Anion-Complexation-Induced Emission Based on Aggregation-Induced Emission Fluorophore
Abstract
:1. Introduction
2. AIEgen Decorated with a Urea Group as a Ligand for ACIE
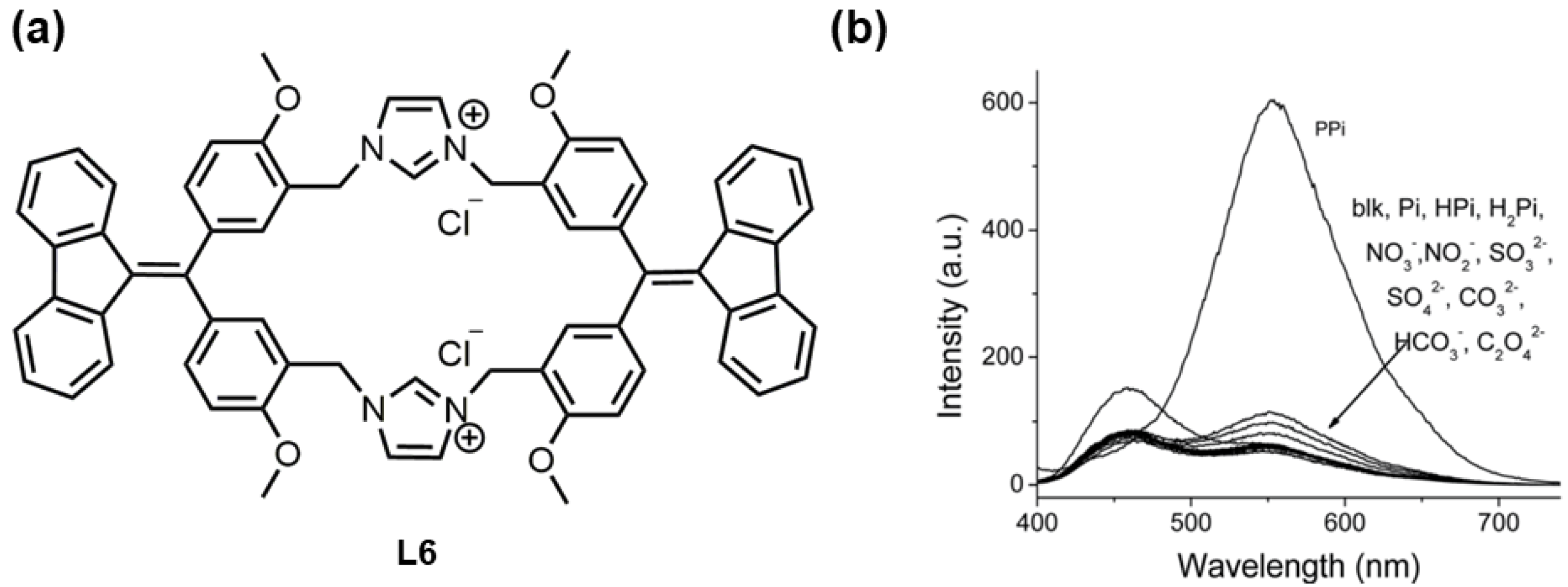
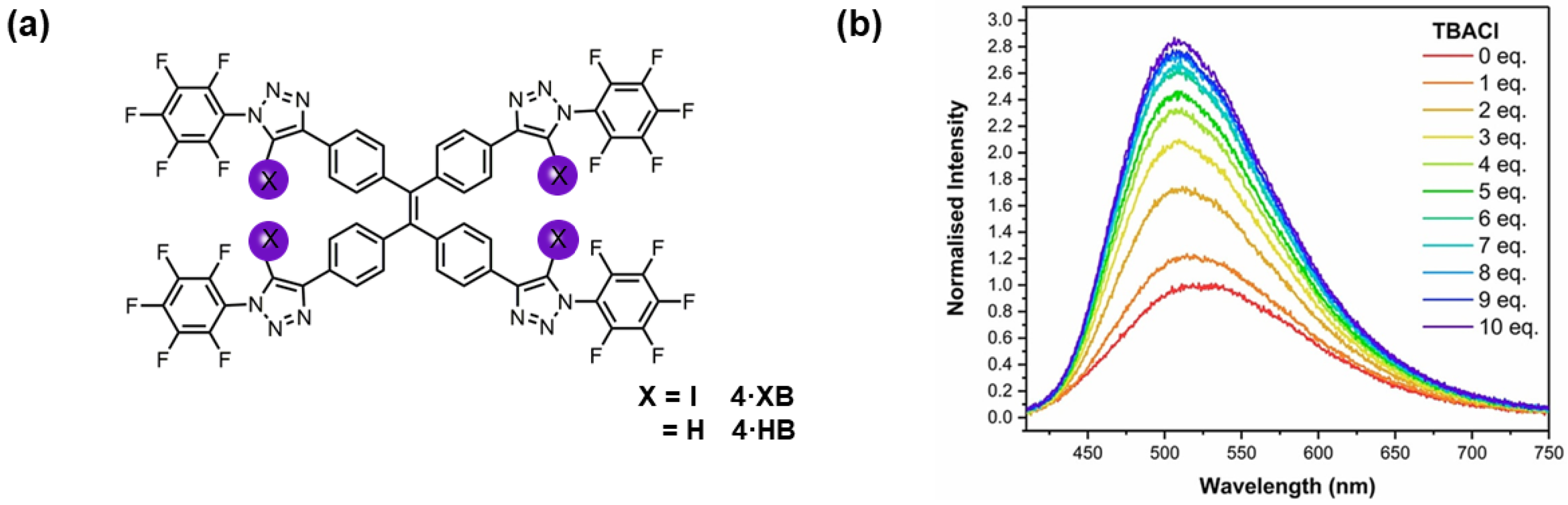
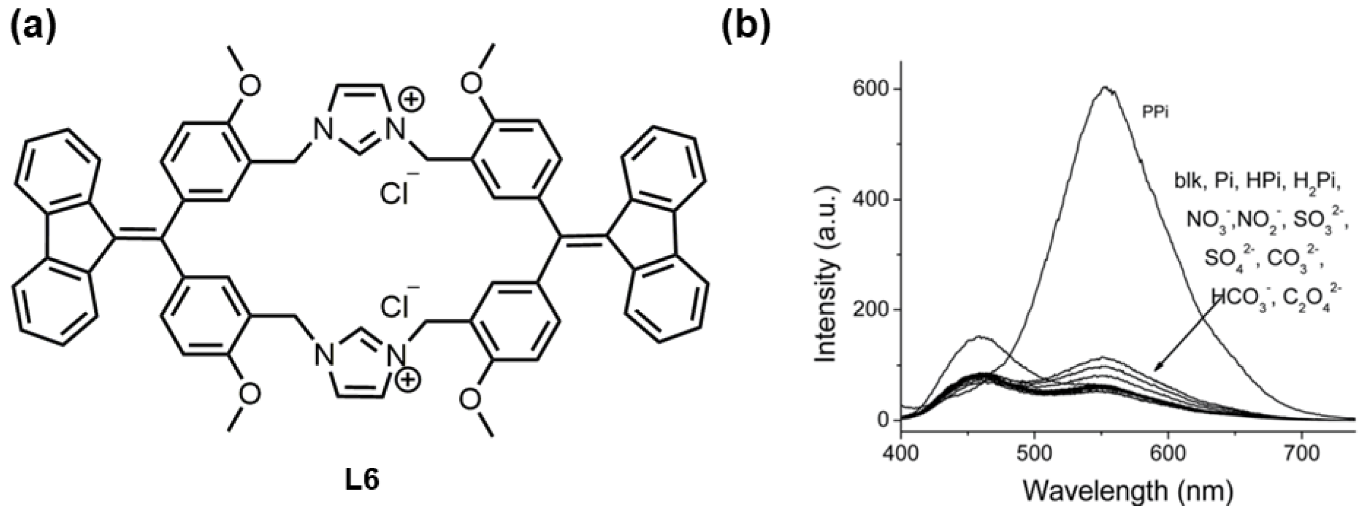
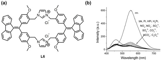
3. AIEgen Decorated with an Imidazolium Group as a Ligand for ACIE
4. AIEgen Decorated with a Dimethylformamidine Group as a Ligand for ACIE
5. AIEgen Decorated with Other Groups as Ligands for ACIE
6. Conclusions and Perspectives
Author Contributions
Funding
Data Availability Statement
Conflicts of Interest
References
- Wang, H.; Ji, X.; Page, Z.A.; Sessler, J.L. Fluorescent materials-based information storage. Mater. Chem. Front. 2020, 4, 1024–1039. [Google Scholar] [CrossRef]
- Liu, Y.; Li, C.; Ren, Z.; Yan, S.; Bryce, M.R. All-organic thermally activated delayed fluorescence materials for organic light-emitting diodes. Nat. Rev. Mater. 2018, 3, 18020. [Google Scholar] [CrossRef]
- Zhu, M.; Yang, C. Blue fluorescent emitters: Design tactics and applications in organic light-emitting diodes. Chem. Soc. Rev. 2013, 42, 4963–4976. [Google Scholar] [CrossRef]
- Basabe-Desmonts, L.; Reinhoudt, D.N.; Crego-Calama, M. Design of fluorescent materials for chemical sensing. Chem. Soc. Rev. 2007, 36, 993–1017. [Google Scholar] [CrossRef] [PubMed]
- Würthner, F. Aggregation-Induced Emission (AIE): A Historical Perspective. Angew. Chem. Int. Ed. 2020, 59, 14192–14196. [Google Scholar] [CrossRef]
- Hong, Y.; Lam, J.W.Y.; Tang, B.Z. Aggregation-induced emission. Chem. Soc. Rev. 2011, 40, 5361–5388. [Google Scholar] [CrossRef]
- Xu, S.; Zhang, H.; Li, Q.; Liu, H.; Ji, X. AIEgen-Enabled Multicolor Visualization for the Formation of Supramolecular Polymer Networks. Molecules 2022, 27, 7881. [Google Scholar] [CrossRef]
- Chua, M.H.; Shah, K.W.; Zhou, H.; Xu, J. Recent Advances in Aggregation-Induced Emission Chemosensors for Anion Sensing. Molecules 2019, 24, 2711. [Google Scholar] [CrossRef]
- Mei, J.; Leung, N.L.C.; Kwok, R.T.K.; Lam, J.W.Y.; Tang, B.Z. Aggregation-Induced Emission: Together We Shine, United We Soar! Chem. Rev. 2015, 115, 11718–11940. [Google Scholar] [CrossRef]
- Luo, J.; Xie, Z.; Lam, J.W.Y.; Cheng, L.; Chen, H.; Qiu, C.; Kwok, H.S.; Zhan, X.; Liu, Y.; Zhu, D.; et al. Aggregation-induced emission of 1-methyl-1,2,3,4,5-pentaphenylsilole. Chem. Commun. 2001, 37, 1740–1741. [Google Scholar] [CrossRef]
- Makam, P.; Gazit, E. Minimalistic peptide supramolecular co-assembly: Expanding the conformational space for nanotechnology. Chem. Soc. Rev. 2018, 47, 3406–3420. [Google Scholar] [CrossRef] [PubMed]
- Safont-Sempere, M.M.; Fernández, G.; Würthner, F. Self-Sorting Phenomena in Complex Supramolecular Systems. Chem. Rev. 2011, 111, 5784–5814. [Google Scholar] [CrossRef]
- Service, R.F. How Far Can We Push Chemical Self-Assembly? Science 2005, 309, 95. [Google Scholar] [CrossRef] [PubMed]
- Whitesides, G.M.; Grzybowski, B. Self-Assembly at All Scales. Science 2002, 295, 2418–2421. [Google Scholar] [CrossRef] [PubMed]
- Xiao, T.; Zhou, L.; Sun, X.-Q.; Huang, F.; Lin, C.; Wang, L. Supramolecular polymers fabricated by orthogonal self-assembly based on multiple hydrogen bonding and macrocyclic host–guest interactions. Chin. Chem. Lett. 2020, 31, 1–9. [Google Scholar] [CrossRef]
- Xiao, T.; Elmes, R.; Yao, Y. Editorial: Host-Guest Chemistry of Macrocycles. Front. Chem. 2020, 8, 628200. [Google Scholar] [CrossRef]
- Xia, D.; Wang, P.; Ji, X.; Khashab, N.M.; Sessler, J.L.; Huang, F. Functional Supramolecular Polymeric Networks: The Marriage of Covalent Polymers and Macrocycle-Based Host–Guest Interactions. Chem. Rev. 2020, 120, 6070–6123. [Google Scholar] [CrossRef]
- Xiao, T.; Zhou, L.; Xu, L.; Zhong, W.; Zhao, W.; Sun, X.-Q.; Elmes, R.B.P. Dynamic materials fabricated from water soluble pillar[n]arenes bearing triethylene oxide groups. Chin. Chem. Lett. 2019, 30, 271–276. [Google Scholar] [CrossRef]
- Xiao, T.; Zhong, W.; Xu, L.; Sun, X.-Q.; Hu, X.-Y.; Wang, L. Supramolecular vesicles based on pillar[n]arenes: Design, construction, and applications. Org. Biomol. Chem. 2019, 17, 1336–1350. [Google Scholar] [CrossRef]
- Xiao, T.; Qi, L.; Zhong, W.; Lin, C.; Wang, R.; Wang, L. Stimuli-responsive nanocarriers constructed from pillar[n]arene-based supra-amphiphiles. Mater. Chem. Front. 2019, 3, 1973–1993. [Google Scholar] [CrossRef]
- Chen, Y.; Sun, S.; Lu, D.; Shi, Y.; Yao, Y. Water-soluble supramolecular polymers constructed by macrocycle-based host-guest interactions. Chin. Chem. Lett. 2019, 30, 37–43. [Google Scholar] [CrossRef]
- Dong, S.; Zheng, B.; Wang, F.; Huang, F. Supramolecular Polymers Constructed from Macrocycle-Based Host–Guest Molecular Recognition Motifs. Acc. Chem. Res. 2014, 47, 1982–1994. [Google Scholar] [CrossRef] [PubMed]
- Qin, B.; Zhang, S.; Sun, P.; Tang, B.; Yin, Z.; Cao, X.; Chen, Q.; Xu, J.F.; Zhang, X. Tough and Multi-Recyclable Cross-Linked Supramolecular Polyureas via Incorporating Noncovalent Bonds into Main-Chains. Adv. Mater. 2020, 32, e2000096. [Google Scholar] [CrossRef] [PubMed]
- Sijbesma, R.P.; Meijer, E.W. Quadruple hydrogen bonded systems. Chem. Commun. 2003, 39, 5–16. [Google Scholar] [CrossRef]
- Xiao, T.; Zhong, W.; Yang, W.; Qi, L.; Gao, Y.; Sue, A.C.H.; Li, Z.-Y.; Sun, X.-Q.; Lin, C.; Wang, L. Reversible hydrogen-bonded polymerization regulated by allosteric metal templation. Chem. Commun. 2020, 56, 14385–14388. [Google Scholar] [CrossRef]
- Qi, L.; Ding, Y.; Xiao, T.; Wu, H.; Diao, K.; Bao, C.; Shen, Y.; Li, Z.; Sun, X.; Wang, L. Supramolecular Self-Assembly of Dioxyphenylene Bridged Ureidopyrimidinone Derivatives. Chin. J. Org. Chem. 2020, 40, 3847–3852. [Google Scholar] [CrossRef]
- Xiao, T.; Zhou, L.; Wei, X.; Li, Z.; Sun, X. Supramolecular copolymers driven by quadruple hydrogen bonding and host-guest interactions. Chin. J. Org. Chem. 2020, 40, 944–949. [Google Scholar] [CrossRef]
- Xiao, T.; Xu, L.; Götz, J.; Cheng, M.; Würthner, F.; Gu, J.; Feng, X.; Li, Z.-Y.; Sun, X.-Q.; Wang, L. Supramolecular polymerization and cyclization of dioxynaphthalene motif bridged bifunctional UPys: Minor variations in the molecular skeleton and drastic differences in self-assembly. Mater. Chem. Front. 2019, 3, 2738–2745. [Google Scholar] [CrossRef]
- Yan, X.; Liu, Z.; Zhang, Q.; Lopez, J.; Wang, H.; Wu, H.C.; Niu, S.; Yan, H.; Wang, S.; Lei, T.; et al. Quadruple H-Bonding Cross-Linked Supramolecular Polymeric Materials as Substrates for Stretchable, Antitearing, and Self-Healable Thin Film Electrodes. J. Am. Chem. Soc. 2018, 140, 5280–5289. [Google Scholar] [CrossRef]
- Shi, Q.; Zhou, X.; Yuan, W.; Su, X.; Neniskis, A.; Wei, X.; Taujenis, L.; Snarskis, G.; Ward, J.S.; Rissanen, K.; et al. Selective Formation of S4- and T-Symmetric Supramolecular Tetrahedral Cages and Helicates in Polar Media Assembled via Cooperative Action of Coordination and Hydrogen Bonds. J. Am. Chem. Soc. 2020, 142, 3658–3670. [Google Scholar] [CrossRef]
- Wei, L.; Han, S.-T.; Jin, T.-T.; Zhan, T.-G.; Liu, L.-J.; Cui, J.; Zhang, K.-D. Towards photoswitchable quadruple hydrogen bonds via a reversible “photolocking” strategy for photocontrolled self-assembly. Chem. Sci. 2021, 12, 1762–1771. [Google Scholar] [CrossRef] [PubMed]
- Uemura, Y.; Yamato, K.; Sekiya, R.; Haino, T. A Supramolecular Polymer Network of Graphene Quantum Dots. Angew. Chem. Int. Ed. 2018, 57, 4960–4964. [Google Scholar] [CrossRef] [PubMed]
- Lin, C.; Kim, T.; Schultz, J.D.; Young, R.M.; Wasielewski, M.R. Accelerating symmetry-breaking charge separation in a perylenediimide trimer through a vibronically coherent dimer intermediate. Nat. Chem. 2022, 14, 786–793. [Google Scholar] [CrossRef] [PubMed]
- Xiao, T.; Xu, L.; Wang, J.; Li, Z.-Y.; Sun, X.-Q.; Wang, L. Biomimetic folding of small organic molecules driven by multiple non-covalent interactions. Org. Chem. Front. 2019, 6, 936–941. [Google Scholar] [CrossRef]
- Cai, W.; Xu, D.; Qian, L.; Wei, J.; Xiao, C.; Qian, L.; Lu, Z.Y.; Cui, S. Force-Induced Transition of pi-pi Stacking in a Single Polystyrene Chain. J. Am. Chem. Soc. 2019, 141, 9500–9503. [Google Scholar] [CrossRef]
- Keshri, S.K.; Ishizuka, T.; Kojima, T.; Matsushita, Y.; Takeuchi, M. Long-Range Order in Supramolecular pi Assemblies in Discrete Multidecker Naphthalenediimides. J. Am. Chem. Soc. 2021, 143, 3238–3244. [Google Scholar] [CrossRef]
- Mahl, M.; Niyas, M.A.; Shoyama, K.; Wurthner, F. Multilayer stacks of polycyclic aromatic hydrocarbons. Nat. Chem. 2022, 14, 457–462. [Google Scholar] [CrossRef]
- Xiao, T.; Zhong, W.; Qi, L.; Gu, J.; Feng, X.; Yin, Y.; Li, Z.-Y.; Sun, X.-Q.; Cheng, M.; Wang, L. Ring-opening supramolecular polymerization controlled by orthogonal non-covalent interactions. Polym. Chem. 2019, 10, 3342–3350. [Google Scholar] [CrossRef]
- Zhu, C.; Shoyama, K.; Niyas, M.A.; Wurthner, F. Supramolecular Substructure of C60-Embedded Schwarzite. J. Am. Chem. Soc. 2022, 144, 16282–16286. [Google Scholar] [CrossRef]
- Wang, C.; Wang, Z.; Zhang, X. Amphiphilic Building Blocks for Self-Assembly: From Amphiphiles to Supra-amphiphiles. Acc. Chem. Res. 2012, 45, 608–618. [Google Scholar] [CrossRef]
- Dasgupta, A.; Das, D. Designer Peptide Amphiphiles: Self-Assembly to Applications. Langmuir 2019, 35, 10704–10724. [Google Scholar] [CrossRef] [PubMed]
- Chen, F.L.; Huang, Z.H.; Li, T.; Xiao, T.X.; Wang, S.F.; Bai, G.H.; Sun, H.; Zhu, S.E.; Yang, W.; Lu, H.D.; et al. Highly Deformable and Durable Hydrogels through Synergy of Covalent Crosslinks and Nanosheet-Reinforced Dynamic Interactions toward Flexible Sensor. Adv. Mater. Technol. 2022, 8, 2200745. [Google Scholar] [CrossRef]
- Xiao, F.; Chen, Z.; Wei, Z.; Tian, L. Hydrophobic Interaction: A Promising Driving Force for the Biomedical Applications of Nucleic Acids. Adv. Sci. 2020, 7, 2001048. [Google Scholar] [CrossRef] [PubMed]
- Meyer, E.E.; Rosenberg, K.J.; Israelachvili, J. Recent progress in understanding hydrophobic interactions. Proc. Natl. Acad. Sci. USA 2006, 103, 15739–15746. [Google Scholar] [CrossRef]
- Liang, L.; Zhao, W.; Yang, X.J.; Wu, B. Anion-Coordination-Driven Assembly. Acc. Chem. Res. 2022, 55, 3218–3229. [Google Scholar] [CrossRef] [PubMed]
- Chen, L.; Chen, Q.; Wu, M.; Jiang, F.; Hong, M. Controllable Coordination-Driven Self-Assembly: From Discrete Metallocages to Infinite Cage-Based Frameworks. Acc. Chem. Res. 2015, 48, 201–210. [Google Scholar] [CrossRef]
- Northrop, B.H.; Zheng, Y.-R.; Chi, K.-W.; Stang, P.J. Self-Organization in Coordination-Driven Self-Assembly. Acc. Chem. Res. 2009, 42, 1554–1563. [Google Scholar] [CrossRef]
- Chakrabarty, R.; Mukherjee, P.S.; Stang, P.J. Supramolecular Coordination: Self-Assembly of Finite Two- and Three-Dimensional Ensembles. Chem. Rev. 2011, 111, 6810–6918. [Google Scholar] [CrossRef]
- Song, N.; Chen, D.-X.; Xia, M.-C.; Qiu, X.-L.; Ma, K.; Xu, B.; Tian, W.; Yang, Y.-W. Supramolecular assembly-induced yellow emission of 9,10-distyrylanthracene bridged bis(pillar[5]arene)s. Chem. Commun. 2015, 51, 5526–5529. [Google Scholar] [CrossRef]
- Xiao, T.; Chen, D.; Qian, H.; Shen, Y.; Zhang, L.; Li, Z.-Y.; Sun, X.-Q. Pillar[5]arene-based light-harvesting assemblies with sequential energy-transfer for tunable emission and photocatalysis. Dyes Pigm. 2023, 210, 110958. [Google Scholar] [CrossRef]
- Zhang, L.; Qian, H.; Wu, Z.; Zhang, Q.; Li, S.; Cheng, M.; Xiao, T. Non-Covalent Dimer as Donor Chromophore for Constructing Artificial Light-Harvesting System in Water. Molecules 2022, 27, 8876. [Google Scholar] [CrossRef] [PubMed]
- Xiao, T.; Qian, H.; Shen, Y.; Wei, C.; Ren, D.; Zhang, L.; Li, Z.Y.; Wang, L.; Sun, X.Q. A tunable artificial light-harvesting system based on host-guest interaction exhibiting ultrahigh antenna effect and narrowed emission band. Mater. Today Chem. 2022, 24, 100833. [Google Scholar] [CrossRef]
- Diao, K.; Whitaker, D.J.; Huang, Z.; Qian, H.; Ren, D.; Zhang, L.; Li, Z.-Y.; Sun, X.-Q.; Xiao, T.; Wang, L. An ultralow-acceptor-content supramolecular light-harvesting system for white-light emission. Chem. Commun. 2022, 58, 2343–2346. [Google Scholar] [CrossRef]
- Xiao, T.; Zhang, L.; Wu, H.; Qian, H.; Ren, D.; Li, Z.-Y.; Sun, X.-Q. Supramolecular polymer-directed light-harvesting system based on a stepwise energy transfer cascade. Chem. Commun. 2021, 57, 5782–5785. [Google Scholar] [CrossRef] [PubMed]
- Xiao, T.; Wei, X.; Wu, H.; Diao, K.; Li, Z.-Y.; Sun, X.-Q. Acetal-based spirocyclic skeleton bridged tetraphenylethylene dimer for light-harvesting in water with ultrahigh antenna effect. Dyes Pigm. 2021, 188, 109161. [Google Scholar] [CrossRef]
- Xiao, T.; Wang, J.; Shen, Y.; Bao, C.; Li, Z.-Y.; Sun, X.-Q.; Wang, L. Preparation of a fixed-tetraphenylethylene motif bridged ditopic benzo-21-crown-7 and its application for constructing AIE supramolecular polymers. Chin. Chem. Lett. 2021, 32, 1377–1380. [Google Scholar] [CrossRef]
- Xiao, T.; Shen, Y.; Bao, C.; Diao, K.; Ren, D.; Qian, H.; Zhang, L. Efficient artificial light-harvesting system constructed from supramolecular polymers with AIE property. RSC Adv. 2021, 11, 30041–30045. [Google Scholar] [CrossRef]
- Xiao, T.; Wu, H.; Sun, G.; Diao, K.; Wei, X.; Li, Z.-Y.; Sun, X.-Q.; Wang, L. An efficient artificial light-harvesting system with tunable emission in water constructed from a H-bonded AIE supramolecular polymer and Nile Red. Chem. Commun. 2020, 56, 12021–12024. [Google Scholar] [CrossRef]
- Shustova, N.B.; McCarthy, B.D.; Dincă, M. Turn-On Fluorescence in Tetraphenylethylene-Based Metal–Organic Frameworks: An Alternative to Aggregation-Induced Emission. J. Am. Chem. Soc. 2011, 133, 20126–20129. [Google Scholar] [CrossRef]
- Gale, P.A.; Davis, J.T.; Quesada, R. Anion transport and supramolecular medicinal chemistry. Chem. Soc. Rev. 2017, 46, 2497–2519. [Google Scholar] [CrossRef]
- Spence, G.T.; Beer, P.D. Expanding the scope of the anion templated synthesis of interlocked structures. Acc. Chem. Res. 2013, 46, 571–586. [Google Scholar] [CrossRef] [PubMed]
- Steed, J.W. Anion-tuned supramolecular gels: A natural evolution from urea supramolecular chemistry. Chem. Soc. Rev. 2010, 39, 3686–3699. [Google Scholar] [CrossRef] [PubMed]
- Westheimer, F.H. Why Nature Chose Phosphates. Science 1987, 235, 1173–1178. [Google Scholar] [CrossRef] [PubMed]
- Li, S.; Jia, C.; Wu, B.; Luo, Q.; Huang, X.; Yang, Z.; Li, Q.-S.; Yang, X.-J. A Triple Anion Helicate Assembled from a Bis(biurea) Ligand and Phosphate Ions. Angew. Chem. Int. Ed. 2011, 50, 5721–5724. [Google Scholar] [CrossRef]
- Zhao, J.; Yang, D.; Zhao, Y.; Yang, X.-J.; Wang, Y.-Y.; Wu, B. Anion-Coordination-Induced Turn-On Fluorescence of an Oligourea-Functionalized Tetraphenylethene in a Wide Concentration Range. Angew. Chem. Int. Ed. 2014, 53, 6632–6636. [Google Scholar] [CrossRef]
- Zhang, D.; Zhao, J.; Cao, L.; Yang, D.; Chen, B.; Yu, L.; Yang, X.-J.; Wu, B. Stepwise enhancement of fluorescence induced by anion coordination and non-covalent interactions. Dalton Trans. 2021, 50, 76–80. [Google Scholar] [CrossRef] [PubMed]
- Watt, M.M.; Engle, J.M.; Fairley, K.C.; Robitshek, T.E.; Haley, M.M.; Johnson, D.W. “Off-on” aggregation-based fluorescent sensor for the detection of chloride in water. Org. Biomol. Chem. 2015, 13, 4266–4270. [Google Scholar] [CrossRef]
- Kassl, C.J.; Pigge, F.C. Anion detection by aggregation-induced enhanced emission (AIEE) of urea-functionalized tetraphenylethylenes. Tetrahedron Lett. 2014, 55, 4810–4813. [Google Scholar] [CrossRef]
- Li, C.-T.; Xu, Y.-L.; Yang, J.-G.; Chen, Y.; Kim, H.S.; Cao, Q.-Y.; Kim, J.S. Pyrophosphate-triggered nanoaggregates with aggregation-induced emission. Sens. Actuators B 2017, 251, 617–623. [Google Scholar] [CrossRef]
- Xiong, J.-B.; Ban, D.-D.; Zhou, Y.-J.; Li, J.-Z.; Chen, S.-R.; Liu, G.-Q.; Tian, J.-J.; Mi, L.-W.; Li, D.-M. A novel AIE-active imidazolium macrocyclic ratiometric fluorescence sensor for pyrophosphate anion. RSC Adv. 2022, 12, 6876–6880. [Google Scholar] [CrossRef]
- Huang, L.-X.; Bai, H.-Y.; Tao, H.; Cheng, G.; Cao, Q.-Y. Cleft-type imidazoliums for sensing of sulfate and polyphosphate anions with AIE emission. Dyes Pigm. 2020, 181, 108553. [Google Scholar] [CrossRef]
- Yuan, Y.-X.; Wang, J.-H.; Zheng, Y.-S. Selective Fluorescence Turn-On Sensing of Phosphate Anion in Water by Tetraphenylethylene Dimethylformamidine. Chem. Asian J. 2019, 14, 760–764. [Google Scholar] [CrossRef] [PubMed]
- Pan, G.; Xia, T.; He, Y. A tetraphenylethylene-based aggregation-induced emission sensor: Ultrasensitive “turn-on” fluorescent sensing for phosphate anion in pure water. Talanta 2021, 221, 121434. [Google Scholar] [CrossRef] [PubMed]
- Docker, A.; Shang, X.; Yuan, D.; Kuhn, H.; Zhang, Z.; Davis, J.J.; Beer, P.D.; Langton, M.J. Halogen Bonding Tetraphenylethene Anion Receptors: Anion-Induced Emissive Aggregates and Photoswitchable Recognition. Angew. Chem. Int. Ed. 2021, 60, 19442–19450. [Google Scholar] [CrossRef]
- Li, N.; Liu, Y.Y.; Li, Y.; Zhuang, J.B.; Cui, R.R.; Gong, Q.; Zhao, N.; Tang, B.Z. Fine Tuning of Emission Behavior, Self-Assembly, Anion Sensing, and Mitochondria Targeting of Pyridinium-Functionalized Tetraphenylethene by Alkyl Chain Engineering. ACS Appl. Mater. Interfaces 2018, 10, 24249–24257. [Google Scholar] [CrossRef]










Disclaimer/Publisher’s Note: The statements, opinions and data contained in all publications are solely those of the individual author(s) and contributor(s) and not of MDPI and/or the editor(s). MDPI and/or the editor(s) disclaim responsibility for any injury to people or property resulting from any ideas, methods, instructions or products referred to in the content. |
© 2023 by the authors. Licensee MDPI, Basel, Switzerland. This article is an open access article distributed under the terms and conditions of the Creative Commons Attribution (CC BY) license (https://creativecommons.org/licenses/by/4.0/).
Share and Cite
Ren, D.; Zhang, L.; Qian, H.; Xiao, T. Anion-Complexation-Induced Emission Based on Aggregation-Induced Emission Fluorophore. Chemistry 2023, 5, 242-254. https://doi.org/10.3390/chemistry5010019
Ren D, Zhang L, Qian H, Xiao T. Anion-Complexation-Induced Emission Based on Aggregation-Induced Emission Fluorophore. Chemistry. 2023; 5(1):242-254. https://doi.org/10.3390/chemistry5010019
Chicago/Turabian StyleRen, Dongxing, Liangliang Zhang, Hongwei Qian, and Tangxin Xiao. 2023. "Anion-Complexation-Induced Emission Based on Aggregation-Induced Emission Fluorophore" Chemistry 5, no. 1: 242-254. https://doi.org/10.3390/chemistry5010019
APA StyleRen, D., Zhang, L., Qian, H., & Xiao, T. (2023). Anion-Complexation-Induced Emission Based on Aggregation-Induced Emission Fluorophore. Chemistry, 5(1), 242-254. https://doi.org/10.3390/chemistry5010019

