment into the structure of 4-piperidones (1–6), we used (1R)-borneol chloroacetate (8) and (1S)-camphorsulfonyl chloride (10). (1R)-Borneol chloroacetate (8) was obtained by the acylation reaction of (1R)-borneol with chloroacetic acid chloride in methylene chloride in the presence of triethylamine according to the previously described procedure [28]. After distillation of the reaction mass, the yield of ether 8 was 65%. (1S)-(+)-camphor-10-sulfonyl chloride (10) was synthesized by chlorination of (1S)-(+)-camphor-10-sulfonyl acid with thionyl chloride according to the method [29] (Scheme 2).
Scheme 2.
Synthesis of (1R)-borneol chloroacetate (8) and (1S)-camphorsulfonyl chloride (10).
At the next stage, we condensed 3,5-bis(benzylidene)-4-piperidones (1–5) with (1R)-borneol chloroacetate (Scheme 3). The reaction was carried out in CH3CN using calcined potash with an excess of 50%. The reaction mass was heated to 80 °C and stirred for 4 h. The reaction was monitored using TLC. Target compounds 11–15 were individually isolated by column chromatography for SiO2 (eluent: CHCl3:CH3OH/100:1). The yield of conjugates 1–5 was 60–77%. The structure of resulting compounds was determined by 1H and 13C NMR spectroscopy and high-resolution mass spectrometry (HRMS) (S15–S26, Supplementary Materials).
Scheme 3.
Synthesis of (1S,2R,4S)-1,7,7-trimethylbicyclo[2.2.1]heptan-2-yl (E,E)-3,5-dibenzylidene-4-oxo-1-piperidineacetate (11–15).
The functionalization of 3,5-bis(benzylidene)-4-piperidones (1–6) using sulfonyl chloride 10 was performed in CH2Cl2 using Et3N as the base (Scheme 4). The reaction was carried out for 12 h in a boiling solvent. Target hybrid compounds (16–21) were isolated with moderate or good yields (52–62%) using column chromatography and characterized by spectral methods. The structure of resulting compounds was determined by 1H and 13C NMR spectroscopy and high-resolution mass spectrometry (HRMS) (S27–S45, Supplementary Materials).
Scheme 4.
Synthesis of 3,5-bis(benzylidene)-1-[(7,7-dimethyl-2-oxobicyclo[2.2.1]heptan-1-yl)methylsulfonyl]-4-piperidones (16–21).
Thus, we have developed a method for the synthesis of a series of new hybrid molecules containing two pharmacophores: 3,5-bis(benzylidene)-4-piperidone and 1,7,7-trimethylbicyclo[2.2.1]heptane moiety with a good yield.
3.2. Cytotoxic Profile of 3,5-bis(benzylidene)-piperidones and Their Analogs (11–21)
Initially, we evaluated the effects of curcumin and its monocarbonyl analogs on the viability of cancer cells of various tumor types (including lung—A549, breast—MCF-7, cervix—HeLa, and colon—SW-480). For this purpose, the cells were treated with the tested compounds at different concentrations. It should be noted that the level of cytotoxicity exhibited by curcumin, which was used as a reference compound, was consistent with previously reported data for these cell lines. This confirms the reliability of the obtained results.
Based on the data presented in Table 1, a decrease in tumor cell viability was observed upon treatment with all molecules except for compounds 5 and 15, which contain isopropyl groups in their structure, as well as curcumin. Specifically, curcumin did not significantly inhibit the viability of SW-480 cells (IC50 > 100 µM) even at the highest tested concentration of 100 µM.
Table 1.
Cytotoxic profile of 3,5-bis(benzylidene)-piperidones 1–6 and their analogs 11–21.
It is important to highlight that chemical modification of the original piperidones with a (1S)-(+)-camphorsulfonyl fragment resulted in a more pronounced cytotoxic effect. This modification evidently enhances the interaction of the molecules with biological targets and increases their capacity to induce cell death, which is a critical factor in the development of potential anticancer agents. At the same time, the introduction of (1R)-borneol chloroacetate into the piperidone structure did not change the IC50 values for the cytotoxic effect and, in some cases, led to reduced efficacy in inducing cell death.
Therefore, further discussion will focus specifically on the 3,5-bis(benzylidene)-1-[(7,7-dimethyl-2-oxobicyclo[2.2.1]heptan-1-yl)methylsulfonyl]-4-piperidones (16–21). It is clear that these compounds exhibit the optimal structure–activity relationship.
It is evident that the half-maximal inhibitory concentration (IC50) values after a 24 h incubation of cells with both the original piperidones and the molecules modified with the sulfonyl group (except for compounds 5 and 20) were lower than those for curcumin. Clearly, the obtained curcumin analogs possess a more promising cytotoxic activity profile, which undoubtedly underscores the rationale behind our modifications.
An equally important result, obtained from analyzing the cytotoxicity data of the molecules, is that the most pronounced ability to suppress tumor cell viability was demonstrated by halogen-containing derivatives 17 and 18 (with fluorine and chlorine atoms as substituents in the aromatic part of the molecule, respectively), as well as compound 21 (which contains three methoxyl groups on the benzene rings). Regarding the halogen-containing compounds 17 and 18, the enhancement of antitumor effects through the introduction of halogens into the chemical structure of molecules from various classes is well described in the literature [33,34,35,36]. Moreover, in our previous studies on a wide range of 3,5-bis(benzylidene)-4-piperidones with 2,5-dihydro-5H-1,2-oxaphospholenes, we directly identified a promising lead compound containing a fluorine atom in the benzene rings. This compound showed the most favorable cytotoxic profile and effectively inhibited the glycolytic function of tumor cells [17].
Furthermore, there is convincing evidence that functionalization of molecules by introducing methoxyl groups also enables achieving therapeutic superiority over analogs lacking such substituents [37,38]. In particular, in the work of Forero-Doria et al., methoxylated curcuminoids were found to inhibit MCF-7 cell migration without affecting the non-tumoral NIH3T3 cell line, in contrast to molecules that do not contain methoxyl groups [39]. These findings confirm the rationale and emphasize the critical role of halogen atoms or methoxyl groups in the aromatic rings of 3,5-bis(benzylidene)-4-piperidones in improving their antitumor properties.
Moreover, we have identified a trend indicating a more pronounced effect of the compounds on the MCF-7 breast carcinoma cell line. Interestingly, EF24, one of the most promising curcumin analogs, has shown significant results in experimental models of breast cancer [40]. Specifically, Duan et al. demonstrated significant tumor reduction by suppressing cell proliferation and inducing apoptotic death in an in vivo mouse model of a triple-negative breast cancer xenograft [41].
Also, it is well known that serious limitations exist in the clinical use of approved cytostatics today due to their systemic toxicity, which causes adverse effects on healthy tissues [42,43,44] and often necessitates dose reductions or even permanent discontinuation of treatment. Therefore, developing new agents that selectively target cancer cells, allowing precise tumor targeting while sparing the rest of the body, remains a significant challenge. Our synthesized compounds exhibited considerably lower toxicity toward the non-tumor WI-38 cell line, with selectivity indices (SI) reaching up to 6.5 in the case of compound 21 (WI-38/MCF-7). Thus, it is recommended to conduct further tests investigating the cytotoxic effects of these molecules on other cell lines to identify tumor types for which these substances may have enhanced toxicity.
Additionally, we conducted an experiment in which the exposure time of the MCF-7 cell line, which is most susceptible to the cytotoxic effects of the hybrid molecules, was increased to 72 h. This experiment aimed to identify possible antiproliferative effects of the compounds, as current literature data suggest that curcumin analogs possess similar properties. In particular, Namwan et al. demonstrated pronounced antiproliferative effects of the amino derivative of curcumin (4Z,6E)-5-Hydroxy-1,7-bis(4-hydroxy-3-methoxyphenyl)-1-((2-mercaptophenyl)amino)hepta-4,6-dien-3-one [45] against the A549 cell line. These effects increased significantly over the time interval from 0 to 72 h, reaching a peak at 72 h incubation [46].
Data in Table 2 indicate that the viability of MCF-7 cells was significantly reduced by all hybrid molecules with a 72 h incubation period. The IC50 values decreased to submicromolar levels, reaching 0.67 µM in the case of compound 21, which is nearly 15 times lower than the corresponding value at 24 h of incubation.
Table 2.
Antiproliferative potential of 3,5-bis(benzylidene)-1-[(7,7-dimethyl-2-oxobicyclo[2.2.1]heptan-1-yl)methylsulfonyl]-4-piperidones.
Thus, in addition to their cytotoxic effects, the synthesized molecules also demonstrated antiproliferative properties. Although the most pronounced decrease in the IC50 was observed for compound 21 at 72 h of exposure, all hybrid molecules exhibited a similar, though less pronounced, effect, clearly indicating their cytostatic properties.
3.3. In Silico Toxicological Cytotoxic Profile
Additionally, to identify correlations between the cytotoxic activity of the synthesized molecules and the effects of structurally similar compounds described in the literature, we performed an in silico cytotoxicity prediction using the CLC-Pred 2.0 web tool. This program contains information on 391 tumor cell lines and 47 normal human cell lines, based on data from ChEMBL and PubChem, covering more than 128,000 structures. Using the highly toxic molecule 21 as an example, this analysis provided deeper insight into its cytotoxic profile across cell lines of different origins and phenotypes.
The results presented in Table 3 show the predicted cytotoxicity of compound 21 (Pa > Pi and Pa > 0.250) against several cancer cell lines.
Table 3.
The results of the prediction of the cytotoxicity of the compound 21.
Thus, based on the data obtained, we found that the carcinomas of the intestine, breast, cervix, and lung are among the predicted cell lines most susceptible to compound 21. As a result of the in vitro experiments, we observed promising IC50 values for the cytotoxic effect in the submicromolar range, specifically against these tumor types. This allows us to conclude that our results are reliable within the in vitro experimental framework.
It should be noted that the prediction results also indicate a moderate probability of cytotoxicity of compound 21 against cancer cells of the lymphatic system, blood, skin, prostate, and thyroid gland. This suggests the versatility of compound 21 with respect to cell lines of various origins and opens new horizons for studying its antitumor potential and that of related compounds against these cancer types.
We also observed that among the predicted human cell lines affected by compound 21, there were no cells of normal origin. This correlates with the experimental results obtained for the WI-38 cell line, which showed the highest IC50 values for cytotoxicity. This suggests that compound 21 may selectively target human cancer cells.
3.4. In Silico ADME Profile of Synthesized Compounds
To evaluate whether the synthesized molecules could be considered potentially suitable drugs, hybrid molecules were analyzed for their pharmacokinetic properties. The results of the predicted ADME parameters are presented in Table 4 and Table 5.
Table 4.
Physicochemical properties of 3,5-bis(benzylidene)-1-[(7,7-dimethyl-2-oxobicyclo[2.2.1] heptan-1-yl)methylsulfonyl]-4-piperidones.
Table 5.
Drug-likeness properties of 3,5-bis(benzylidene)-1-[(7,7-dimethyl-2-oxobicyclo[2.2.1]heptan-1-yl)methylsulfonyl]-4-piperidones.
As shown in Table 4, the physicochemical properties of most hybrid molecules were within the acceptable range. The only exceptions were some parameters, in particular, the molecular weight, which, according to Lipinski’s rule, should not exceed 500. It should be emphasized that today in clinical practice, there are a number of drugs that have an imperfect comparable drug-likeness profile. However, many treatment protocols would be impossible without them. In particular, cisplatin, which is a first-line chemotherapeutic drug for a wide range of malignancies [47,48,49], does not fully comply with standard drug-likeness rules. In this regard, despite deviations from generally accepted drug-likeness rules observed in the synthesized molecules, our compounds can be considered as good candidates for medicinal products.
It should also be noted that when assessing the solubility of molecules in water, limited solubility in water was found for all hybrid compounds (logS > −4), which requires further optimization of the molecules, in particular, by adding fragments to the structure that enhance their solubility.
An analysis of the absorption parameters of the synthesized molecules is illustrated in Table 5. It is shown that all the studied hybrid molecules are characterized by optimal Caco-2 permeability (>−5.15 log units). At the same time, for curcumin, this value was beyond the acceptable range. Due to the fact that this model is used to predict the degree of absorption of a substance through intestinal membranes after oral administration and the degree of subsequent metabolism [50], it can be concluded that the results obtained fully correlate with the rapid metabolism and excretion of curcumin from the body [51]. At the same time, the synthesis of monocarbonyl analogs of this phytomolecule has significantly improved this characteristic.
It should also be noted that the ability to inhibit P-glycoprotein (Pgp) was shown for all hybrid molecules. Pgp is a protein that performs the function of an ATP-dependent pump responsible for the active transport of drugs from the intracellular to the extracellular compartment [52], and is known as the “multidrug resistance protein” [53]. The ability of molecules to inhibit Pgp is related to the elimination of substances from the body. Currently, Pgp is one of the most important barriers to highly effective cancer therapy, and identifying the inhibitory effect of potential oncolytics on Pgp may lead to molecules with improved pharmacokinetic profiles and, consequently, reduce the risk of developing drug resistance. Clearly, the sulfonyl fragment may contribute to such properties, since in silico cytotoxicity prediction showed a high probability of inhibiting the viability of cisplatin-resistant ovarian carcinoma for this part of the molecule.
When analyzing the MDCK permeability parameter, which reflects the degree of molecule absorption in the gastrointestinal tract [54], moderate passive MDCK permeability (>2−6) was observed for all studied molecules, with curcumin showing the least favorable value.
In addition, all synthesized molecules showed excellent human intestinal absorption (HIA > 30%), a critically important parameter for the therapeutic efficacy of drugs in the body.
The most significant results were obtained when assessing the bioavailability of the hybrid molecules. Evaluation of this parameter is a crucial prerequisite for effective drug delivery into systemic circulation. Thus, it was found that the reference molecule curcumin has an extremely unfavorable bioavailability profile, even when considering a minimum threshold of 20%, which is consistent with known data on the low bioavailability of this phytomolecule [51]. In contrast, most of the synthesized molecules exhibited bioavailability within acceptable limits at both thresholds—20% and 30%—with halogenated compounds 17 and 18, as well as compound 21, which contains three methoxyl groups, demonstrating the most promising bioavailability profiles.
Thus, based on the data obtained in the in silico analysis of the ADME profile of 3,5-bis(benzylidene)-1-[(7,7-dimethyl-2-oxobicyclo[2.2.1]heptan-1-yl)methylsulfonyl]-4-piperidones, it can be concluded that a confident step has been taken towards overcoming a critically important limitation of curcumin—its unsatisfactory pharmacokinetic profile—a step that undoubtedly requires further research and confirmation, using laboratory animals.
4. Conclusions
We developed a method to synthesize in good yields a series of terpene-functionalized 3,5-bis(benzylidene)-4-piperidones, each combining two pharmacophores: the curcumin-inspired 3,5-bis(benzylidene)-4-piperidone scaffold and a 1,7,7-trimethylbicyclo[2.2.1]heptane (bornane) terpene moiety. Two types of conjugates were obtained—the (1S)-borneol ester derivatives (11–15) and the (1S)-camphorsulfonyl sulfonamides (16–21). The structures of all new compounds were confirmed by 1H, 13C NMR spectroscopy and mass spectrometry.
In vitro cytotoxicity assays showed that the camphorsulfonyl-conjugated derivatives (16–21) have markedly stronger anticancer effects than both the parent piperidones (1–6) and the borneol-derived analogs (11–15). Notably, the camphorsulfonyl hybrids also outperformed curcumin in reducing cancer cell viability. Among the tested compounds, the halogen-substituted analogs 17 (fluorinated) and 18 (chlorinated), as well as the trimethoxy-substituted 21, were the most potent against cancer cells, but not normal WI-38 fibroblasts, demonstrating a high selectivity for tumor cells.
Overall, based on the results obtained during in vitro and in silico studies of cytotoxic potential, it can be concluded that designing monocarbonyl analogs of curcumin (such as 3,5-bis(benzylidene)-4-piperidone hybrids) is a promising strategy to overcome curcumin’s limitations. Compounds 17, 18, and 21 can be considered as potential candidates meriting further investigation to elucidate their antitumor mechanisms, particularly those related to the modulation of the metabolic state of tumor cells and cell death by apoptosis. This is supported by current literature data demonstrating the potential of synthetic curcumin analogs as antitumor agents through these mechanisms of action [55,56], including our previous publications [16,17,18,21,22,23,24]. Our approach can improve the phytomolecule’s therapeutic efficacy and pharmacokinetic profile, thereby paving the way for the rational design of more effective anticancer agents.
Supplementary Materials
The following supporting information can be downloaded at: https://www.mdpi.com/article/10.3390/chemistry7050167/s1, 1H,13C, 19F, HRMS (ESI+) NMR spectra of compounds.
Author Contributions
Conceptualization, V.B. and M.N.; data curation, Y.A., V.B. and M.N.; investigation, Y.A., A.S., I.S., A.R., N.A. and M.N.; methodology, Y.A., A.T., A.S., I.S., A.R., N.A. and V.B.; software, Y.A., A.T., A.S., I.S., N.A. and M.N.; supervision, V.B. and M.N.; validation, Y.A., A.T., A.S., I.S. and A.R.; visualization, Y.A. and A.R.; writing—original draft preparation, Y.A. and V.B.; writing—review and editing, A.T., N.A. and M.N. All authors have read and agreed to the published version of the manuscript.
Funding
This research has been funded by the Science Committee of the Ministry of Science and Higher Education of the Republic of Kazakhstan (Grant No. AP23490056).
Data Availability Statement
The original contributions presented in this study are included in the article/Supplementary Material. Further inquiries can be directed to the corresponding authors.
Acknowledgments
The authors would like to acknowledge the Ministry of Science and Higher Education of the Russian Federation (Contract No. 075-00276-25-00) and the Center for Molecular Composition Studies of INEOS RAS.
Conflicts of Interest
The authors declare no conflicts of interest.
Abbreviations
| ADME | Absorption, distribution, metabolism, excretion |
| CLC-Pred | Cell-line cytotoxicity predictor 2.0 |
| Bcl-2 | Apoptosis regulator Bcl-2 |
| Bax | Apoptosis regulator Bax |
| IL-6 | Interleukin 6 |
| TNF-α | Tumor necrosis factor alpha |
| NMR | Nuclear magnetic resonance spectroscopy |
| IC50 | The half maximal inhibitory concentration |
| MW | Molecular weight |
| nHA | H-bond acceptors |
| nHD | H-bond donors |
| nRot | Rotatable bonds |
| TPSA | Total polar surface area |
| Pgp | P-glycoprotein |
| HIA | Human intestinal absorption |
| TLC | Thin-layer chromatography |
| UV | Ultraviolet |
| HPLC | High performance liquid chromatography |
| DMEM | Dulbecco’s modified Eagle medium |
| MTT | 3-[4,5-dimethylthiazol-2-yl]-2,5-diphenyltetrazoliumbromide |
| DMSO | Dimethyl sulfoxide |
| Cell Lines | |
| HCT116 | Colon cancer |
| A431 | Epidermoid carcinoma |
| HepG2 | Liver cancer |
| QGY-7703 | Hepatocellular carcinoma |
| SMMC-7721 | Hepatocarcinoma |
| A549 | Lung carcinoma |
| MCF-7 | Breast cancer |
| HeLa | Cervical cancer |
| SW-480 | Colon adenocarcinoma |
| WI-38 | Fibroblasts |
| NIH3T3 | Fibroblasts |
| KM12 | Colon adenocarcinoma |
| HCC2998 | Colon adenocarcinoma |
| SR | Adult immunoblastic lymphoma |
| K562 | Erythroleukemia |
| HCC1937 | Breast Carcinoma |
| HeLa | Cervical adenocarcinoma |
| NCI-H522 | Non-small cell lung carcinoma |
| NCI-H1650 | Bronchoalveolar carcinoma |
| SK-MEL-1 | Metastatic melanoma |
| CCRF-CEM | Childhood T acute lymphoblastic leukemia |
| PC-3 | Prostate carcinoma |
| 8505C | Thyroid gland undifferentiated (anaplastic) carcinoma |
| M19-MEL | Melanoma |
| A2780cisR | Cisplatin-resistant ovarian carcinoma |
| Caco-2 | Colorectal adenocarcinoma |
| MDCK | Kidney |
References
- Peng, Y.; Ao, M.; Dong, B.; Jiang, Y.; Yu, L.; Chen, Z.; Hu, C.; Xu, R. Anti-Inflammatory Effects of Curcumin in the Inflammatory Diseases: Status, Limitations and Countermeasures. Drug Des. Devel. Ther. 2021, 15, 4503–4525. [Google Scholar] [CrossRef]
- Genchi, G.; Lauria, G.; Catalano, A.; Carocci, A.; Sinicropi, M.S. Neuroprotective Effects of Curcumin in Neurodegenerative Diseases. Foods 2024, 13, 1774. [Google Scholar] [CrossRef]
- Rai, M.; Feitosa, C.M.; Ingle, A.P.; Golinska, P. Harnessing bioactive nanocurcumin and curcumin nanocomposites to combat microbial pathogens: A comprehensive review. Crit. Rev. Biotechnol. 2025, 45, 1306–1328. [Google Scholar] [CrossRef]
- Amini, S.M.; M, I.G.; Farahyar, S.; Khodavaisy, S.; Roudbary, M.; Pirhajati Mahabadi, V.; Mahmoudi, S. Antifungal activity of green-synthesized curcumin-coated silver nanoparticles alone and in combination with fluconazole and itraconazole against Candida and Aspergillus species. Curr. Med. Mycol. 2023, 9, 38–44. [Google Scholar]
- Narayanan, V.S.; Muddaiah, S.; Shashidara, R.; Sudheendra, U.S.; Deepthi, N.C.; Samaranayake, L. Variable antifungal activity of curcumin against planktonic and biofilm phase of different candida species. Indian J. Dent. Res. 2020, 31, 145–148. [Google Scholar] [CrossRef]
- Weng, W.; Goel, A. Curcumin and colorectal cancer: An update and current perspective on this natural medicine. Semin. Cancer Biol. 2022, 80, 73–86. [Google Scholar] [CrossRef] [PubMed]
- Rathod, N.V.; Mishra, S. Nano-Curcumin for Cancer Therapy: A Strategic Approach to Improve Bioavailability and Modulate Tumor Resistance. Chem. Biodivers. 2025, e02012. [Google Scholar] [CrossRef]
- Aleksandrova, Y.; Neganova, M. Antioxidant Senotherapy by Natural Compounds: A Beneficial Partner in Cancer Treatment. Antioxidants 2025, 14, 199. [Google Scholar] [CrossRef]
- El-Saadony, M.T.; Saad, A.M.; Mohammed, D.M.; Alkafaas, S.S.; Ghosh, S.; Negm, S.H.; Salem, H.M.; Fahmy, M.A.; Mosa, W.F.A.; Ibrahim, E.H.; et al. Curcumin, an active component of turmeric: Biological activities, nutritional aspects, immunological, bioavailability, and human health benefits—A comprehensive review. Front. Immunol. 2025, 16, 1603018. [Google Scholar] [CrossRef] [PubMed]
- Nie, Y.; Li, Y. Curcumin: A potential anti-photoaging agent. Front. Pharmacol. 2025, 16, 1559032. [Google Scholar] [CrossRef] [PubMed]
- Gronich, N. Central Nervous System Medications: Pharmacokinetic and Pharmacodynamic Considerations for Older Adults. Drugs Aging 2024, 41, 507–519. [Google Scholar] [CrossRef]
- Blommaert, A.G.S.; Weng, J.H.; Dorville, A.; McCort, I.; Ducos, B.; Durieux, C.; Roques, B.P. Cholecystokinin peptidomimetics as selective CCK-B antagonists: Design, synthesis, and in vitro and in vivo biochemical properties. J. Med. Chem. 1993, 36, 2868–2877. [Google Scholar] [CrossRef]
- Bellier, B.; McCort-Tranchepain, I.; Ducos, B.; Danascimento, S.; Meudal, H.; Noble, F.; Garbay, C.; Roques, B.P. Synthesis and biological properties of new constrained CCK-B antagonists: Discrimination of two affinity states of the CCK-B receptor on transfected CHO cells. J. Med. Chem. 1997, 40, 3947–3956. [Google Scholar] [CrossRef]
- Wanka, L.; Iqbal, K.; Schreiner, P.R. The lipophilic bullet hits the targets: Medicinal chemistry of adamantane derivatives. Chem. Rev. 2013, 113, 3516–3604. [Google Scholar] [CrossRef]
- Li, W.; Yan, W.; Liu, Y.; Hou, G.; Li, C. Treatment of rheumatoid arthritis with curcumin analog 3,5-bis(arylidene)-4-piperidone. Future Med. Chem. 2023, 15, 2051–2064. [Google Scholar] [CrossRef] [PubMed]
- Neganova, M.E.; Aleksandrova, Y.R.; Sharova, E.V.; Smirnova, E.V.; Artyushin, O.I.; Nikolaeva, N.S.; Semakov, A.V.; Schagina, I.A.; Akylbekov, N.; Kurmanbayev, R.; et al. Conjugates of 3,5-Bis(arylidene)-4-piperidone and Sesquiterpene Lactones Have an Antitumor Effect via Resetting the Metabolic Phenotype of Cancer Cells. Molecules 2024, 29, 2765. [Google Scholar] [CrossRef]
- Neganova, M.E.; Aleksandrova, Y.R.; Nikolaeva, N.S.; Brel, V.K. Synthesis and biological testing of 3,5-bis(arylidene)-4-piperidone conjugates with 2,5-dihydro-5H-1,2-oxaphospholenes. Bioorg. Med. Chem. Lett. 2022, 74, 128940. [Google Scholar] [CrossRef]
- Artyushin, O.I.; Sharova, E.V.; Smirnova, E.V.; Semakov, A.V.; Aleksandrova, Y.R.; Neganova, M.E.; Brel, V.K. Synthesis of conjugates of sesquiterpene lactones with 3,5-bis(arylidene)piperidin-4-ones as potential nf-κb modulators using phase transfer catalysis conditions. Russ. Chem. Bull. 2024, 73, 3389–3398. [Google Scholar] [CrossRef]
- Jha, A.; Duffield, K.M.; Ness, M.R.; Ravoori, S.; Andrews, G.; Bhullar, K.S.; Rupasinghe, H.P.; Balzarini, J. Curcumin-inspired cytotoxic 3,5-bis(arylmethylene)-1-(N-(ortho-substituted aryl)maleamoyl)-4-piperidones: A novel group of topoisomerase II alpha inhibitors. Bioorg. Med. Chem. 2015, 23, 6404–6417. [Google Scholar] [CrossRef] [PubMed]
- Seliem, I.A.; Panda, S.S.; Girgis, A.S.; Tran, Q.L.; Said, M.F.; Bekheit, M.S.; Abdelnaser, A.; Nasr, S.; Fayad, W.; Soliman, A.A.F.; et al. Development of Isatin-Based Schiff Bases Targeting VEGFR-2 Inhibition: Synthesis, Characterization, Antiproliferative Properties, and QSAR Studies. ChemMedChem 2022, 17, e202200164. [Google Scholar] [CrossRef] [PubMed]
- Makarov, M.V.; Rybalkina, E.Y.; Brel, V.K. 3, 5-Bis (Arylidene)-4-Piperidones Modified by Bisphosphonate Groups as Novel Anticancer Agents. Phosphorus Sulfur. Silicon Relat. Elem. 2015, 190, 741–746. [Google Scholar] [CrossRef]
- Makarov, M.V.; Rybalkina, E.Y.; Khrustalev, V.N.; Röschenthaler, G.V. Modification of 3, 5-bis (arylidene)-4-piperidone pharmacophore by phosphonate group using 1, 2, 3-triazole cycle as a linker for the synthesis of new cytostatics. Med. Chem. Res. 2015, 24, 1753–1762. [Google Scholar] [CrossRef]
- Makarov, M.V.; Rybalkina, E.Y.; Anikina, L.V.; Pukhov, S.A.; Klochkov, S.G.; Mischenko, D.V.; Neganova, M.E.; Khrustalev, V.N.; Klemenkova, Z.S.; Brel, V.K. 1,5-Diaryl-3-oxo-1,4-pentadienes based on (4-oxopiperidin-1-yl)(aryl)methyl phosphonate scaffold: Synthesis andantitumor properties. Med. Chem. Res. 2016, 26, 140–152. [Google Scholar] [CrossRef]
- Neganova, M.E.; Smirnova, E.V.; Sharova, E.V.; Artyushin, O.I.; Alexandrova, Y.R.; Yandulova, E.Y.; Nikolaeva, N.S.; Brel, V.K. Design of Conjugates Based on Sesquiterpene Lactones with Polyalkoxybenzenes by “Click” Chemistry to Create Potential Anticancer Agents. Molecules 2022, 27, 8411. [Google Scholar] [CrossRef]
- Sokolova, A.S.; Yarovaya, O.I.; Artyushin, O.I.; Sharova, E.V.; Baev, D.S.; Mordvinova, E.D.; Shcherbakov, D.N.; Shnaider, T.A.; Nikitina, T.V.; Esaulkova, I.L.; et al. Design, synthesis and antiviral evaluation of novel conjugates of the 1,7,7-trimethylbicyclo[2.2.1]heptane scaffold and saturated N-heterocycles via 1,2,3-triazole linker. Arch. Pharm. 2024, 357, e2300549. [Google Scholar] [CrossRef]
- Katiyar, P.; Kalpana; Srivastava, A.; Singh, C.M. Investigation of Benzimidazole Derivatives in Molecular Targets for Breast Cancer Treatment: A Comprehensive Review. Crit. Rev. Oncog. 2025, 30, 43–58. [Google Scholar] [CrossRef]
- Dimmock, J.; Padmanilayam, M.; Puthucode, R.; Nazarali, A.; Motaganahalli, N.; Zello, G.; Quail, J.W.; Oloo, E.O.; Kraatz, H.B.; Prisciak, J.S.; et al. A Conformational and Structure—Activity Relationship Study of Cytotoxic 3,5-Bis(arylidene)-4-piperidones and Related N-Acryloyl Analogues. J. Med. Chem. 2001, 44, 586–593. [Google Scholar] [CrossRef] [PubMed]
- Sokolova, A.S.; Yarovaya, O.I.; Shtro, A.A.; Borisova, M.S.; Morozova, E.A.; Tolstikova, T.G.; Zarubaev, V.V.; Salakhutdinov, N.F. Synthesis and biological activity of heterocyclic borneol derivatives. Chem. Heterocycl. Compd. 2017, 53, 371–377. [Google Scholar] [CrossRef]
- Huynh, U.; McDonald, S.L.; Lim, D.; Uddin, M.N.; Wengryniuk, S.E.; Dey, S.; Coltart, D.M. Formation, Alkylation, and Hydrolysis of Chiral Nonracemic N-Amino Cyclic Carbamate Hydrazones: An Approach to the Enantioselective A-Alkylation of Ketones. J. Org. Chem. 2018, 83, 12951. [Google Scholar] [CrossRef] [PubMed]
- Stockert, J.C.; Horobin, R.W.; Colombo, L.L.; Blazquez-Castro, A. Tetrazolium salts and formazan products in Cell Biology: Viability assessment, fluorescence imaging, and labeling perspectives. Acta Histochem. 2018, 120, 159–167. [Google Scholar] [CrossRef]
- Lagunin, A.A.; Rudik, A.V.; Pogodin, P.V.; Savosina, P.I.; Tarasova, O.A.; Dmitriev, A.V.; Ivanov, S.M.; Biziukova, N.Y.; Druzhilovskiy, D.S.; Filimonov, D.A.; et al. CLC-Pred 2.0: A Freely Available Web Application for In Silico Prediction of Human Cell Line Cytotoxicity and Molecular Mechanisms of Action for Druglike Compounds. Int. J. Mol. Sci. 2023, 24, 1689. [Google Scholar] [CrossRef]
- Fu, L.; Shi, S.; Yi, J.; Wang, N.; He, Y.; Wu, Z.; Peng, J.; Deng, Y.; Wang, W.; Wu, C.; et al. ADMETlab 3.0: An updated comprehensive online ADMET prediction platform enhanced with broader coverage, improved performance, API functionality and decision support. Nucleic Acids Res. 2024, 52, W422–W431. [Google Scholar] [CrossRef] [PubMed]
- Hwang, S.Y.; Shrestha, A.; Park, S.; Bist, G.; Kunwar, S.; Kadayat, T.M.; Jang, H.; Seo, M.; Sheen, N.; Kim, S.; et al. Identification of new halogen-containing 2,4-diphenyl indenopyridin-5-one derivative as a boosting agent for the anticancer responses of clinically available topoisomerase inhibitors. Eur. J. Med. Chem. 2022, 227, 113916. [Google Scholar] [CrossRef]
- Li, J.J.; Ma, J.; Xin, Y.B.; Quan, Z.S.; Tian, Y.S. Synthesis and pharmacological evaluation of 2,3-diphenyl acrylonitriles-bearing halogen as selective anticancer agents. Chem. Biol. Drug Des. 2018, 92, 1419–1428. [Google Scholar] [CrossRef]
- Upadhyay, R.; Tandel, P.; Patel, A.B. Halogen-based quinazolin-4(3H)-one derivatives as MCF-7 breast cancer inhibitors: Current developments and structure-activity relationship. Arch Pharm 2025, 358, e2400740. [Google Scholar] [CrossRef]
- Neganova, M.E.; Klochkov, S.G.; Aleksandrova, Y.R.; Osipov, V.N.; Avdeev, D.V.; Pukhov, S.A.; Gromyko, A.V.; Aliev, G. New Spirocyclic Hydroxamic Acids as Effective Antiproliferative Agents. Anticancer. Agents Med. Chem. 2021, 21, 597–610. [Google Scholar] [CrossRef]
- Fedorov, S.N.; Radchenko, O.S.; Shubina, L.K.; Balaneva, N.N.; Bode, A.M.; Stonik, V.A.; Dong, Z. Evaluation of cancer-preventive activity and structure-activity relationships of 3-demethylubiquinone Q2, isolated from the ascidian Aplidium glabrum, and its synthetic analogs. Pharm. Res. 2006, 23, 70–81. [Google Scholar] [CrossRef] [PubMed]
- Traversi, G.; Staid, D.S.; Fiore, M.; Percario, Z.; Trisciuoglio, D.; Antonioletti, R.; Morea, V.; Degrassi, F.; Cozzi, R. A novel resveratrol derivative induces mitotic arrest, centrosome fragmentation and cancer cell death by inhibiting gamma-tubulin. Cell Div. 2019, 14, 3. [Google Scholar] [CrossRef] [PubMed]
- Forero-Doria, O.; Guzman, L.; Jimenez-Aspee, F.; Echeverria, J.; Wehinger, S.; Valenzuela, C.; Araya-Maturana, R.; Martínez-Cifuentes, M. An In Vitro and In Silico Study of Antioxidant Properties of Curcuminoid N-alkylpyridinium Salts: Initial Assessment of Their Antitumoral Properties. Antioxidants 2022, 11, 1104. [Google Scholar] [CrossRef]
- Sazdova, I.; Keremidarska-Markova, M.; Dimitrova, D.; Mitrokhin, V.; Kamkin, A.; Hadzi-Petrushev, N.; Bogdanov, J.; Schubert, R.; Gagov, H.; Avtanski, D.; et al. Anticarcinogenic Potency of EF24: An Overview of Its Pharmacokinetics, Efficacy, Mechanism of Action, and Nanoformulation for Drug Delivery. Cancers 2023, 15, 5478. [Google Scholar] [CrossRef]
- Duan, Y.; Chen, H.L.; Ling, M.; Zhang, S.; Ma, F.X.; Zhang, H.C.; Lv, X.A. The Curcumin Analog EF24 Inhibits Proliferation and Invasion of Triple-Negative Breast Cancer Cells by Targeting the Long Noncoding RNA HCG11/Sp1 Axis. Mol. Cell Biol. 2022, 42, e0016321. [Google Scholar] [CrossRef]
- Ferro, Y.; Maurotti, S.; Tarsitano, M.G.; Lodari, O.; Pujia, R.; Mazza, E.; Lascala, L.; Russo, R.; Pujia, A.; Montalcini, T. Therapeutic Fasting in Reducing Chemotherapy Side Effects in Cancer Patients: A Systematic Review and Meta-Analysis. Nutrients 2023, 15, 2666. [Google Scholar] [CrossRef]
- Hu, J.; Wang, Z.; Wang, X.; Xie, S. Side-effects of hyperthermic intraperitoneal chemotherapy in patients with gastrointestinal cancers. PeerJ 2023, 11, e15277. [Google Scholar] [CrossRef] [PubMed]
- Di Nardo, P.; Lisanti, C.; Garutti, M.; Buriolla, S.; Alberti, M.; Mazzeo, R.; Puglisi, F. Chemotherapy in patients with early breast cancer: Clinical overview and management of long-term side effects. Expert. Opin. Drug Saf. 2022, 21, 1341–1355. [Google Scholar] [CrossRef] [PubMed]
- Kumboonma, P.; Senawong, T.; Saenglee, S.; Senawong, G.; Somsakeesit, L.; Yenjai, C.; Phaosiri, C. New Histone Deacetylase Inhibitors and Anticancer Agents From Curcuma Longa. Med. Chem. Res. 2019, 28, 1773–1782. [Google Scholar] [CrossRef]
- Namwan, N.; Senawong, G.; Phaosiri, C.; Kumboonma, P.; Somsakeesit, L.O.; Samankul, A.; Leerat, C.; Senawong, T. HDAC Inhibitory and Anti-Cancer Activities of Curcumin and Curcumin Derivative CU17 against Human Lung Cancer A549 Cells. Molecules 2022, 27, 4014. [Google Scholar] [CrossRef]
- Permsuwan, U.; Thongprasert, S.; Sirichanchuen, B. Cost-Utility Analysis of First-Line Pemetrexed Plus Cisplatin in Non-Small Cell Lung Cancer in Thailand. Value Health Reg. Issues 2020, 21, 9–16. [Google Scholar] [CrossRef]
- Katayama, S.; Kobayashi, Y.; Takamoto, A.; Edamura, K.; Sadahira, T.; Iwata, T.; Nishimura, S.; Sako, T.; Wada, K.; Araki, M.; et al. Impact of paclitaxel, cisplatin, and gemcitabine as first-line chemotherapy in cisplatin-fit and -unfit patients with advanced/metastatic urothelial carcinoma. Urol. Oncol. 2021, 39, 731.e25–731.e32. [Google Scholar] [CrossRef] [PubMed]
- Wang, X.; Liu, T.; Fei, Y.; Zhang, S.; Yang, Y.; Chen, Z.; Zhu, R.; Deng, S.; Zhang, T.; Wu, D.; et al. RTA-408 overcomes cisplatin-resistant lung cancer by inhibiting WWP1-mediated NCOA4 ubiquitination to induce ferritinophagy and ferroptosis. Free Radic. Biol. Med. 2025, 238, 595–610. [Google Scholar] [CrossRef]
- Panse, N.; Gerk, P.M. The Caco-2 Model: Modifications and enhancements to improve efficiency and predictive performance. Int. J. Pharm. 2022, 624, 122004. [Google Scholar] [CrossRef]
- Alam, M.S.; Anwar, M.J.; Maity, M.K.; Azam, F.; Jaremko, M.; Emwas, A.H. The Dynamic Role of Curcumin in Mitigating Human Illnesses: Recent Advances in Therapeutic Applications. Pharmaceuticals 2024, 17, 1674. [Google Scholar] [CrossRef] [PubMed]
- Barsony, O.; Szaloki, G.; Turk, D.; Tarapcsak, S.; Gutay-Toth, Z.; Bacso, Z.; Holb, I.J.; Székvölgyi, L.; Szabó, G.; Csanády, L.; et al. A single active catalytic site is sufficient to promote transport in P-glycoprotein. Sci. Rep. 2016, 6, 24810. [Google Scholar] [CrossRef] [PubMed]
- Yang, X.; Li, X.; Duan, Z.; Wang, X. An Update on Circumventing Multidrug Resistance in Cancer by Targeting P-Glycoprotein. Curr. Cancer Drug Targets 2018, 18, 677–696. [Google Scholar] [CrossRef]
- Kondo, S.; Miyake, M. Simultaneous Prediction Method for Intestinal Absorption and Metabolism Using the Mini-Ussing Chamber System. Pharmaceutics 2023, 15, 2732. [Google Scholar] [CrossRef]
- Mardaneh, P.; Lavian, S.; Bagherniya, M.; Roufogalis, B.D.; Sahebkar, A. Synthetic Curcumin Analogs in the Treatment of Cancer: A Literature Review. Curr. Med. Chem. 2025, 32, 3366–3388. [Google Scholar] [CrossRef]
- MaruYama, T.; Miyazaki, H.; Komori, T.; Osana, S.; Shibata, H.; Owada, Y.; Kobayashi, S. Curcumin analog GO-Y030 inhibits tumor metastasis and glycolysis. J. Biochem. 2023, 174, 511–518. [Google Scholar] [CrossRef] [PubMed]
Disclaimer/Publisher’s Note: The statements, opinions and data contained in all publications are solely those of the individual author(s) and contributor(s) and not of MDPI and/or the editor(s). MDPI and/or the editor(s) disclaim responsibility for any injury to people or property resulting from any ideas, methods, instructions or products referred to in the content. |
© 2025 by the authors. Licensee MDPI, Basel, Switzerland. This article is an open access article distributed under the terms and conditions of the Creative Commons Attribution (CC BY) license (https://creativecommons.org/licenses/by/4.0/).




