New Zwitterionic Imidazolones with Enhanced Water Solubility and Bioavailability: Synthesis, Anticancer Activity, and Molecular Docking
Abstract
:1. Introduction
2. Materials Methods
2.1. Reagents and Instruments
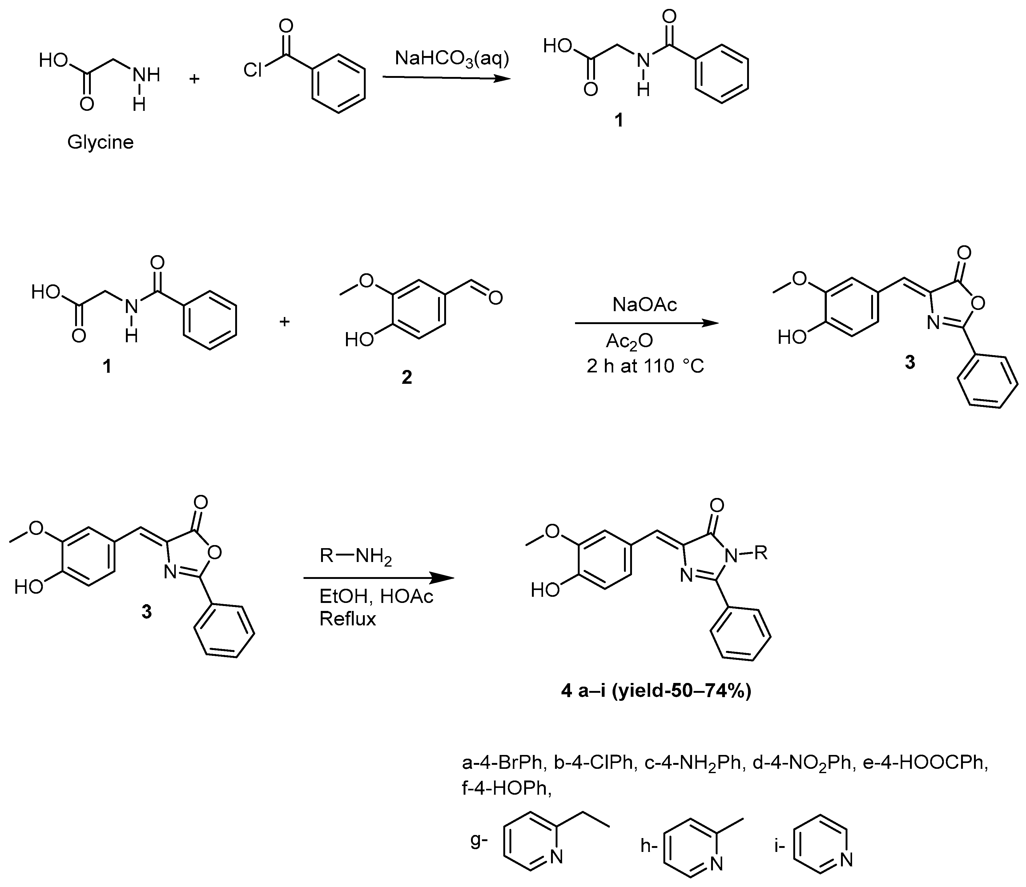
2.2. Synthesis and Characterization
2.2.1. Synthesis of Benzoyl Glycine (1)
2.2.2. Synthesis of Oxazolone (Z)-4-(4-Hydroxy-3-Methoxybenzylidene)-2-Phenyloxazol-5-(4H)-One (3)
2.2.3. General Procedure: Synthesis of Imidazolones (4a–i)
(Z)-3-(4-Bromophenyl)-5-(4-Hydroxy-3-Methoxybenzylidene)-2-Phenyl-3,5-Dihydro-4H-Imidazol-4-One (4a)
(Z)-3-(4-Chlorophenyl)-5-(4-Hydroxy-3-Methoxybenzylidene)-2-Phenyl-3,5-Dihydro-4H-Imidazol-4-One (4b)
(Z)-3-(4-Aminophenyl)-5-(4-Hydroxy-3-Methoxybenzylidene)-2-Phenyl-3,5-Dihydro-4H-Imidazol-4-One (4c)
(Z)-5-(4-Hydroxy-3-Methoxybenzylidene)-3-(4-Nitrophenyl)-2-Phenyl-3,5-Dihydro-4H-Imidazol-4-One (4d)
(Z)-4-(4-(4-Hydroxy-3-Methoxybenzylidene)-5-Oxo-2-Phenyl-4,5-Dihydro-1H-Imidazol-1-yl)benzoicacid (4e)
(Z)-5-(4-Hydroxy-3-Methoxybenzylidene)-3-(4-Hydroxyphenyl)-2-Phenyl-3,5-Dihydro-4H-Imidazol-4-One (4f)
(Z)-5-(4-Hydroxy-3-Methoxybenzylidene)-2-Phenyl-3-(2-(Pyridin-2-yl)ethyl)-3,5-Dihydro-4H-Imidazol-4-One (4g)
(Z)-5-(4-Hydroxy-3-Methoxybenzylidene)-2-Phenyl-3-(Pyridin-2-Ylmethyl)-3,5-Dihydro-4H-Imidazol-4-One (4h)
(Z)-5-(4-Hydroxy-3-Methoxybenzylidene)-2-Phenyl-3-(Pyridin-2-yl)-3,5-Dihydro-4H-Imidazol-4-One (4i)
2.2.4. General Procedure for Synthesis of Imidazolone Alkyl Sulfonate
(Z)-3-(1-(4-Bromophenyl)-4-(4-Hydroxy-3-Methoxybenzylidene)-5-Oxo-2-Phenyl-4,5-Dihydro-1H-Imidazol-3-Ium-3-yl)propane-1-Sulfonate(4a1)
(Z)-3-(1-(4-Chlorophenyl)-4-(4-Hydroxy-3-Methoxybenzylidene)-5-Oxo-2-Phenyl-4,5-Dihydro-1H-Imidazol-3-Ium-3-yl)propane-1-Sulfonate (4b1)
(Z)-3-(4-(4-Hydroxy-3-Methoxybenzylidene)-1-(4-Hydroxyphenyl)-5-Oxo-2-Phenyl-4,5-Dihydro-1H-Imidazol-3-Ium-3-yl)propane-1-Sulfonate (4f1)
2.3. Anticancer Activity
2.3.1. Cell Line
2.3.2. Cell Culture and Cytotoxicity Test
2.3.3. Statistical Analysis
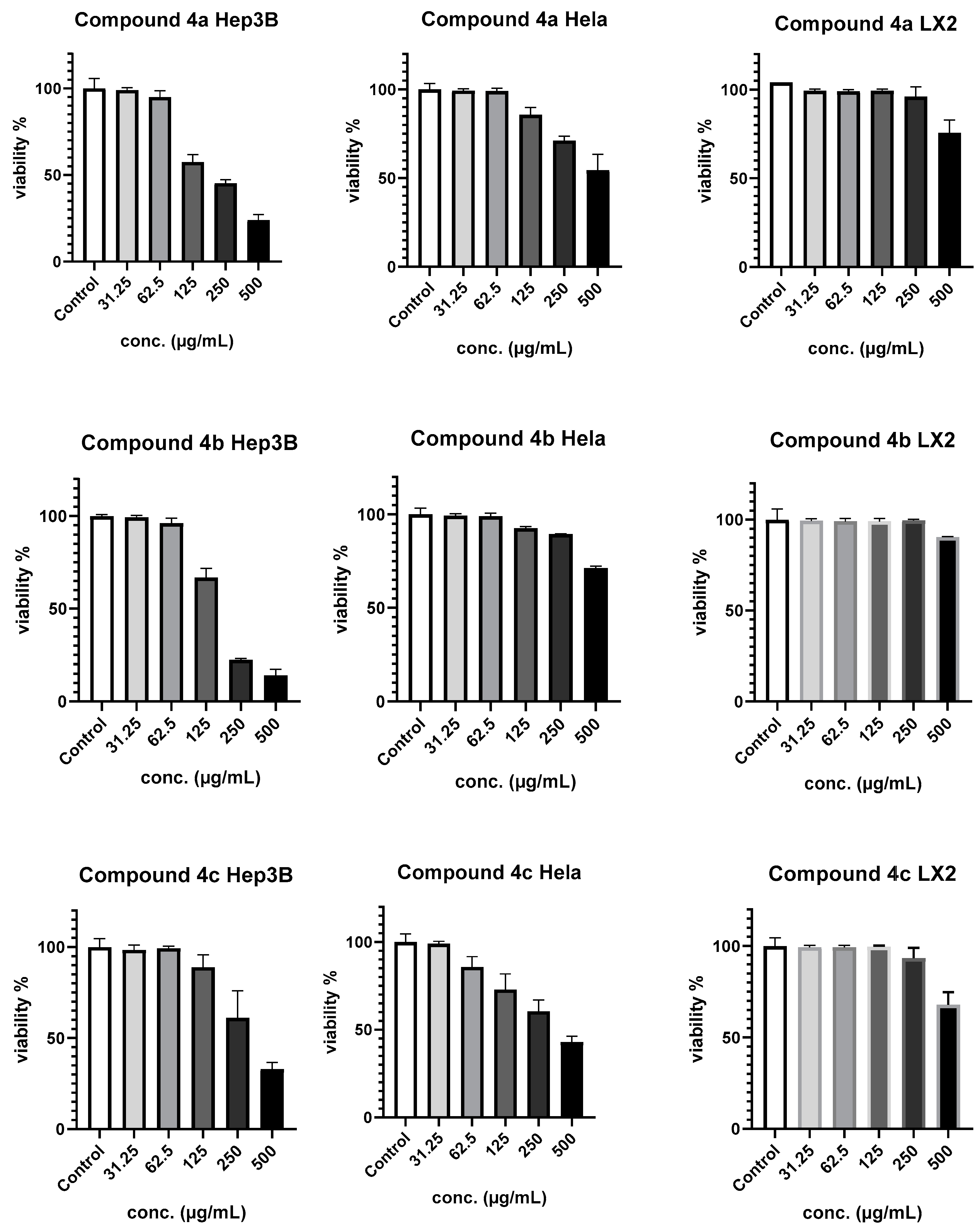
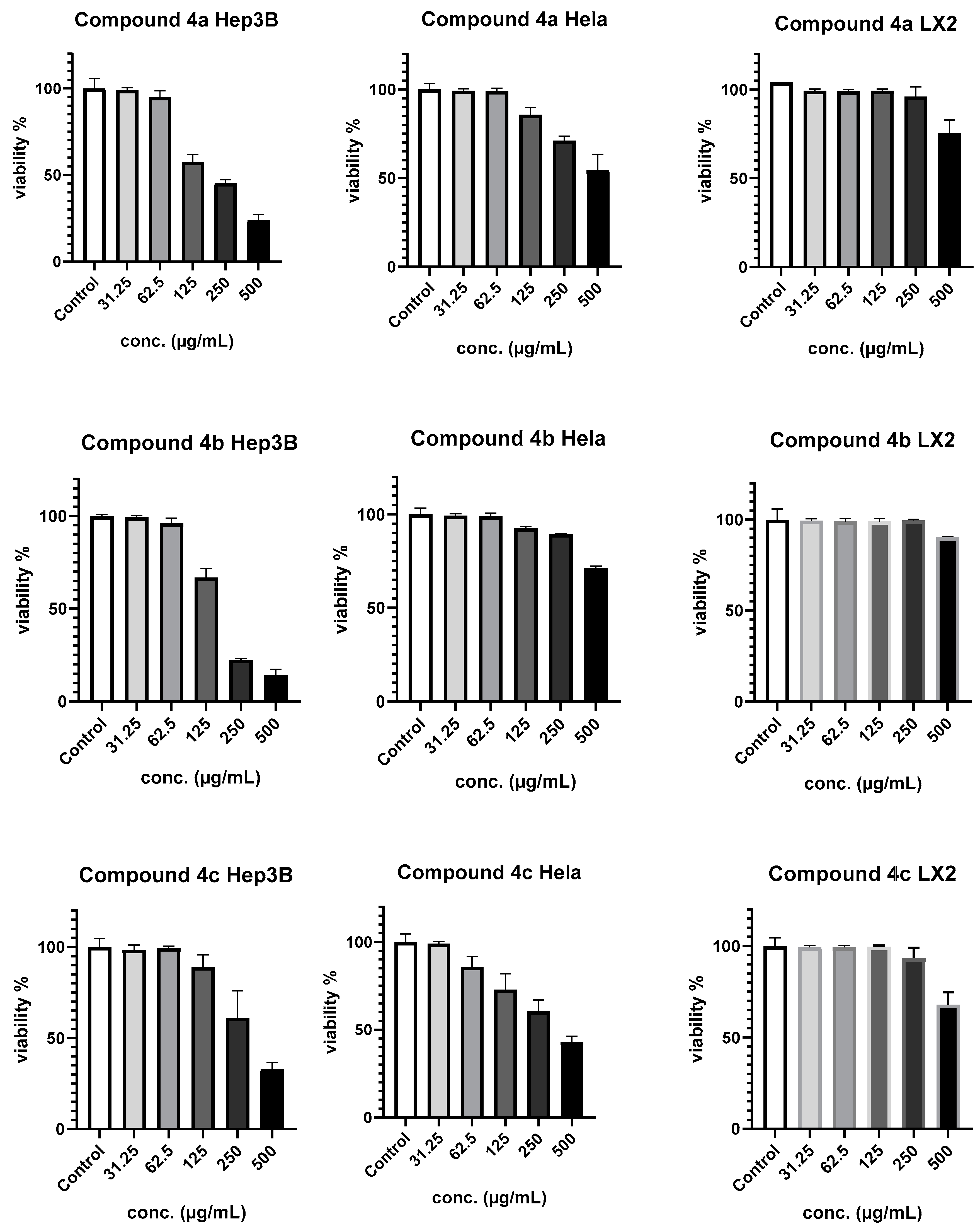
3. Results and Discussion
DNA Binding
4. Conclusions
Supplementary Materials
Author Contributions
Funding
Data Availability Statement
Conflicts of Interest
References
- Brahmachari, G. Green Synthetic Approaches for Biologically Relevant 2-amino-4H-pyrans and 2-amino-4H-pyran-Annulated Heterocycles in Aqueous Media. In Green Synthetic Approaches for Biologically Relevant Heterocycles; Elsevier: Amsterdam, The Netherlands, 2014; pp. 185–208. [Google Scholar]
- Heravi, M.M.; Zadsirjan, V. Prescribed drugs containing nitrogen heterocycles: An overview. RSC Adv. 2020, 10, 44247–44311. [Google Scholar] [CrossRef] [PubMed]
- Moloney, M.G.; Khan, M.K.; Wang, D. Functionalised Nitrogen Heterocycles and the Search for New Antibacterials and Bioactives. Synthesis 2020, 52, 1602–1616. [Google Scholar] [CrossRef]
- Srivastava, M.; Singh, J.; Singh, S.B.; Tiwari, K.; Pathak, V.K.; Singh, J. Synthesis of novel fused heterocycle-oxa-aza-phenanthrene and anthracene derivatives via sequential one-pot synthesis in aqueous micellar system. Green Chem. 2012, 14, 901. [Google Scholar] [CrossRef]
- Yang, D.; An, B.; Wei, W.; Tian, L.; Huang, B.; Wang, H. Copper-Catalyzed Domino Synthesis of Nitrogen Heterocycle-Fused Benzoimidazole and 1,2,4-Benzothiadiazine 1,1-Dioxide Derivatives. ACS Comb. Sci. 2015, 17, 113–119. [Google Scholar] [CrossRef]
- Gauthier, M.P.; Michaux, C.; Rolin, S.; Vastersaegher, C.; de Leval, X.; Julémont, F.; Pochet, L.; Masereel, B. Synthesis, molecular modelling and enzymatic evaluation of (±)3,5-diphenyl-2-thioxoimidazolidin-4-ones as new potential cyclooxygenase inhibitors. Bioorganic Med. Chem. 2006, 14, 918–927. [Google Scholar] [CrossRef]
- Lombardino, J.G.; Wiseman, E.H. Preparation and antiinflammatory activity of some nonacidic trisubstituted imidazoles. J. Med. Chem. 2002, 17, 1182–1188. [Google Scholar] [CrossRef]
- Vijesh, A.M.; Isloor, A.M.; Telkar, S.; Peethambar, S.K.; Rai, S.; Isloor, N. Synthesis, characterization and antimicrobial studies of some new pyrazole incorporated imidazole derivatives. Eur. J. Med. Chem. 2011, 46, 3531–3536. [Google Scholar] [CrossRef]
- Dhingra, A.K.; Chopra, B.; Dass, R.; Mittal, S.K. Synthesis, antimicrobial and anti-inflammatory activities of some novel 5-substituted imidazolone analogs. Chin. Chem. Lett. 2016, 27, 707–710. [Google Scholar] [CrossRef]
- Kortiwala, N.; Patel, J.; Desai, V.A. Imidazolone and its Various Biological Activities. Rev. J. Chem. Chem. Sci. 2016, 6, 25–32. [Google Scholar]
- Saravanan, S.; Selvan, P.S.; Gopal, N.; Gupta, J.K.; De, B. Synthesis and Antibacterial Activity of Some Imidazole-5-(4H)one Derivatives. Arch. Der Pharm. 2005, 338, 488–492. [Google Scholar] [CrossRef]
- Hadizadeh, F.; Vosooghi, R. Synthesis of α-[5-(5-amino-1,3,4-thiadiazol-2-yl)-2-imidazolylthio]acetic acids. J. Heterocycl. Chem. 2008, 45, 1477–1479. [Google Scholar] [CrossRef]
- Kachroo, M.; Rao, G.K.; Rajasekaran, S.; Pai, S.P.N.; Hemalatha, Y.R. Synthesis, antibacterial and antioxidant activity of N-[(4E)-arylidene-5-oxo-2-phenyl-4, 5-dihydro-1H-imidazol-1-yl]-2-(2-methyl-1, 3-thiazol-4-yl) acetamide. Der Pharma Chem. 2011, 3, 241–245. [Google Scholar]
- Tashtoush, H.; Al-Soud, Y.; Maslat, A.; Shkoor, M.; Al-Talib, M. Synthesis and Biological Activity of Some New 5-Sulphanyl-4-nitroimidazole Derivatives. Jordan J. Chem. 2007, 2, 11–20. [Google Scholar]
- Baskar Lakshmanan, P.M.M.D.; Sasmal, S. Ganguly and Simon Santosh Jena. In Vitro Anthelmintic Activity of Some 1-Substituted Imidazole Derivatives. Acta Parasitol. Glob. 2011, 2, 1–5. [Google Scholar]
- Tolomeu, H.V.; Fraga, C.A.M. Imidazole: Synthesis, Functionalization and Physicochemical Properties of a Privileged Structure in Medicinal Chemistry. Molecules 2023, 28, 838. [Google Scholar] [CrossRef] [PubMed]
- Siwach, A.; Verma, P.K. Synthesis and therapeutic potential of imidazole containing compounds. BMC Chem. 2021, 15, 12. [Google Scholar] [CrossRef] [PubMed]
- Alghamdi, S.S.; Suliman, R.S.; Almutairi, K.; Kahtani, K.; Aljatli, D. Imidazole as a Promising Medicinal Scaffold: Current Status and Future Direction. Drug Des. Dev. Ther. 2021, 15, 3289–3312. [Google Scholar] [CrossRef] [PubMed]
- Pérez-Herrero, E.; Fernández-Medarde, A. Advanced targeted therapies in cancer: Drug nanocarriers, the future of chemotherapy. Eur. J. Pharm. Biopharm. 2015, 93, 52–79. [Google Scholar] [CrossRef]
- Carrasco, C.J.; Montilla, F.; Álvarez, E.; Conejo, M.D.M.; Pastor, A.; Galindo, A. Recent developments in amino acid-derived imidazole-, imidazolium- and N-heterocyclic carbene-carboxylate complexes. Inorganica Chim. Acta 2023, 557, 121717. [Google Scholar] [CrossRef]
- Ladenburg, A. Derivate von Diaminen. Berichte Dtsch. Chem. Ges. 2006, 8, 677–678. [Google Scholar] [CrossRef]
- Phillips, M.A. CCCXVII.—The formation of 2-substituted benziminazoles. J. Chem. Soc. 1928, 2393–2399. [Google Scholar] [CrossRef]
- Phillips, M.A. CCCCXIV.—Heterocyclic compounds of arsenic. Part V. Benziminazolearsinic acids. J. Chem. Soc. 1928, 3134–3140. [Google Scholar] [CrossRef]
- Phillips, M.A. CCCLXXXII.—The formation of 1-substituted benziminazoles. J. Chem. Soc. 1929, 2820–2828. [Google Scholar] [CrossRef]
- Wallach, O. Ueber die Einwirkung von Phosphorpentachlorid auf Säureamide. Justus Liebig’s Ann. Der Chem. 1877, 184, 3571–3595. [Google Scholar] [CrossRef]
- Yu, X.-L.; Fan, Y.-H.; Zheng, X.-N.; Gao, J.-F.; Zhuang, L.-G.; Yu, Y.-L.; Xi, J.-H.; Zhang, D.-W. Synthesis of Imidazole-Based Molecules under Ultrasonic Irradiation Approaches. Molecules 2023, 28, 4845. [Google Scholar] [CrossRef]
- Martins, I.C.B.; Al-Sabbagh, D.; Meyer, K.; Maiwald, M.; Scholz, G.; Emmerling, F. Insight into the Structure and Properties of Novel Imidazole-Based Salts of Salicylic Acid. Molecules 2019, 24, 4144. [Google Scholar] [CrossRef]
- Zibuck, R. Acetic Anhydride; Wiley: Hoboken, NJ, USA, 2001. [Google Scholar] [CrossRef]
- Guclu, G.; Tas, A.; Dincer, E.; Ucar, E.; Kaya, S.; Berisha, A.; Dural, E.; Silig, Y. Biological evaluation and in silico molecular docking studies of Abies cilicica (Antoine & Kotschy) Carrière) resin. J. Mol. Struct. 2023, 1288, 135740. [Google Scholar] [CrossRef]
- Kaya, Y.; Kaya, S.; Berisha, A.; Erçağ, A. Cyclocondensation of 3,4-diaminobenzophenone with glyoxal: Synthesis, X-ray structure, density functional theory calculation and molecular docking studies. J. Mol. Struct. 2023, 1291, 135973. [Google Scholar] [CrossRef]
- Ghosh, P.; Lunelli, M.; Hurwitz, R.; Lambers, J.; Kolbe, M. Crystal Structure of PrgI-SipD: Insight into a Secretion Competent State of the Type Three Secretion System Needle Tip and its Interaction with Host Ligands. PLoS Pathog. 2011, 7, e1002163. [Google Scholar] [CrossRef]
- Liu, Y.; Yang, X.; Gan, J.; Chen, S.; Xiao, Z.-X.; Cao, Y. CB-Dock2: Improved protein–ligand blind docking by integrating cavity detection, docking and homologous template fitting. Nucleic Acids Res. 2022, 50, W159–W164. [Google Scholar] [CrossRef]
- Liu, Y.; Grimm, M.; Dai, W.-T.; Hou, M.-C.; Xiao, Z.-X.; Cao, Y. CB-Dock: A web server for cavity detection-guided protein–ligand blind docking. Acta Pharmacol. Sin. 2019, 41, 138–144. [Google Scholar] [CrossRef] [PubMed]
- Trott, O.; Olson, A.J. AutoDock Vina: Improving the speed and accuracy of docking with a new scoring function, efficient optimization, and multithreading. J. Comput. Chem. 2009, 31, 455–461. [Google Scholar] [CrossRef] [PubMed]








| Imidazolone | IC50 µM | ||
|---|---|---|---|
| Hep3B | Hela | LX2 | |
| 4a | 267.3 ± 2.5 | 506.5 ± 4.3 | 264.9 ± 3.3 |
| 4b | 347.2 ± 3.3 | 2230 ± 4.2 | 296.7 ± 3.1 |
| 4c | 757.6 ± 2.6 | 760.2 ± 3.2 | 666.1 ± 2.1 |
| 4d | 134.2 ± 4.4 | 236.6 ± 2.6 | 158.1 ± 3.1 |
| 4e | 155.5 ± 5.3 | 200 ± 2.2 | 240.7 ± 3.7 |
| 4f | 1273.25 ± 3.4 | 740.1 ± 4.5 | 450.5 ± 4.6 |
| 4g | 255.4 ± 3.6 | - | 291.8 ± 4.8 |
| 4h | 340.9 ± 2.9 | 85.1 ± 2.1 | 125.9 ± 4.2 |
| 4i | 1822.8 ± 2.8 | 1580.2 ± 3.2 | 853.4 ± 4.4 |
Disclaimer/Publisher’s Note: The statements, opinions and data contained in all publications are solely those of the individual author(s) and contributor(s) and not of MDPI and/or the editor(s). MDPI and/or the editor(s) disclaim responsibility for any injury to people or property resulting from any ideas, methods, instructions or products referred to in the content. |
© 2023 by the authors. Licensee MDPI, Basel, Switzerland. This article is an open access article distributed under the terms and conditions of the Creative Commons Attribution (CC BY) license (https://creativecommons.org/licenses/by/4.0/).
Share and Cite
Abu-Jabal, S.; Ghareeb, A.; Smadi, D.; Hamed, O.; Assali, M.; Berisha, A.; Abutaha, N.; Mansour, W.; Omairah, A.; Janem, A.; et al. New Zwitterionic Imidazolones with Enhanced Water Solubility and Bioavailability: Synthesis, Anticancer Activity, and Molecular Docking. Chemistry 2023, 5, 2613-2629. https://doi.org/10.3390/chemistry5040169
Abu-Jabal S, Ghareeb A, Smadi D, Hamed O, Assali M, Berisha A, Abutaha N, Mansour W, Omairah A, Janem A, et al. New Zwitterionic Imidazolones with Enhanced Water Solubility and Bioavailability: Synthesis, Anticancer Activity, and Molecular Docking. Chemistry. 2023; 5(4):2613-2629. https://doi.org/10.3390/chemistry5040169
Chicago/Turabian StyleAbu-Jabal, Saber, Ahmad Ghareeb, Derar Smadi, Othman Hamed, Mohyeddin Assali, Avni Berisha, Nael Abutaha, Waseem Mansour, Ameed Omairah, Alaa Janem, and et al. 2023. "New Zwitterionic Imidazolones with Enhanced Water Solubility and Bioavailability: Synthesis, Anticancer Activity, and Molecular Docking" Chemistry 5, no. 4: 2613-2629. https://doi.org/10.3390/chemistry5040169
APA StyleAbu-Jabal, S., Ghareeb, A., Smadi, D., Hamed, O., Assali, M., Berisha, A., Abutaha, N., Mansour, W., Omairah, A., Janem, A., & Jaser, A. (2023). New Zwitterionic Imidazolones with Enhanced Water Solubility and Bioavailability: Synthesis, Anticancer Activity, and Molecular Docking. Chemistry, 5(4), 2613-2629. https://doi.org/10.3390/chemistry5040169

