Abstract
The Casimir effect has been exploited in various MEMS (micro-electro-mechanical system) devices, especially to make sensitive force sensors and accelerometers. It has also been used to provide forces for a variety of purposes, for example, for the assembly of considerably small parts. Repulsive forces and torques have been produced using various configurations of media and materials. Just a few electronic devices have been explored that utilize the electrical properties of the Casimir effect. Recently, experimental results were presented that described the operation of an electronic device that employed a Casimir cavity attached to a standard MIM (metal–insulator–metal) structure. The DC (direct current) conductance of the novel MIM device was enhanced by the attached cavity and found to be directly proportional to the capacitance of the attached cavity. The phenomenological model proposed assumed that the cavity reduced the vacuum fluctuations, which resulted in a reduced injection of carriers. The analysis presented here indicates that the optical cavity actually enhances vacuum fluctuations, which would predict a current in the opposite direction from that observed. Further, the vacuum fluctuations near the electrode are shown to be approximately independent of the size of the optical cavity, in disagreement with the experimental data which show a dependence on the size. Thus, the proposed mechanism of operation does not appear correct. A more detailed theoretical analysis of these devices is needed, in particular, one that uses real material parameters and computes the vacuum fluctuations for the entire device. Such an analysis would reveal how these devices operate and might suggest design principles for a new genre of electronic devices that make use of vacuum fluctuations.
1. Introduction
Casimir phenomena have been extensively investigated in myriad different contexts [1]. Casimir forces and torques have been exploited in MEMS (micro-electro-mechanical system) devices and in nanophotonics [2]. Casimir forces are often used in MEMS devices that embody very sensitive force measurements on moving surfaces, for example, in accelerometers or for metrology [3]. The electrical output of these devices may be obtained by converting the distance of a moving surface to an electrical signal, as in capacitive sensing. On the other hand, very few purely electronic devices based on Casimir phenomena have been described. In 1984, Robert Forward proposed a charged foliated vacuum energy battery [4]. As the surfaces of the charged conductor approached each other due to the Casimir force, electrical energy could be extracted directly from the battery. A year later, Shrivastava et al. noted that the gate of a MOS (metal oxide semiconductor) device was a Casimir cavity, and the vacuum energy therein was significant [5,6]. Since then, no purely electronic devices using Casimir phenomena have been described in the literature as far as my searches reveal.
Garry Moddel and colleagues recently published a description of a novel MIMOC (metal–insulator–metal optical cavity) device consisting of an MIM structure coupled to an optical cavity [7,8]. We also refer to it as a Casimir cavity since its effect is to modify the zero-point fluctuations of the quantized electromagnetic field. The optical cavity (OC) of thickness is fabricated with a dielectric of sputtered SiO2 or PMMA (polymethyl methacralate, spin coated photoresist) and an upper electrode of aluminum as shown in Figure 1. A voltage is applied to the MIM electrodes, and the corresponding current is measured [7]. The measured current is considered positive if it flows from the Pd electrode next to the OC through the MIM structure to the lower Ni electrode, which is grounded. Experimental details are in Refs. [7,8].
Figure 1.
The MIMOC (metal–insulator–metal optical cavity) device. An optical cavity (OC) of thickness made from PMMA (polymethyl methacralate, spin coated photoresist) or SiO2 is bounded by an aluminum mirror and a MIM interface. The latter consists of a palladium electrode of thickness , a layer of insulator of thickness , and a thick nickel electrode. A current is positive if it flows from the Pd electrode to the grounded Ni electrode.
The data show that the conductance of the MIMOC device is proportional to the capacitance of the added Casimir cavity. The phenomenological model presented shows that with no cavity present and no applied voltage, the net current was zero, which is interpreted as reflecting a balance of the putative currents arising from photoinjection in both directions in the MIM device. With the cavity present, the balance was upset, and the model suggests that the flow of hot electrons from the upper Pd electrode, which was next to the optical cavity, to the Ni was reduced due to a decrease in the zero-point electromagnetic fluctuations in the cavity, resulting in a net positive current and increasing the conductance. However, a more detailed investigation presented here using recent theoretical calculations of vacuum fluctuations in an ideal cavity shows that, compared to the free field fluctuations, an ideal cavity actually increases the kinetic energy of the electrons present due to resonances, implying that the resulting increase in current would be in the opposite direction to what is observed. In addition, theory predicts that the kinetic energy of an electron near the edge of the cavity next to the Pd electrode in the MIM is independent of the cavity width, in apparent disagreement with the conductance data which show a dependence on the capacitance of the optical cavity.
The theoretical analysis presented here, which is based on the assumption of perfect mirrors for the cavity, does not support the phenomenological model presented [8]. On the other hand, let us note the theoretical analysis is not exact since the plasma frequency for the Al forming the outer cavity surface is about twice the plasma frequency of Pd forming the mirror surface adjacent in the MIM device. Although one expects the conclusions of the approximate theory to remain generally valid, the theory needs modification to include the real material parameters of the electrodes.
The operation of electronic devices with multiple junctions and currents is complicated, and many subtle issues are involved. More than a simplified analysis of the energy of carriers is needed to fully understand the operation of the MIMOC device or other devices with Casimir cavities. Sophisticated device models are needed that include the frequency dependence of the fluctuations, the nature of all currents, the role of the electron kinetic energy due to vacuum fluctuations, and that use real material parameters in all calculations. A comprehensive model of the MIMOC device could then be developed and compared to the measurements. This effort could lead to an understanding of a variety of novel electronic devices using Casimir cavities.
The data presented in the logarithmic plot in Figure 3b of Ref. [7] can be replotted to show the dependence of the conductance of the device on the thickness of the optical cavity. These data are shown in Figure 2 where the cavity thickness varies from 33 nm to 1100 nm of PMMA. The conductance for each cavity thickness is constant over the voltage range shown in Figure 3a of Ref. [7], from about −200 mV to 200 mV for = 33 nm and 1100 nm. The second paper describing this device [8] shows a narrower voltage range, about −0.15 mV to 0.1 mV. A linear fit to the conductance data, forced to go through the origin, is shown in Figure 2. One can see from Figure 2 that the observed conductance appears to be directly proportional to (100/thickness of cavity) or to the capacitance of the optical cavity. A similar plot can be constructed for the short circuit current. The data in Figure 2 are for PMMA; the data for SiO2 show a higher conductance with a similar dependence on thickness but are for a much smaller range of thicknesses [7].
Figure 2.
The conductance in mS of the device shown in Figure 1, as a function of 100/thickness of the optical cavity made from PMMA. varies from 33 nm to 1100 nm for the data shown. The data are taken from Figure 3b of Ref. [7] and Figure 4a of Ref. [8]. The solid line just connects the data points. A linear fit through the origin is also shown (as the dotted line) along with the coefficient of determination ().
There is no rigorous calculation describing the operation of this unique MIMOC device. Moddel et al. provided a phenomenological model which assumed that, with no attached optical cavity and zero applied bias, the MIM device was at equilibrium since all the component currents were balanced [7,8]. Electrons, excited by the vacuum fluctuations of the zero-point electromagnetic field, were assumed to be injected from the thin Pd electrode, passing through through the thin insulator into the Ni electrode. A balancing current arising from vacuum fluctuations in the Ni electrode was assumed to inject electrodes into the insulator and to the Pd electrode.
With the optical cavity present, it was assumed that the optical cavity eliminated long wavelength modes of the vacuum field which cannot fit in the cavity and which resulted in a reduction in the energy of electrons in the Pd next to the optical cavity. This reduction meant that fewer electrons would be injected from the Pd into the insulator , resulting in a net positive current to flow from the Pd electrode to the Ni electrode.
A more careful analysis, based on the theoretical analysis of the modes in the cavity shows that, integrating over all frequencies, the cavity actually increases the energy of an electron at the interface of the Pd electrode, suggesting that the net current should be in the opposite direction to that observed [9]. Further, theory predicts that the kinetic energy of an electron near the edge of the cavity is independent of the width of the optical cavity, which is contrary to the behavior shown in Figure 2, which shows a direct dependence on the cavity width [10,11]. These are important fundamental theoretical observations about the proposed operation of the MIMOC device. Certainly, more understanding of the operation of the MIMOC device is needed.
2. Theoretical Considerations
This Section presents the theory that indicates that the mean energy of the electrons exposed to the vacuum fluctuations in the cavity is independent of the size of the cavity. The presence of ideal perfectly reflecting plates in an optical cavity modifies the vacuum modes whose wavelengths are of the order of the width of the cavity and shifts the energy of the vacuum state by an amount proportional to the capacitance of the cavity. The plates also modify the local observables in the region between the plates, including the energy density and the electric field correlations. One can define the vacuum correlation space-time function for the quantized electric field operator (t, as <(t,),)>. To evaluate this within the cavity, one needs a renormalized correlation
where is an expectation value in the optical cavity, and is an expectation value in the free Minkowski vacuum without the Al and Pd cavity mirrors. Let us consider the geometry of two parallel perfectly reflecting plates, one located at and the other at . The correlation functions for this geometry were calculated by Lowell Brown and the author of this papr [11] using an image sum method. The case is of an especial interest giving the correlation function between the z-component of the electric field at two different spacetime points which lie along a line perpendicular to the mirrors, so and . The result, with a discussion which follows, is given by Larry Ford [9]. The result for the case of one plate, in the limit , is
Ford considered a particle with electric charge q moving in the z direction, normal to the plates. The work performed by the electric field when the particle moves from to along a space-time path described by or equivalently is
where q denotes the charge.
In the vacuum state, so the mean work performed vanishes . However, the variance is not zero, and the contribution to the variance from the plates is
Ford assumed the particle moved at an approximately constant speed v so . Keeping the leading order terms in the integration in Equation (4) and assuming and gives a result that is independent of b, assuming that
In this limit, the rms (root-mean-square) energy fluctuation is
which corresponds to a voltage fluctuation of
In the two plate case, the variance in particle energy is [9]
In Figure 3, the normalized variance from Equation (8) is plotted for a cavity of width nm. The variance increases quite rapidly near the plates at nm and nm, showing identical behavior near either plate. The variance away from the plates is orders of magnitude smaller. The behavior of the variance in a vacuum region next to a dielectric plate characterized by a Drude permittivity with a known plasma frequency shows very similar behavior to that of the ideal electrode [9].
Figure 3.
The dimensionless normalized variance in energy, , from Equation (8) as a function of the location within the cavity z nm for a cavity of width nm. The variance increases without bound at the locations of the plates, nm and nm.
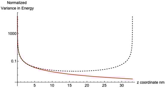
Figure 4 shows a plot of the normalized variance from Equation (8) for two different width cavities, nm and nm, corresponding to the two extreme widths of the optical cavity in the MIMOC devices [8]. Figure 4 shows that near plate , the variance in energy is essentially identical for both values of the width a. The variance in energy does not depend on the width of the optical cavity. In Figure 4, the minimum value of z used is nm, avoiding the singularity at . For a real plate, there would be a surface roughness so physically, one would not expect the distance to go to zero but probably to tenths of a nm.
Figure 4.
Normalized variance in energy for cavities of width for nm (black dashed) and nm (in red). Near the origin, the variances are almost identical.
Figure 5 shows the fractional difference between the variance for cavity widths of nm and nm with ideal electrodes. At a distance of nm from the plate at z = 0, the difference in variance for the two cavities is about 2%. As the value of z approaches the plate, the fractional difference goes to zero. These results show that the variance in energy near either plate is essentially independent of the width of the cavity. This implies that the mean energy of the electrons near an electrode subject to the zero-point fluctuations in the optical cavity is independent of the size of the cavity and that any currents arising due to the zero-point fluctuations also do not depend on the size of the cavity, in apparent contradiction to the experimental results.
Figure 5.
Fractional difference in variance for optical cavities of width 33 nm and 1100 nm, corresponding to data in Figure 4. The fractional difference is calculated as the ratio of the difference of the variances at 33 and 1100 nm to the variance at 33 nm.
In the calculations performed here, the effects of the radiation field of the electron and the Coulomb field of the electron were not included. The results show that the variance in particle energy near the plate with does not depend significantly on the location of the other electrode of the optical cavity. This variance determines the kinetic energy of the electron which determines the radiation field of the electron. Therefore, the radiation field of the electron near would not be dependent on the size of the optical cavity and would not be expected to alter our conclusions. The Coulomb field of the electron in the stochastic field can be approximately represented with image charges outside each electrode. When the electron is near the electrode with , the Coulomb force would be dominated by the image charge just on the other side of the electrode. The force from the image charge outside the electrode at the opposite end of the optical cavity would make a much smaller contribution and may be neglected in a reasonable approximation. Hence, the Coulomb field is not expected to alter our conclusions.
3. Conclusions
The proposed mechanism of operation for the MIMOC device is based on the role of vacuum fluctuations in the optical cavity transferring energy to electrons in the adjacent Pd electrode, allowing them to cross the thin insulator barrier probably by ballistic transport [7,8]. The data show that the conductance of the device depends linearly on the capacitance of the optical cavity. Theory, on the other hand, shows that the variance in the energy of an electron in the vacuum fluctuations near the electrode in the optical cavity is independent of the width of the cavity [9,10], implying that any mechanism of injection would not depend on the size of the cavity but just the presence of the electrode adjacent to the MIM structure. In addition, the direction of the current in the MIMOC devices is interpreted as arising from a reduced variance in energy of electrons due to the presence of the optical cavity, yet theory indicates that the cavity actually increases the variance, with the implication that the current would flow in the direction opposite to that observed. Ideal conductors were assumed in the analysis, although simplified models of real materials show similar behavior with regard to vacuum fluctuations [10].
The general theoretical observations presented significantly impact the understanding of the operation of the novel MIMOC devices. There is, as yet, no detailed comprehensive rigorous model for the operation of the MIMOC devices. Real material parameters would need to be included in a rigorous model of the MIMOC to accurately determine, for example, the reflection coefficients of the metal films and the barrier heights of the junctions. Modeling the effect of the electrodes, with dimensions in the nanometers, on the vacuum fluctuations and the carrier transport is a challenging task. In addition, the variance in energy predicted by the theory does not contain any frequency information which might be important since the materials used in the cavity are dispersive. Currently, there is no theory that describes the photoinjection of electrons with kinetic energy from zero-point fluctuations or an explicit calculation of the effect of the kinetic energy from vacuum fluctuations on tunneling. A rigorous model of the MIMOC device is needed to allow us to understand the operation of this novel device.
Funding
This research received no external funding.
Data Availability Statement
The original contributions presented in the study are included in the article, further inquiries can be directed to the corresponding author.
Acknowledgments
I thank Garret Moddel for discussions about MIMOC devices and for sharing data, and I thank Larry Ford for his comments on this paper.
Conflicts of Interest
The author has no conflicts of interest.
References
- Bordag, M.; Klimchitskaya, G.L.; Mohideen, U.; Mostepanenko, V.M. Advances in the Casimir Effect; Oxford University Press Inc.: New York, NY, USA, 2009. [Google Scholar] [CrossRef]
- Gong, T.; Corrado, M.R.; Mahbub, A.R.; Shelden, C.; Munday, J.N. Recent progress in engineering the Casimir effect–applications to nanophotonics, nanomechanics, and chemistry. Nanophotonics 2021, 10, 523–536. [Google Scholar] [CrossRef]
- Stange, A.; Campbell, D.K.; Bishop, D.J. Science and technology of the Casimir effect. Phys. Today 2021, 74, 42–48. [Google Scholar] [CrossRef]
- Forward, R.L. Extracting electrical energy from the vacuum by cohesion of charged foliated conductors. Phys. Rev. B 1984, 30, 1700–1702. [Google Scholar] [CrossRef]
- Srivastava, Y.; Widom, A.; Friedman, M.H. Microchips as precision quantum-electrodynamic probes. Phys. Rev. Lett. 1985, 55, 2246–2248. [Google Scholar] [CrossRef] [PubMed]
- Xu, Z.; Ju, P.; Gao, X.; Shen, K.; Jacob, Z.; Li, T. Observation and control of Casimir effects in a sphere–plate–sphere system. Nat. Commun. 2022, 13, 6148. [Google Scholar] [CrossRef] [PubMed]
- Moddel, G.; Weerakkody, A.; Doroski, D.; Dartusiak, D. Casimir-cavity-induced conductance changes. Phy. Rev. Res. 2021, 3, L022007. [Google Scholar] [CrossRef]
- Moddel, G.; Weerakkody, A.; Doroski, D.; Dartusiak, D. Optical-cavity-induced current. Symmetry 2021, 13, 517. [Google Scholar] [CrossRef]
- Ford, L. Electric field and voltage fluctuations in the Casimir effect. Phy. Rev. D 2022, 105, 065001. [Google Scholar] [CrossRef]
- Sopova, V.; Ford, L. Energy density in the Casimir effect. Phy. Rev. D 2002, 66, 045026. [Google Scholar] [CrossRef]
- Brown, L.S.; Maclay, G.J. Vacuum stress between conducting plates: An image solution. Phys. Rev. 1969, 184, 1272–1279. [Google Scholar] [CrossRef]
Disclaimer/Publisher’s Note: The statements, opinions and data contained in all publications are solely those of the individual author(s) and contributor(s) and not of MDPI and/or the editor(s). MDPI and/or the editor(s) disclaim responsibility for any injury to people or property resulting from any ideas, methods, instructions or products referred to in the content. |
© 2024 by the author. Licensee MDPI, Basel, Switzerland. This article is an open access article distributed under the terms and conditions of the Creative Commons Attribution (CC BY) license (https://creativecommons.org/licenses/by/4.0/).




