Sign in to use this feature.

Years

Between: -

Subjects

remove_circle_outline
remove_circle_outline
remove_circle_outline
remove_circle_outline
remove_circle_outline
remove_circle_outline
remove_circle_outline

Journals

Article Types

Countries / Regions

Search Results (37)

Search Parameters:
Keywords = energetic solvate

Order results
Result details
Results per page
Select all
Export citation of selected articles as:
16 pages, 1302 KB  
Article
Thermodynamic, Kinetic, and UV–Vis/CD Spectroelectrochemical Studies on Interaction and Electron Transfer Between Glucose Oxidase and Ferrocene Carboxylic Acid
by Luis Gabriel Talavera-Contreras, Marisela Cruz-Ramírez, Juan Pablo F. Rebolledo-Chávez, Janet Ocampo-Hernández, Gilberto Rocha-Ortiz and Luis Ortiz-Frade
Molecules 2026, 31(1), 102; https://doi.org/10.3390/molecules31010102 - 26 Dec 2025
Viewed by 320
Abstract
In this research, we investigate the interaction between the redox mediator ferrocene carboxylic acid (Fc-COOH) and glucose oxidase (GOD) in order to determine the thermodynamics parameters Kint, ΔGint, ΔHint, and ΔSint using simple UV–visible experiments at different [...] Read more.
In this research, we investigate the interaction between the redox mediator ferrocene carboxylic acid (Fc-COOH) and glucose oxidase (GOD) in order to determine the thermodynamics parameters Kint, ΔGint, ΔHint, and ΔSint using simple UV–visible experiments at different temperatures. Positive values of ΔHint, ΔSint, together with a negative value of ΔGint indicate an entropy-driven hydrophobic interaction typical of spontaneous association processes. The homogeneous electron transfer rate constants between the oxidized organometallic mediator and the reduced enzyme (ks), along with their activation parameters (ΔGET, ΔHET and ΔSET), were calculated using data obtained from foot of the wave analysis (FOWA) of cyclic voltammetry experiments performed at variable temperature. According to transition state theory, the obtained parameters indicate a low activation enthalpy that reflects minimal energetic requirements for electron transfer, while the large negative activation entropy suggests the formation of an ordered transition state. The positive activation free energy falls within the expected range for biological electron transfer processes. Variable temperature cyclic voltammetry experiments of ferrocene carboxylic acid (Fc-COOH) were also performed. The obtained ΔG°, ΔH°, and ΔS° parameters indicate strong stabilization of the redox pair, consistent with a small difference in solvation energy. Circular dichroism, UV–vis spectroscopy, and combined CD and UV–Vis Spectroelectrochemistry measurements performed during redox mediation demonstrate that no significant structural alterations occur in either the enzyme or the redox mediator before or during the electron transfer processes. Full article
(This article belongs to the Special Issue Recent Advances in Electrochemistry: Analysis and Application)
Show Figures

Graphical abstract

20 pages, 3935 KB  
Article
In Silico Identification of the NLRP3 Inhibitors from Traditional Chinese Medicine
by Shunjiang Jia, Huanling Lai, Xinyu Chen, Jiajie Lu, Wei Ding, Dongxiao Cui, Peng Zhao, Qiao Zhang, Yuwei Wang and Chunsong Cheng
Int. J. Mol. Sci. 2025, 26(21), 10569; https://doi.org/10.3390/ijms262110569 - 30 Oct 2025
Cited by 1 | Viewed by 1034
Abstract
NOD-like receptor protein 3 (NLRP3) inflammasome is a key mediator of inflammation and a promising therapeutic target. However, the discovery of novel and effective inhibitors of NLRP3 remains limited. A combined docking-based virtual screening (DBVS) and shape-based screening approach was applied to eight [...] Read more.
NOD-like receptor protein 3 (NLRP3) inflammasome is a key mediator of inflammation and a promising therapeutic target. However, the discovery of novel and effective inhibitors of NLRP3 remains limited. A combined docking-based virtual screening (DBVS) and shape-based screening approach was applied to eight traditional Chinese medicine (TCM) databases to identify potential NLRP3 inhibitors. Structural similarity analysis, ADMET prediction, and molecular dynamics (MD) simulations were performed to evaluate structural novelty, pharmacokinetic properties, and binding stability. A total of 25 potential NLRP3 inhibitors were identified, each exhibiting docking scores higher than those of the reference inhibitor XE3. Structural similarity analysis revealed that the screened compounds exhibited low similarity to previously reported NLRP3 inhibitors, demonstrating their structural novelty. ADMET evaluation indicated that compounds C2, C3, and C4 exhibited favorable physicochemical and pharmacokinetic properties. Molecular dynamics (MD) simulations demonstrated that the complexes of compounds C2, C3, and C4 with NLRP3 remained stable throughout the simulations, exhibiting limited backbone fluctuations and compact conformations, as indicated by Rg values of approximately 6 Å. Solvent-accessible surface area (SASA) and polar surface area (PSA) analyses suggested that compounds C3 and C4 were tightly solvated and maintained favorable membrane permeability. Notably, binding free energy calculations revealed that all three compounds exhibited stronger binding than XE3, with compound C3 showing the most favorable energy (–48.81 ± 3.89 kcal/mol), indicating a highly stable and energetically preferred interaction with NLRP3. This study identified promising TCM-derived compounds as potential NLRP3 inhibitors, offering new directions for anti-inflammatory drug development. Full article
Show Figures

Figure 1

19 pages, 3739 KB  
Article
Theoretical Insights into the Molecular Interaction in Li-Ion Battery Electrolytes from the Perspective of the Dielectric Continuum Solvation Model
by Yumeng Zhao, Runmin Li, Xiaoxiao Li, Xinsheng Zhao, Yunsong Li and Yuxiao Lin
Crystals 2025, 15(9), 796; https://doi.org/10.3390/cryst15090796 - 8 Sep 2025
Cited by 1 | Viewed by 1486
Abstract
Rational electrolyte design stands as a frontier in the research and development of Li-ion batteries. Nevertheless, detailed investigations about the influence of the dielectric continuum solvation model on molecular interactions are still limited. Herein, we systematically study the impacts of the dielectric constant [...] Read more.
Rational electrolyte design stands as a frontier in the research and development of Li-ion batteries. Nevertheless, detailed investigations about the influence of the dielectric continuum solvation model on molecular interactions are still limited. Herein, we systematically study the impacts of the dielectric constant (ε) on isolated molecules (i.e., ions and solvent molecules), isolated ion pairs, and solvation complexes via density functional theory calculations. The energy shift due to solvation cavity creation is the largest, and charged species always have larger energy shifts than neutral species. For charged species, the energy shifts gradually decrease with a decreasing proportion of Li ions and an increasing proportion of anions, while for neutral species, larger dipole moments lead to higher energy shifts. As predicted by the relative method, the energetic order of ion pairs and solvation complexes in vacuum can be dramatically changed in various dielectric continuums. Furthermore, electrochemical stability windows of charged species change dramatically with ε, while those of neutral species stay almost constant. By clarifying the impacts of dielectric continuum solvation on molecular interactions, we hope to set a benchmark for the molecular interaction calculation, which is critical for the rational design of electrolytes in Li-ion batteries. Full article
Show Figures

Figure 1

11 pages, 4432 KB  
Article
Preparation, Crystal Structure, and Energetic Properties of Four 2,4,7,9-Tetranitro-10H-benzofuro[3,2-b]indole (TNBFI) Based Solvates
by Yiru Chen, Mi Yan, Chunbo Shi, Peilin Yang, Jinkun Guo, Yu Liu and Shiliang Huang
Chemistry 2025, 7(3), 96; https://doi.org/10.3390/chemistry7030096 - 9 Jun 2025
Viewed by 803
Abstract
Understanding the reactivity and the crystallinity of energetic materials in a solvent is significantly important for their synthesis, purification, and recrystallization. Here, the recrystallization of TNBFI (2,4,7,9-tetranitro-10H-benzofuro[3,2-b]indole), a primary explosive with good thermal stability, in different solvents was studied. Four TNBFI [...] Read more.
Understanding the reactivity and the crystallinity of energetic materials in a solvent is significantly important for their synthesis, purification, and recrystallization. Here, the recrystallization of TNBFI (2,4,7,9-tetranitro-10H-benzofuro[3,2-b]indole), a primary explosive with good thermal stability, in different solvents was studied. Four TNBFI solvates, including TNBFI·AC (AC = acetone), TNBFI·2DMSO (DMSO = dimethyl sulfoxide), TNBFI·4DIO (DIO = 1,4-dioxane), and TNBFI·ACN (ACN = acetonitrile), were obtained. The crystal structures of the solvates were determined by single-crystal X-ray diffraction (SCXRD). The molecular packing and intermolecular interactions in the solvate structures were investigated, and their energetic properties were predicted. Among them, TNBFI·ACN showed good detonation performance with a detonation velocity of 6228 m·s−1 and detonation pressure of 16.23 GPa, which was comparable to TNT and with a potential application in both ammunition and industry. These results will be helpful in the synthesis and purification of TNBFI and valuable for the design of the solvate structure for other energetic materials. Full article
(This article belongs to the Section Chemistry of Materials)
Show Figures

Figure 1

16 pages, 1075 KB  
Article
Computational Study of Ultra-Small Gold Nanoparticles with Amphiphilic Polymer Coating
by Paulo Siani, Edoardo Donadoni, Giulia Frigerio, Marialaura D’Alessio and Cristiana Di Valentin
J. Compos. Sci. 2025, 9(6), 294; https://doi.org/10.3390/jcs9060294 - 7 Jun 2025
Viewed by 1326
Abstract
Nanomedicine is rapidly evolving, with tailored nanoparticles enabling precise cellular-level interventions. Despite significant advances, challenges, such as rapid clearance and off-target effects, hinder the clinical translation of many nanosystems. Among the available nanoplatforms, gold nanoparticles (AuNPs) stand out due to their unique surface [...] Read more.
Nanomedicine is rapidly evolving, with tailored nanoparticles enabling precise cellular-level interventions. Despite significant advances, challenges, such as rapid clearance and off-target effects, hinder the clinical translation of many nanosystems. Among the available nanoplatforms, gold nanoparticles (AuNPs) stand out due to their unique surface chemistry, low toxicity, and excellent biocompatibility. In this work, we present a multi-level computational investigation of ultra-small AuNPs coated with non-conventional amphiphilic polymer chains via atomistic and coarse-grained molecular dynamics. Through high-level-resolution atomistic simulations, we investigate how variations in grafting density impact the collective behaviors of these amphiphilic polymer chains within the coating by quantifying relevant conformational, structural, and energetic descriptors, such as the radius of gyration, terminal group presentation, polymer coating thickness, brush height, and solvation energy. Our results reveal a conformational shift of polymer chains from coiled to stretched as grafting density increases, with a direct effect on the polymer conformational regime, terminal group presentation, and coating thickness. In parallel, we further benchmark low-level coarse-grained models using the atomistic data as a reference, demonstrating their ability to correctly reproduce the atomistic trends. This computational investigation reveals how key descriptors vary with grafting density and provides the tools for conducting similar studies on broader time and length scales, thereby advancing the rational design of nanosystems for nanomedicine. Full article
(This article belongs to the Special Issue Theoretical and Computational Investigation on Composite Materials)
Show Figures

Figure 1

12 pages, 2901 KB  
Article
Efficient Method for the Synthesis of 5-Methylfurfural from l-Rhamnose Using a Biphasic System
by Zongke He, Pengfei Jiang, Qianqian Cui, Ziyue Wang, Yaozhong Wei, Chao Luo, Jichang Guo, Chang Liu and Wei Zhang
Catalysts 2025, 15(5), 465; https://doi.org/10.3390/catal15050465 - 8 May 2025
Cited by 1 | Viewed by 1047
Abstract
In this work, the method of highly efficient conversion of l-rhamnose to 5-methylfurfural (MF) catalyzed by various catalysts in a biphasic system was developed. To enhance the MF yield, the effects of the catalyst species, reaction temperature (150–180 °C), extraction solvents and [...] Read more.
In this work, the method of highly efficient conversion of l-rhamnose to 5-methylfurfural (MF) catalyzed by various catalysts in a biphasic system was developed. To enhance the MF yield, the effects of the catalyst species, reaction temperature (150–180 °C), extraction solvents and volume ratio of the extraction to the aqueous phase (0–5) on the conversion of l-rhamnose to MF were systematically investigated. Under optimal conditions, a high MF yield of 94% was achieved in the biphasic “diisopropyl ether (DIPE) + H2O” system due to the fact that the extraction of MF to the DIPE phase significantly inhibits the condensation and degradation of MF in water. Finally, detailed reaction energetics and chemical structures of intermediates of the l-rhamnose dehydration to MF were investigated using the B3LYP level of theory and the SMD solvation model. It is evident that MF, which exhibits excellent chemical stability, harbors the potential to function as a bio-derived platform chemical within the domain of the green industry. Full article
Show Figures

Graphical abstract

21 pages, 3635 KB  
Article
Unveiling the Anticancer Potential: Computational Exploration of Nitrogenated Derivatives of (+)-Pancratistatin as Topoisomerase I Inhibitors
by Magdi Awadalla Mohamed, Tilal Elsaman, Abozer Y. Elderdery, Abdullah Alsrhani, Heba Bassiony Ghanem, Majed Mowanes Alruwaili, Siddiqa M. A. Hamza, Salma Elhadi Ibrahim Mekki, Hazim Abdullah Alotaibi and Jeremy Mills
Int. J. Mol. Sci. 2024, 25(19), 10779; https://doi.org/10.3390/ijms251910779 - 7 Oct 2024
Cited by 4 | Viewed by 2132
Abstract
Cancer poses a substantial global health challenge, driving the need for innovative therapeutic solutions that offer improved effectiveness and fewer side effects. Topoisomerase I (Topo I) has emerged as a validated molecular target in the pursuit of developing anticancer drugs due to its [...] Read more.
Cancer poses a substantial global health challenge, driving the need for innovative therapeutic solutions that offer improved effectiveness and fewer side effects. Topoisomerase I (Topo I) has emerged as a validated molecular target in the pursuit of developing anticancer drugs due to its critical role in DNA replication and transcription. (+)-Pancratistatin (PST), a naturally occurring compound found in various Amaryllidaceae plants, exhibits promising anticancer properties by inhibiting Topo I activity. However, its clinical utility is hindered by issues related to limited chemical availability and aqueous solubility. To address these challenges, molecular modelling techniques, including virtual screening, molecular docking, molecular mechanics with generalised born and surface area solvation (MM-GBSA) calculations, and molecular dynamics simulations were utilised to evaluate the binding interactions and energetics of PST analogues with Topo I, comparing them with the well-known Topo I inhibitor, Camptothecin. Among the compounds screened for this study, nitrogenated analogues emerged as the most encouraging drug candidates, exhibiting improved binding affinities, favourable interactions with the active site of Topo I, and stability of the protein-ligand complex. Structural analysis pinpointed key molecular determinants responsible for the heightened potency of nitrogenated analogues, shedding light on essential structural modifications for increased activity. Moreover, in silico absorption, distribution, metabolism, excretion, and toxicity (ADMET) predictions highlighted favourable drug-like properties and reduced toxicity profiles for the most prominent nitrogenated analogues, further supporting their potential as effective anticancer agents. In summary, this screening study underscores the significance of nitrogenation in augmenting the anticancer efficacy of PST analogues targeting Topo I. The identified lead compounds exhibit significant potential for subsequent experimental validation and optimisation, thus facilitating the development of novel and efficacious anticancer therapeutics with enhanced pharmacological profiles. Full article
(This article belongs to the Special Issue New Avenues in Molecular Docking for Drug Design 2023)
Show Figures

Figure 1

17 pages, 2131 KB  
Article
Structure and Intercalation of Cysteine–Asparagine–Serine Peptide into Montmorillonite as an Anti-Inflammatory Agent Preparation—A DFT Study
by Carolina Barrientos-Salcedo, Catalina Soriano-Correa, Alfonso Hernández-Laguna and Claro Ignacio Sainz-Díaz
Molecules 2024, 29(17), 4250; https://doi.org/10.3390/molecules29174250 - 7 Sep 2024
Viewed by 1974
Abstract
Peptides are receiving significant attention in pharmaceutical sciences due to their applications as anti-inflammatory drugs; however, many aspects of their interactions and mechanisms at the molecular level are not well-known. This work explores the molecular structure of two peptides—(i) cysteine (Cys)–asparagine (Asn)–serine (Ser) [...] Read more.
Peptides are receiving significant attention in pharmaceutical sciences due to their applications as anti-inflammatory drugs; however, many aspects of their interactions and mechanisms at the molecular level are not well-known. This work explores the molecular structure of two peptides—(i) cysteine (Cys)–asparagine (Asn)–serine (Ser) (CNS) as a molecule in the gas phase and solvated in water in zwitterion form, and (ii) the crystal structure of the dipeptide serine–asparagine (SN), a reliable peptide indication whose experimental cell parameters are well known. A search was performed by means of atomistic calculations based on density functional theory (DFT). These calculations matched the experimental crystal structure of SN, validating the CNS results and useful for assignments of our experimental spectroscopic IR bands. Our calculations also explore the intercalation of CNS into the interlayer space of montmorillonite (MNT). Our quantum mechanical calculations show that the conformations of these peptides change significantly during intercalation into the confined interlayer space of MNT. This intercalation is energetically favorable, indicating that this process can be a useful preparation for therapeutic anti-inflammatory applications and showing high stability and controlled release processes. Full article
(This article belongs to the Special Issue Computational Strategy for Drug Design)
Show Figures

Graphical abstract

17 pages, 13401 KB  
Article
Theoretical Investigations on Free Energy of Binding Cilostazol with Different Cyclodextrins as Complex for Selective PDE3 Inhibition
by Marta Hoelm, Nilkanta Chowdhury, Sima Biswas, Angshuman Bagchi and Magdalena Małecka
Molecules 2024, 29(16), 3824; https://doi.org/10.3390/molecules29163824 - 12 Aug 2024
Cited by 7 | Viewed by 1805
Abstract
Cilostazol is a phosphodiesterase III inhibitor characterized by poor solubility. This limitation can be overcome by using a drug carrier capable of delivering the drug to the target site. Cyclodextrins are essential as drug carriers because of their outstanding complexation abilities and their [...] Read more.
Cilostazol is a phosphodiesterase III inhibitor characterized by poor solubility. This limitation can be overcome by using a drug carrier capable of delivering the drug to the target site. Cyclodextrins are essential as drug carriers because of their outstanding complexation abilities and their capacity to improve drug bioavailability. This study comprises two stages: The first involves verifying different cyclodextrins and their complexation abilities towards cilostazol. This was accomplished using molecular docking simulations (MDS) and density functional theory (DFT). Both techniques indicate that the largest Sulfobutyl Ether-β-Cyclodextrin forms the most stable complex with cilostazol. Additionally, other important parameters of the complex are described, including binding sites, dominant interactions, and thermodynamic parameters such as complexation enthalpy, Gibbs free energy, and Gibbs free energy of solvation. The second stage involves a binding study between cilostazol and Phosphodiesterse3 (PDE3). This study was conducted using molecular docking simulations, and the most important energetic parameters are detailed. This is the first such report, and we believe that the results of our predictions will pave the way for future drug development efforts using cyclodextrin–cilostazol complexes as potential therapeutics. Full article
Show Figures

Graphical abstract

17 pages, 4378 KB  
Article
Searching for the Achilles’ Heel of Urethane Linkage—An Energetic Perspective
by Tamás Horváth, Karina Kecskés, Anikó Jordán Csábrádiné, Emma Szőri-Dorogházi, Béla Viskolcz and Milán Szőri
Polymers 2024, 16(8), 1126; https://doi.org/10.3390/polym16081126 - 17 Apr 2024
Cited by 1 | Viewed by 2190
Abstract
A sudden increase in polyurethane (PU) production necessitates viable recycling methods for the waste generated. PU is one of the most important plastic materials with a wide range of applications; however, the stability of the urethane linkage is a major issue in chemical [...] Read more.
A sudden increase in polyurethane (PU) production necessitates viable recycling methods for the waste generated. PU is one of the most important plastic materials with a wide range of applications; however, the stability of the urethane linkage is a major issue in chemical recycling. In this work, termination reactions of a model urethane molecule, namely methyl N-phenyl carbamate (MPCate), are investigated using G3MP2B3 composite quantum chemical method. Our main goal was to gain insights into the energetic profile of urethane bond termination and find an applicable chemical recycling method. Hydrogenation, hydrolysis, methanolysis, peroxidation, glycolysis, ammonolysis, reduction with methylamine and termination by dimethyl phosphite were explored in both gas and condensed phases. Out of these chemicals, degradation by H2, H2O2 and CH3NH2 revealed promising results with lower activation barriers and exergonic pathways, especially in water solvation. Implementing these effective PU recycling methods can also have significant economic benefits since the obtained products from the reactions are industrially relevant substances. For example, aniline and dimethyl carbonate could be reusable in polymer technologies serving as potential methods for circular economy. As further potential transformations, several ionizations of MPCate were also examined including electron capture and detachment, protonation/deprotonation and reaction with OH. Alkaline digestion against the model urethane MPCate was found to be promising due to the relatively low activation energy. In an ideal case, the transformation of the urethane bond could be an enzymatic process; therefore, potential enzymes, such as lipoxygenase, were also considered for the catalysis of peroxidation, and lipases for methanolysis. Full article
(This article belongs to the Special Issue Recycling of Plastic and Rubber Wastes)
Show Figures

Figure 1

10 pages, 6866 KB  
Article
Solvation, Hydration, and Counterion Effect on the Formation of Ag(I) Complexes with the Dipodal Ligand 2,6-Bis[(imidazol-2-yl)thiomethyl]naphthalene
by Renny Maria Losus, Simran Chaudhary and Liliana Dobrzańska
Crystals 2024, 14(3), 248; https://doi.org/10.3390/cryst14030248 - 1 Mar 2024
Viewed by 1552
Abstract
A series of new Ag(I) complexes with 2,6-bis[(imidazol-2-yl)thiomethyl]naphthalene (L) and a range of counterions (X) such as PF6 (1, 2), SbF6 (3), and CF3SO3 (4 [...] Read more.
A series of new Ag(I) complexes with 2,6-bis[(imidazol-2-yl)thiomethyl]naphthalene (L) and a range of counterions (X) such as PF6 (1, 2), SbF6 (3), and CF3SO3 (4) was prepared. As shown by SCXRD studies, all of these are 1D coordination polymers with a waved chain motive and general formula {[AgL]X}n. Two methanol solvates containing PF6 (1) and SbF6 (3) counterions are isostructural. The triflate counterion leads to the formation of a topologically equivalent structural motive, with a different conformation of the ligand in the 1D chain and a different crystal packing as a result of the presence of another set of intermolecular interactions. The presence of water in 2 leads to a significant change in the conformation of the ligand. The naphthalene rings show a different orientation towards the imidazole rings, which is energetically less favorable but is stabilized by an extended net of intermolecular interactions with the counterion, which leads to an efficient crystal packing. Full article
(This article belongs to the Special Issue Research in Coordination Polymers)
Show Figures

Graphical abstract

19 pages, 3010 KB  
Article
Lewis Acid-Base Adducts of α-Amino Acid-Derived Silaheterocycles and N-Methylimidazole
by Anne Seidel, Robert Gericke, Beate Kutzner and Jörg Wagler
Molecules 2023, 28(23), 7816; https://doi.org/10.3390/molecules28237816 - 28 Nov 2023
Cited by 3 | Viewed by 1934
Abstract
In chloroform solution, the reaction of bis(tert-butylamino)dimethylsilane ((tBuNH)2SiMe2) and an α-amino acid (α-amino isobutyric acid, H2Aib; D-phenylglycine, H2Phg; L-valine, H2Val) in the presence of N-methylimidazole (NMI) gave [...] Read more.
In chloroform solution, the reaction of bis(tert-butylamino)dimethylsilane ((tBuNH)2SiMe2) and an α-amino acid (α-amino isobutyric acid, H2Aib; D-phenylglycine, H2Phg; L-valine, H2Val) in the presence of N-methylimidazole (NMI) gave rise to the formation of the pentacoordinate silicon complexes (Aib)SiMe2-NMI, (Phg)SiMe2-NMI and (Val)SiMe2-NMI, respectively. Therein, the amino acid building block was a di-anionic bidentate chelator at the silicon atom. In solution, the complexes were involved in rapid coordination–dissociation equilibria between the pentacoordinate Si complex (e.g., (Aib)SiMe2-NMI) and its constituents NMI and a five-membered silaheterocycle (e.g., (Aib)SiMe2), as shown by 29Si NMR spectroscopy. The energetics of the Lewis acid-base adduct formation and the competing solvation of the NMI molecule by chloroform were assessed with the aid of computational methods. In CDCl3 solution, deuteration of the silaheterocycle NH group proceeded rapidly, with more than 50% conversion within two days. Upon cooling to −44 °C, the chloroform solvates of the adducts (Aib)SiMe2-NMI and (Phg)SiMe2-NMI crystallized from their parent solutions and allowed for their single-crystal X-ray diffraction analyses. In both cases, the Si atom was situated in a distorted trigonal bipyramidal coordination sphere with equatorial Si–C bonds and an equatorial Si–N bond (the one of the silaheterocycle). The axial positions were occupied by a carboxylate O atom of the silaheterocycle and the NMI ligand’s donor-N-atom. Full article
Show Figures

Graphical abstract

15 pages, 2881 KB  
Article
A Comparison Study of Roseolumiflavin Solvates: Structural and Energetic Perspective on Their Stability
by Takin Haj Hassani Sohi, Felix Maass, Constantin Czekelius and Vera Vasylyeva
Crystals 2023, 13(10), 1512; https://doi.org/10.3390/cryst13101512 - 18 Oct 2023
Cited by 4 | Viewed by 2181
Abstract
Roseolumiflavin is a deep red microcrystalline derivative of isoalloxazine that exhibits a weak photophysical activity in the solid state. In aqueous as well as in acidic solution of formic or acetic acid, respectively, it tends to form solvates. Herein, we present a set [...] Read more.
Roseolumiflavin is a deep red microcrystalline derivative of isoalloxazine that exhibits a weak photophysical activity in the solid state. In aqueous as well as in acidic solution of formic or acetic acid, respectively, it tends to form solvates. Herein, we present a set of binary and ternary roseolumiflavin solvates including one hydrate and a solvate hydrate. The impact of the solvent on solvate formation along with an in-depth structural analysis was investigated. Calculations of the lattice energies provide insight into the phase stability of the evaluated systems showing an energetic benefit for all solvates with values up to −395.82 kJ/mol. The total interaction energies between molecules calculated via Crystal Explorer further identified cofacial π···π stacks to be the most strongly bonding fragments in the crystal lattices for all systems except the formic acid solvate, followed by remarkably weaker hydrogen-bonded arrangements. The energetic contributions of single intermolecular interactions within the fragments are evaluated by an atoms-in-molecules approach. It is shown that physicochemical properties, such as thermal stability, can be tuned depending on the incorporated solvent molecules despite a high decomposition temperature of the chromophore. Full article
Show Figures

Figure 1

13 pages, 756 KB  
Article
The Oxygen Evolution Reaction at MoS2 Edge Sites: The Role of a Solvent Environment in DFT-Based Molecular Simulations
by Estefania German and Ralph Gebauer
Molecules 2023, 28(13), 5182; https://doi.org/10.3390/molecules28135182 - 3 Jul 2023
Cited by 8 | Viewed by 3127
Abstract
Density functional theory (DFT) calculations are employed to study the oxygen evolution reaction (OER) on the edges of stripes of monolayer molybdenum disulfide. Experimentally, this material has been shown to evolve oxygen, albeit with low efficiency. Previous DFT studies have traced this low [...] Read more.
Density functional theory (DFT) calculations are employed to study the oxygen evolution reaction (OER) on the edges of stripes of monolayer molybdenum disulfide. Experimentally, this material has been shown to evolve oxygen, albeit with low efficiency. Previous DFT studies have traced this low catalytic performance to the unfavourable adsorption energies of some reaction intermediates on the MoS2 edge sites. In this work, we study the effects of the aqueous liquid surrounding the active sites. A computational approach is used, where the solvent is modeled as a continuous medium providing a dielectric embedding of the catalyst and the reaction intermediates. A description at this level of theory can have a profound impact on the studied reactions: the calculated overpotential for the OER is lowered from 1.15 eV to 0.77 eV. It is shown that such variations in the reaction energetics are linked to the polar nature of the adsorbed intermediates, which leads to changes in the calculated electronic charge density when surrounded by water. These results underline the necessity to computationally account for solvation effects, especially in aqueous environments and when highly polar intermediates are present. Full article
(This article belongs to the Special Issue Computational and Theoretical Chemistry for Material Research)
Show Figures

Figure 1

16 pages, 1387 KB  
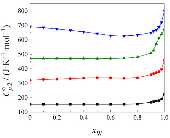
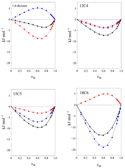
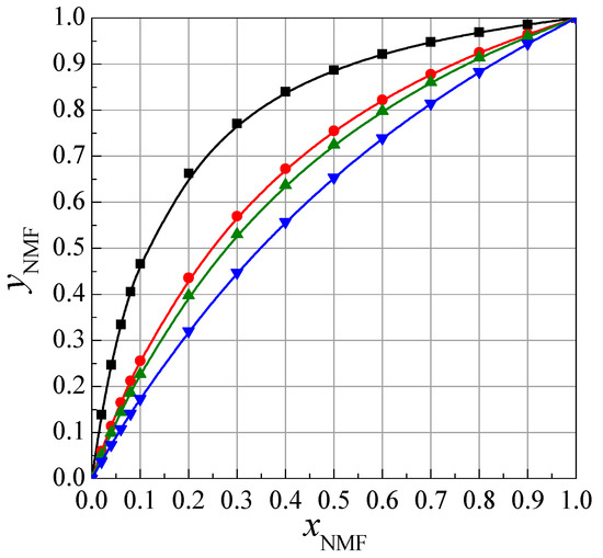
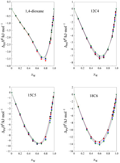
Article
Effect of the Temperature on the Process of Preferential Solvation of 1,4-Dioxane, 12-Crown-4, 15-Crown-5 and 18-Crown-6 Ethers in the Mixture of N-Methylformamide with Water: Composition of the Solvation Shell of the Cyclic Ethers
by Małgorzata Jóźwiak, Monika A. Trzmielak and Michał Wasiak
Int. J. Mol. Sci. 2023, 24(10), 8934; https://doi.org/10.3390/ijms24108934 - 18 May 2023
Cited by 3 | Viewed by 1986
Abstract
The aim of the work was to analyze the preferential solvation process, and determine the composition of the solvation shell of cyclic ethers using the calorimetric method. The heat of solution of 1,4-dioxane, 12-crown-4, 15-crown-5 and 18-crown-6 ethers in the mixture of N [...] Read more.
The aim of the work was to analyze the preferential solvation process, and determine the composition of the solvation shell of cyclic ethers using the calorimetric method. The heat of solution of 1,4-dioxane, 12-crown-4, 15-crown-5 and 18-crown-6 ethers in the mixture of N-methylformamide with water was measured at four temperatures, 293.15 K, 298.15 K, 303.15 K, and 308.15 K, and the standard partial molar heat capacity of cyclic ethers has been discussed. 18-crown-6 (18C6) molecules can form complexes with NMF molecules through the hydrogen bonds between –CH3 group of NMF and the oxygen atoms of 18C6. Using the model of preferential solvation, the cyclic ethers were observed to be preferentially solvated by NMF molecules. It has been proved that the molar fraction of NMF in the solvation shell of cyclic ethers is higher than that in the mixed solvent. The exothermic, enthalpic effect of preferential solvation of cyclic ethers increases with increasing ring size and temperature. The increase in the negative effect of the structural properties of the mixed solvent with increase in the ring size in the process of preferential solvation of the cyclic ethers indicates an increasing disturbance of the mixed solvent structure, which is reflected in the influence of the energetic properties of the mixed solvent. Full article
(This article belongs to the Section Physical Chemistry and Chemical Physics)
Show Figures

Figure 1

Back to TopTop