Abstract
The surface thermodynamic properties of polymers and copolymers modified by supramolecular structures are used in several industrial processes, such as selective adsorption, paints, coatings, colloids, and adhesion applications. Background: Inverse gas chromatography at infinite dilution was proved to be the best technique to determine the surface properties of solid surfaces by studying the adsorption of some model polar and non-polar organic molecules adsorbed on solid surfaces at different temperatures. Methods: The retention volume of adsorbed solvents is a valuable parameter that was used to obtain the London dispersive and polar free energies and the London dispersive surface energy of styrene–divinylbenzene copolymer modified by supramolecular structure of melamine using both the Hamieh thermal model and our new methodology consisting of the separation of the two polar molecules and the dispersive free energy of their interaction. This led to the determination of the polar acid and base surface energy, and the Lewis acid–base constants of the various solid materials. Results: Following our new methodology, all surface energetic properties of styrene–divinylbenzene copolymer modified by melamine at different percentages were determined as a function of temperature. Conclusions: It was observed that the styrene–divinylbenzene copolymer exhibited the highest London dispersive surface energy, which decreased when the melamine percentage increased. All materials presented higher Lewis basicity and this Lewis basicity increased with the percentage of melamine.
1. Introduction
Due to their important applications in the domain of molecular recognition and surface chemistry, in the last thirty years, several papers have been devoted to two-dimensional network supramolecular structures [1,2,3,4,5,6,7,8,9,10,11,12,13,14,15,16]. When supported on solid surfaces, these heterocyclic compounds, such as melamine, cyanuric acid, and uracil and its derivatives, are likely to constitute supramolecular network structures capable of selectively adsorbing various molecules, including enantiomers [10].
In the case of formed supramolecular structures on the surface of inert supports and porous polymer sorbents, it has been shown that the properties of the resulting adsorbents depend on the polarity of the surface and porosity of the initial adsorbents [1,2,3,4,5,6,7,8,9,10,11,12,13,14,15,16]. The effect of the amount of the supported modifier on the properties of the obtained adsorbents was studied by Sukhareva et al. [3] and Guskov et al. [10,11,12,13,14,15,16] using the inverse gas chromatography technique. They studied the specific interactions between the various polymer adsorbents and some model organic solvents, as well as the London dispersive energy of the various solid surfaces using the Dorris–Gray method [17]. It was proved in other works that the classic chromatographic methods, such as that proposed by Schultz et al. [18], and the Dorris-Gray method, cannot be used for an accurate evaluation of the London dispersive surface energy of solid materials, because these methods were based on the hypothesis of the constant surface area of organic solvents. In several studies [19,20,21,22,23], an important effect of temperature on the surface area of organic molecules was highlighted and more accurate values of the London dispersive and polar components of the surface energy, and the Lewis acid–base properties of various solid substrates were obtained using the Hamieh thermal model. Furthermore, the polar and dispersive interactions between the organic solvents and several solid surfaces were determined by applying the new method [24,25] using the London interaction equation [26].
In this paper, we were interested in the determination of the surface thermodynamic properties of some important porous polymers such as styrene–divinylbenzene copolymer modified by the supramolecular structure of melamine. Indeed, the highly porous structure, chemical stability, easier functionalization, and large surface area of this copolymer make it an excellent candidate for several applications such as biotechnology, environmental science, industrial chemistry, adsorption, and catalysis.
Inverse gas chromatography (IGC) at infinite dilution [27,28,29,30,31,32,33,34,35,36,37,38,39,40] was used in applying our new methodology, which consisted of the correction of the London dispersive surface energy and the correct determination of polar free energy of adsorption of some polar organic probes, as well as the Lewis acid–base parameters of the modified porous polymer.
2. Materials and Methods
2.1. Adsorbent and Materials
A porous polymer such as styrene–divinylbenzene copolymer (Dowex L-285, from Dow Chemical, Midland, MI, USA), was used as the initial adsorbent for modification. Its specific surface area was 800 m2/g, with particle sizes of 250–500 μm. The chosen surface modifier was melamine (from Vecton, St. Petersburg, Russia, 97%, CAS108-78-1), with percentage mass from 1% to 4%, impregnated into the adsorbent surface by evaporation of aqueous solutions at 60 °C. The amount of melamine necessary for coating the adsorbent surface with a monolayer was determined from the specific surface area of the sorbent and molecular dimensions of melamine. The surface area of the melamine molecule was previously determined and shown to be equal to 139.8 Å2 [3]. This allowed us to determine the various melamine percentages needed for the formation of the planar layer of the supramolecular structure of melamine. The temperature choice was necessary to uniformly impregnate the modifier on the surface. Then, the resulting sample was washed with high-purity water to pH 7. Chemically pure organic solvents such as n-hexane, n-heptane, n-octane, benzene, cyclohexane, toluene, ethanol, n-propanol, n-butanol, i-propanol, i-butanol, n-pentanol, i-pentanol, dichloromethane, and ethyl acetate (Chimreactivsnab, Russia) were used as the probes.
2.2. Inverse Gas Chromatography
The experimental determination of the retention time of organic molecules adsorbed on Dowex L-285 was carried out using inverse gas chromatography at infinite dilution with the help of a Chromos GC-1000 chromatograph (from Chromos, Russia) equipped with a flame ionization detector (FID). The solid particles were packed into stainless steel columns of 30 cm length and 3 mm internal diameter. The temperature of the column was 200 °C and the temperatures of the injector and detector were 280°C. The flow rate of the nitrogen carrier gas was 30 mL/min. The mass of the sorbent packed into the column was equal to 1 g. All chromatographic columns were conditioned overnight at 200 °C to remove any residual impurities. The probes in the vapor phase were injected with microsyringes at different temperatures to realize the infinite dilution and to satisfy Henry’s law. The experiments were repeated three times and the error in the value of the retention volume did not exceed 2%.
2.3. Thermodynamic Methods
2.3.1. Dispersive and Polar Energies, and Lewis Acid–Base Parameters
The chromatographic measurements led to the determination of the net retention volume of the different probes adsorbed on the solid surfaces. This allowed determination of the values of the free energy of adsorption of the adsorbed organic molecules as a function of temperature using the following equation:
where is the absolute temperature, the perfect constant gas, and a constant depending on the temperature and the solvent–sorbent interaction.
In the case of non-polar probes such as n-alkanes, is equivalent to the London dispersive energy of adsorption for all temperatures:
When polar molecules are adsorbed on solid materials, is written as follows:
where is the free polar energy of the polar solvents.
To separate the two dispersive and polar contributions of the free energy of adsorption, we applied the new methodology recently published [24,25] that used the London dispersion interaction energy Equation (4):
where is the Avogadro number, the dielectric constant of vacuum, and are the respective deformation polarizabilities of the solid material denoted by S and the organic molecule denoted by X, separated by a distance , and and are their corresponding ionization energies.
Previous equations led to Equation (5):
The new chosen chromatographic interaction parameter was given by
For non-polar molecules such as n-alkanes, the representation of of these molecules is given by
where is the slope of the non-polar straight line.
Using the distance between the straight line of n-alkanes and the representative point of a polar molecule, it was possible to determine the free polar energy of the polar molecule, at any temperature:
The polar enthalpy and entropy of polar probes adsorbed on porous polymers can be deduced from Equation (9) if the linearity of is assured:
The Lewis acid–base properties of the solid substrates characterized by its enthalpic (KA, KD) and entropic (, ) acid–base constants are obtained:
where and are, respectively, the corrected electron donor and acceptor numbers of the polar molecule [41,42].
2.3.2. London Dispersive Surface Energy, and Lewis Acid–Base Surface Energies
The London dispersive surface energy of the different sorbents was determined using the Fowkes relation [43] and applying the Hamieh thermal model that gave the surface area of organic molecules as a function of the temperature [19,20,21,22,23]:
where is a constant depending only on the temperature and the solid material.
The total surface energy of material is then given by
where represents the total polar (or acid–base) contribution of the surface energy.
Using Van Oss et al.’s method [44], it was possible to determine of the different polymers. This method consists of the determination of the Lewis acid and base surface energies of the solid particles. By choosing two monopolar solvents such as ethyl acetate (B) and dichloromethane (A), characterized by the following parameters:
and using the expression of polar free energy of the polar molecules, given by Equation (14):
the Lewis acid and base surface energies of the solid surfaces were deduced from Equation (15):
The polar (or acid–base) surface energy and the total surface energy of different materials were then obtained using Equation (16):
3. Results
3.1. Variations in of Adsorbed Probes Against the Temperature
The experimental determination of the net retention volume of organic molecules adsorbed on Dowex L-285 modified by different percentages of melamine as a function of temperature led to the variations, with temperature, in for the various organic solvents (Table S1). Using the obtained results, Figure 1 shows the curves of of the different organic molecules at different temperatures, as well as the variations in (--) of n-alkanes adsorbed solid materials as a function of temperature.
- where
Figure 1.
Effect of the percentage of melamine on the values of of different adsorbed organic solvents at various temperatures: T = 453.15 K (a), T = 463.15 K (b), T = 473.15 K (c), and variations in (--) of n-alkanes adsorbed on solid surfaces as a function of temperature (d).
The curves presented in Figure 1 show an important variation in of the various organic solvents as a function of temperature and the percentage of melamine on the porous polymer Dowex L-285. It seems that these variations were stabilized after 3% of melamine. Figure 1d also shows a significant decrease in the values of (--) of n-alkanes for 1% and 4% of melamine; however, a slight decrease was observed in the two cases of 2% and 3% of melamine (Figure 1d). The deviation between these results was certainly due to the closer values of (Figure 1a–c) of the adsorbed n-alkane solvents for 2% and 3% of melamine that implied closer values of (--) at different temperatures. These observations show that 1% of melamine had a screening effect on the surface of the copolymer which gave constant values of (--) until a melamine percentage lower than 4%. An increase in the surface thermodynamic parameters was observed at 4% for the various temperatures, proving an important effect of the melamine on the surface properties of the copolymer.
However, the variations in of the different probes adsorbed on solid materials alone cannot describe the polar and dispersive free energies of adsorption. In the next sections, a new methodology was applied to better determine the London dispersive surface energy and the surface thermodynamic parameters of interaction of the examined porous polymers with the model organic molecules.
3.2. London Dispersive Surface Energy of Dowex L-285 with Different Melamine Percentages
The new expressions of the surface area of organic solvents were obtained using the Hamieh thermal model [19,20,21,22,23]. The slopes of straight lines representing the variations in of n-alkanes adsorbed on Dowex L-285 with different percentages of melamine as a function of using the London dispersive surface energy of n-alkanes [19,20,21,22,23], gave the values of the London dispersive surface energy of the various porous polymers for the different temperatures. The variations in the London dispersive surface energy of materials when the temperature and the percentage of melamine varied are presented in Figure 2. A linear decrease in was observed for all materials when the temperature increased (Figure 2a). The highest values of were obtained for the copolymer Dowex L-285 without any addition of melamine. An important difference in the behavior of different materials was observed in Table 1, showing different values of of Dowex L-285 modified by melamine percentages, the London dispersive surface entropy , the extrapolated values of London dispersive surface energy at 0 K and 298.15 K, and the temperature maximum .
Figure 2.
Variations in the London dispersive surface energy of materials as a function of the temperature (a) and the percentage of melamine (b).
Table 1.
Linear expressions of of Dowex L-285 modified by different percentages of melamine, regression coefficients, London dispersive surface entropy , extrapolated values of London dispersive surface energy at 0 K and 298.15 K, and the temperature maximum .
A minimum in the different values of , , , and was obtained for 2% of melamine, proving that there was a change in the surface groups of the copolymer due to the effect of this minimum percentage on the different surface parameters of Dowex L-285. Figure 2b highlights the presence of such a minimum of melamine. The obtained curves of of solid materials presented in Figure 2b at different temperatures clearly show a minimum of corresponding to 2% of melamine.
The values of extrapolated London dispersive surface energy at room temperature were limited to 140 to 230 mJ/m2 for the different melamine percentages. In a recent paper [45], mJ/m2 was obtained using the Dorris–Gray (DG) method and mJ/m2, applying the linear free-energy relationship (LFER) coupled with the Dorris–Gray calculation (DG–LFER) for the same copolymer Dowex L-285 modified with 1% melamine, while our new methodology gave mJ/m2. Our results were based on the use of the Hamieh thermal model to determine the London dispersive surface energy. This thermal model was proved to be the most accurate method, because it takes into consideration the effect of the temperature on the surface area of organic molecules needed for the evaluation of London dispersive surface energy. The deviation percentage of another method, X, was calculated using the following relation:
Using the above relation, one can deduce a deviation, in the case of DG method, of 31.8%. This large deviation is due to the DG method used by Gustov that did not take into account the temperature effect on the surface area of methylene group. However, a deviation of 2.6% was obtained using DG–LFER method. The value obtained by our new method was very close to that obtained by Guskov et al. using the DG–LFER calculation. However, the advantage of the new methodology, using the Hamieh thermal model, is to give the expressions of for the different percentages of melamine. For Dowex L-285 modified by 1% of melamine, the following relation is obtained:
The obtained values of of the styrene–divinylbenzene copolymer as a function of temperature were correlated with the thermal conductivity of this copolymer. Indeed, Yamamoto and Kambe [46] determined the thermal conductivity of this material by the following relation:
The results in Table 1 and Equation (20) led to the expression of the thermal conductivity as a function of :
Equation (21) clearly shows that the thermal conductivity of Dowex L-285 decreased when the London dispersive surface energy increased or when the temperature decreased. This study confirmed the results, obtained in a recent paper [47], of the presence of a strong relationship between the thermal conductivity of some graphene and carbon materials and their London dispersive surface energy.
3.3. Polar Free Interaction Energy of Dowex L-285 Modified by Melamine with the Polar Probes
The free polar energy of adsorption of polar organic probes adsorbed on the different solid materials was determined, against temperature, using our new approach, Equations (5)–(8), and Table S1. The obtained results are presented in Table S2.
The curves of of the various polar organic probes adsorbed on Dowex L-285, drawn in Figure 3, as a function of temperature, show linear variations in the various melamine percentages. The obtained straight lines of the function of the temperature easily led to the polar enthalpy and entropy values of the adsorbed polar solvents.

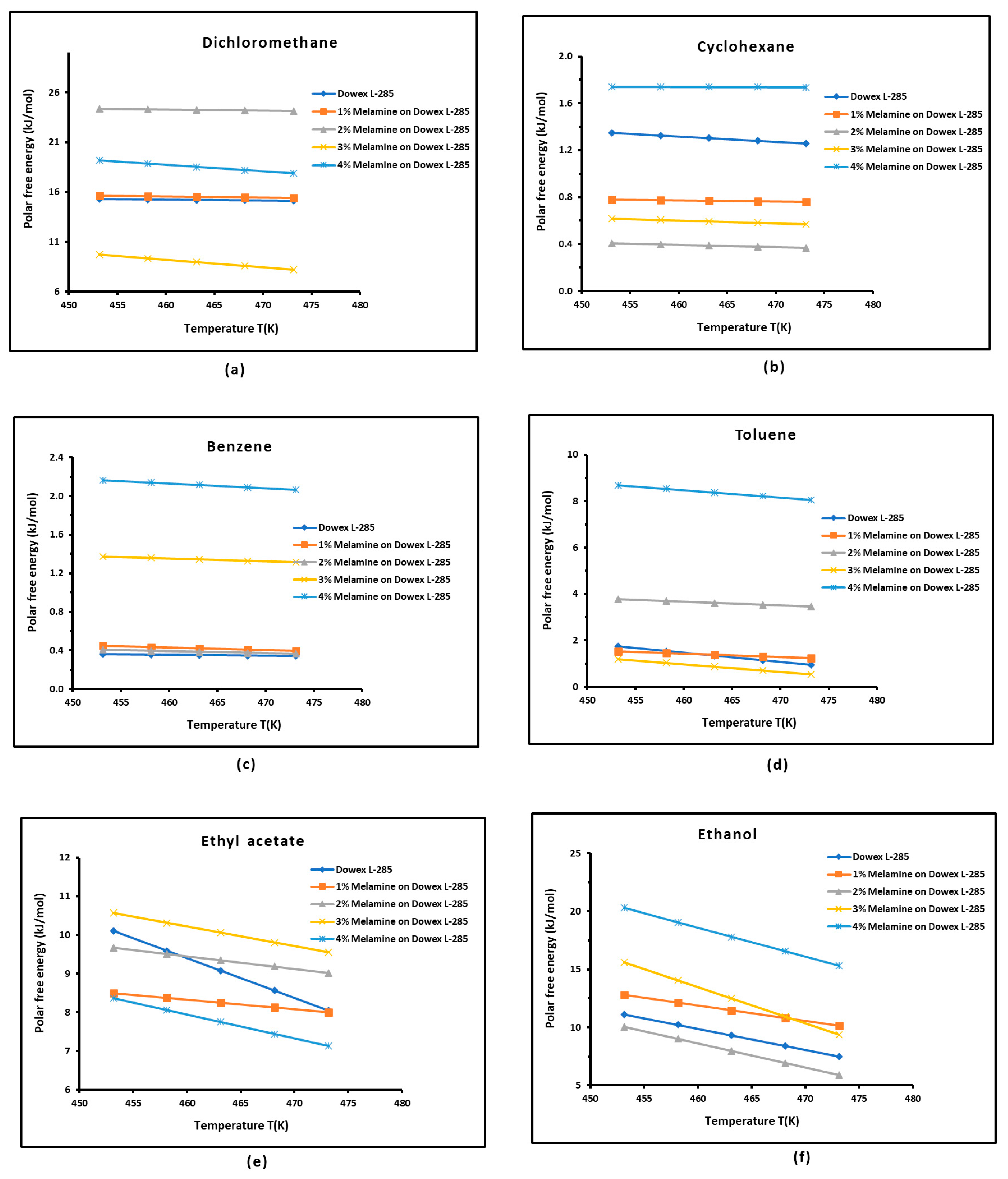
Figure 3.
Evolution of the free polar energy of the various polar organic probes adsorbed on the different solid materials as a function of temperature for different melamine percentages. (a) Dichloromethane, (b) cyclohexane, (c) benzene, (d) toluene, (e) ethyl acetate, (f) ethanol, (g) n-propanol, (h) i-propanol, (i) n-butanol, and (j) i-butanol.
Several conclusions can be deduced from the curves in Figure 3:
- The free polar energies, of interaction between the solids and the organic solvents can be globally classified in increasing order of interaction energy with the various polar probes at all temperatures: cyclohexane < benzene < toluene < ethyl acetate < i-butanol < n-butanol < ethanol < n-propanol < dichloromethane < i-propanol.
- The highest free interaction energy was obtained for 4% melamine on Dowex L-285 for the following polar molecules in increasing order: cyclohexane < benzene < toluene < n-butanol < ethanol < n-propanol.
- However, a maximum of free interaction energy was observed for 2% melamine on Dowex L-285 for the other polar solvents such as dichloromethane, i-propanol, and i-butanol.
- It was proved that the alcohol molecules exchanged the maximum free interaction energy with the various solid surfaces, and especially with 4% melamine, while the minimum interaction was observed in the case of adsorption on Dowex L-285.
- The above results show that the modification of the copolymer Dowex L-285 by melamine increased the polar free interaction.
The above results were confirmed by the curves of presented in Figure 4 as a function of the percentage of melamine on Dowex L-285 at different temperatures, where the maximum of the free interaction energy is shown for all polar solvents. Different non-linear variations in the free interaction energy were observed for the various polar molecules when the melamine percentage increased, but with a global increasing tendency of .

Figure 4.
Variations in the free polar energy of polar organic probes adsorbed on the different solid materials as a function of melamine percentage on Dowex L-285 at various temperatures. (a) Dichloromethane, (b) cyclohexane, (c) benzene, (d) toluene, (e) ethyl acetate, (f) ethanol, (g) n-propanol, (h) i-propanol, (i) n-butanol, and (j) i-butanol.
In order to better understand the polar behavior of the different solid surfaces, it was necessary to determine the surface polar enthalpy and the entropy of adsorption, as well as the Lewis acid–base constants of the solid materials. This is developed in the next section.
3.4. Polar Enthalpy and Entropy of Adsorption, and Lewis Acid–Base Parameters of Dowex L-285 Modified by Melamine
The polar enthalpy ( and entropy ( of the polar solvents adsorbed on the copolymer Dowex L-285 modified by different melamine percentages, were deduced from the variations in using Table S2, Figure 3, and Equation (9). The curves in Figure 5 show that the approximate linear variations in and versus of the polar solvents adsorbed on the different solid materials led to the values of the Lewis enthalpic and and entropic and acid–base constants of Dowex L-285 with different melamine percentages. The results are presented in Table 2 and clearly show an amphoteric behavior of the different solid surfaces with a Lewis basicity higher than their Lewis acidity for all solid substrates.
Figure 5.
Variations in and against of polar solvents adsorbed on Dowex L-285 modified by different percentages of melamine.
Table 2.
Values of the Lewis acid–base constants , , , and ; the acid–base ratios; and the linear regression coefficient R2 relative to Dowex L-285, modified by different melamine percentages with the corresponding parameters SK = KA + KD and SK = ωA + ωD.
The values of the Lewis acid and base constants of different materials were obtained using Equation (10) and Figure 5. The slopes of straight lines of and against determined the Lewis acid constants and , while the ordinates at origin led to the Lewis base constants and . The results in Table 2 show that Dowex L-285 exhibited the highest acid character, whereas the copolymer modified by 4% of melamine had the highest basicity. The results presented in Figure 6 show that the basicity of solid materials largely increased when the melamine percentage increased, while a brutal decrease in the acidity was observed when Dowex L-285 was modified by 1% of melamine. A slight increase in acidity was found when the melamine percentage passed from 2% to 4%. The same conclusions were observed for the entropic acid–base constants. The total acid–base parameters SK = KA + KD and SK = ωA + ωD are given in Table 2. It was proved that the total acidity–basicity increased when the melamine percentage increased. It seemed that this continued for all acid–base parameters of solid surfaces after 3% of melamine. In fact, the presence of six nitrogen atoms in the supramolecular structure of melamine increased its donor interaction of electrons when added to the structure of styrene–divinylbenzene copolymer. This increased the basicity of Dowex L-285 when the melamine percentage increased, while the Lewis acidity decreased because of the strong basic sites of melamine that certainly interacted with the acidic sites of the copolymer by decreasing the total acidity of the solid materials.
Figure 6.
(a,b) Curves of the Lewis enthalpic and entropic acid–base constants , , , the acid–base ratios; and the corresponding parameters SK = KA + KD and SK = ωA + ωD as a function of melamine percentage.
3.5. Polar Acid–Base Surface Energies of Dowex L-285 Modified by Melamine
The different polar surface energies, such as the polar acid and base surface energies of Dowex L-285 modified by different melamine percentages were determined using the method of Van Oss et al. [44]. To do that, the free polar energy of the different polar molecules, given in Table 3, was used to determine the values of and at different temperatures, knowing the values of the polar acid and base surface energies of two chosen polar solvents such as dichloromethane and ethyl acetate molecules.
Table 3.
Values of for dichloromethane and ethyl acetate adsorbed on Dowex L-285 modified with different melamine percentages at different temperatures.
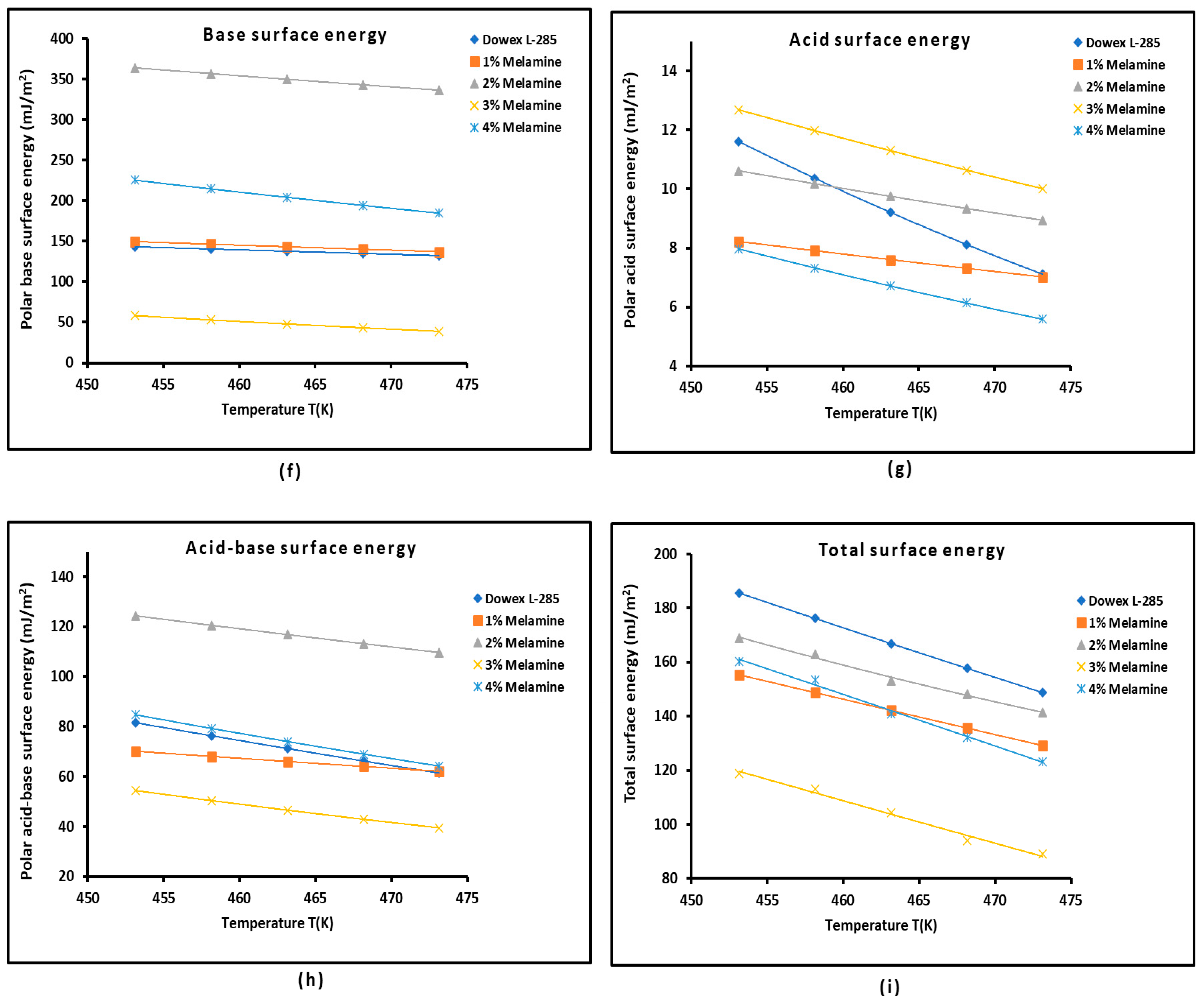
Using Equations (13) and (15), the values of in Table 3, and the Hamieh thermal model, we obtained the values of and of the various solid surfaces as a function of temperature. The polar acid–base surface energy was then deduced from the relation . This led to the total surface energy of the different solid surfaces using the relation .
The variations in , , , , and of Dowex L-285 with different percentages of melamine are given in Table S3. Figure 7 gives the linear variations in polar surface energy components of Dowex L-285 modified by different melamine percentages as a function of temperature. The results show that the highest polar surface energy values were obtained with the Lewis base surface energy for all materials, while the lowest values were highlighted with the Lewis acid surface energy, confirming the highest basic character of Dowex L-285 at different melamine percentages. Furthermore, the maximum values of the Lewis base surface energy and the polar acid–base surface energy were obtained when using Dowex L-285 modified by 2% of melamine, followed by that of 4% of melamine.

Figure 7.
Variations in acid and base surface energy components, and total energy () of Dowex L-285 modified by different melamine percentages as a function of temperature: Dowex L-285 (a), 1% melamine (b), 2% melamine (c), 3%melamine (d), 4% melamine (e), base surface energy (f), acid surface energy (g), acid–base surface energy (h), and total surface energy (i).
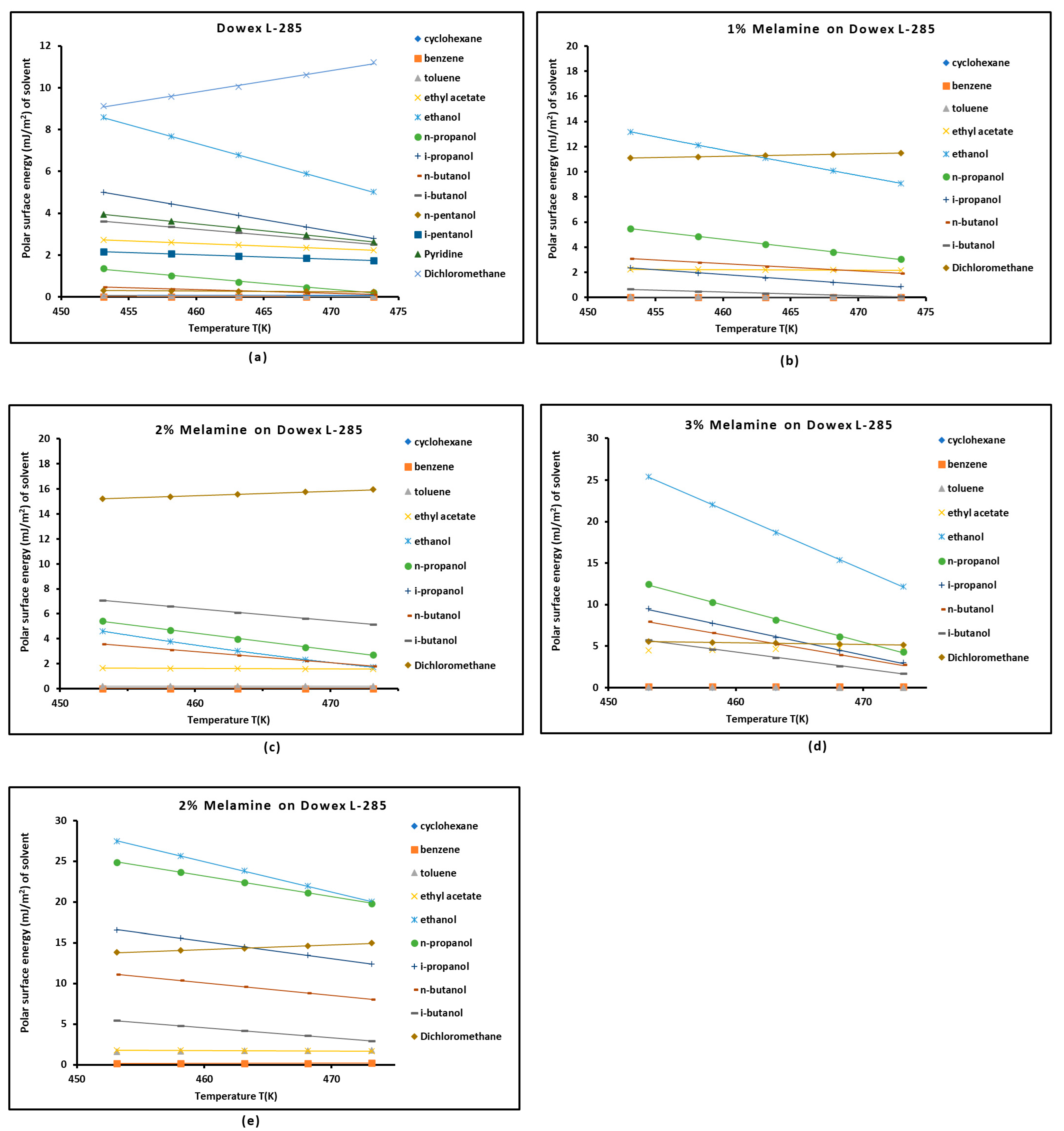
By applying the Hamieh thermal model to determine the values of the surface area of organic molecules adsorbed on the different solid surfaces as a function of temperature and the results in Table S3 and Figure 7, Figure 8 shows the variations in the polar surface energy of the adsorbed polar probes against the temperature using the Fowkes relation [43]. The highest values of the polar surface energy were obtained with dichloromethane and ethanol adsorbed on the various solid materials, whereas, the lowest values were obtained in the case of adsorption of cyclohexane and benzene. These results are in perfect agreement with the polarity of the above organic molecules.
Figure 8.
Variations in polar surface energy () of the different polar solvents adsorbed on Dowex L-285 modified by different melamine percentages as a function of temperature: Dowex L-285 (a), 1% melamine (b), 2% melamine (c), 3% melamine (d), and 4% melamine (e).
3.6. Determination of the Average Separation Distance H
The separation distance between the organic molecules and the solid surfaces was determined as a function of the temperature, using Equations (7) and (8) and the previous experimental results. The obtained curves are plotted in Figure 9. It was observed that the separation distance increased when the temperature increased proving the effect of the thermal agitation on the separation distance between molecules and solid substrates. The results show that the separation distance was between 5.5 Å and 6.1 Å, with the highest value in the case of 2% of melamine.
Figure 9.
Evolution of the separation distance (in Å) between the organic solvents and Dowex L-285, modified by melamine supramolecule, as a function of the temperature.
4. Conclusions
The surface thermodynamic properties of styrene–divinylbenzene copolymer (Dowex L-285) modified by a supramolecular structure of melamine at different percentages were characterized using the inverse gas chromatography at infinite dilution. The new methodology based on the Hamieh thermal model was used for accurate determination of the London dispersive surface energy of the different materials as a function of the temperature and the melamine percentage. A linear decrease in in the London dispersive surface energy of materials was noticed when the temperature increased, with the highest value obtained for the copolymer Dowex L-285. The results show an important difference in the behavior of different materials when the melamine percentage varied. This study highlighted a linear correlation between the thermal conductivity of the styrene–divinylbenzene copolymer and its London dispersive surface energy, confirming similar relationships previously obtained with graphene and carbon materials.
The application of our new methodology using the London dispersion interaction on the styrene–divinylbenzene copolymer modified by melamine led to the determination of the polar free energy, enthalpy, and entropy of adsorption of polar solvents on the various solid surfaces, as well the Lewis acid–base constants. It was proved that all materials used exhibited basic behavior that was largely higher than their acid behavior and the basic character increased with the melamine percentage in good agreement with the increase in nitrogen atom number at the surface of solid materials. The determination of the various components of polar acid and base surface energies of the different materials led to the conclusion that the highest polar surface energy values were obtained with the Lewis base surface energy for all materials, while the lowest values were obtained with the Lewis acid surface energy, confirming the highest basic character of Dowex L-285 at different melamine percentages. It was also shown that the maximum values of the Lewis base surface energy and the polar acid–base surface energy were obtained when using Dowex L-285 modified by 2% of melamine, which showed the highest separation distance between surface materials and organic solvents.
Supplementary Materials
The following supporting information can be downloaded at: https://www.mdpi.com/article/10.3390/chemistry6050050/s1. Table S1. Values of (kJ/mol) of n-alkanes adsorbed on silica particles as a function of the temperature. Table S2. Variations in of different polar solvents adsorbed on Dowex L-285 and various melamine percentages as a function of temperature. Table S3. Values of , , , , and of Dowex L-285 and the different percentages of melamine on the copolymer.
Author Contributions
Conceptualization, T.H. and V.Y.G.; methodology, T.H.; software, T.H.; validation, T.H. and V.Y.G.; formal analysis, T.H. and V.Y.G.; investigation, T.H. and V.Y.G.; resources, V.Y.G.; data curation, V.Y.G.; writing—original draft preparation, T.H.; writing—review and editing, T.H.; visualization, T.H. and V.Y.G.; project administration, T.H. and V.Y.G.; funding acquisition, V.Y.G. All authors have read and agreed to the published version of the manuscript.
Funding
This research received no external funding.
Data Availability Statement
The data presented in this study are available in the article and Supplementary Materials.
Acknowledgments
We thank Sami Tlais for his kind financial support relative to the publication fees.
Conflicts of Interest
The authors declare no conflicts of interest.
References
- Gus’kov, V.Y.; Bilalova, R.V.; Kudasheva, F.K. Adsorption of organic molecules on a melamine-modified porous polymer. Russ. Chem. Bull. 2017, 66, 857–861. [Google Scholar] [CrossRef]
- Zaitsev, S.Y.; Vereschetin, V.P.; Gromov, S.P.; Fedorova, O.A.; Alfimov, M.V.; Huesmann, H.; Möbius, D. Photosensitive supramolecular systems based on amphiphilic crown ethers. Supramol. Sci. 1997, 4, 519–524. [Google Scholar] [CrossRef]
- Sukhareva, D.A.; Gus´kov, V.Y.; Karpov, S.I.; Kudasheva, F.K. Adsorption of organic molecules on the highly ordered MCM-41 sorbent modified by different amounts of melamine. Russ. Chem. Bull. 2017, 66, 958–962. [Google Scholar] [CrossRef]
- Gainullina, Y.Y.; Gus’kov, V.Y.; Timofeeva, D.V. Polarity of Thymine and 6-Methyluracil-Modified Porous Polymers, According to Data from Inverse Gas Chromatography. Russ. J. Phys. Chem. 2019, 93, 2477–2481. [Google Scholar] [CrossRef]
- Gus’kov, V.Y.; Shaihitdinova, Y.F.; Zil’berg, R.A.; Kraikin, V.A.; Maistrenko, V.N. Intermolecular interactions between polyarylenephthalides surface and organic compounds of different nature by inverse gas chromatography. Sorpt. Chromatogr. Process 2019, 19, 229–236. [Google Scholar] [CrossRef] [PubMed]
- Onuchak, L.A.; Kapralova, T.S.; Kuraeva, Y.G.; Belousova, Z.P.; Stepanova, R.F. Sorption and selective chromatographic properties of isomer-selective composite sorbent based on a eutectic mixture of nematic liquid crystals and perbenzoylated β-cyclodextrin. Russ. J. Phys. Chem. A 2015, 89, 2304–2312. [Google Scholar] [CrossRef]
- Lehn, J.-M. Supramolecular Chemistry. Concepts and Perspectives; VCH: Weinhiem, Germany, 1995; p. 271. [Google Scholar] [CrossRef]
- Guo, F.; Cheung, E.Y.; Harris, K.D.M.; Pedireddi, V.R. Contrasting Solid-State Structures of Trithiocyanuric Acid and Cyanuric Acid. Cryst. Growth Des. 2006, 6, 846–848. [Google Scholar] [CrossRef]
- Singh, U.P.; Kashyap, S.; Singh, H.J.; Mishra, B.K.; Roy, P.; Chakraborty, A. Effect of adenosine on the supramolecular architecture and activity of 5-fluorouracil. J. Mol. Struct. 2012, 1014, 47–56. [Google Scholar] [CrossRef]
- Gus’kov, V.Y.; Gainullina, Y.Y.; Ivanov, S.P.; Kudasheva, F.K. Thermodynamics of organic molecule adsorption on sorbents modified with 5-hydroxy-6-methyluracil by inverse gas chromatography. J. Chromatogr. A 2014, 1356, 230–235. [Google Scholar] [CrossRef]
- Breckenridge, W.H.; Ayles, V.L.; Wright, T.G. Evidence for Emergent Chemical Bonding in Au+−Rg Complexes (Rg = Ne, Ar, Kr, and Xe). J. Phys. Chem. A 2008, 112, 4209–4214. [Google Scholar] [CrossRef]
- Gus’kov, V.Y.; Ganieva, A.G.; Kudasheva, F.K. Monolayer capacity estimation by inverse gas chromatography at finite concentrations. Colloids Surf. A 2017, 513, 95–101. [Google Scholar] [CrossRef]
- Gus’kov, V.Y.; Gainullina, Y.Y.; Ivanov, S.P.; Kudasheva, F.K. Properties of the surface of a porous polymer modified with 5-fluorouracil, according to data of gas chromatography. Russ. J. Phys. Chem. A 2014, 88, 1042–1046. [Google Scholar] [CrossRef]
- Gus’kov, V.Y.; Gainullina, Y.Y.; Ivanov, S.P.; Kudasheva, F.K. Porous polymer adsorbents modified with uracil. Prot. Met. Phys. Chem. Surf. 2014, 50, 55–58. [Google Scholar] [CrossRef]
- Gus’kov, V.Y.; Ivanov, S.P.; Khabibullina, R.A.; Garafutdinov, R.R.; Kudasheva, F.K. Gas chromatographic investigation of the properties of a styrene-divinylbenzene copolymer modified by 5-hydroxy-6-methyluracil. Russ. J. Phys. Chem. A 2012, 86, 475–478. [Google Scholar] [CrossRef]
- Godlewski, S.; Tekiel, A.; Piskorz, W.; Zasada, F.; Prauzner-Bechcicki, J.S.; Sojka, Z.; Szymonski, M. Supramolecular ordering of PTCDA molecules: The key role of dispersion forces in an unusual transition from physisorbed into chemisorbed state. ACS Nano 2012, 6, 8536–8545. [Google Scholar] [CrossRef]
- Dorris, G.M.; Gray, D.G. Adsorption of n-alkanes at zero surface coverage on cellulose paper and wood fibers. J. Colloid Interface Sci. 1980, 77, 353–362. [Google Scholar] [CrossRef]
- Schultz, J.; Lavielle, L.; Martin, C. Propriétés de surface des fibres de carbone déterminées par chromatographie gazeuse inverse. J. Chim. Phys. 1987, 84, 231–237. [Google Scholar] [CrossRef]
- Hamieh, T. Study of the temperature effect on the surface area of model organic molecules, the dispersive surface energy and the surface properties of solids by inverse gas chromatography. J. Chromatogr. A 2020, 1627, 461372. [Google Scholar] [CrossRef] [PubMed]
- Hamieh, T.; Ahmad, A.A.; Roques-Carmes, T.; Toufaily, J. New approach to determine the surface and interface thermodynamic properties of H-β-zeolite/rhodium catalysts by inverse gas chromatography at infinite dilution. Sci. Rep. 2020, 10, 20894. [Google Scholar] [CrossRef]
- Hamieh, T. New methodology to study the dispersive component of the surface energy and acid–base properties of silica particles by inverse gas chromatography at infinite dilution. J. Chromatogr. Sci. 2022, 60, 126–142. [Google Scholar] [CrossRef]
- Hamieh, T. Inverse Gas Chromatography to Characterize the Surface Properties of Solid Materials. Chem. Mater. 2024, 36, 2231–2244. [Google Scholar] [CrossRef]
- Hamieh, T. Some Irregularities in the Evaluation of Surface Parameters of Solid Materials by Inverse Gas Chromatography. Langmuir 2023, 39, 17059–17070. [Google Scholar] [CrossRef] [PubMed]
- Hamieh, T. New Progress on London Dispersive Energy, Polar Surface Interactions, and Lewis’s Acid–Base Properties of Solid Surfaces. Molecules 2024, 29, 949. [Google Scholar] [CrossRef] [PubMed]
- Hamieh, T. London Dispersive and Lewis Acid-Base Surface Energy of 2D Single-Crystalline and Polycrystalline Covalent Organic Frameworks. Crystals 2024, 14, 148. [Google Scholar] [CrossRef]
- London, F. The general theory of molecular forces. Trans. Faraday Soc. 1937, 33, 8–26. [Google Scholar] [CrossRef]
- Conder, J.R.; Young, C.L. Physical Measurements by Gas Chromatography; John Wiley & Sons: Chichester, NY, USA, 1979; p. 632. [Google Scholar]
- Sawyer, D.T.; Brookman, D.J. Thermodynamically based gas chromatographic retention index for organic molecules using salt-modified aluminas and porous silica beads. Anal. Chem. 1968, 40, 1847–1850. [Google Scholar] [CrossRef]
- Liu, Y.; Gu, Y.; Wang, S.; Li, M. Optimization for testing conditions of inverse gas chromatography and surface energies of various carbon fiber bundles. Carbon Lett. 2023, 33, 909–920. [Google Scholar] [CrossRef]
- Pal, A.; Kondor, A.; Mitra, S.; Thua, K.; Harish, S.; Saha, B.B. On surface energy and acid–base properties of highly porous parent and surface treated activated carbons using inverse gas chromatography. J. Ind. Eng. Chem. 2019, 69, 432–443. [Google Scholar] [CrossRef]
- Schultz, J.; Lavielle, L.; Martin, C. The role of the interface in carbon fibre-epoxy composites. J. Adhes. 1987, 23, 45–60. [Google Scholar] [CrossRef]
- Saint-Flour, C.; Papirer, E. Gas-solid chromatography. A method of measuring surface free energy characteristics of short glass fibers. 1. Through adsorption isotherms. Ind. Eng. Chem. Prod. Res. Dev. 1982, 21, 337–341. [Google Scholar] [CrossRef]
- Saint-Flour, C.; Papirer, E. Gas-solid chromatography: Method of measuring surface free energy characteristics of short fibers. 2. Through retention volumes measured near zero surface coverage. Ind. Eng. Chem. Prod. Res. Dev. 1982, 21, 666–669. [Google Scholar] [CrossRef]
- Donnet, J.-B.; Park, S.; Balard, H. Evaluation of specific interactions of solid surfaces by inverse gas chromatography. Chromatographia 1991, 31, 434–440. [Google Scholar] [CrossRef]
- Chehimi, M.M.; Pigois-Landureau, E. Determination of acid–base properties of solid materials by inverse gas chromatography at infinite dilution. A novel empirical method based on the dispersive contribution to the heat of vaporization of probes. J. Mater. Chem. 1994, 4, 741–745. [Google Scholar] [CrossRef]
- Brendlé, E.; Papirer, E. A New Topological Index for Molecular Probes Used in Inverse Gas Chromatography for the Surface Nanorugosity Evaluation. J. Colloid Interface Sci. 1997, 194, 207–216. [Google Scholar] [CrossRef]
- Brendlé, E.; Papirer, E. A New Topological Index for Molecular Probes Used in Inverse Gas Chromatography. J. Colloid Interface Sci. 1997, 194, 217–224. [Google Scholar] [CrossRef] [PubMed]
- Przybyszewska, M.; Krzywania, A.; Zaborski, M.; Szynkowska, M.I. Surface properties of zinc oxide nanoparticles studied by inverse gas chromatography. J. Chromatogr. A 2009, 1216, 5284–5291. [Google Scholar] [CrossRef] [PubMed]
- Bakaoukas, N.; Sevastos, D.; Kapolos, J.; Koliadima, A.; Karaiskakis, G. Characterization of polymeric coatings in terms of their ability to protect marbles and clays against corrosion from sulfur dioxide by inverse gas chromatography. Int. J. Polym. Anal. Charact. 2013, 18, 401–4013. [Google Scholar] [CrossRef]
- Rückriem, M.; Inayat, A.; Enke, D.; Gläser, R.; Einicke, W.-D.; Rockmann, R. Inverse gas chromatography for determining the dispersive surface energy of porous silica. Colloids Surf. A Physicochem. Eng. Asp. 2010, 357, 21–26. [Google Scholar] [CrossRef]
- Gutmann, V. The Donor-Acceptor Approach to Molecular Interactions; Springer: New York, NY, USA, 1978; p. 279. [Google Scholar]
- Riddle, F.L.; Fowkes, F.M. Spectral shifts in acid-base chemistry. Van der Waals contributions to acceptor numbers, Spectral shifts in acid-base chemistry. 1. van der Waals contributions to acceptor numbers. J. Am. Chem. Soc. 1990, 112, 3259–3264. [Google Scholar] [CrossRef]
- Fowkes, F.M. Volume 1 Surface Chemistry and Physics. In Surface and Interfacial Aspects of Biomedical Polymers; Andrade, J.D., Ed.; Plenum Press: New York, NY, USA, 1985; pp. 337–372. [Google Scholar]
- Van Oss, C.J.; Good, R.J.; Chaudhury, M.K. Additive and nonadditive surface tension components and the interpretation of contact angles. Langmuir 1988, 4, 884. [Google Scholar] [CrossRef]
- Gus’kov, V.Y.; Gainullina, Y.Y.; Gabdulmanova, A.F.; Gareeva, A.N. Dispersive surface free energy of adsorbents modified by supramolecular structures of heterocyclic compounds. Chim. Techno Acta 2024, 11, 202411210. [Google Scholar] [CrossRef]
- Yamamoto, O.; Kambe, H. Thermal conductivity of cross-linked polymers. A comparison between measured and calculated thermal conductivities. Polym. J. 1971, 2, 623–628. [Google Scholar] [CrossRef]
- Hamieh, T. Thermal Surface Properties, London Dispersive and Polar Surface Energy of Graphene and Carbon Materials Using Inverse Gas Chromatography at Infinite Dilution. Molecules 2024, 29, 2871. [Google Scholar] [CrossRef] [PubMed]
Disclaimer/Publisher’s Note: The statements, opinions and data contained in all publications are solely those of the individual author(s) and contributor(s) and not of MDPI and/or the editor(s). MDPI and/or the editor(s) disclaim responsibility for any injury to people or property resulting from any ideas, methods, instructions or products referred to in the content. |
© 2024 by the authors. Licensee MDPI, Basel, Switzerland. This article is an open access article distributed under the terms and conditions of the Creative Commons Attribution (CC BY) license (https://creativecommons.org/licenses/by/4.0/).