Ethylene and 1-butene Oligomerization with Benzimidazole Complexes of Nickel and Iron: A Case of Tandem Reaction
Abstract
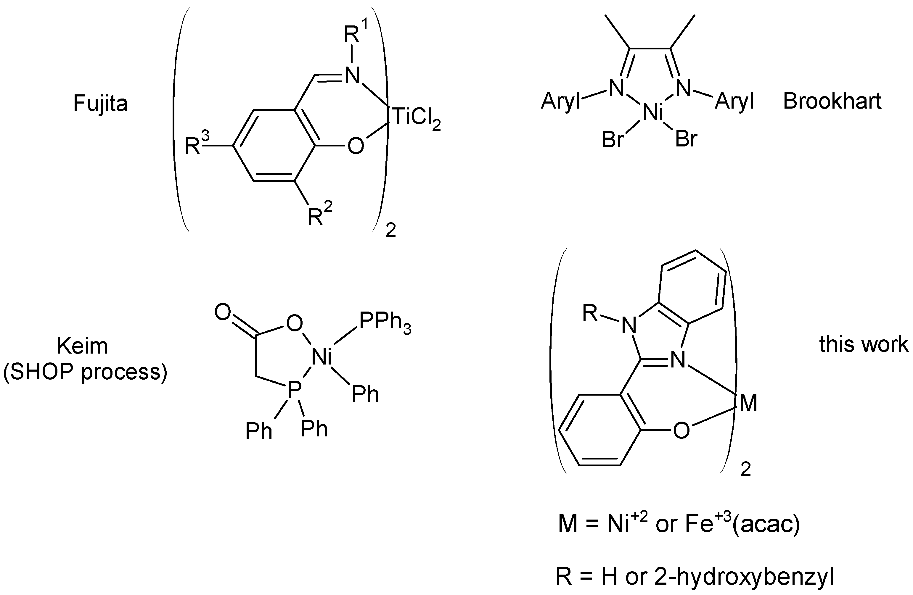
1. Introduction
2. Materials and Methods
2.1. Synthesis of Benzimidazole-Phenol Ligands
2.1.1. Isolation of HL2
2.1.2. Isolation of HL1
2.2. Synthesis of L3
2.3. Synthesis of Complexes C1–C3
2.3.1. [Ni(L1)2] (C1)
2.3.2. [Fe(L1)2(acac)] (C2)
2.3.3. [Fe(L2)2(acac)] (C3)
2.4. Preparation In Situ of the Pre-Catalysts C1’–C5’
2.5. General Procedure for Ethylene and 1-Butene Oligomerization
2.6. Methodology and Instrumentation
3. Results and Discussion
3.1. Infrared of Ligands and Complexes
3.2. NMR Study of Ligands
3.3. UV-Visible Study of C5’
3.4. Molecular Modelling of Compound L3
3.5. Oligomerization of Ethylene and 1-Butene
4. Conclusions
Supplementary Materials
Author Contributions
Funding
Data Availability Statement
Acknowledgments
Conflicts of Interest
Abbreviations
| LLDPE | Linear Low Density Polyethylene |
| MAO | Methyl Aluminium Oxane |
| ACAC | Acetylacetonate |
Appendix A
Appendix A.1

Appendix A.2

Appendix B

References
- Peng, A.; Huang, Z.; Li, G. Ethylene Oligomerization Catalyzed by Different Homogeneous or Heterogeneous Catalysts. Catalysts 2024, 14, 268. [Google Scholar] [CrossRef]
- Parfenova, L.V.; Bikmeeva, A.K.; Kovyazin, P.V.; Khalilov, L.M. The Dimerization and Oligomerization of Alkenes Catalyzed with Transition Metal Complexes: Catalytic Systems and Reaction Mechanisms. Molecules 2024, 29, 502. [Google Scholar] [CrossRef]
- Mohammed, A.A.; Fateen, S.-E.K.; Ahmed, T.S.; Moustafa, T.M. A Kinetic Model for Ethylene Oligomerization Using Zirconium/Aluminum- and Nickel/Zinc-Based Catalyst Systems in a Batch Reactor. Appl. Petrochem. Res. 2014, 4, 287–295. [Google Scholar] [CrossRef]
- Sun, W.H.; Hao, P.; Zhang, S.; Shi, Q.; Zuo, W.; Tang, X.; Lu, X. Iron(II) and Cobalt(II) 2-(Benzimidazolyl)-6-(1-(Arylimino)Ethyl)Pyridyl Complexes as Catalysts for Ethylene Oligomerization and Polymerization. Organometallics 2007, 26, 2720–2734. [Google Scholar] [CrossRef]
- Olivier-Bourbigou, H.; Breuil, P.A.R.; Magna, L.; Michel, T.; Espada Pastor, M.F.; Delcroix, D. Nickel Catalyzed Olefin Oligomerization and Dimerization. Chem. Rev. 2020, 120, 7919–7983. [Google Scholar] [CrossRef]
- Brookhart, M.; Green, M.L.H.; Parkin, G. Agostic Interactions in Transition Metal Compounds. Proc. Nat. Acad. Sci. USA 2007, 104, 6908–6914. [Google Scholar] [CrossRef] [PubMed]
- Britovsek, G.J.P.; Malinowski, R.; McGuinness, D.S.; Nobbs, J.D.; Tomov, A.K.; Wadsley, A.W.; Young, C.T. Ethylene Oligomerization beyond Schulz-Flory Distributions. ACS Catal. 2015, 5, 6922–6925. [Google Scholar] [CrossRef]
- Tenza, K.; Hanton, M.J.; Slawin, A.M.Z. Ethylene Oligomerization Using First-Row Transition Metal Complexes Featuring Heterocyclic Variants of Bis(Imino)Pyridine Ligands. Organometallics 2009, 28, 4852–4867. [Google Scholar] [CrossRef]
- Cicmil, D.; Van Ravenhorst, I.K.; Meeuwissen, J.; Vantomme, A.; Weckhuysen, B.M. Structure-Performance Relationships of Cr/Ti/SiO2 Catalysts Modified with TEAl for Oligomerisation of Ethylene: Tuning the Selectivity towards 1-Hexene. Catal. Sci. Technol. 2016, 6, 731–743. [Google Scholar] [CrossRef]
- Suttil, J.A.; McGuinness, D.S.; Pichler, M.; Gardiner, M.G.; Morgan, D.H.; Evans, S.J. Preparation and Structures of Aryloxy- and Alkoxy-Ti(IV) Complexes and Their Evaluation in Ethylene Oligomerisation and Polymerisation. Dalton Trans. 2012, 41, 6625–6633. [Google Scholar] [CrossRef] [PubMed]
- Haghverdi, M.; Tadjarodi, A.; Bahri-Laleh, N.; Haghighi, M.N. Preparation, Characterization, DFT Calculations and Ethylene Oligomerization Studies of Iron(II) Complexes Bearing 2-(1H-Benzimidazol-2-Yl)-Phenol Derivatives. J. Coord. Chem. 2018, 71, 1180–1192. [Google Scholar] [CrossRef]
- Haghverdi, M.; Tadjarodi, A.; Bahri-Laleh, N.; Nekoomanesh-Haghighi, M. Synthesis and Characterization of Ni(II) Complexes Bearing of 2-(1H–Benzimidazol-2-Yl)-Phenol Derivatives as Highly Active Catalysts for Ethylene Oligomerization. Appl. Organomet. Chem. 2018, 32, e4015. [Google Scholar] [CrossRef]
- Du, J.-L.; Li-Jun-Li. Cobalt and Nickel Complexes Bearing 2-(2-Pyridyl)-Benzimidazole: Synthesis and Ethylene Oligomerization. E-J. Chem. 2005, 2, 178–181. [Google Scholar] [CrossRef]
- Johnson, L.K.; Killian, C.M.; Brookhart, M. New Pd(II)- and Ni(II)-Based Catalysts for Polymerization of Ethylene and α-Olefins. J. Am. Chem. Soc. 1995, 117, 6414–6415. [Google Scholar] [CrossRef]
- Zhong, L.; Li, G.; Liang, G.; Gao, H.; Wu, Q. Enhancing Thermal Stability and Living Fashion in α-Diimine-Nickel-Catalyzed (Co)Polymerization of Ethylene and Polar Monomer by Increasing the Steric Bulk of Ligand Backbone. Macromolecules 2017, 50, 2675–2682. [Google Scholar] [CrossRef]
- Zhang, Y.; Zhang, Y.; Hu, X.; Wang, C.; Jian, Z. Advances on Controlled Chain Walking and Suppression of Chain Transfer in Catalytic Olefin Polymerization. ACS Catal. 2022, 12, 14304–14320. [Google Scholar] [CrossRef]
- Keim, W. Oligomerization of Ethylene to α-Olefins: Discovery and Development of the Shell Higher Olefin Process (SHOP). Angew. Chem.-Int. Ed. 2013, 52, 12492–12496. [Google Scholar] [CrossRef]
- Britovsek, G.J.P.; Gibson, V.C.; Hoarau, O.D.; Spitzmesser, S.K.; White, A.J.P.; Williams, D.J. Iron and Cobalt Ethylene Polymerization Catalysts: Variations on the Central Donor. Inorg. Chem. 2003, 42, 3454–3465. [Google Scholar] [CrossRef]
- Wang, C.; Friedrich, S.; Younkin, T.R.; Li, R.T.; Grubbs, R.H.; Bansleben, D.A.; Day, M.W. Neutral Nickel(II)-Based Catalysts for Ethylene Polymerization. Organometallics 1998, 17, 3149–3151. [Google Scholar] [CrossRef]
- Matsukawa, N.; Ishii, S.-I.; Furuyama, R.; Saito, J.; Mitani, M.; Makio, H.; Tanaka, H.; Fujita, T. Polyolefin Structural Control Using Phenoxy-Imine Ligated Group 4 Transition Metal Complex Catalysts. e-Polymers 2003, 3, 21. [Google Scholar] [CrossRef]
- Nikitin, S.V.; Nikitin, V.V.; Oleynik, I.I.; Oleynik, I.V.; Bagryanskaya, E.G. Activity of Phenoxy-Imine Titanium Catalysts in Ethylene Polymerization: A Quantum Chemical Approach. J. Mol. Catal. A Chem. 2016, 423, 285–292. [Google Scholar] [CrossRef]
- Nouman; Rana, M.; Ahmedi, S.; Mehandi, R.; Dhama, M.; Manzoor, N.; Rahisuddin. Transition Metal Complexes of Benzimidazole-Based Ligands: Synthesis, Characterization, Biological, and Catecholase Activities. Inorganica Chim. Acta 2025, 574, 122392. [Google Scholar] [CrossRef]
- Raducka, A.; Świątkowski, M.; Korona-głowniak, I.; Kaproń, B.; Plech, T.; Szczesio, M.; Gobis, K.; Szynkowska-jóźwik, M.I.; Czylkowska, A. Zinc Coordination Compounds with Benzimidazole Derivatives: Synthesis, Structure, Antimicrobial Activity and Potential Anticancer Application. Int. J. Mol. Sci. 2022, 23, 6595. [Google Scholar] [CrossRef]
- Šindelář, Z.; Kopel, P. Bis(Benzimidazole) Complexes, Synthesis and Their Biological Properties: A Perspective. Inorganics 2023, 11, 113. [Google Scholar] [CrossRef]
- Vyas, P.C.; Kaur, N. Synthesis, Characterisation, Antifungal and Antibacterial Studies of Nickel(II) and Silver (I) Complexes of Tridentate Bis Benzimidazoles. Asian J. Chem. 1997, 9, 208–212. [Google Scholar]
- Shi, Q.; Zhang, S.; Chang, F.; Hao, P.; Sun, W.H. Nickel Complexes Bearing 2-(1H-Benzimidazol-2-Yl)-Phenoxy Ligands: Synthesis, Characterization and Ethylene Oligomerization. Comptes Rendus Chim. 2007, 10, 1200–1208. [Google Scholar] [CrossRef]
- Betti, M.; Genesio, E.; Marconi, G.; Sanna Coccone, S.; Wiedenau, P. A Scalable Route to the SMO Receptor Antagonist SEN826: Benzimidazole Synthesis via Enhanced in Situ Formation of the Bisulfite-Aldehyde Complex. Org. Process Res. Dev. 2014, 18, 699–708. [Google Scholar] [CrossRef]
- Sharghi, H.; Asemani, O.; Mohammad, S.; Tabaei, H. Simple And Mild Procedures For Synthesis Of Benzimidazole Derivatives Using Heterogeneous Catalyst Systems. J. Heterocycl. Chem. 2008, 45, 1293–1298. [Google Scholar] [CrossRef]
- Coelho, J.A.S.; Trindade, A.F.; André, V.; Teresa Duarte, M.; Veiros, L.F.; Afonso, C.A.M. Trienamines Derived from 5-Substituted Furfurals: Remote ε-Functionalization of 2,4-Dienals. Org. Biomol. Chem. 2014, 12, 9324–9328. [Google Scholar] [CrossRef]
- Schiffmann, R.; Neugebauer, A.; Klein, C.D. Metal-Mediated Inhibition of Escherichia Coli Methionine Aminopeptidase: Structure-Activity Relationships and Development of a Novel Scoring Function for Metal-Ligand Interactions. J. Med. Chem. 2006, 49, 511–522. [Google Scholar] [CrossRef]
- Perri, M.J.; Weber, S.H. Web-Based Job Submission Interface for the GAMESS Computational Chemistry Program. J. Chem. Educ. 2014, 91, 2206–2208. [Google Scholar] [CrossRef]
- Barca, G.M.J.; Bertoni, C.; Carrington, L.; Datta, D.; De Silva, N.; Deustua, J.E.; Fedorov, D.G.; Gour, J.R.; Gunina, A.O.; Guidez, E.; et al. Recent Developments in the General Atomic and Molecular Electronic Structure System. J. Chem. Phys. 2020, 152, 154102. [Google Scholar] [CrossRef]
- Becke, A.D. A New Mixing of Hartree-Fock and Local Density-Functional Theories. J. Chem. Phys. 1993, 98, 1372–1377. [Google Scholar] [CrossRef]
- Lee, C.; Yang, W.; Parr, R.G. Development of the Colic-Salvetti Correlation-Energy Formula into a Functional of the Electron Density. Phys. Rev. B 1988, 37, 785–789. [Google Scholar] [CrossRef]
- Stephens, P.J.; Devlin, F.J.; Chabalowski, C.F.; Frisch, M.J. Ab Initio Calculation of Vibrational Absorption and Circular Dichroism Spectra Using Density Functional Force Fields. J. Phys. Chem. 1994, 98, 11623–11627. [Google Scholar] [CrossRef]
- Binbay, N.E. Comparative Dft Study of a Ruthenium Complex. J. Turk. Chem. Soc. Sect. A Chem. 2020, 7, 351–360. [Google Scholar] [CrossRef][Green Version]
- Noro, T.; Sekiya, M.; Koga, T. Segmented Contracted Basis Sets for Atoms H through Xe: Sapporo-(DK)-NZP Sets (n = D, T, Q). Theor. Chem. Acc. 2012, 131, 1124. [Google Scholar] [CrossRef]
- Arrozi, U.S.F.; Bon, V.; Kutzscher, C.; Senkovska, I.; Kaskel, S. Towards Highly Active and Stable Nickel-Based Metal-Organic Frameworks as Ethylene Oligomerization Catalysts. Dalton Trans. 2019, 48, 3415–3421. [Google Scholar] [CrossRef]
- Silverstein, R.M.; Webster, F.X.; Kiemle, D.J.; Bryce, D.L. Spectrometric Identification of Organic Compounds, 8th ed.; Wiley: Hoboken, NJ, USA, 2014. [Google Scholar]
- Su, F.; Sun, Z.; Su, W.; Liang, X. NMR Investigation and Theoretical Calculations on the Tautomerism of Benzimidazole Compounds. J. Mol. Struct. 2018, 1173, 690–696. [Google Scholar] [CrossRef]
- Nieto, C.I.; Cabildo, P.; García, M.Á.; Claramunt, R.M.; Alkorta, I.; Elguero, J. An Experimental and Theoretical NMR Study of NH-Benzimidazoles in Solution and in the Solid State: Proton Transfer and Tautomerism. Beilstein J. Org. Chem. 2014, 10, 1620–1629. [Google Scholar] [CrossRef]
- Keeler, J. Understanding NMR Spectroscopy, 2nd ed.; Wiley: Cambridge, UK, 2010. [Google Scholar]
- García-Báez, E.V.; Padilla-Martínez, I.I.; Cruz, A.; Rosales-Hernández, M.C. 13C-NMR Chemical Shifts in 1,3-Benzazoles as a Tautomeric Ratio Criterion. Molecules 2022, 27, 6268. [Google Scholar] [CrossRef]
- Khan, M.A.; Meullemeestre, J.; Schwing, M.J.; Vierling, F. Detailed Spectrophotometric Study of Copper(II) Halides in Anhydrous Methanol. Inorg. Chem. 1989, 28, 3306–3309. [Google Scholar] [CrossRef]
- Kawai, K.; Fujita, T. Discovery and Development of FI Catalysts for Olefin Polymerization: Unique Catalysis and Distinctive Polymer Formation. In Metal Catalysts in Olefin Polymerization. Topics in Organometallic Chemistry; Guan, Z., Ed.; Springer: Berlin/Heidelberg, Germany, 2009; Volume 26. [Google Scholar] [CrossRef]
- Wahlgren, C.C.; Addison, A.W.; Burman, S.; Thompson, L.K.; Sinn, E.; Rowe, T.M. Oxo-Bridged Complexes of Iron(III) Derived from 2-(2’-Hydroxyphenyl)-Benzothiazole and 2-(2’-Hydroxyphenyl)Benzimidazole Ligands. Inorg. Chim. Acta 1989, 166, 59–69. [Google Scholar] [CrossRef]
- Boudier, A.; Breuil, P.A.R.; Magna, L.; Olivier-Bourbigou, H.; Braunstein, P. Nickel(II) Complexes with Imino-Imidazole Chelating Ligands Bearing Pendant Donor Groups (SR, OR, NR 2, PR 2) as Precatalysts in Ethylene Oligomerization. J. Organomet. Chem. 2012, 718, 31–37. [Google Scholar] [CrossRef]
- Milani, J.L.S.; Casagrande, A.C.A.; Livotto, P.R.; Casagrande, O.L. Synthesis and Characterization of Ether-Imine-Furfural [ONO] Nickel(II) Complexes and Their Application in Oligomerization of Ethylene. Appl. Catal. A Gen. 2016, 523, 247–254. [Google Scholar] [CrossRef]
- Zenneck, U.; Frank, W. Bis(η2-ethene)(η6-toluene)Iron. Angew. Chem. Int. Ed. Engl. 1986, 25, 831–833. [Google Scholar] [CrossRef]
- Houlton, A.; Roberts, R.M.G.; Silver, J.; Wells, A.S.; Frampton, C.S. Structures of (η-Arene)(η-Cyclopentadienyl)Iron(II) Salts. (η6-Benzene)(η5-Cyclopentadienyl Ethyl Ketone)Iron(II) Hexafluorophosphate. Acta Crystallogr. C 1992, 48, 1018–1022. [Google Scholar] [CrossRef]
- Cámpora, J.; Del Mar Conejo, M.; Reyes, M.L.; Mereiter, K.; Passaglia, E. η6-Arene Complexes of Ni(II), Efficient Catalysts for 1,3-Butadiene and Styrene Polymerization. Chem. Commun. 2003, 1, 78–79. [Google Scholar] [CrossRef] [PubMed]
- Akana-Schneider, B.; Guo, Y.; Parnitzke, B.; Derosa, J. Strategies for Arene Dissociation from Transition Metal η6-Arene Complexes. Dalton Trans. 2024, 47, 18819–18827. [Google Scholar] [CrossRef]












| Precatalyst (Activator) a | Activity b | P (atm) | Oligomer Distribution c | |||
|---|---|---|---|---|---|---|
| C4 (α) | C6 (α) | C8 (α) | Ref. | |||
| C1 (MAO) d | 73 | 1 | 69.4 (0) | 30.6 (0) | - | This work |
| C2 (MAO) d | inactive | 1 | - | - | - | This work |
| C1 + PPh3 (MAO) d,e | 109 | 1 | 84.7 (0) | 15.3 (15) | - | This work |
| C1 (Et2AlCl) f | 368 | 20 | 86.6 (89) | 12.6 (57) | 0.8 (100) | [12] |
| C1 + PPh3 (Et2AlCl) g | 1100 | 1 | 93.3 | 6.7 | - | [26] |
| C1 (Et2AlCl) h | 301 | 1 | 92.4 (>15) | 7.6 (>15) | - | [26] |
| Fe(L1)2 (Et2AlCl) i | 344 | 20 | 93.1 (7) | 6.9 (100) | - | [11] |
| Entry | Catalyst b | Activity c | Oligomer Distribution d | ||||
|---|---|---|---|---|---|---|---|
| C4 (α) | C6 (α) | C8 (α) | C10 | C12 | |||
| 1 | C1 | 17 | 37.4 (0) | 16.9 (11) | 45.7 (16) | - | - |
| 2 | C2 | 4.4 | 10.0 (0) | 0 | 90.0 (25) | - | - |
| 3 | C2’ | 4.8 | 10.7 (0) | 0 | 89.3 (25) | - | - |
| 4 | C3’ | 6.9 | 12.8 (0) | 0 | 87.2 (29) | - | - |
| 5 e | C5’ | 9.0 | 20.1 (0) | 0 | 79.9 (9) | - | - |
| 6 f | C1’ | 55.0 (53) | 14.5 (15) | 20.8 (11) | 0 | 9.7 | |
| 7 f | C2 | 27.5 (0) | 0 | 29.3 (21) | 0 | 43.2 | |
| 8 f | C2’ | 12.1 (0) | 0 | 56.9 (21) | 0 | 31.0 | |
| 9 f | C3’ | 11.3 (21) | 2.8 (0) | 41.6 (26) | 0 | 44.3 | |
| 10 e,f | C5’ | 6.9 (23) | 0 | 21.8 (8) | 0 | 71.3 | |
| 11 g | C1’ | 218 | 45.5 (45) | 4.6 (66) | 29.0 (12) | 0 | 21.2 |
| 12 g | C2’ | 42 | 9.5 (0) | 0 | 55.70(18) | 0 | 34.8 |
| 13 g | C3’ | 46 | 6.4 (44) | 0 | 54.2 (18) | 0 | 39.3 |
| 14 g | C4’ | 151 | 35.4 (49) | 16.2 (13) | 29.3 (11) | 0 | 19.0 |
| Catalyst | Conversion (%) | Selectivity (%) | ||
|---|---|---|---|---|
| C4 | C8 (α) b | C12 | ||
| C1 | 98 | 96.8 | 1.6 (4) | 1.6 |
| C2 | 4.1 | 6.0 | 47.5 (17) | 46.5 |
Disclaimer/Publisher’s Note: The statements, opinions and data contained in all publications are solely those of the individual author(s) and contributor(s) and not of MDPI and/or the editor(s). MDPI and/or the editor(s) disclaim responsibility for any injury to people or property resulting from any ideas, methods, instructions or products referred to in the content. |
© 2025 by the authors. Licensee MDPI, Basel, Switzerland. This article is an open access article distributed under the terms and conditions of the Creative Commons Attribution (CC BY) license (https://creativecommons.org/licenses/by/4.0/).
Share and Cite
dos Santos, N.N.; Silva, M.F.; Young, A.F.; Dias, M.L.; Souza, M.M.V.M. Ethylene and 1-butene Oligomerization with Benzimidazole Complexes of Nickel and Iron: A Case of Tandem Reaction. Reactions 2025, 6, 51. https://doi.org/10.3390/reactions6040051
dos Santos NN, Silva MF, Young AF, Dias ML, Souza MMVM. Ethylene and 1-butene Oligomerization with Benzimidazole Complexes of Nickel and Iron: A Case of Tandem Reaction. Reactions. 2025; 6(4):51. https://doi.org/10.3390/reactions6040051
Chicago/Turabian Styledos Santos, Nelson N., Marcos F. Silva, Alexandre F. Young, Marcos L. Dias, and Mariana M. V. M. Souza. 2025. "Ethylene and 1-butene Oligomerization with Benzimidazole Complexes of Nickel and Iron: A Case of Tandem Reaction" Reactions 6, no. 4: 51. https://doi.org/10.3390/reactions6040051
APA Styledos Santos, N. N., Silva, M. F., Young, A. F., Dias, M. L., & Souza, M. M. V. M. (2025). Ethylene and 1-butene Oligomerization with Benzimidazole Complexes of Nickel and Iron: A Case of Tandem Reaction. Reactions, 6(4), 51. https://doi.org/10.3390/reactions6040051

