Next Article in Journal
Ethylene and 1-butene Oligomerization with Benzimidazole Complexes of Nickel and Iron: A Case of Tandem Reaction
Previous Article in Journal
Hydroxyl Radical-Initiated Reaction of Nerol: A Pathway to Secondary Pollutants in an Indoor Environment
 
 
Font Type:
Arial Georgia Verdana
Font Size:
Aa Aa Aa
Line Spacing:
Column Width:
Background:
Article

Green-Synthesized Nanoflower FeNi Catalysts for Low-Temperature Pyrolysis of Waste Lubricating Oil into High-Quality Diesel-Like Fuel

by
Riny Yolandha Parapat
1,*,
Irsan Asfari Khoirin
1,
Reygina Katon Cahyani
1,
Najla Septariani
1,
Sabrina Putri Nurlian
1,
Freddy Haryanto
2,
Muhammad Nadhif Noer Hamdhan
3 and
Michael Schwarze
3,*
1
Chemical Engineering Department, Institut Teknologi Nasional Bandung, Bandung 40124, Indonesia
2
Physics Department, Institut Teknologi Bandung, Ganesha 10, Bandung 40132, Indonesia
3
Department of Chemistry, Technische Universität Berlin, Berlin 10623, Germany
*
Authors to whom correspondence should be addressed.
Reactions 2025, 6(3), 50; https://doi.org/10.3390/reactions6030050
Submission received: 28 February 2025 / Revised: 8 September 2025 / Accepted: 11 September 2025 / Published: 19 September 2025

Abstract

The growing accumulation of waste lubricating oil presents serious environmental issues, calling for sustainable management solutions. This research discusses the creation of FeNi/TiO2 nanocatalysts that were synthesized through an eco-friendly method utilizing grape seed extract (GSE) as a natural reducing agent for the catalytic pyrolysis of waste lubricating oil. The nanocatalyst was produced using the microemulsion technique and refined via Response Surface Methodology (RSM) to optimize its catalytic performance. Pyrolysis was carried out at 400 °C, leading to a significant conversion of waste oil into valuable fuel. The FeNi/TiO2 nanocatalyst exhibited exceptional capabilities in facilitating the breakdown of heavy hydrocarbons into lighter fuel fractions while reducing unwanted byproducts. GC-MS analysis demonstrated the prevalence of C6–C20 hydrocarbons in the pyrolysis oil, underscoring its potential as a high-quality alternative fuel similar to traditional diesel. This study aids in the progress of environmentally sustainable waste-to-energy technologies, offering a promising pathway for effective fuel production and hazardous waste management.

Graphical Abstract

1. Introduction

The accumulation of waste lubricating oil represents a growing environmental concern due to its classification as Hazardous and Toxic Materials. If improperly disposed of, it can contaminate soil and water, threaten aquatic ecosystems, and pose serious health risks to humans [1]. As global industrialization and vehicle use expand, the volume of used oil increases, underscoring the need for effective and sustainable waste management strategies. One promising approach to managing this hazardous waste is its conversion into value-added products such as liquid fuels through catalytic pyrolysis. Pyrolysis is an efficient thermochemical technique for the recycling of lubricating oil waste that converts waste oil into valuable fuel in the absence of oxygen. This process provides a practical solution for waste management, while generating alternative fuels under reduced environmental impact and enhanced energy efficiency. This thermochemical process not only reduces the environmental burden but also provides an alternative energy source. However, pyrolysis efficiency and fuel quality are significantly influenced by the chosen catalyst [2]. Recent studies have highlighted the potential of bimetallic catalysts, especially FeNi-based systems, to enhance pyrolysis performance. FeNi/TiO2 nanocatalysts offer several advantages: they accelerate the breakdown of long-chain hydrocarbons into lighter, more combustible fuel fractions, reduce the formation of undesirable byproducts, and enable reactions at lower temperature [3]. The synergy between Fe and Ni improves hydrogenation activity [4,5], while TiO2 provides thermal stability and dispersion support [6]. Fe contributes to the cleavage of C–C bonds in long-chain hydrocarbons, while Ni facilitates hydrogenation and dehydrogenation reactions. This synergy significantly improves the conversion of heavy hydrocarbons into lighter fuel fractions.
In this work, the FeNi/TiO2 nanocatalysts are synthesized via a green method using grape seed extract (GSE) as a natural reducing and stabilizing agent. The bioactive compounds in GSE, particularly oligomeric proanthocyanidins (OPC), facilitate the formation of metal nanoparticles and prevent their agglomeration. This environmentally friendly synthesis approach aligns with the Sustainable Development Goals [7]. The microemulsion technique was selected for the environmentally friendly synthesis of FeNi/TiO2 nanocatalysts, because it can generate nanoparticles that are evenly sized and well dispersed. Microemulsions are one phase systems made up of water, oil, surfactant, and co-surfactant, which create a stable solution at the nanoscale. When synthesizing nanocatalysts, microemulsions provide a uniform reaction environment, improving nucleation efficiency and promoting controlled particle growth [8,9]. Natural reducing agents like mangosteen peel or grape seed extract were utilized to reduce Fe and Ni metal ions to their corresponding nanoparticles; these are eco-friendly options that also enhance the stability of the nanoparticles. Furthermore, a commercial TiO2 modification with a high surface area was used as the support material to boost catalytic performance and extend the lifespan of the catalyst during the pyrolysis process. This method is anticipated to yield an FeNi/TiO2 nanocatalyst with optimal morphology and exceptional catalytic characteristics. The uniform particle structure and well-distributed deposition on the TiO2 surface will enhance the interactions between the catalyst and substrate, speeding up the pyrolysis reaction and increasing the conversion yield of waste lubricating oil producing a high-quality fuel. Additionally, this green synthesis method has benefits in terms of sustainability and energy efficiency, making it a promising option for more environmentally friendly industrial applications.
The synthesis of nanoparticles utilizing natural reducing agents is a quickly evolving technique due to its ecological and cost-effective benefits. GSE is one of the commonly used reducing agents in nanoparticle synthesis. This extract is abundant in bioactive substances such as polyphenols (Figure 1), flavonoids, and tannins, which not only have reducing properties but also serve as stabilizers [10,11]. These bio-based compounds support the conversion of metal ions into metal nanoparticles, while preventing nanoparticle agglomeration during the synthesis phase. This approach avoids the use of toxic chemicals and also utilizes natural waste, making it a more sustainable choice [12]. Nanoparticles generated with GSE as the reducing agent offer numerous advantages, including uniform particle size, remarkable stability, and significant catalytic efficacy [13]. Characterization techniques reveal that the nanoparticles obtained exhibit ideal optical and structural properties for various applications, including photocatalysis and pyrolysis. Additionally, using GSE as a natural reducing agent adds value to the synthesis process, as it is readily available and can be sourced from agricultural byproducts, thereby promoting the idea of a circular economy.
Research shows that grape seeds are abundant in a bioflavonoid recognized for its antioxidant properties, particularly oligomeric proanthocyanidin (OPC) [14]. The OPC present in grape seeds has antioxidant efficacy that surpasses vitamin C by 20 times and vitamins E by 50 times [15]. This impressive potency is due to the aromatic structure of OPC (Figure 2), which enables it to generate a greater number of free radicals [16]. The process of generating Fe and Ni nanoparticles using GSE as the reducing agent involves the transformation of Fe2+ and Ni2+ ions into metallic Fe0 and Ni0 atoms (Figure 2). The OPC acts as a reducing agent by transferring electrons from the phenolic groups to the metal ions.
The properties of FeNi/TiO2 nanocatalysts are influenced by various synthesis parameters that have a direct impact on morphology, particle size, and catalytic efficacy. The parameters also define the amount of nanocatalyst that can be produced under certain conditions (catalyst yield). If synthesis parameters such as precursor concentration are not optimized, it can lead to an uneven distribution of FeNi in TiO2, which ultimately affects the quality of the catalyst [17]. Moreover, the reducing agent plays a vital role in the synthesis process, and proanthocyanidins found in GSE act as natural reducing agents that promote the formation of metal nanoparticles [18]. But, using excessive amounts results in the production of larger particles, which subsequently decreases the available active surface area and lowers catalytic efficiency [19]. The ratio of Fe to Ni within the TiO2 matrix is a vital element affecting catalytic performance. An optimized Fe/Ni ratio improves catalyst yield while ensuring enhanced catalytic performance [20].
Proper handling of used lubricating oil is critical because it contains hazardous materials like heavy metals and intricate organic compounds. To reduce these harmful impacts, it is important to treat used lubricating oil to eliminate or lessen its toxic elements prior to disposal or possible reuse [21,22]. Developing effective treatment approaches not only reduces environmental harm but also lessens reliance on new oil production, preserves natural resources, and promotes sustainable waste management practices. Additionally, reusing spent lubricating oil, whether as an energy source or as a foundational material for reprocessed lubricants, adheres to circular economy concepts and greatly diminishes its ecological impact [21,23].
The study aims to evaluate the catalytic performance of FeNi/TiO2 nanocatalysts in the pyrolysis of used lubricating oil. Particular focus is on the impact of catalyst composition on fuel yield, density, calorific value, and viscosity. By optimizing catalyst formulation and reaction parameters, this research contributes to the development of efficient, low-emission, and sustainable technologies for converting hazardous waste into high-quality fuel. To achieve an efficient optimization process, this study employs Response Surface Methodology (RSM) with a Central Composite Design (CCD) approach. This statistical experimental design allows for the modeling of the complex interactions between critical synthesis parameters and the prediction of optimal conditions for maximizing both catalyst performance and fuel quality.

2. Materials and Methods

2.1. Materials

The green synthesis of FeNi/TiO2 nanocatalysts was carried out using the microemulsion method. Nickel chloride hexahydrate (NiCl2·6H2O, 99.9%, Sigma-Aldrich, St. Louis, MO, USA) and iron chloride hexahydrate (FeCl2·6H2O, 99.9%, Sigma-Aldrich) were used as metal precursors. GSE (Raab Vitalfood GmbH, Rohrbach, Germany) was used as the reducing agent. The microemulsion solution was formulated using Triton X-100 (99%, Carl-Roth, Karlsruhe, Germany) as the surfactant, 1-pentanol (99%, Sigma-Aldrich) as the co-surfactant, cyclohexane (99.8%, Sigma-Aldrich) as the oil phase, and distilled water. CristalActiv-TiO2 (PC-500, Tronox, Stamford, CT, USA) was used as the support material for the nanocatalyst. The FeNi nanocatalyst deposited on the TiO2 surface was purified using acetone (99.9%, Carl-Roth, Karlsruhe, Germany) to remove residual impurities.

2.1.1. Synthesis of the FeNi/TiO2 Nanocatalyst

To synthesize FeNi nanoparticles, two microemulsions were prepared with the following specifications: 6.945 g of Triton X-100, 6.945 g of 1-pentanol, 33.35 g of the oil phase, and 2.737 g of the aqueous phase. The required amounts of Fe and Ni salts were dissolved in the aqueous phase of microemulsion one (µE1), while GSE was dissolved in the aqueous phase of microemulsion two (µE2). The GSE solution was prepared by adding the GSE powder to water and stirring the suspension for one hour at 70 °C to extract the active compounds. The solid residues were removed using centrifugation.
The reactor was filled with µE1, and µE2 was added using a micro-pump at a flow rate of 0.2 mL/s. The thermostat was maintained at 25 °C, and the mixture was stirred at 700 rpm. After a certain nanoparticle formation time, the deposition process was initiated by adding a predetermined quantity of TiO2 as the support material to the mixture and increasing the temperature to 55 °C. After the deposition was finished (usually 1 h), the solution was withdrawn from the reactor and centrifuged to isolate the FeNi/TiO2 nanocatalyst. The resulting nanocatalyst was washed three times with acetone and then calcined at 350 °C for 2 h. The schematic of the microemulsion reactor setup used for the synthesis of NPs is illustrated in Figure 3.

2.1.2. The Pyrolysis Process of Waste Lubricating Oil into Fuel Oil

Pyrolysis converts waste lubricating oil into valuable fuel in an oxygen-free environment. For the reaction, 30 g of waste lubricating oil and 0.5 g of the FeNi/TiO2 nanocatalyst were placed in the pyrolysis reactor. To prevent undesired oxidation reactions, pyrolysis was carried out in nitrogen (N2) atmosphere. The reaction temperature was controlled using a thermocouple. Pyrolysis was performed at about 400 °C to initiate the cracking of long-chained hydrocarbons into smaller fragments, which results in the generation of a pyrolysis gas.
The whole experiment took four hours, including a heating stage, a reaction phase lasting three hours from the moment the first product droplet was collected, and a cooling phase of 45 min before the reactor was opened for cleaning. A water-cooled circulating system was employed to condense the pyrolysis gas, and subsequently, the final product was weighed to determine the exact yield. The application of the FeNi/TiO2 nanocatalyst significantly enhances the process efficiency by lowering the required reaction temperature and improving the quality of the resulting fuel. A scheme of the pyrolysis process is shown in Figure 4.

3. Results

3.1. Analysis of Key Factors Affecting Pyrolysis Oil Quality from Factorial Design

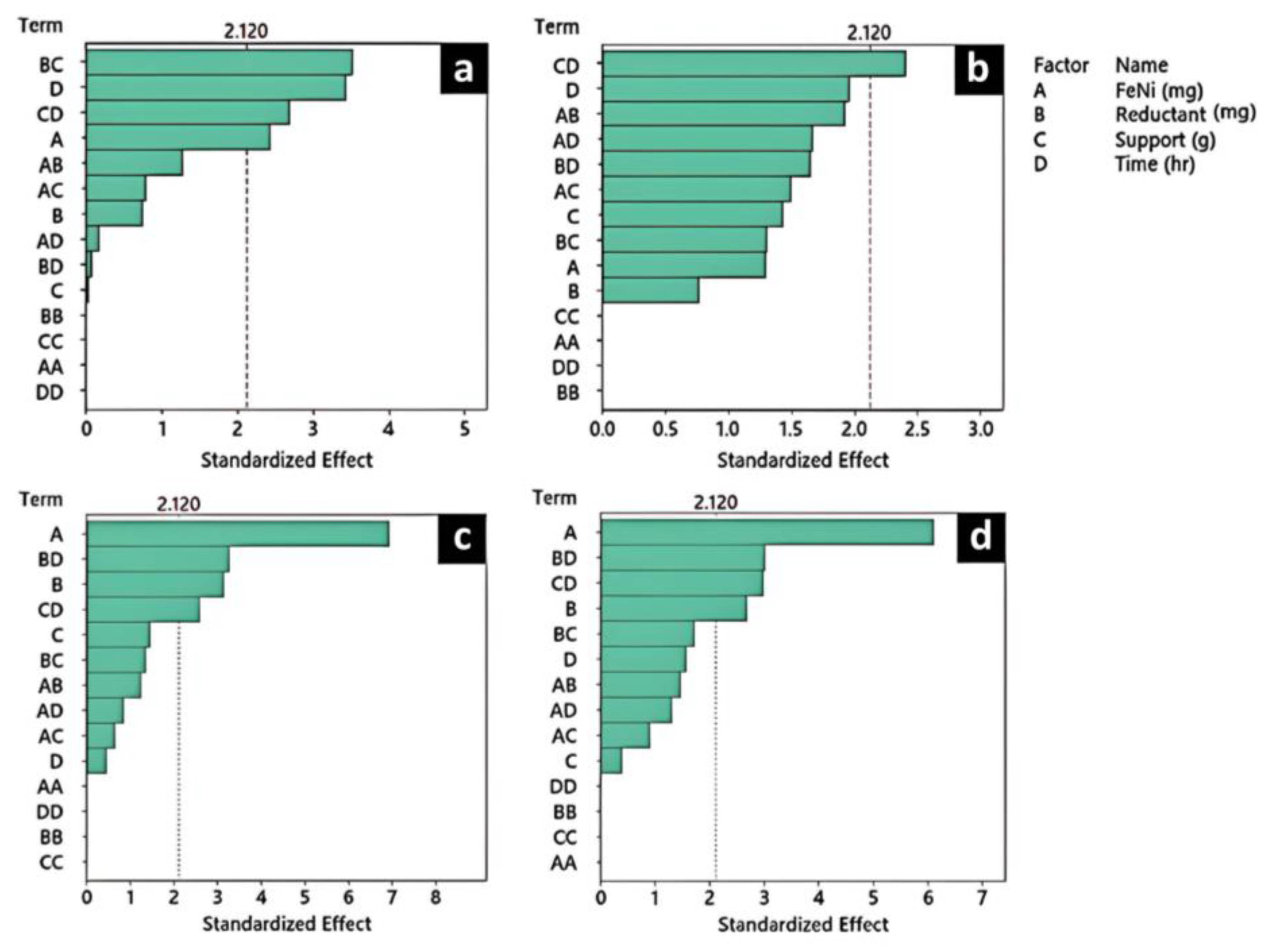
The synthesis of nanocatalysts for the pyrolysis of waste used oil is affected by various factors that have a direct impact on the quality of the resulting oil. These factors are crucial in influencing conversion efficiency, physicochemical characteristics, and the energy content of pyrolysis oil. Figure 5 shows the Pareto chart obtained from our factorial design analysis, which identifies the key factors significantly affecting the pyrolysis oil yield and quality. It also highlights several key factors that notably affect important oil quality indicators, such as yield percentage, calorific value, density, and viscosity. It is vital to identify and optimize these significant parameters to improve the pyrolysis process for producing high-quality oil. Figure 5a emphasizes the strong relationship between the reducing agent (B) and the support material (C) in determining the yield of oil. This insight highlights the necessity of selecting the right type and concentration of both components to enhance the synthesis of nanocatalysts and their catalytic efficiency. Figure 5b reveals that the support material (C) and the duration of the reaction (D) are essential in establishing the calorific value of the produced oil [24,25]. An optimized support material guarantees catalyst stability while an appropriate reaction time allows for complete decomposition, resulting in smaller hydrocarbons with elevated energy content [26].
Figure 5c shows that the FeNi content in the catalyst (A) significantly influences the quality of pyrolysis oil, especially the oil density [27]. Increased FeNi concentrations heighten the proportion of heavier fractions, causing a rise in density, whereas lower concentrations impede the effective breakdown of larger molecules. Likewise, Figure 5d indicates that the FeNi content (A) is the primary factor affecting viscosity. Increasing FeNi content in the catalyst lowers the viscosity of pyrolysis oil by enhancing hydrocarbon chain cracking and promoting hydrogenation reactions. This reduces heavy compounds and oxygenates, leading to lighter, more stable oil [28]. A well-optimized catalyst facilitates the conversion of complex hydrocarbons into lighter fractions, decreasing viscosity and enhancing the oil’s potential for fuel applications. In contrast, a poorly performing catalyst results in a more viscous product, restricting its usability.
Figure 6 shows the visual appearance of the pyrolysis oil products from our experimental runs, demonstrating the variation in quality based on different synthesis parameters. Figure 6 depicts the conversion of used lubricating oil via the catalytic pyrolysis process, resulting in pyrolysis oil with enhanced properties and potential as a renewable fuel alternative. Prior to the pyrolysis, the waste oil is dark black, signifying the presence of impurities and the breakdown of complex compounds. Following the process, the resulting pyrolysis oil displays color variations from light yellow to brown, which indicate differences in the composition of lighter and heavier fractions, influenced by experimental conditions. These variations are affected by factors like the quantity of FeNi catalyst, reductant, support material, and duration of the reaction. This finding shows that by fine-tuning the pyrolysis parameters, it is possible to produce higher-quality oil, thereby creating a valuable opportunity to convert waste into cleaner and more advantageous energy sources.

3.2. The Determination of Optimal Factor Values for Optimization Is Based on Contour Plot Analysis

Figure 7 shows contour plots that demonstrate how interactions between different factors affect the percentage of oil yield in the catalytic pyrolysis process. The contour plots in Figure 7, derived from our RSM analysis, illustrate the interaction effects between key synthesis parameters on the oil yield. There are six subplots, each illustrating the relationship between two critical experimental factors: the FeNi composition of the nanocatalyst, the quantity of reductant used, the type and quantity of support, and the duration of the reaction. In each subplot, the horizontal and vertical axes represent the two variables being analyzed, while the color gradient in the plot reflects the distribution of oil yield values based on the provided legend. The identified color patterns indicate that specific combinations of variables greatly enhance the oil yield, while other combinations lead to a decreased yield. This underscores the intricate interactions among experimental factors that impact the efficiency of catalytic pyrolysis.
The examination of color patterns in these contour plots offers valuable insights into how changes in FeNi content, reductant quantity, amount of support, and reaction duration influence the conversion efficiency of waste oil into fuel. In the subplot discussing FeNi and reductant, it is clear that increasing the FeNi amount up to a certain limit boosts the oil yield, especially when paired with an adequate quantity of reductant. However, too much FeNi or reductant can lead to decreased catalytic efficiency due to saturation issues or poor synergy. Another subplot that looks at the reaction time and support demonstrates that choosing the correct amount of support material and fine-tuning reaction time enhances the pyrolysis efficiency. Less support material may undermine catalyst stability, whereas extended reaction times can result in undesirable degradation of the products. By grasping these interaction dynamics, the ideal experimental conditions can be identified to maximize oil yield, ultimately improving both the efficiency and sustainability of catalytic pyrolysis for transforming waste into high-quality fuel.

3.3. Optimization of the Green FeNi/TiO2 Synthesis Process to Enhance Efficiency and Effectiveness in the Pyrolysis of Waste Lubricating Oil

The Central Composite Design (CCD) method is applied to enhance the pyrolysis process of waste lubricating oil because it can investigate intricate relationships between various operational factors and the desired results. This technique, which is part of Response Surface Methodology (RSM), allows for a comprehensive examination of both direct impacts and interactions between variables that notably affect the outcomes. By utilizing this method, the research seeks to determine the optimal conditions for maximizing oil yield, calorific value, density, and viscosity, thereby ensuring the production of high-quality pyrolysis products.
In this study, several crucial factors to optimize FeNi properties were identified and examined, including the concentration of FeNi, the quantity of natural reductant, the amount of TiO2 support material, and the synthesis time. FeNi is the catalyst that speeds up the pyrolysis process, and variations in its concentration affect the rate of decomposition of complex hydrocarbons found in waste oil. GSE, which is abundant in polyphenols, acts as a natural reducing agent that facilitates the formation of uniformly dispersed FeNi nanoparticles.
The optimization using CCD was conducted with 31 data sets. This process was designed to identify the most effective parameter composition to maximize the desired outcomes, such as calorific value, standard-compliant density, optimal viscosity, and high oil yield. Each data set used in this statistical modeling (RSM analysis) provides insights into the interaction of factors. The RSM analysis results indicate the parameters that can be applied to the pyrolysis process, as shown in Table 1.

3.4. Optimization and Validation

Revising catalytic pyrolysis parameters is essential for maximizing oil production and improving fuel quality. This research assesses critical factors such as the amount of FeNi precursor, concentration of reductant, mass of support, and duration of the reaction. The results show that increasing the FeNi quantity typically causes a decline in oil yield beyond a certain optimal point, likely due to catalyst agglomeration that restricts the active surface area available. On the other hand, a greater concentration of the reductant improves FeNi dispersion, which enhances the catalytic performance. The mass of the support is also vital for maintaining catalyst distribution and ensuring effective interaction with the feed molecules. Further refinement of the reaction duration indicates that excessively long times can result in secondary cracking, which increases the gas production and decreases the yield of liquid oil.
Additionally, the intricate interplay among these factors indicates that achieving an optimal equilibrium between the quantity of FeNi and the level of reductant is vital for enhancing catalyst effectiveness. A suboptimal combination of these parameters could lead to ineffective conversion processes and oil properties that stray from standard fuel specifications. Thus, employing a methodical strategy to identify the best operating conditions is essential for increasing the pyrolysis efficiency and ensuring the sustainable treatment of waste lubricating oil. Figure 8 depicts how the amount of FeNi precursor and the concentration of reductant affect the oil yield during the catalytic pyrolysis process. This figure underscores the considerable impact these two factors have on oil production. An in-depth examination through the subsequent contour diagram offers greater understanding of how FeNi quantity and reductant concentration interact in relation to key aspects of the catalytic pyrolysis process, such as density, viscosity, calorific value, and oil yield.
Figure 9 displays the overlay contour plot that shows how the concentration of reductant (Red. Conc.) and the amount of FeNi affect several crucial parameters in the catalytic pyrolysis of waste lubricating oil, which include density, viscosity, calorific value, and oil yield. In this graph, the mass of support and reaction time are maintained at constant values (2.4 g and 1.8 h). The horizontal axis signifies the quantity of FeNi (mg), while the vertical axis represents the reductant concentration (mg/L). Various colored lines illustrate the trends in density (blue line), viscosity (red line), calorific value (green line), and oil yield (purple line). The graph reveals that an increase in the quantity of FeNi typically results in a reduction in both the density and viscosity of the pyrolysis oil, suggesting that the resulting oil has properties more similar to those of conventional fuels. Additionally, the calorific value exhibits a slight increase with a rise in FeNi, indicating an enhancement in the energy content of the pyrolysis oil. The oil yield demonstrates an optimal trend under particular conditions, highlighted by an orange circle that marks the optimal point reached at around 80 mg FeNi and 150 mg/L of reductant concentration. These observations imply that there are optimal conditions for the use of FeNi and reductant to improve the quality and efficiency of the pyrolysis oil conversion process. By grasping the interactions among these variables, the catalytic pyrolysis process can be fine-tuned to generate high-quality fuel. Further improvements through experimental methods and kinetic modeling can be pursued to deepen the understanding of the key mechanisms and enhance the sustainability of the treatment process for waste lubricating oil.
Among the numerous valorization methods, pyrolysis has become one of the most effective techniques for transforming used lubricating oil into valuable products. This thermochemical decomposition process breaks down high-molecular-weight hydrocarbons into lower-molecular-weight fractions, improving their suitability for fuel applications [29]. As shown in Table 2, the hydrocarbon makeup of used lubricating oil mainly consists of heavy hydrocarbons in the C21–C40 range, which represent 46.430% of the total content prior to pyrolysis. However, after the pyrolysis process, this fraction is notably reduced to 19.164%, illustrating the breakdown of long-chain hydrocarbons into lighter compounds. At the same time, the percentage of hydrocarbons in the C7–C17 range increases, with C7 rising from 1.790% to 6.532%, alongside the appearance of previously unrecognized fractions such as C14, C15, C17, and C19. These changes in composition suggest that pyrolysis effectively converts heavy hydrocarbons into shorter-chain compounds with improved fuel characteristics. This transformation is further depicted in Figure 10, which illustrates the alteration in hydrocarbon distribution before and after pyrolysis.
The validation outcome indicates that the oil yield obtained for the optimized parameters is 76.07%, which is slightly below the earlier optimization figure of 77.59% (Figure 9). This difference may stem from modifications made to other parameters, including viscosity, density, and calorific value, all of which were fine-tuned to satisfy stricter fuel quality requirements. The optimized FeNi/TiO2 nanocatalyst was characterized by Atomic Absorption Spectroscopy (AAS) to determine the FeNi loading. Validating both oil yield and catalyst yield enhances our understanding of the FeNi/TiO2 nanocatalyst’s efficiency in the pyrolysis process. Evaluating the calorific value, density, and viscosity is crucial for assessing the quality of pyrolysis oil. These characteristics not only indicate the physical and thermal properties of the oil but also influence its viability as an alternative fuel. Density is a critical factor that impacts the fuel’s transportability and behavior, while viscosity affects the ease of fuel flow through the engine’s injection system. The calorific value, in contrast, helps to ascertain the energy output from the combustion of the fuel. The nanoflower-shaped FeNi/TiO2 catalyst contributes to the overall enhancement of the pyrolysis process. Its high surface area and porous configuration, as observed in SEM images, allow greater accessibility of reactant molecules to active sites, thus accelerating hydrocarbon conversion and improving fuel properties. According to the validation findings, the resulting pyrolysis oil has a calorific value of 11,016 cal/g, a density of 829.4 kg/m3, and a viscosity of 2.2715 cP, as detailed in Table 3.
Although there are small differences between the validation outcomes and the previously achieved optimization values, they arise from modifications in calorific value, density, viscosity, and oil yield. Despite these minor differences, the resulting values are within an acceptable range for fuel applications. Nevertheless, the values overall remain within the characteristic range of commercially available diesel fuel. The goal of the optimization process is to improve the quality of pyrolysis oil so that it aligns with market diesel fuel standards. Therefore, the optimization strategy shows that employing FeNi/TiO2 nanocatalysts, which were synthesized using a colloidal approach combined with GSE as a green reductant, helps to enhance the characteristics of the pyrolysis oil.
The SEM images (Figure 11) illustrate the structure of FeNi nanoflower and FeNi/TiO2 nanocatalysts utilized in the pyrolysis process. The FeNi nanoflower configuration, shown in Figure 11A,B, features a large surface area that facilitates more effective interactions between the catalyst and the reactants. In contrast, Figure 11C,D reveal the coarse and porous nature of FeNi/TiO2, which improves thermal stability. Employing FeNi/TiO2 in the pyrolysis of waste lubricant oil has been shown to effectively lower reaction temperatures, enhance the conversion of waste oil into fuel fractions, and decrease the formation of carbon residues. The FeNi nanoflower design promotes quicker and more selective decomposition processes, leading to cleaner and higher-quality fuel outputs. Furthermore, the addition of TiO2 aids in minimizing the generation of undesired compounds and boosts catalytic activity. Consequently, these nanocatalysts exhibit remarkable efficacy in enhancing reaction efficiency, reducing operational temperatures, and yielding high-quality fuel products. The average size of the FeNi nanoparticles, as seen in the SEM images (Figure 11), is estimated to be in the range of 30 to 70 nm. This small and consistent particle size boosts catalytic efficiency by increasing surface area and providing more active sites. The nanoscale characteristics of the catalyst facilitate effective thermal breakdown of long-chain hydrocarbons during pyrolysis, resulting in a greater oil yield and enhanced fuel quality. These attributes account for the transformation of heavy hydrocarbons into lighter C6–C20 fractions.
Figure 12 is a comparative analysis of the pyrolysis yield obtained using different catalysts. Notably, the prepared FeNi/TiO2 nanocatalyst achieves the highest pyrolysis yield, approaching 80% under optimal conditions. Even under non-optimal conditions, this catalyst maintains a relatively high yield. A comparable study conducted by Parapat et al. [32] on the pyrolysis of waste lubricating oil explored the use of FeNi/TiO2 nanocatalysts in combination with mangosteen peel extract (MPE) as a natural reductant. Their results indicated an oil yield of 54.11%, a density of 799 kg/m3, and a calorific value of 10,957 cal/g, further reinforcing the potential of FeNi/TiO2-based nanocatalysts for waste oil valorization. Moreover, the FeNi/TiO2 nanocatalyst with MPE exhibits a significant improvement in pyrolysis yield compared to zeolite or non-catalytic methods, with its optimal conditions yielding superior results compared to suboptimal scenarios. While zeolite as a catalyst produces a lower yield than FeNi/TiO2-based nanocatalysts, it still outperforms non-catalytic pyrolysis, which records the lowest yield. These findings underscore the remarkable advantages of FeNi/TiO2 nanocatalysts synthesized with natural reductants, particularly in enhancing pyrolysis efficiency over conventional catalysts such as zeolite. This enhancement can be attributed to the superior catalytic performance of FeNi, synergistically supported by TiO2, which ensures better stability and uniform dispersion of active metal sites throughout the pyrolysis process. Therefore, the optimization of FeNi/TiO2 nanocatalysts presents a highly promising approach for the production of high-quality liquid fuel from waste oil, paving the way for more sustainable and efficient waste-to-energy conversion technologies [32].
The qualitative assessment of the optimized pyrolysis oil was performed using Gas Chromatography-Mass Spectrometry (GC-MS) to identify and quantify the hydrocarbon compounds found in the pyrolysis oil sample. This assessment is crucial for evaluating the quality of the produced pyrolysis oil, as the hydrocarbon composition profile plays a significant role in determining the fuel’s physical properties and performance [33]. The results from the GC-MS analysis, shown in Table 4, indicate that the pyrolysis liquid product is made up of different types of hydrocarbons, such as alkanes, alkenes, aromatics, and aliphatics. Based on 49 identified compounds, the main hydrocarbon composition comprises 62.48% alkanes (paraffins), 20.61% alkenes (olefins), 1.78% aromatics, and 15.13% aliphatics. Regarding the composition of carbon atoms, hydrocarbons with C5–C11 chains represent 31.47%, hydrocarbons in the C12–C25 range account for 62.70%, and those with over C25 carbon atoms make up only 5.82%. The significant proportion of short- to medium-chain hydrocarbons suggests that the optimized pyrolysis process utilizing the FeNi/TiO2 catalyst effectively promotes the breakdown of heavier compounds into lighter products. The FeNi/TiO2 catalyst, with its innovative nanomaterial design, boasts an extensive surface area that maximizes interactions, significantly enhancing the efficiency of converting waste oil into high-quality diesel fuel [32].
Figure 12. Comparison of pyrolysis oil yields achieved using different catalysts: optimized FeNi/TiO2-GSE (this study), FeNi/TiO2-MPE [34], natural zeolite, and a thermal (non-catalytic) process at 650 °C [32].
Figure 12. Comparison of pyrolysis oil yields achieved using different catalysts: optimized FeNi/TiO2-GSE (this study), FeNi/TiO2-MPE [34], natural zeolite, and a thermal (non-catalytic) process at 650 °C [32].
Reactions 06 00050 g012
Table 4. Hydrocarbon composition and cetane number (CN) of the optimized pyrolysis oil based on GC-MS results.
Table 4. Hydrocarbon composition and cetane number (CN) of the optimized pyrolysis oil based on GC-MS results.
Peak NumberRetention TimeCompound Namewt%CN *CN *. wt%
11.6541-Butanol. 3-methyl-0.28218.00.1
21.946Cyclohexane0.35620.00.2
31.985Hexane2.23650.00.3
42.329Cyclopentene. 1-methyl-0.31915.00.1
52.634Cyclopentane. 1.2-dimethyl-. trans-1.16824.00.6
62.715Heptane2.69056.00.8
72.7681.3-Pentadiene. 2.4-dimethyl-1.36615.00.1
83.003Cyclohexane. methyl-1.30920.00.1
94.121Octane1.18260.01.3
103.9741-Octene1.53340.01.1
113.8951-Heptene. 2-methyl-0.78827.00.4
123.765Cyclohexane. 1.3-dimethyl-. cis-0.46530.50.3
133.540Hexane. 3-ethyl-4-methyl-0.77918.90.3
149.8401-Hexanol. 2-ethyl-0.51423.50.2
152.410Hexane. 3.4-dimethyl-0.56518.90.2
165.9361-Octene. 2-methyl-2.13150.00.9
175.2275-Methyloctene-11.93830.00.5
186.283Nonane3.78074.02.1
196.0791-Nonene1.60551.01.3
208.5482-Methyl-1-nonene1.05649.10.8
218.7291-Decene1.91960.01.7
227.7131-Octene. 2.6-dimethyl-0.76649.00.5
235.588Benzene. (3.3-dimethylbutyl)-1.17515.00.3
245.4151-Iodo-2-methylnonane4.23430.01.0
253.4251-Octene. 3.7-dimethyl-0.81748.00.6
267.6303-Undecene. 6-methyl-1.96866.00.8
278.964Undecane2.31283.02.5
2810.937Decane. 3-methyl-0.79779.00.8
2911.5841-Undecanol1.42753.21.5
3014.714Dodecane2.71274.02.4
3111.3931-Undecene. 2-methyl-1.88356.80.6
3213.636Undecane. 2-methyl-1.17260.00.8
3314.4601-Dodecanol1.14463.61.5
3417.479Tridecane3.01191.03.0
3519.8741-Tetradecanol1.30080.81.0
3620.110Tetradecane3.27196.03.2
3722.595Pentadecane3.99695.03.6
3824.949Heptadecane4.58889.03.4
3927.179Nonadecane5.72190.03.9
4027.293Pentadecane. 2.6.10.14-tetramethyl-3.74390.03.2
4121.626Hexadecane. 2.6.10.14-tetramethyl-2.83350.01.0
4233.249Eicosane3.985100.02.9
4329.298Heneicosane4.25392.03.3
4431.321Docosane5.40093.03.3
453.662Oxalic acid. hexadecyl isohexyl ester3.88630.01.2
4636.854Tetracosane1.80570.01.6
4735.095Hexacosane3.82096.03.1
Total64.3
* Encyclopedia of Liquid Fuels [35].
Figure 13 shows a comparative GC-MS chromatogram of pyrolysis oil from waste lubricating oil and pyrolysis oil obtained using optimized FeNi/TiO2. In Figure 13a, the chromatogram of raw waste lubricating oil exhibits a dominance of heavy hydrocarbon compounds with long retention times, particularly in the 40–48 min range, indicating the presence of high-molecular-weight species such as polycyclic aromatics and asphaltenes [34]. In contrast, Figure 13b shows the chromatogram of pyrolysis oil obtained with the FeNi/TiO2 nanocatalyst, where sharp peaks are distributed within the 2–30 min range, signifying the prevalence of lighter hydrocarbons such as paraffins, olefins, and simple aromatics. This shift demonstrates the catalytic effectiveness of FeNi/TiO2 in breaking C–C and C–H bonds through hydrocracking and dehydrogenation mechanisms, thereby converting heavy fractions into lighter compounds with higher calorific value and characteristics comparable to commercial fuel fractions such as gasoline and diesel.
Pyrolysis oil has properties similar to those of commercial diesel fuel, making it a viable alternative energy option. As shown in Table 5, the pyrolysis process increases the abundance of mid-chain hydrocarbons, which are the key constituents of diesel fuel. This change demonstrates that pyrolysis successfully decomposes long-chain hydrocarbons into lighter, more flammable compounds. Generally, shorter-chain hydrocarbons possess greater volatility, promoting more efficient combustion and enhanced energy output [36,37]. Additionally, the discovery of previously unidentified hydrocarbon fractions indicates that pyrolysis enhances fuel quality by producing a composition that is better aligned for combustion uses.
The reduction in long-chain hydrocarbon content in pyrolysis oil highlights its improved fluidity and superior combustion properties compared to conventional diesel fuel. The lower concentration of heavier components results in cleaner combustion, thereby decreasing soot formation and minimizing harmful exhaust emissions [39,40]. These features indicate that pyrolysis oil can serve as a practical replacement for diesel fuel in both industrial and transportation sectors while providing environmental advantages by recycling waste lubricating oil in a more sustainable way. With additional enhancements, the pyrolysis method has considerable potential for generating an alternative fuel that is efficient and eco-friendly.
According to Barra et al. [41], diesel fuel in Morocco typically falls within the C8–C24 hydrocarbon range, while Hidayanti [42]’s findings indicate that Indonesian diesel fuel consists of hydrocarbons ranging from C6 to C39. A comparison with documented diesel fuel compositions verifies that the hydrocarbon fractions, especially in the C7–C20 range, closely match those in traditional diesel fuel. This illustrates the promise of pyrolysis as a practical and sustainable method for transforming used lubricating oil into an alternative diesel-like fuel, providing both ecological advantages and economic viability.

4. Conclusions

This study successfully demonstrates the green synthesis of nanoflower FeNi/TiO2 catalysts using grape seed extract (GSE) as a natural reducing and stabilizing agent. The key findings and their implications are summarized as follows. The GSE-mediated synthesis route produced a well-dispersed FeNi/TiO2 nanocatalyst with a high surface area and a nanoflower morphology. This catalyst exhibited exceptional performance in the low-temperature (400 °C) catalytic pyrolysis of waste lubricating oil, significantly enhancing the breakdown of heavy hydrocarbons (C21–C40) into valuable lighter fractions (C6–C20). Under optimized conditions determined by Response Surface Methodology (RSM), the process achieved a high pyrolysis oil yield of up to 77.59%. The resulting oil possesses key properties, including calorific value (11,016 cal/g), density (829.4 kg/m3), and viscosity (2.27 cP), that align with commercial diesel standards (e.g., Indonesian Premium Diesel). GC-MS analysis confirmed the dominance of diesel-range hydrocarbons, underscoring the practical viability of oil. This work provides a sustainable and efficient pathway for managing hazardous waste lubricating oil by converting it into high-quality diesel-like fuel. The use of a bio-based reducing agent aligns with green chemistry principles, reduces reliance on toxic chemicals, and enhances the overall sustainability of the process. The findings highlight the potential of green-synthesized bimetallic nanocatalysts to advance waste-to-energy technologies, contributing to circular economy goals and reducing environmental pollution.

Author Contributions

Conceptualization, R.Y.P.; methodology, R.Y.P. and M.S.; validation, I.A.K., R.K.C., N.S. and S.P.N.; formal analysis, F.H.; investigation, I.A.K. and R.K.C.; writing—preparation of original draft, R.Y.P., I.A.K., R.K.C., N.S. and S.P.N.; writing—review and editing, M.N.N.H. and M.S.; supervision, R.Y.P. and M.S. All authors have read and agreed to the published version of the manuscript.

Funding

This research received no external funding.

Data Availability Statement

The raw data supporting the conclusions of this article will be made available by the authors on request.

Acknowledgments

The authors thank Tronox for the donation of CrystalACTiV PC-500.

Conflicts of Interest

The authors declare no conflicts of interest.

References

  1. Hoque, R. Background Analysis and Development of a Lubricating Oil Management System for Bangladesh. Master’s Thesis, Bangladesh University of Engineering and Technology, Dhaka, Bangladesh, 2019. [Google Scholar]
  2. French, R.; Czernik, S. Catalytic pyrolysis of biomass for biofuels production. Fuel Process. Technol. 2010, 91, 25–32. [Google Scholar] [CrossRef]
  3. Parapat, R.Y.; Putra, M.F.R.; Zamaludin, Z.; Permadi, D.A.; Aschuri, I.; Yuono, Y.; Noviyanto, A.; Schwarze, M.; Schomäcker, R. Optimized Synthesis of FeNi/TiO2 Green Nanocatalyst for High-Quality Liquid Fuel Production via Mild Pyrolysis. J. Kim. Sains Dan Apl. 2023, 26, 391–403. [Google Scholar] [CrossRef]
  4. Han, Q.; Rehman, M.U.; Wang, J.; Rykov, A.; Gutiérrez, O.Y.; Zhao, Y.; Wang, S.; Ma, X.; Lercher, J.A. The synergistic effect between Ni sites and Ni-Fe alloy sites on hydrodeoxygenation of lignin-derived phenols. Appl. Catal. B Environ. 2019, 253, 348–358. [Google Scholar] [CrossRef]
  5. Shi, D.; Wojcieszak, R.; Paul, S.; Marceau, E. Ni Promotion by Fe: What Benefits for Catalytic Hydrogenation? Catalysts 2019, 9, 451. [Google Scholar] [CrossRef]
  6. Zeng, K.; Cheng, L.; Hu, W.; Li, J. Synthesis, Stability, and Tribological Performance of TiO2 Nanomaterials for Advanced Applications. Lubricants 2025, 13, 56. [Google Scholar] [CrossRef]
  7. Jadoun, S.; Arif, R.; Jangid, N.K.; Meena, R.K. Green synthesis of nanoparticles using plant extracts: A review. Environ. Chem. Lett. 2021, 19, 355–374. [Google Scholar] [CrossRef]
  8. Parapat, R.Y.; Schwarze, M.; Ibrahim, A.; Tasbihi, M.; Schomäcker, R. Efficient preparation of nanocatalysts. Case study: Green synthesis of supported Pt nanoparticles by using microemulsions and mangosteen peel extract. RSC Adv. 2022, 12, 34346–34358. [Google Scholar] [CrossRef]
  9. López-Quintela, M.A.; Rivas, J.; Blanco, M.C. Synthesis of Nanoparticles in Microemulsions. In Nanoscale Materials; Kluwer Academic Publishers: Boston, MA, USA, 2004; pp. 135–155. [Google Scholar] [CrossRef]
  10. Saratale, R.G.; Saratale, G.D.; Ahn, S.; Shin, H.-S. Grape pomace extracted tannin for green synthesis of silver nanoparticles: Assessment of their antidiabetic, antioxidant potential and antimicrobial activity. Polymers 2021, 13, 4355. [Google Scholar] [CrossRef]
  11. Bhardwaj, K.; Chopra, C.; Bhardwaj, P.; Dhanjal, D.S.; Singh, R.; Najda, A.; Cruz-Martins, N.; Singh, S.; Sharma, R.; Kuča, K.; et al. Biogenic Metallic Nanoparticles from Seed Extracts: Characteristics, Properties, and Applications. J. Nanomater. 2022, 2022, 2271278. [Google Scholar] [CrossRef]
  12. Shafey, A.M.E. Green synthesis of metal and metal oxide nanoparticles from plant leaf extracts and their applications: A review. Green Process. Synth. 2020, 9, 304–339. [Google Scholar] [CrossRef]
  13. Xu, H.; Wang, L.; Su, H.; Gu, L.; Han, T.; Meng, F.; Liu, C. Making Good Use of Food Wastes: Green Synthesis of Highly Stabilized Silver Nanoparticles from Grape Seed Extract and Their Antimicrobial Activity. Food Biophys. 2015, 10, 12–18. [Google Scholar] [CrossRef]
  14. Parapat, R.Y.; Yudatama, F.A.; Musadi, M.R.; Schwarze, M.; Schomäcker, R. Antioxidant as Structure Directing Agent in Nanocatalyst Preparation. Case Study: Catalytic Activity of Supported Pt Nanocatalyst in Levulinic Acid Hydrogenation. Ind. Eng. Chem. Res. 2019, 58, 2460–2470. [Google Scholar] [CrossRef]
  15. Pataki, T.; Bak, I.; Kovacs, P.; Bagchi, D.; Das, D.K.; Tosaki, A. Grape seed proanthocyanidins improved cardiac recovery during reperfusion after ischemia in isolated rat hearts. Am. J. Clin. Nutr. 2002, 75, 894–899. [Google Scholar] [CrossRef]
  16. Sochorova, L.; Prusova, B.; Jurikova, T.; Mlcek, J.; Adamkova, A.; Baron, M.; Sochor, J. The study of antioxidant components in grape seeds. Molecules 2020, 25, 3736. [Google Scholar] [CrossRef] [PubMed]
  17. Kumar, Y.; Yogeshwar, P.; Bajpai, S.; Jaiswal, P.; Yadav, S.; Pathak, D.P.; Sonker, M.; Tiwary, S.K. Nanomaterials: Stimulants for biofuels and renewables, yield and energy optimization. Mater. Adv. 2021, 2, 5318–5343. [Google Scholar] [CrossRef]
  18. Almessiere, M.A.; Slimani, Y.; Auwal, I.A.; Shirsath, S.E.; Gondal, M.A.; Sertkol, M.; Baykal, A. Biosynthesis effect of Moringa oleifera leaf extract on structural and magnetic properties of Zn doped Ca-Mg nano-spinel ferrites. Arab. J. Chem. 2021, 14, 103261. [Google Scholar] [CrossRef]
  19. Ahmad, N.M.; Mohamed, A.H.; Zainal-Abidin, N.; Nawahwi, M.Z.; Azzeme, A.M. Effect of optimisation variable and the role of plant extract in the synthesis of nanoparticles using plant-mediated synthesis approaches. Inorg. Chem. Commun. 2024, 161, 111839. [Google Scholar] [CrossRef]
  20. Aljaafari, A. Effect of Metal and Non-metal Doping on the Photocatalytic Performanceof Titanium dioxide (TiO2): A Review. Curr. Nanosci. 2022, 18, 499–519. [Google Scholar] [CrossRef]
  21. Oladimeji, T.E.; Sonibare, J.A.; Omoleye, J.A.; Emetere, M.E.; Elehinafe, F.B. A review on treatment methods of used lubricating oil. Int. J. Civ. Eng. Technol. 2018, 9, 506–514. [Google Scholar]
  22. Alavi, S.E.; Abdoli, M.A.; Khorasheh, F.; Nezhadbahadori, F.; Bayandori Moghaddam, A. Nanomaterial-assisted pyrolysis of used lubricating oil and fuel recovery. Energy Sources Part A Recovery Util. Environ. Eff. 2024, 46, 14620–14634. [Google Scholar] [CrossRef]
  23. Lam, S.S.; Liew, R.K.; Jusoh, A.; Chong, C.T.; Ani, F.N.; Chase, H.A. Progress in waste oil to sustainable energy, with emphasis on pyrolysis techniques. Renew. Sustain. Energy Rev. 2016, 53, 741–753. [Google Scholar] [CrossRef]
  24. Shahbeik, H.; Shafizadeh, A.; Gupta, V.K.; Lam, S.S.; Rastegari, H.; Peng, W.; Pan, J.; Tabatabaei, M.; Aghbashlo, M. Using nanocatalysts to upgrade pyrolysis bio-oil: A critical review. J. Clean. Prod. 2023, 413, 137473. [Google Scholar] [CrossRef]
  25. Kong, L.; Wang, J.; Dong, K.; Sun, Z.; Tang, B.; Zhao, N.; Wang, Y.; Ou, J.; Guo, F. Catalytic pyrolysis characteristics of polystyrene by biomass char-supported nanocatalysts. J. Anal. Appl. Pyrolysis 2024, 179, 106511. [Google Scholar] [CrossRef]
  26. Gamboa, A.R.; Rocha, A.M.; dos Santos, L.R.; de Carvalho, J.A., Jr. Tire pyrolysis oil in Brazil: Potential production and quality of fuel. Renew. Sustain. Energy Rev. 2020, 120, 109614. [Google Scholar] [CrossRef]
  27. Fuel Oil Quality of Biomass Pyrolysis OilsState of the Art for the End Users|Energy & Fuels n.d. Available online: https://pubs.acs.org/doi/abs/10.1021/ef980272b (accessed on 25 July 2025).
  28. Xiang, L.; Li, H.; Qu, Q.; Lin, F.; Yan, B.; Chen, G. In-situ catalytic pyrolysis of heavy oil residue with steel waste to upgrade product quality. J. Anal. Appl. Pyrolysis 2022, 167, 105676. [Google Scholar] [CrossRef]
  29. Mishra, A.; Siddiqi, H.; Kumari, U.; Behera, I.D.; Mukherjee, S.; Meikap, B.C. Pyrolysis of waste lubricating oil/waste motor oil to generate high-grade fuel oil: A comprehensive review. Renew. Sustain. Energy Rev. 2021, 150, 111446. [Google Scholar] [CrossRef]
  30. Basuki, W.; Syahputra, K.; Suryani, A.T.; Pradipta, I. Biodegradation of used engine oil by Acinetobacter junii TBC 1.2. Indones. J. Biotechnol. 2011, 16, 132–138. [Google Scholar] [CrossRef]
  31. Indonesia: Fuels: Diesel and Gasoline|Transport Policy n.d. Available online: https://www.transportpolicy.net/standard/indonesia-fuels-diesel-and-gasoline/ (accessed on 24 July 2025).
  32. Parapat, R.Y.; Laksono, A.T.; Fauzi, R.I.; Maulani, Y.; Haryanto, F.; Noviyanto, A.; Schwarze, M.; Schomäcker, R. Effect of design parameters in nanocatalyst synthesis on pyrolysis for producing diesel-like fuel from waste lubricating oil. Nanoscale 2024, 16, 15568–15584. [Google Scholar] [CrossRef]
  33. Wei, Y.-J.; Zhang, Y.-J.; Zhu, X.-D.; Gu, H.-M.; Zhu, Z.-Q.; Liu, S.-H.; Sun, X.-Y.; Jiang, X.-L. Effects of Diesel Hydrocarbon Components on Cetane Number and Engine Combustion and Emission Characteristics. Appl. Sci. 2022, 12, 3549. [Google Scholar] [CrossRef]
  34. Osei, G.K.; Nzihou, A.; Yaya, A.; Minh, D.P.; Onwona-Agyeman, B. Catalytic Pyrolysis of Waste Engine Oil over Y Zeolite Synthesized from Natural Clay. Waste Biomass Valorization 2021, 12, 4157–4170. [Google Scholar] [CrossRef]
  35. Encyclopedia of Liquid Fuels n.d. Available online: https://www.degruyterbrill.com/document/doi/10.1515/9783110750287/html (accessed on 3 September 2025).
  36. Santhoshkumar, A.; Ramanathan, A. Recycling of waste engine oil through pyrolysis process for the production of diesel like fuel and its uses in diesel engine. Energy 2020, 197, 117240. [Google Scholar] [CrossRef]
  37. Jahirul, M.I.; Rasul, M.G.; Chowdhury, A.A.; Ashwath, N. Biofuels production through biomass pyrolysis—A technological review. Energies 2012, 5, 4952–5001. [Google Scholar] [CrossRef]
  38. Liang, F.; Lu, M.; Keener, T.C.; Liu, Z.; Khang, S.-J. The organic composition of diesel particulate matter, diesel fuel and engine oil of a non-road diesel generator. J. Environ. Monit. 2005, 7, 983–988. [Google Scholar] [CrossRef]
  39. Jiaqiang, E.; Xu, W.; Ma, Y.; Tan, D.; Peng, Q.; Tan, Y.; Chen, L. Soot formation mechanism of modern automobile engines and methods of reducing soot emissions: A review. Fuel Process. Technol. 2022, 235, 107373. [Google Scholar] [CrossRef]
  40. Zahir Hussain, A.; Santhoshkumar, A.; Ramanathan, A. Assessment of pyrolysis waste engine oil as an alternative fuel source for diesel engine. J. Therm. Anal. Calorim. 2020, 141, 2277–2293. [Google Scholar] [CrossRef]
  41. Barra, I.; Mansouri, M.A.; Cherrah, Y.; Kharbach, M.; Bouklouze, A. FTIR fingerprints associated to a PLS-DA model for rapid detection of smuggled non-compliant diesel marketed in Morocco. Vib. Spectrosc. 2019, 101, 40–45. [Google Scholar] [CrossRef]
  42. Hidayanti, Y.F. Analisis Komposisi Hidrokarbon Bahan Bakar Minyak Menggunakan Kromatografi Gas; IPB University: Bogor, Indonesia, 2022. [Google Scholar]
Figure 1. Chemical structure of an oligomeric proanthocyanidin (OPC) unit, a key bioactive compound in grape seed extract responsible for reducing metal ions during green synthesis.
Figure 1. Chemical structure of an oligomeric proanthocyanidin (OPC) unit, a key bioactive compound in grape seed extract responsible for reducing metal ions during green synthesis.
Reactions 06 00050 g001
Figure 2. Proposed reduction mechanism for the formation of Fe and Ni nanoparticles with OPC.
Figure 2. Proposed reduction mechanism for the formation of Fe and Ni nanoparticles with OPC.
Reactions 06 00050 g002
Figure 3. Scheme of the synthesis process of FeNi/TiO2 nanocatalysts using grape seed extract (GSE) as the reducing agent.
Figure 3. Scheme of the synthesis process of FeNi/TiO2 nanocatalysts using grape seed extract (GSE) as the reducing agent.
Reactions 06 00050 g003
Figure 4. Schematic illustration of the pyrolysis process.
Figure 4. Schematic illustration of the pyrolysis process.
Reactions 06 00050 g004
Figure 5. Pareto charts showing the standardized effects of synthesis factors (A: FeNi amount, B: GSE amount, C: TiO2 support amount, D: reaction time) on the properties of the resulting pyrolysis oil: (a) yield, (b) calorific value, (c) density, and (d) viscosity.
Figure 5. Pareto charts showing the standardized effects of synthesis factors (A: FeNi amount, B: GSE amount, C: TiO2 support amount, D: reaction time) on the properties of the resulting pyrolysis oil: (a) yield, (b) calorific value, (c) density, and (d) viscosity.
Reactions 06 00050 g005
Figure 6. Colors of pyrolysis oil products obtained under various experimental conditions according to the factorial design: A: FeNi amount, B: GSE amount, C: TiO2 support amount, and D: reaction time.
Figure 6. Colors of pyrolysis oil products obtained under various experimental conditions according to the factorial design: A: FeNi amount, B: GSE amount, C: TiO2 support amount, and D: reaction time.
Reactions 06 00050 g006
Figure 7. Contour plots illustrating the interaction effects between pairs of synthesis factors on the yield of pyrolysis oil. The factors are: A (FeNi amount), B (GSE amount), C (TiO2 support amount), and D (reaction time).
Figure 7. Contour plots illustrating the interaction effects between pairs of synthesis factors on the yield of pyrolysis oil. The factors are: A (FeNi amount), B (GSE amount), C (TiO2 support amount), and D (reaction time).
Reactions 06 00050 g007
Figure 8. Interaction plots for pyrolysis oil yield, showing the effect of varying one factor while holding others constant: (a) FeNi and GSE; (b) FeNi and support; (c) FeNi and time; (d) GSE and support; (e) GSE and time; (f) support and time.
Figure 8. Interaction plots for pyrolysis oil yield, showing the effect of varying one factor while holding others constant: (a) FeNi and GSE; (b) FeNi and support; (c) FeNi and time; (d) GSE and support; (e) GSE and time; (f) support and time.
Reactions 06 00050 g008
Figure 9. Overlay contour plot for multiple responses (oil yield, calorific value, density, viscosity) as functions of FeNi quantity and GSE concentration. The plot was generated with TiO2 support mass and reaction time held constant at 2.4 g and 1.8 h, respectively. The yellow circle indicates the optimal predicted point.
Figure 9. Overlay contour plot for multiple responses (oil yield, calorific value, density, viscosity) as functions of FeNi quantity and GSE concentration. The plot was generated with TiO2 support mass and reaction time held constant at 2.4 g and 1.8 h, respectively. The yellow circle indicates the optimal predicted point.
Reactions 06 00050 g009
Figure 10. Comparison of hydrocarbon chain length distributions in waste lubricating oil before pyrolysis and after catalytic pyrolysis using the optimized FeNi/TiO2-GSE nanocatalyst at 400 °C.
Figure 10. Comparison of hydrocarbon chain length distributions in waste lubricating oil before pyrolysis and after catalytic pyrolysis using the optimized FeNi/TiO2-GSE nanocatalyst at 400 °C.
Reactions 06 00050 g010
Figure 11. SEM images of FeNi nanoflowers and FeNi/TiO2 at different magnifications. (A) FeNi nanoflowers at 2000× magnification, showing initial formation and dispersion. (B) A single FeNi nanoparticle flower at 16,000× magnification, revealing its distinct petal-like morphology, indicating a self-assembled growth mechanism. (C) FeNi/TiO2 at 28,000× magnification, displaying a porous and agglomerated structure that enhances catalytic performance. (D) FeNi/TiO2 at 12,000× magnification, highlighting the homogeneous distribution of FeNi within the TiO2 matrix.
Figure 11. SEM images of FeNi nanoflowers and FeNi/TiO2 at different magnifications. (A) FeNi nanoflowers at 2000× magnification, showing initial formation and dispersion. (B) A single FeNi nanoparticle flower at 16,000× magnification, revealing its distinct petal-like morphology, indicating a self-assembled growth mechanism. (C) FeNi/TiO2 at 28,000× magnification, displaying a porous and agglomerated structure that enhances catalytic performance. (D) FeNi/TiO2 at 12,000× magnification, highlighting the homogeneous distribution of FeNi within the TiO2 matrix.
Reactions 06 00050 g011
Figure 13. Comparative GC-MS chromatograms of waste lubricating oil (a), and pyrolysis oil obtained by using optimized FeNi/TiO2 nanocatalyst (b).
Figure 13. Comparative GC-MS chromatograms of waste lubricating oil (a), and pyrolysis oil obtained by using optimized FeNi/TiO2 nanocatalyst (b).
Reactions 06 00050 g013
Table 1. Simulation-based experimental results from the Central Composite Design (CCD).
Table 1. Simulation-based experimental results from the Central Composite Design (CCD).
FactorResponse
FeNi in Precursor (mg)Natural Reductant (mg)TiO2 Support (g)Reaction Time
(h)
Oil Yield. (%)Calorific Value (cal/g)Density (kg/L)Viscosity (cP)
(A)(B)(C)(D)
4093.81.50.576.711,0401.297780
6062.51.02.073.911,0471.619780
4093.81.51.575.411,1131.501781
2062.52.01.076.011,0611.213776
6062.52.02.075.711,6621.012768
4032.81.51.575.011,1421.153771
2062.51.01.076.811,0640.818761
193.81.51.576.311,0650.705760
4093.81.51.575.311,1131.501781
4093.81.51.575.311,1131.501781
4093.81.51.575.311,1131.501781
20125.02.01.076.511,0941.183773
6062.51.01.077.111,0711.432779
60125.02.01.075.511,0211.667790
40154.71.51.575.711,0851.850790
2062.52.02.072.211,0091.132769
20125.01.02.074.011,0801.238776
4093.82.51.575.311,1671.451785
60125.01.01.076.011,1431.313778
4093.81.52.574.011,1871.706782
4093.81.51.575.311,1131.501781
4093.81.51.575.311,1131.501781
7993.81.51.574.411,1622.298802
60125.01.02.071.811,0433.671815
4093.80.51.575.311,0601.552776
4093.81.51.575.311,1131.501781
6062.52.01.073.411,0132.386810
20125.02.02.077.811,1601.032767
60125.02.02.075.611,1082.178811
20125.01.01.076.911,1401.161775
2062.51.02.076.411,1000.968765
Table 2. Hydrocarbon composition before [30] and after optimized pyrolysis.
Table 2. Hydrocarbon composition before [30] and after optimized pyrolysis.
CompoundsComposition of Pyrolysis Oil
Before (%) [30]After (%)
C500.282
C602.911
C71.7906.532
C87.4408.826
C912.33010.454
C1012.5209.967
C119.3907.504
C122.8304.911
C131.3403.011
C1404.570
C150.9603.996
C1704.588
C181.1500
C190.0006.464
C203.8206.818
C21–4046.43019.164
Table 3. Average and validation results of pyrolysis process.
Table 3. Average and validation results of pyrolysis process.
QualityAverage ResultsOptimization ResultsValidationStandard of Premi-um Diesel [31]
Oil yield (%)73.377.676.0-
Caloric value (cal/g)11,04111,11011,016>10,500
Density (Kg/L)815.4825829.4815–880
Viscosity (cP)3.72.52.22.0–5.0
Table 5. Hydrocarbon composition of pyrolysis oil and diesel.
Table 5. Hydrocarbon composition of pyrolysis oil and diesel.
CompoundsComposition of Pyrolysis OilLiterature
After (%)Diesel (%) [38]
C50.2820.000
C62.9110.201
C76.5321.892
C88.8261.464
C910.4543.306
C109.9672.880
C117.5044.674
C124.9117.961
C133.0117.140
C144.5707.130
C153.9964.844
C174.5884.725
C180.0002.750
C196.4641.613
C206.81816.020
C21–4019.16433.400
Disclaimer/Publisher’s Note: The statements, opinions and data contained in all publications are solely those of the individual author(s) and contributor(s) and not of MDPI and/or the editor(s). MDPI and/or the editor(s) disclaim responsibility for any injury to people or property resulting from any ideas, methods, instructions or products referred to in the content.

Share and Cite

MDPI and ACS Style

Parapat, R.Y.; Khoirin, I.A.; Cahyani, R.K.; Septariani, N.; Nurlian, S.P.; Haryanto, F.; Hamdhan, M.N.N.; Schwarze, M. Green-Synthesized Nanoflower FeNi Catalysts for Low-Temperature Pyrolysis of Waste Lubricating Oil into High-Quality Diesel-Like Fuel. Reactions 2025, 6, 50. https://doi.org/10.3390/reactions6030050

AMA Style

Parapat RY, Khoirin IA, Cahyani RK, Septariani N, Nurlian SP, Haryanto F, Hamdhan MNN, Schwarze M. Green-Synthesized Nanoflower FeNi Catalysts for Low-Temperature Pyrolysis of Waste Lubricating Oil into High-Quality Diesel-Like Fuel. Reactions. 2025; 6(3):50. https://doi.org/10.3390/reactions6030050

Chicago/Turabian Style

Parapat, Riny Yolandha, Irsan Asfari Khoirin, Reygina Katon Cahyani, Najla Septariani, Sabrina Putri Nurlian, Freddy Haryanto, Muhammad Nadhif Noer Hamdhan, and Michael Schwarze. 2025. "Green-Synthesized Nanoflower FeNi Catalysts for Low-Temperature Pyrolysis of Waste Lubricating Oil into High-Quality Diesel-Like Fuel" Reactions 6, no. 3: 50. https://doi.org/10.3390/reactions6030050

APA Style

Parapat, R. Y., Khoirin, I. A., Cahyani, R. K., Septariani, N., Nurlian, S. P., Haryanto, F., Hamdhan, M. N. N., & Schwarze, M. (2025). Green-Synthesized Nanoflower FeNi Catalysts for Low-Temperature Pyrolysis of Waste Lubricating Oil into High-Quality Diesel-Like Fuel. Reactions, 6(3), 50. https://doi.org/10.3390/reactions6030050

Article Metrics

Back to TopTop