- Article
Green-Synthesized Nanoflower FeNi Catalysts for Low-Temperature Pyrolysis of Waste Lubricating Oil into High-Quality Diesel-Like Fuel
- Riny Yolandha Parapat,
- Irsan Asfari Khoirin,
- Reygina Katon Cahyani,
- Najla Septariani,
- Sabrina Putri Nurlian,
- Freddy Haryanto,
- Muhammad Nadhif Noer Hamdhan and
- Michael Schwarze
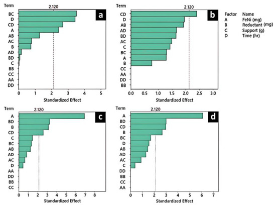
The growing accumulation of waste lubricating oil presents serious environmental issues, calling for sustainable management solutions. This research discusses the creation of FeNi/TiO2 nanocatalysts that were synthesized through an eco-friendly metho...

