Next Article in Journal
Revolutionizing Cancer Vaccine: The Power of Advanced Nanotechnology
Previous Article in Journal
Insight into the Dyeability of Bio-Based Polyamide 56 by Natural Dyes
 
 
Font Type:
Arial Georgia Verdana
Font Size:
Aa Aa Aa
Line Spacing:
Column Width:
Background:
Article

Preparation, Crystal Structure, and Energetic Properties of Four 2,4,7,9-Tetranitro-10H-benzofuro[3,2-b]indole (TNBFI) Based Solvates

1
Institute of Chemical Materials, China Academy of Engineering Physics, Mianyang 621900, China
2
School of Chemical Engineering, Nanjing University of Science and Technology, Nanjing 210094, China
*
Authors to whom correspondence should be addressed.
Chemistry 2025, 7(3), 96; https://doi.org/10.3390/chemistry7030096
Submission received: 5 April 2025 / Revised: 22 May 2025 / Accepted: 3 June 2025 / Published: 9 June 2025
(This article belongs to the Section Chemistry of Materials)

Abstract

Understanding the reactivity and the crystallinity of energetic materials in a solvent is significantly important for their synthesis, purification, and recrystallization. Here, the recrystallization of TNBFI (2,4,7,9-tetranitro-10H-benzofuro[3,2-b]indole), a primary explosive with good thermal stability, in different solvents was studied. Four TNBFI solvates, including TNBFI·AC (AC = acetone), TNBFI·2DMSO (DMSO = dimethyl sulfoxide), TNBFI·4DIO (DIO = 1,4-dioxane), and TNBFI·ACN (ACN = acetonitrile), were obtained. The crystal structures of the solvates were determined by single-crystal X-ray diffraction (SCXRD). The molecular packing and intermolecular interactions in the solvate structures were investigated, and their energetic properties were predicted. Among them, TNBFI·ACN showed good detonation performance with a detonation velocity of 6228 m·s−1 and detonation pressure of 16.23 GPa, which was comparable to TNT and with a potential application in both ammunition and industry. These results will be helpful in the synthesis and purification of TNBFI and valuable for the design of the solvate structure for other energetic materials.

1. Introduction

Energetic materials (EMs), including explosives, propellants, and pyrotechnics, have been widely used in both civilian and military applications [1,2,3,4]. Normally, energetic molecules are synthesized and crystallize in a solvent environment [5,6,7,8]. Before practical use, EMs usually need to go through multiple processes such as purification and morphology control, which are also carried out in a solvent environment [9,10,11,12,13]. The reactivity and the crystallinity in a solvent are significantly valuable to the applications of EMs. 2,4,7,9-Tetranitro-10H-benzofuro[3,2-b]indole (TNBFI) is an energetic derivative of hexanitrostilbene (HNS) and a thermally stable booster explosive [14,15]. TNBFI was first synthesized in 2006 through the reaction of dimethyl formamide and HNS in an alkaline environment, and the chemical composition of TNBFI was determined by nuclear magnetic, infrared, and Raman techniques [16]. In our previous study, the recrystallization of TNBFI in N,N-dimethylformamide (DMF) and DMSO was studied, and two solvates of TNBFI, TNBFI·2DMF and TNBFI∙2DMSO, were obtained [17,18]. Herein, the reactivity and crystallinity of TNBFI in various solvents, including acetone (AC), DMSO, 1,4-dioxane (DIO), and acetonitrile (ACN), were studied. The molecular structure of TNBFI and the above solvents is shown in Figure 1. Four different TNBFI-based solvates, TNBFI·AC, TNBFI·2DMSO, TNBFI·4DIO, and TNBFI·ACN, were achieved, and their crystal structures were solved by single-crystal X-ray diffraction (SCXRD). The molecular stacking and intermolecular interactions were investigated to explain the formation of the solvate structure. Their energetic properties were also predicted. The results will help understand the reactivity and crystallinity of TNBFI in a solvent and are valuable for the design of the solvate structure of other energetic materials.

2. Experimental

2.1. Components, Materials, and Reagents

HNS was provided by the Institute of Chemical Materials, China Academy of Engineering Physics. PMP was purchased from Tokyo Chemical Industry Co., Ltd., Tokyo, Japan. DMSO, AC, and DIO were purchased from Tianjin Kermel Chemical Reagent Co., Ltd., Tianjin, China. DMF and ACN were produced by Guandong Guanghua Sci-Tech Co., Ltd., Shantou, China. All of the reagents used were of analytical purity and used without any further purification.

2.2. Synthesis and Desolvation of TNBFI∙2DMF

The synthesis of TNBFI∙2DMF solvates is based on the literature [11]. A total of 0.045 g HNS was dissolved in 3.0 mL DMF at 70 °C in an unsealed bottle with stirring for half an hour. After adding 0.033 g PMP into the solution, a clear black solution was formed after stirring for 3 h. Needle crystals were isolated by filtration and washed with ultrapure water after allowing to stand for 5 days at room temperature. Then, the prepared TNBFI∙2DMF solvate was dried in an oven at 200 °C for 0.5 h to remove DMF and obtain desolvated TNBFI.

2.3. Synthesis of Four Solvates of TNBFI

In the synthesis of TNBFI∙AC, 0.01 g TNBFI was dissolved in 2 mL AC at 80 °C, which was naturally cooled down to room temperature and allowed to stand. After the slow evaporation of AC over 2 days, needle crystals of TNBFI∙AC were obtained. TNBFI∙2DMSO, TNBFI∙4DIO, and TNBFI∙ACN were prepared in the same way as TNBFI∙AC with AC replaced by DMSO, DIO, and ACN, respectively. In the synthesis of TNBFI∙2DMSO and TNBFI∙4DIO, the solution was also kept at room temperature. However, for TNBFI∙ACN, the solution must be kept at a low temperature, e.g., 5 °C, otherwise no crystals were obtained.

2.4. Structure Determination of TNBFI Solvates

Single-crystal X-ray diffraction data for the crystals synthesized with PMP and BME were collected on a SuperNova diffractometer with CuKα (λ = 1.541783 Å) radiation at 298 K. Data reduction and empirical absorption correction were applied with CrysAlisPro with the version of 171.40_64.84a, and the structure was solved and refined by SHELX.14 All non-hydrogen atoms were located from the single-crystal X-ray diffraction data. Crystallographic details of the structure refinement are listed in Table 1. The atomic coordinates and equivalent isotropic displacement parameters can be found in the crystallographic information files (CCDC-1918063, 1918066, 1918065, and 1918064 for TNBFI∙AC, TNBFI∙2DMSO, TNBFI∙4DIO, and TNBFI∙ACN, respectively) via www.ccdc.cam.ac.uk/data_request/cif (accessed on 3 April 2024). The crystal structures of the three TNBFI solvates were also confirmed by the refinement of their X-ray powder diffractions, as shown in Figure 2. In addition to 2 TNBFI molecules and 4 DIO molecules, there were also two disordered cavities in a cell measured by single-crystal X-ray diffraction in TNBFI·4DIO, which is finally defined as TNBFI·4DIO.

2.5. Mass Spectrometry of TNBFI·2DMSO

The TNBFI molecule in the solvate structures was identified by a negative ESI mass spectrum. Typically, a mixed sample of TNBFI·DMSO and TNBFI·2DMSO was selected for analysis. The main peak at m/z 386.00 was attributed to the ionization of TNBFI, forming C14H4N5O9 with a theoretical mass of 386.22, as shown in Figure 3, which confirms the maintenance of the TNBFI molecule after solvation.

3. Results and Discussion

3.1. Molecular Packing

In the crystal structure of TNBFI∙AC, the TNBFI molecules repetitively stack along the a-axis to form a TNBFI queue in a ⋯AAA⋯ sequence, as shown in Figure 4a,b. According to the P21/c space group symmetry of TNBFI∙AC, there are four different TNBFI queues which are symmetrically related by the 21 screw axis along the b-axis or invert center. Similar TNBFI queues are found in the crystal structure of TNBFI∙2DMSO and TNBFI∙4DIO, as shown in Figure 4c–f. However, there are only two different TNBFI queues, both in TNBFI∙2DMSO and TNBFI∙4DIO. The TNBFI queues in TNBFI∙2DMSO are symmetrically related by c-glide with a mirror plane perpendicular to the b-axis, and those in TNBFI∙4DIO are related by n-glide with a mirror plane perpendicular to the b-axis. The TNBFI queues also appear in the crystal structure of TNBFI∙ACN. In TNBFI·ACN, the adjacent TNBFI molecules within the molecular queue adopt alternating orientations, symmetrically linked via a two-fold axis, thereby generating a periodic ⋯ABAB⋯ stacking sequence. In all of the four solvates, the guest solvent molecules, AC, DMSO, DIO, and ACN, appear in between the TNBFI queues, as shown in Figure 4a,c,e,g.

3.2. π-Stacking Interactions

In all four solvates, the TNBFI molecules in the queue have a shift corresponding to the neighboring ones along the direction perpendicular to the queue, and show π-stacking interactions between each other. Because of the different directions and distances between the shifts in the TNBFI molecules, the π-stacking interactions in the four solvates have different geometric configurations. In TNBFI∙AC, the N-atom on the imidazole ring and the O-atom on the furan ring are almost on the top of the center of the benzene rings in the neighboring TNBFI molecules, as shown in Figure 5a. The distances from the N-atom and O-atom to the center of the benzene rings are 3.39 Å and 3.39 Å. In TNBFI∙2DMSO and TNBFI∙4DIO, the C-atoms on the benzene rings are almost on the top of the center of the imidazole ring and the furan ring in the neighboring TNBFI molecules, as shown in Figure 5b,c. The distances from the C-atoms and the center of the imidazole ring and the furan ring in TNBFI∙2DMSO are 3.36 Å and 3.36 Å, and those in TNBFI∙4DIO are 3.42 Å and 3.41 Å. In TNBFI∙ACN, the O-atoms on the nitro groups are almost on the top of the center of the imidazole ring and the benzene ring in the neighboring TNBFI molecules, as shown in Figure 5d. The distances from the O-atoms and the center of the imidazole ring and the benzene ring are 3.26 Å and 3.36 Å.

3.3. H-Bonding Interactions

Besides the π-stacking interaction, the other intermolecular interaction observed in the TNBFI solvates is the H-bonding interaction. In TNBFI∙AC, two kinds of intermolecular H-bonds have been found, as shown in Figure 6a: One is between the O-atom on the guest AC molecule and the H-atoms on the imidazole ring and benzene ring of the TNBFI molecule, with O⋯H distances of 2.18 Å and 2.42 Å. The other is between the H-atoms on the benzene rings and O-atoms on the nitro group on the other TNBFI, with O⋯H distances of 2.48 Å. However, only H-bonds between the guest solvent molecules and the TNBFI molecules have been observed in TNBFI∙2DMSO and TNBFI∙4DIO. In TNBFI∙2DMSO, one TNBFI molecule interacts with two DMSO molecules via H-bonds from the H-atoms on the imidazole ring and benzene rings to the O-atom on the DMSO molecules with O⋯H distances of 2.68 Å, 2.39 Å, and 2.43 Å, as shown in Figure 6b. In TNBFI∙4DIO, there are three types of hydrogen bonds: The first is the hydrogen bond between methylene H on the DIO molecule and the O of the nitro group on the TNBFI molecule, which is 2.52 Å, 2.38 Å, 2.63 Å, 2.72 Å, and 2.57 Å, respectively. The second is the hydrogen bond between the O on the DIO molecule and the H of the pyrrole ring on the TNBFI molecule, with a length of 2.26 Å. The third is the hydrogen bond between the O of the nitro group and the H of the pyrrole ring on the TNBFI molecule, with a length of 2.31 Å. In addition, the disordered region that exists below the TNBFI molecule also has hydrogen bonds with the TNBFI molecule. In TNBFI∙ACN, there are three types of hydrogen bonds: The first is the hydrogen bond between the H of the pyrrole ring on the TNBFI molecule and the N of the ACN molecule, with a length of 2.31 Å. The second type is the hydrogen bond between the O of the nitro group and the H of the benzene ring on the TNBFI molecule, which is 2.48 Å, 2.51 Å, 2.48 Å, 2.51 Å, 2.54 Å, and 2.54 Å, respectively. The third is the hydrogen bond between the O of the nitro group and the H of the pyrrole ring on the TNBFI molecule, with a length of 2.35 Å. The details of the hydrogen bonds in the four solvates can be seen in Table 2.

3.4. Energetic Properties

The lattice energy U p o t was calculated using Materials Studio 2020 software with the Dmol3 module [19,20]. The computational parameters included the DNP (Double Numerical Polarization) basis set, GGA-PBE exchange-correlation functional, a self-consistent field (SCF) convergence criterion of 1.0 × 10−6 Ha, and an Ultra Fine integration grid accuracy to ensure numerical precision. The enthalpy of formation f H m θ of the TNBFI molecule and solvent molecule were calculated by Gaussian 09 software [21], employing the CBS-4M method and its built-in basis set (Built-in basis set of CBS-4M), and were carried out under the following conditions: temperature at 298.15 K and a standard pressure of 1 atm. Then, the enthalpy of the formation of the solvates was obtained using Formula (3).
f H m θ = f H m θ ( T N B F I ) + f H m θ ( s o l v e n t   m o l e c u l e ) U p o t
The detonation heat Q is calculated by the difference between the enthalpy of formation of the solvates and the their gas products based on the following detonation Equations (4)–(8) with f H m θ C O 2 = −393.51 kJ·mol−1 and f H m θ H 2 O = −241.83 kJ·mol−1 searched at NIST Webook [22].
C 17 H 11 N 5 O 10 5.5 H 2 O + 2.25 C O 2 + 14.75 C + 2.5 N 2
C 18 H 17 N 5 O 11 S 8.5 H 2 O + 1.25 C O 2 + 16.75 C + 2.5 N 2 + S
C 30 H 37 N 5 O 17 17 H 2 O + 30 C + 2.5 N 2 + 1.5 H 2
C 16 H 8 N 6 O 9 4 H 2 O + 2.5 C O 2 + 13.5 C + 3 N 2
C 16 H 11 N 5 O 10 S 5.5 H 2 O + 2.25 C O 2 + 13.75 C + 2.5 N 2 + S
Combined with the density given by the cif file, the detonation velocity vD (m·s−1) and detonation pressure P (GPa) were calculated by the Kamlet–Jacobs (K-J) equations [23,24], as shown in Equations (7) and (8).
v D = 1.01 N M ¯ Q ( 1 + 1.3 ρ )
P = 1.558 ρ 2 N M ¯ Q
where N is moles of detonation gases per gram of explosive, M is the average molecular weight of the gases, Q is the detonation heat (kcal·g−1), and ρ is the density (g·cm−3).
The results (Table 3) show that all four solvates have good energetic properties with detonation velocity higher than 5000 m·s−1 and detonation pressure larger than 10 GPa. Among them, the TNBFI·ACN has the highest detonation velocity of 6228 m·s−1 and detonation pressure of 16.23 GPa, which are comparable to the famous explosive TNT (6942 m·s−1 and 18.66 GPa), showing a potential application in both ammunition and industry. The best detonation performance of TNBFI·ACN stems from its unique molecular stacking and intermolecular interactions. The ⋯ABAB⋯ sequence of TNBFI molecules in TNBFI·ACN shows certain optimization on the π-stacking interactions between the neighboring TNBFI molecules, with the distances between the nitro oxygen atoms and the adjacent benzene/imidazole rings shortened to 3.26 Å and 3.36 Å, as shown in Figure 5d, which are shorter than those in the other three solvates, e.g., 3.39 Å in TNBFI·AC. The closer the π-stacking, the higher the crystal density. In addition, the ⋯ABAB⋯ sequence of TNBFI molecules in TNBFI·ACN also results in double H-bonds between each TNBFI molecule and three neighboring ones, as well as strong H-bonds (2.13 Å, N1–H1 to N6) between the TNBFI and ACN molecules. The stronger H-bonds also enhance the crystal density of TNBFI·ACN. Therefore, TNBFI·ACN with the ⋯ABAB⋯ sequence of TNBFI molecules has the highest crystal density, compared to the other three solvates with the ⋯AAA⋯ sequence, which is the main reason for the higher detonation performance of TNBFI·ACN.

4. Conclusions

A series of TNBFI solvates were prepared by the crystallization of TNBFI, with AC, DMSO, DIO, and ACN as solvents. In all of the solvate structures, the TNBFI molecules stack to each other in a queue. The difference is that the queue in TNBFI·AC, TNBFI·2DMSO, and TNBFI·4DIO is composed of TNBFI molecules stacking in a ⋯AAA⋯ sequence, while that in TNBFI·ACN is in a ⋯ABAB⋯ sequence. The stacking of the TNBFI molecules in the queue was stabilized by the π-stacking interactions between the neighboring TNBFI molecules. The TNBFI queues were connected by the solvent molecules through H-bonding interactions in the four solvates, while H-bonding was also found between the TNBFI molecules in the neighboring queues. The calculation results show that the TNBFI·ACN has the highest detonation velocity of 6228 m·s−1 and detonation pressure of 16.23 GPa, which are comparable to the famous explosive TNT (6942 m·s−1 and 18.66 GPa), showing a potential application in both ammunition and industry. The best detonation performance of TNBFI·ACN results from its unique molecular stacking with an ⋯ABAB⋯ sequence of TNBFI molecules and intermolecular interactions with double H-bonds between each TNBFI molecule and three neighboring ones. These results will be helpful in the understanding of the reactivity and crystallinity in solvent for TNBFI and are valuable for the design of the solvate structure of other energetic materials.

Author Contributions

Conceptualization, S.H.; investigation, Y.C. and S.H.; methodology, S.H.; supervision, S.H. and Y.L.; visualization, Y.C.; writing—original draft, Y.C.; writing—review and editing, M.Y., C.S., P.Y. and J.G.; funding acquisition, S.H., J.G. and Y.L. All authors have read and agreed to the published version of the manuscript.

Funding

This project is supported by the Presidential Foundation of CAEP (Grant No. 201501018) and National Natural Science Foundation of China (No. 11572295 and 11704349).

Data Availability Statement

The original contributions presented in the study are included in the article, further inquiries can be directed to the corresponding author.

DURC Statement

We have made the following statements in our paper titled “Preparation, crystal structure and energetic properties of four 2,4,7,9-tetranitro-10H-benzofuro[3,2-b]indole (TNBFI) based solvates”. Explanation of Potential Risks: This paper investigates the crystal structure and detonation performance of TNBFI solvates. This study is confined to providing theoretical and experimental support for the development of solvates of energetic materials and does not pose any threat to public health or national security. Evaluation of Benefits to the General Public: Our research is confined to the academic domain and benefits the development of materials science. There is no risk to the public. Compliance With Laws: As a moral obligation, we strictly adhere to the relevant national and international laws concerning research. Furthermore, we have considered and complied with these regulations in our paper.

Conflicts of Interest

The authors declare no conflicts of interest.

References

  1. Cao, Y.; Liu, Y.; Zhang, W. Pentazolate Anion: A Rare and Preferred Five-Membered Ligand for Constructing Pentasil-Zeolite Topology Architectures. Angew. Chem. Int. Ed. 2024, 63, e202317355. [Google Scholar] [CrossRef] [PubMed]
  2. Li, H.; Zhou, Q.; Zhao, J.; Hou, T.; Wang, G.; Zhu, L.; Li, B.; Zhang, Y. Construction of Three Novel Oxygen-Containing Cagelike Frameworks and Synthesis of their Energetic Derivatives. Synlett 2024, 35, 1989–1996. [Google Scholar] [CrossRef]
  3. Lal, S.; Cheekatla, S.R.; Suresh, A.; Ayyagari, N.; Mallick, L.; Pallikonda, G.; Desai, P.; Ahirwar, P.; Chowdhury, A.; Kumbhakarna, N.; et al. Synthesis, Characterization and Energetic Properties of Hydroxymethyl-Bishomocubanone Derivatives. Chem. Eur. J. 2024, 30, e202401265. [Google Scholar] [CrossRef] [PubMed]
  4. Jing, L.; Dong, G.; Hang, Z.; Zhu, W.; Wu, Q.; Tan, L. A New Design Strategy for Constructing Powerful Cage Energetic Compounds with Low Sensitivity: The Combination of a Nitrogen-Rich Cage, Nitro Groups, and Amino Groups Based on a One-Step Reaction with the Perfect Atomic Efficiency. Int. J. Quantum Chem. 2025, 125, e70050. [Google Scholar] [CrossRef]
  5. Feng, E.; Tang, J.; Li, C.; Zhu, T.; Yang, H.; Cheng, G. Synthesis and characterization of amphoteric salts and azo-bridged heat-resistant explosives with a 1,2,4-triazole framework. Energetic Mater. Front. 2025, 5, 51–58. [Google Scholar] [CrossRef]
  6. Kotha, S.; Cheekatla, S.R.; Lal, S.; Mallick, L.; Kumbhakarna, N.; Chowdhury, A.; Namboothiri, I.N.N. Pentacycloundecane (PCUD)-Based Cage Frameworks as Potential Energetic Materials: Syntheses and Characterization. Asian J. Org. Chem. 2020, 9, 2116–2126. [Google Scholar] [CrossRef]
  7. Zhou, Q.; Li, H.; Zhu, L.; Li, B.; Liu, Y.; Wang, G.; Zhang, Y.; Luo, J. Construction of an All-Bridge Carbon-Oxidized 2-Azaadamantane Skeleton and Synthesis of Two Energetic Derivatives. Org. Lett. 2025, 27, 3164–3169. [Google Scholar] [CrossRef] [PubMed]
  8. Li, J.; Li, S.; Huang, S.; Xu, J.; Yan, Q.; Jin, S.; Liu, Y. Facilitating polymorphic crystallization of HMX through ultrasound and trace additive assistance. Ultrason. Sonochem. 2024, 107, 106946. [Google Scholar] [CrossRef] [PubMed]
  9. Zhang, H.; Liu, Y.; Li, S.; Yang, S.; Li, J. Microstructure and Performance in the Desolvation Process of HNS/Dioxane Solvate by In-situ XRD Method. Chin. J. Energ. Mater. 2016, 24, 363–367. [Google Scholar] [CrossRef]
  10. Zhang, L.; Yan, M.; Yin, W.; Li, J.; Liu, Y.; Zhao, S.; Huang, S. Experimental Study of the Crystal Habit of High Explosive Octahydro-1,3,5,7-tetranitro-1,3,5,7-tetrazocine (HMX) in Acetone and Dimethyl Sulfoxide. Cryst. Growth Des. 2020, 20, 6622–6628. [Google Scholar] [CrossRef]
  11. Wei, L.; Chen, Y.; Li, Y.; Xiao, Y.; Yan, M.; Guo, J.; Xue, X.; Yan, Q.; Liu, Y.; Huang, S. Exposed Facets and Surface Properties of Highly Explosive RDX Studied by the Crystal-Face-Indexing Method and Theoretical Calculations. Cryst. Growth Des. 2024, 24, 3632–3639. [Google Scholar] [CrossRef]
  12. Yan, M.; Liu, Y.; Xu, J.; Yang, L.; Zhang, L.; Nie, F.; Huang, S. Porous Cyclotrimethylenetrinitramine with Reduced Sensitivity Prepared by a Solvation−Desolvation Method. Cryst. Growth Des. 2020, 20, 5387–5394. [Google Scholar] [CrossRef]
  13. Song, X.; Zhang, H.; Jin, D.; Huang, S.; Sun, J.; Xu, J. Solvent Vapor/Gas-Induced Guest Transport and Exchange of a Nonporous Organic Crystal to Construct Smart Host−Guest Energetic Materials. ACS Appl. Mater. Interfaces 2024, 16, 52264–52276. [Google Scholar] [CrossRef] [PubMed]
  14. Yang, L.; Yan, M.; Huang, S.; Xu, J.; He, X.; Cao, X.; Liu, Y. Porous structure and reduced sensitivity of 2,2′,4,4′,6,6′-hexanitrostilbene (HNS) prepared by different solvation and desolvation methods. J. Energetic Mater. 2020, 38, 35–47. [Google Scholar] [CrossRef]
  15. Huo, H.; Ye, B.; Shi, Y.; Feng, C.; Wang, J.; Li, M.; Fan, J.; Li, L.; Wang, J.; An, C. Preparation of HNS microspheres by rapid membrane emulsification. Particuology 2023, 79, 35–44. [Google Scholar] [CrossRef]
  16. Quinlin, W.T.; Thorpe, R.; Lightfoot, J.M. Thermally Stable Booster Explosive and Process for Manufacture. U.S. Patent 7,015,334, 21 March 2006. Available online: https://www.osti.gov/biblio/908542 (accessed on 30 October 2024).
  17. Cao, X.; Guan, Y.; Yang, L.; Yan, M.; Ma, Q.; Fan, G.; Liu, Y.; Huang, S. An energetic derivative of 2,2′,4,4′,6,6′-hexanitrostilbene (HNS) and its DMF solvate crystallized from HNS solution with tertiary amine additives. J. Energetic Mater. 2019, 37, 90–97. [Google Scholar] [CrossRef]
  18. Cao, H.; Yan, M.; Huang, S.; He, X. Crystal structure of 2,4,7,9-tetranitro-10H-benzofuro[3,2-b]indole–dimethyl sulfoxide (1/1), C16H11N5O10S. Z. Krist-New Cryst. St. 2021, 236, 523–525. [Google Scholar] [CrossRef]
  19. BIOVIA. Materials Studio, Version 2024; [Computer Software]; BIOVIA: San Diego, CA, USA, 2024; Dassault Systèmes. Available online: https://www.3ds.com/products/biovia/materials-studio (accessed on 11 May 2025).
  20. Delley, B. An all-electron numerical method for solving the local density functional for polyatomic molecules. J. Chem. Phys. 1990, 92, 508–517. [Google Scholar] [CrossRef]
  21. Gaussian, Inc. Gaussian 16, Version 16.0 Rev. C.01; [Computer Software]; Gaussian, Inc.: Wallingford, CT, USA, 2024. Available online: https://gaussian.com/ (accessed on 11 May 2025).
  22. Linstrom, P.J.; Mallard, W.G. (Eds.) NIST Chemistry WebBook; NIST Standard Reference Database Number 69; National Institute of Standards and Technology: Gaithersburg, MD, USA, 2001. Available online: https://webbook.nist.gov (accessed on 11 May 2025).
  23. Wang, Y.; Zhang, J.; Su, H.; Li, S.; Zhang, S.; Pang, S. A simple method for the prediction of the detonation performances of metal-containing explosives. J. Phys. Chem. A 2014, 118, 4575–4581. [Google Scholar] [CrossRef] [PubMed]
  24. Kamlet, M.J.; Jacobs, S.J. Chemistry of detonations. I. A simple method for calculating detonation properties of C–H–N–O explosives. J. Chem. Phys. 1968, 48, 23–35. [Google Scholar] [CrossRef]
  25. Dobratz, B.M. LLNL Explosives Handbook: Properties of Chemical Explosives and Explosives and Explosive Simulants; Lawrence Livermore National Lab. (LLNL): Livermore, CA, USA, 1981. [CrossRef]
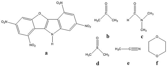
Figure 1. Chemical structures of (a) TNBFI; (b) AC; (c) DMF; (d) DMSO; (e) ACN, and (f) DIO.
Figure 1. Chemical structures of (a) TNBFI; (b) AC; (c) DMF; (d) DMSO; (e) ACN, and (f) DIO.
Chemistry 07 00096 g001
Figure 2. X-ray powder diffractions of (a) TNBFI·AC, (b) TNBFI·2DMSO, (c) TNBFI·4DIO, and (d) TNBFI·ACN. In (b), phase1 is TNBFI·DMSO, and phase2, marked in red, is TNBFI·2DMSO.
Figure 2. X-ray powder diffractions of (a) TNBFI·AC, (b) TNBFI·2DMSO, (c) TNBFI·4DIO, and (d) TNBFI·ACN. In (b), phase1 is TNBFI·DMSO, and phase2, marked in red, is TNBFI·2DMSO.
Chemistry 07 00096 g002
Figure 3. The ESI mass spectrometry spectra of TNBFI were obtained from its solvate.
Figure 3. The ESI mass spectrometry spectra of TNBFI were obtained from its solvate.
Chemistry 07 00096 g003
Figure 4. The molecular packing of (a,b) TNBFI·AC, (c,d) TNBFI·2DMSO, (e,f) TNBFI·4DIO, and (g,h) TNBFI·ACN. The TNBFI sequences in each solvate were marked by semi-transparent orange ellipses. The TNBFI sequences were also rotated 90o to show the stacking of the TNBFI molecules in the sequences.
Figure 4. The molecular packing of (a,b) TNBFI·AC, (c,d) TNBFI·2DMSO, (e,f) TNBFI·4DIO, and (g,h) TNBFI·ACN. The TNBFI sequences in each solvate were marked by semi-transparent orange ellipses. The TNBFI sequences were also rotated 90o to show the stacking of the TNBFI molecules in the sequences.
Chemistry 07 00096 g004
Figure 5. The π-stacking interactions in (a) TNBFI·AC; (b) TNBFI·2DMSO; (c) TNBFI·4DIO, and (d) TNBFI·ACN. The green lines indicate the typical directions of the π-stacking interactions with the values of the distances labeled.
Figure 5. The π-stacking interactions in (a) TNBFI·AC; (b) TNBFI·2DMSO; (c) TNBFI·4DIO, and (d) TNBFI·ACN. The green lines indicate the typical directions of the π-stacking interactions with the values of the distances labeled.
Chemistry 07 00096 g005
Figure 6. H-bonding interactions in (a) TNBFI·AC, (b) TNBFI·2DMSO, (c) TNBFI·4DIO, and (d) TNBFI·ACN. The distances from the hydrogen atom to the acceptor atom were indicated by the purple dashed lines with the values of the distances labeled.
Figure 6. H-bonding interactions in (a) TNBFI·AC, (b) TNBFI·2DMSO, (c) TNBFI·4DIO, and (d) TNBFI·ACN. The distances from the hydrogen atom to the acceptor atom were indicated by the purple dashed lines with the values of the distances labeled.
Chemistry 07 00096 g006
Table 1. Crystallographic data and structure refinement details for four solvates of TNBFI.
Table 1. Crystallographic data and structure refinement details for four solvates of TNBFI.
CompoundTNBFI∙ACTNBFI∙2DMSOTNBFI∙4DIOTNBFI∙ACN
Chemical formulaC14H5N5O9·C3H6OC14H5N5O9·2C2H6OSC14H5N5O9·3C4H8O2*C14H5N5O9·C2H3N
Formula Mass445.31543.48651.53428.28
Crystal systemMonoclinicMonoclinicMonoclinicMonoclinic
a/Å5.59687(16)11.1725(3)6.10570(10)11.5773(2)
b17.9290(5)5.8179(2)11.1617(2)8.68810(10)
c18.5194(5)17.9473(5)21.9387(4)17.4082(3)
α90.0090.0090.0090.00
β96.980(3)101.314(3)96.441(2)97.0440(10)
γ90.0090.0090.0090.00
Unit cell volume/Å31844.58(9)1143.91(6)1485.68(5)1737.78(5)
Temperature/K296(2)296(2)296(2)296(2)
Space groupP21/c (No. 14)Pc (No. 7)Pn (No. 7)P21/n (No. 14)
No. of formula units
per unit cell, Z
4224
Wavelength λ/ÅCuKα, 1.54184CuKα, 1.54178CuKα, 1.54178CuKα, 1.54178
No. of reflections measured3360368940653190
No. of independent reflections2660320337722712
Rint0.03420.03700.02650.0516
Final R1 values (I > 2σ(I))0.04400.05750.05360.0484
Final wR(F2) values (I > 2σ(I))0.11310.16710.16360.1366
Final R1 values (all data)0.05770.06500.05640.0540
Final wR(F2) values (all data)0.12790.17830.16750.1497
Goodness of fit on F20.9951.0531.0531.078
The chemical composition determined from the crystal structure model is C14H5N5O3C4H8O2*. However, as one of the disordered DIO molecules was squeezed during the crystal structure refinement, the formula for the compound should be C14H5N5O9·4C4H8O2. In this case, the compound was finally named TNBFI·4DIO.
Table 2. Hydrogen bond lengths (Å) and angles (°) in four solvates of TNBFI·AC, TNBFI·2DMSO, TNBFI·4DIO, and TNBFI·ACN.
Table 2. Hydrogen bond lengths (Å) and angles (°) in four solvates of TNBFI·AC, TNBFI·2DMSO, TNBFI·4DIO, and TNBFI·ACN.
TNBFI⋅ACD―H⋯Ad(H⋯A)d(D⋯A)∠DHA
TNBFI-ACC9―H9⋯O102.423.13132.50
N1―H1⋯O102.182.89139.39
TNBFI-TNBFIN1―H1⋯O72.322.82117.07
C2―H2⋯O42.483.38164.05
TNBFI2DMSOD―H⋯Ad(H⋯A)d(D⋯A)DHA
TNBFI-DMSOC2―H2⋯O112.433.18137.56
C9―H9⋯O102.403.21147.32
N1―H1⋯O102.693.35135.98
TNBFI-TNBFIN1―H1⋯O62.272.76117.40
TNBFI4DIOD―H⋯Ad(H⋯A)d(D⋯A)DHA
TNBFI-DIOC19―H19B⋯O82.383.26149.86
C22―H22A⋯O22.523.46164.07
N1―H1⋯O122.263.01144.76
C16―H16A⋯O52.573.17120.34
C18―H18B⋯O92.633.21119.17
C15―H15A⋯O72.723.36123.81
TNBFI-TNBFIN1―H1⋯O32.312.82117.77
TNBFIACND―H⋯Ad(H⋯A)d(D⋯A)DHA
TNBFI-ACNC4―H4⋯O22.483.41175.54
C11―H11⋯O62.513.44175.66
C13―H13⋯O42.543.39152.40
N1―H1⋯N62.132.92151.92
TNBFI-TNBFIN1―H1⋯O32.352.84116.09
Table 3. Physical and energetic properties of TNBFI·AC, TNBFI·2DMSO, TNBFI·4DIO, TNBFI·ACN, and TNT.
Table 3. Physical and energetic properties of TNBFI·AC, TNBFI·2DMSO, TNBFI·4DIO, TNBFI·ACN, and TNT.
CompoundTNT [25]TNBFI∙ACTNBFI∙2DMSOTNBFI∙4DIOTNBFI∙ACNTNBFI∙DMSO
Upot/kJ·mol−1-−265.11−382.45−319.39−265.06−306.14
ΔfHmϴ(TNBFI)/kJ·mol−1-−338.12−263.75−308.98−334.47−322.80
ΔfHmϴ(solvent molecule)/kJ·mol−1-−265.92−350.85−391.1379.00−331.67
ΔfHmϴ/kJ·mol−1−50.16−338.93−232.15−380.719.59−348.32
ΔfHmϴ(CO2)/kJ·mol−1−393.51−393.51−393.51−393.51−393.51−393.51
ΔfHmϴ(H2O)/kJ·mol−1−241.83−241.83−241.83−241.83−241.83−241.83
Q/kJ mol−1-939.781018.201206.481094.89958.95
M/g·mol−1227.13445.31543.48739428465.36
Mgas/g·mol−1-26.1522.6918.0528.0026.15
N-0.020.020.030.020.02
ρ/g·cm−31.6531.6041.5781.2591.6371.653
vD/m·s−1694259195705545362285939
P/Gpa18.6614.4613.2910.3616.2314.85
Disclaimer/Publisher’s Note: The statements, opinions and data contained in all publications are solely those of the individual author(s) and contributor(s) and not of MDPI and/or the editor(s). MDPI and/or the editor(s) disclaim responsibility for any injury to people or property resulting from any ideas, methods, instructions or products referred to in the content.

Share and Cite

MDPI and ACS Style

Chen, Y.; Yan, M.; Shi, C.; Yang, P.; Guo, J.; Liu, Y.; Huang, S. Preparation, Crystal Structure, and Energetic Properties of Four 2,4,7,9-Tetranitro-10H-benzofuro[3,2-b]indole (TNBFI) Based Solvates. Chemistry 2025, 7, 96. https://doi.org/10.3390/chemistry7030096

AMA Style

Chen Y, Yan M, Shi C, Yang P, Guo J, Liu Y, Huang S. Preparation, Crystal Structure, and Energetic Properties of Four 2,4,7,9-Tetranitro-10H-benzofuro[3,2-b]indole (TNBFI) Based Solvates. Chemistry. 2025; 7(3):96. https://doi.org/10.3390/chemistry7030096

Chicago/Turabian Style

Chen, Yiru, Mi Yan, Chunbo Shi, Peilin Yang, Jinkun Guo, Yu Liu, and Shiliang Huang. 2025. "Preparation, Crystal Structure, and Energetic Properties of Four 2,4,7,9-Tetranitro-10H-benzofuro[3,2-b]indole (TNBFI) Based Solvates" Chemistry 7, no. 3: 96. https://doi.org/10.3390/chemistry7030096

APA Style

Chen, Y., Yan, M., Shi, C., Yang, P., Guo, J., Liu, Y., & Huang, S. (2025). Preparation, Crystal Structure, and Energetic Properties of Four 2,4,7,9-Tetranitro-10H-benzofuro[3,2-b]indole (TNBFI) Based Solvates. Chemistry, 7(3), 96. https://doi.org/10.3390/chemistry7030096

Article Metrics

Back to TopTop