Functional Polyacrylate Textile Coatings with N,N-Diethyl-3-methylbenzamide (DEET) Immobilized on Zirconia, Alumina and Silica Sorbents
Abstract
1. Introduction
2. Materials and Methods
2.1. Materials
2.2. Methods
2.2.1. Synthesis of the Zirconia and Alumina Sorbents
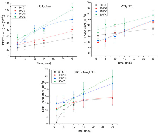
2.2.2. Static Sorption of DEET
2.2.3. Preparation of Polymeric Films with DEET-Containing Inorganic Sorbents
2.2.4. Scanning Electron Microscopy (SEM)
2.2.5. FTIR Spectroscopy
2.2.6. Thermogravimetric Analysis of Polymer Films Containing DEET
2.2.7. Thermal Diffusion Parameters of DEET from Polymer Films
2.2.8. Coating of Textile Fibers with DEET-Containing Polymer Films
2.2.9. Determination of DEET Concentration in Textile Samples
2.2.10. Data Analysis
3. Results and Discussion
3.1. Polymer Films Containing DEET
3.2. Determination of the Thermal Diffusion Parameters of DEET from Polymer Films
3.3. Study of Polymer Films Containing the Sorbents with the DEET Repellent, Applied to Textile Materials
4. Conclusions
Author Contributions
Funding
Data Availability Statement
Acknowledgments
Conflicts of Interest
Abbreviations
| DEET | N,N-diethyl-3-methylbenzamide |
| SEM | Scanning electron microscopy |
| FTIR | Fourier transform infrared spectroscopy |
| ATR | Attenuated total reflectance |
| TGA | Thermogravimetric analysis |
| HPLC | High-performance liquid chromatography |
| DAD | Diode array detection |
References
- Tiwari, I.; Mahanwar, P.A. Polyacrylate/silica hybrid materials: A step towards multifunctional properties. J. Dispers. Sci. Technol. 2019, 40, 925–957. [Google Scholar] [CrossRef]
- Shi, H.; Hong, L.; Pan, K.; Wei, W.; Liu, X.; Li, X. Biodegradable polyacrylate copolymer coating for bio-functional magnesium alloy. Prog. Org. Coat. 2021, 159, 106422. [Google Scholar] [CrossRef]
- Wu, L.; Baghdachi, J. Functional Polymer Coatings: Principles, Methods, and Applications; John Wiley & Sons, Inc.: Hoboken, NJ, USA, 2015; pp. 1–369. [Google Scholar]
- Coetzee, D.; Militky, J.; Venkataraman, M. Functional coatings by natural and synthetic agents for insect control and their applications. Coatings 2022, 12, 476. [Google Scholar] [CrossRef]
- Sikder, A.; Pearce, A.K.; Parkinson, S.J.; Napier, R.; O’Reilly, R.K. Recent trends in advanced polymer materials in agriculture related applications. ACS Appl. Polym. Mater. 2021, 3, 1203–1217. [Google Scholar] [CrossRef]
- Puoci, F.; Iemma, F.; Spizzirri, U.G.; Cirillo, G.; Curcio, M.; Picci, N. Polymer in agriculture: A review. Am. J. Agric. Biol. Sci. 2008, 3, 299–314. [Google Scholar] [CrossRef]
- Mapossa, A.B.; Focke, W.W.; Tewo, R.K.; Androsch, R.; Kruger, T. Mosquito-repellent controlled-release formulations for fighting infectious diseases. Malar. J. 2021, 20, 165. [Google Scholar] [CrossRef]
- Zverev, S.A.; Andreev, S.V.; Sakharov, K.A.; Akhmetshina, M.B.; Istomina, L.I.; Verzhutskaya, Y.A.; Shashina, N.I. Evaluation of the efficacy of permethrin-and cypermethrin-based textile against taiga tick, Ixodes persulcatus. Exp. Appl. Acarol. 2023, 89, 275–286. [Google Scholar] [CrossRef]
- Duan, J.; Xu, Y.; Lei, Y.; Cheng, Y.; Tan, Y.; Zhu, S.; Xia, H.; Li, S.; Shi, P.; Tang, J. Preparation and properties of water-soluble coatings resistant to scratching on the surface of nuclear cladding. Nucl. Eng. Des. 2024, 417, 112831. [Google Scholar] [CrossRef]
- Elsayed, G.A.; Hassabo, A.G. Insect repellent of cellulosic fabrics (a review). Lett. Appl. NanoBioScience 2022, 11, 3181–3190. [Google Scholar] [CrossRef]
- Mapossa, A.B.; da Silva Júnior, A.H.; Mhike, W.; Sundararaj, U.; Silva de Oliveira, C.R. Electrospun Polymeric Nanofibers for Malaria Control: Advances in Slow-Release Mosquito Repellent Technology. Macromol. Mater. Eng. 2024, 309, 2400130. [Google Scholar] [CrossRef]
- Fulton, A.C.; Thum, M.D.; Jimenez, J.; Camarella, G.; Cilek, J.E.; Lundin, J.G. Long-Term Insect Repellent Electrospun Microfibers from Recycled Poly (ethylene terephthalate). ACS Appl. Mater. Interfaces 2023, 15, 44722–44730. [Google Scholar] [CrossRef] [PubMed]
- Chatha, S.A.S.; Asgher, M.; Asgher, R.; Hussain, A.I.; Iqbal, Y.; Hussain, S.M.; Bilal, M.; Saleem, F.; Iqbal, H.M. Environmentally responsive and anti-bugs textile finishes–Recent trends, challenges, and future perspectives. Sci. Total Environ. 2019, 690, 667–682. [Google Scholar] [CrossRef] [PubMed]
- Peila, R.; Scordino, P.; Shanko, D.B.; Caldera, F.; Trotta, F.; Ferri, A. Synthesis and characterization of β-cyclodextrin nanosponges for N, N-diethyl-meta-toluamide complexation and their application on polyester fabrics. React. Funct. Polym. 2017, 119, 87–94. [Google Scholar] [CrossRef]
- Bonadies, I.; Longo, A.; Androsch, R.; Jehnichen, D.; Göbel, M.; Di Lorenzo, M.L. Biodegradable electrospun PLLA fibers containing the mosquito-repellent DEET. Eur. Polym. J. 2019, 113, 377–384. [Google Scholar] [CrossRef]
- Ap dos Santos, D.; Oliveira, A.M.; Cerize, N.N.; Manhani, K.C.; Santos, D.D.S.; de Araujo, H.C.; Costa, S.A.; Costa, S.M. Synthesis of polymeric particles with insect repellent for potential application on textile substrates. Mater. Chem. Phys. 2022, 280, 125662. [Google Scholar] [CrossRef]
- Gilbert, I.H.; Gouck, H.K. Evaluation of repellents against mosquitoes in Panama. Fla. Entomol. 1955, 38, 153–163. [Google Scholar] [CrossRef]
- Xiang, C.; Etrick, N.R.; Frey, M.W.; Norris, E.J.; Coats, J.R. Structure and properties of polyamide fabrics with insect-repellent functionality by electrospinning and oxygen plasma-treated surface coating. Polymers 2020, 12, 2196. [Google Scholar] [CrossRef]
- Singh, A.; Sheikh, J. Development of multifunctional polyester using disperse dyes based through a combination of mosquito repellents. J. Mol. Struct. 2021, 1232, 129988. [Google Scholar] [CrossRef]
- Akbarzadeh, A.; Mokhtari, J.; Kolkoohi, S.; Amin Sarli, M. Imparting insect repellency to nylon 6 fibers by means of a novel MCT reactive dye. J. Appl. Polym. Sci. 2012, 126, 1097–1104. [Google Scholar] [CrossRef]
- Zverev, S.A.; Vinogradova, Y.V.; Selivanova, A.A.; Solovov, R.D.; Sakharov, K.A.; Ischenko, A.A.; Andreev, S.V. Study of sorption properties of zirconia, alumina, and silica in relation to repellents. Colloid Polym Sci. 2024, 302, 1259–1268. [Google Scholar] [CrossRef]
- Sher, E.; Moshkovich-Makarenko, I.; Moshkovich, Y.; Cukurel, B. Implementation of the Onsager theorem to evaluate the speed of the deflagration wave. Entropy 2020, 22, 1011. [Google Scholar] [CrossRef]
- Spearman, C. Correlation calculated from faulty data. Br. J. Psychol. 1910, 3, 271–295. [Google Scholar] [CrossRef]







| Al2O3 Textile Material | ZrO2 Textile Material | SiO2-Phenyl Textile Material | |
|---|---|---|---|
| DEET content, mg/m2 | 66.7 ± 3.3 | 46.0 ± 2.3 | 85.6 ± 4.3 |
| DEET content, mg/m2 (re-extraction) | <0.12 | <0.12 | <0.12 |
| Recovery rate, % | >99 | ||
Disclaimer/Publisher’s Note: The statements, opinions and data contained in all publications are solely those of the individual author(s) and contributor(s) and not of MDPI and/or the editor(s). MDPI and/or the editor(s) disclaim responsibility for any injury to people or property resulting from any ideas, methods, instructions or products referred to in the content. |
© 2025 by the authors. Licensee MDPI, Basel, Switzerland. This article is an open access article distributed under the terms and conditions of the Creative Commons Attribution (CC BY) license (https://creativecommons.org/licenses/by/4.0/).
Share and Cite
Zverev, S.; Andreev, S.; Anosova, E.; Morenova, V.; Rakitina, M.; Vinokurov, V. Functional Polyacrylate Textile Coatings with N,N-Diethyl-3-methylbenzamide (DEET) Immobilized on Zirconia, Alumina and Silica Sorbents. Surfaces 2025, 8, 33. https://doi.org/10.3390/surfaces8020033
Zverev S, Andreev S, Anosova E, Morenova V, Rakitina M, Vinokurov V. Functional Polyacrylate Textile Coatings with N,N-Diethyl-3-methylbenzamide (DEET) Immobilized on Zirconia, Alumina and Silica Sorbents. Surfaces. 2025; 8(2):33. https://doi.org/10.3390/surfaces8020033
Chicago/Turabian StyleZverev, Sergei, Sergei Andreev, Ekaterina Anosova, Varvara Morenova, Maria Rakitina, and Vladimir Vinokurov. 2025. "Functional Polyacrylate Textile Coatings with N,N-Diethyl-3-methylbenzamide (DEET) Immobilized on Zirconia, Alumina and Silica Sorbents" Surfaces 8, no. 2: 33. https://doi.org/10.3390/surfaces8020033
APA StyleZverev, S., Andreev, S., Anosova, E., Morenova, V., Rakitina, M., & Vinokurov, V. (2025). Functional Polyacrylate Textile Coatings with N,N-Diethyl-3-methylbenzamide (DEET) Immobilized on Zirconia, Alumina and Silica Sorbents. Surfaces, 8(2), 33. https://doi.org/10.3390/surfaces8020033

