Cyclic Triaxial Testing: A Primer
Abstract
1. Introduction
2. Introduction to Cyclic Triaxial Testing
2.1. A Brief Overview of Cyclic Triaxial Testing
2.2. Terminology Relevant to Cyclic Triaxial Testing
2.3. Cyclic Triaxial Test Inputs
2.4. Cyclic Triaxial Test Outputs
2.4.1. Cyclic Resistance Curves
2.4.2. Normalized Dissipated Energy per Unit Volume
3. The Mechanics of Cyclic Triaxial Testing
3.1. Test Methodology
3.1.1. Specimen Preparation
3.1.2. Back Pressure Saturation and Consolidation
3.1.3. Cyclic Loading
3.2. Differences in Stresses and Stress Paths Between Field and Cyclic Triaxial Test Loadings
3.2.1. Stresses Acting on a Soil Element in the Field During an Earthquake
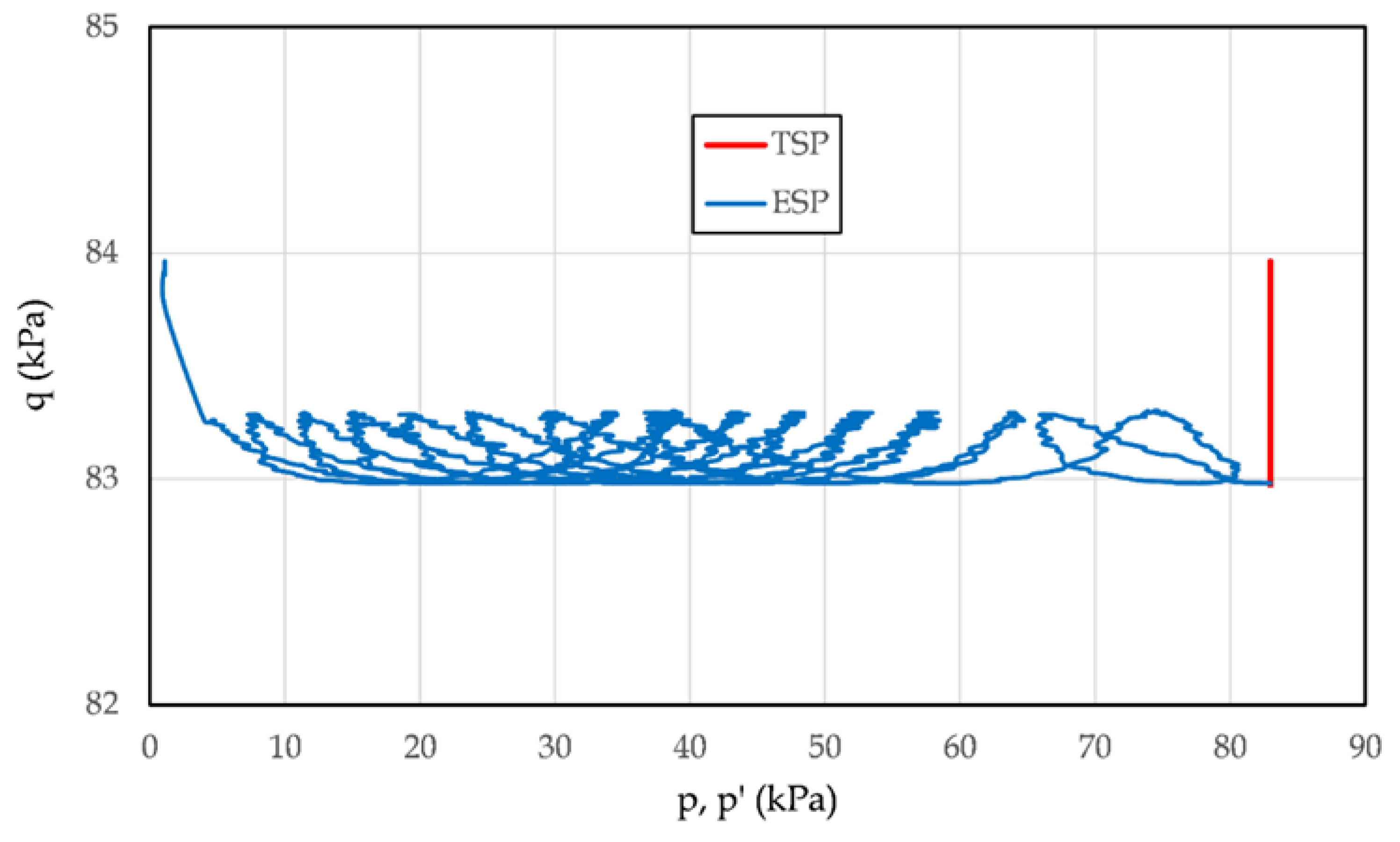
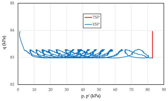
3.2.2. Stresses During a Standard Cyclic Triaxial Test
3.2.3. Static Versus Cyclic Total Stress
3.2.4. Rotation of Principal Stresses
3.2.5. Intermediate Principal Stress
3.2.6. Uniformity of Loadings
3.2.7. Components of Loadings
4. Interpretation of Cyclic Triaxial Test Results
4.1. Liquefaction Failure Modes: Flow Liquefaction and Cyclic Mobility
4.1.1. Flow Liquefaction
4.1.2. Cyclic Mobility
4.1.3. Selection of Strain-Based Liquefaction Criteria
4.2. Effect of Chosen Liquefaction Criteria
4.2.1. Cyclic Resistance of Soils Undergoing Flow Liquefaction
4.2.2. Cyclic Resistance of Soils Undergoing Cyclic Mobility
4.2.3. Dissipated Energy in Flow Liquefaction and Cyclic Mobility
4.3. Stress-Controlled vs. Strain-Controlled Cyclic Triaxial Tests
4.3.1. Stress-Controlled Cyclic Triaxial Tests
4.3.2. Strain-Controlled Cyclic Triaxial Tests
4.3.3. Comparison of Energy Dissipation and Pore Pressure Generation in Stress- and Strain-Controlled Cyclic Triaxial Tests
5. Applying Laboratory Results to the Field
- Field compaction: Field compaction techniques or construction methods can significantly increase the density of the soil, improving its resistance to liquefaction.
- Depth and layering effects: Liquefaction susceptibility can vary with depth due to changes in stratigraphy, groundwater conditions, and other site-specific factors.
- Groundwater fluctuations: The water table depth and the temporal fluctuations of groundwater levels can influence the soil’s susceptibility to liquefaction.
- Calculate the CSR based on the peak ground acceleration and the depth of the soil layer. Adjusting for magnitude, confine stress and initial shear stress as needed.
- Determine the CRR from laboratory cyclic triaxial results; adjust for field conditions.
- Compare CSR with CRR: If CSR exceeds CRR, liquefaction is likely. This relationship is commonly expressed as a factor of safety (FS).
- If FS < 1, the soil is considered susceptible to liquefaction.
6. Summary
Funding
Institutional Review Board Statement
Informed Consent Statement
Data Availability Statement
Acknowledgments
Conflicts of Interest
References
- Lentini, V.; Castelli, F. Liquefaction Resistance of Sandy Soils from Undrained Cyclic Triaxial Tests. Geotech. Geol. Eng. 2019, 37, 201–216. [Google Scholar] [CrossRef]
- Cheng, K.; Zhang, Y. A cyclic resistance ratio model of sand-fines mixtures based on cyclic triaxial test. Geotech. Geol. Eng. 2024, 42, 1021–1033. [Google Scholar] [CrossRef]
- Sanayeh, S.; Johannesson, B.; Brindlé, S.; Amini, P. Static Liquefaction Assessment Combining Shear Wave Velocity and Undrained Triaxial Testing for Cohesionless Soils. Appl. Sci. 2023, 13, 8580. [Google Scholar]
- Wen, S.; Wei, X.; Kong, Q.; Ni, X. Research on the Deformation Characteristics and Permanent Strain Prediction Model of Silt-Sand Composite Soil Under Multi-Amplitude Intermittent Cyclic Loading. SSRN 2024, 4969136. [Google Scholar] [CrossRef]
- Viana da Fonseca, A.; Cordeiro, D.; Molina Gómez, F. Recommended Procedures to Assess Critical State Locus from Triaxial Tests in Cohesionless Remoulded Samples. Geotechnics 2021, 1, 95–127. [Google Scholar] [CrossRef]
- Lipiński, M.J.; Wdowska, M.; Puspitaningrum, I. Quality Requirements for Static Liquefaction Test of Soil in Triaxial Apparatus. Stud. Geotech. Mech. 2023, 45, 395–404. [Google Scholar] [CrossRef]
- Lovell, C.W.; Farrall, L.; Mayer, T. The Effect of Non Plastic Fines Content on Pore Pressure Generation in Contractive Soils under Cyclic Triaxial Loading. Eng 2024, 5, 2410–2427. [Google Scholar]
- El Mohtar, C.S. Evaluation of the 5% Double Amplitude Strain Criterion in Undrained Cyclic Triaxial Tests for Assessing Soil Liquefaction Susceptibility. Int. J. Geotech. Eng. 2012, 6, 123–134. [Google Scholar] [CrossRef]
- Marzuni, S.S.; Fadaee, M.; Bahmanpour, A.; Derakhshandi, M. Effect of cyclic stress ratio and non-plastic fines content on the liquefaction potential of sandy and silty soil in cyclic triaxial testing. Soil Mech. Found. Eng. 2022, 58, 467–473. [Google Scholar] [CrossRef]
- Seed, H.B.; Booker, J.R. Stabilization of potentially liquefiable sand deposits using gravel drains. J. Geotech. Eng. Div. 1977, 103, 757–768. [Google Scholar] [CrossRef]
- Polito, C.P. The Effects of Non-Plastic and Plastic Fines on the Liquefaction of Sandy Soils. Ph.D. Thesis, Virginia Polytechnic Institute and State University, Blacksburg, VA, USA, 1999. [Google Scholar]
- Green, R.A. Energy-Based Evaluation and Remediation of Liquefiable Soils. Ph.D. Thesis, Virginia Polytechnic Institute and State University, Blacksburg, VA, USA, 2001. [Google Scholar]
- Ilyas, M.; Hussain, A.; Ali, S.; Younis, U.; Ashraf, M. Determination of Dynamic Properties of Fine-Grained Soils at Varying Confinement and Strain Levels Using Cyclic Triaxial Testing. Geosciences 2023, 13, 204. [Google Scholar] [CrossRef]
- Polito, C.P.; Moldenhauer, H.H.M. Energy Dissipation and Pore Pressure Generation in Stress- and Strain-Controlled Cyclic Triaxial Tests. Geotech. Test. J. 2019, 42, 1083–1089. [Google Scholar] [CrossRef]
- Luo, S.; Liu, F.; Zhou, C.; Chen, H.; Zhang, J. Analysis of Cyclic Stress Ratio and Shear Stress Distribution in Undrained Cyclic Triaxial Tests. Geosciences 2024, 14, 567. [Google Scholar]
- Polito, C.; Grossman, J. The effect of height to diameter ratio on cyclic triaxial tests. In Proceedings of the GeoSaskatoon 2023, Saskatoon, SK, Canada, 1–4 October 2023. [Google Scholar]
- Weng, H.; Xiong, S.; Liu, J.; Tian, Q.; Li, X. A Simplified Model to Predict the Repeated Shear Strain during Cyclic Triaxial Liquefaction Tests. Appl. Sci. 2022, 14, 4178. [Google Scholar] [CrossRef]
- Nong, Z.Z.; Sung-Sik Park, S.S.; Lee, D.L. Comparison of sand liquefaction in cyclic triaxial and simple shear tests. Soils Found. 2021, 61, 1071–1085. [Google Scholar] [CrossRef]
- Seed, H.B.; Peacock, W.H. Applicability of Laboratory Test Procedures for Measuring Soil Liquefaction Characteristics Under Cyclic Loading; Report No. UCB/EERC-70/08; Earthquake Engineering Research Center, University of California: Berkeley, CA, USA, 1970. [Google Scholar]
- Naghavi, N.; El Naggar, M.H. Application of back pressure for saturation of soil samples in cyclic triaxial tests. In Geotechnical Engineering in the XXI Century: Lessons Learned and Future Challenges; IOS Press: Amsterdam, The Netherlands, 2019; pp. 115–123. [Google Scholar] [CrossRef]
- Seed, H.B.; Lee, K.L. Liquefaction of saturated sands during cyclic loading. J. Soil Mech. Found. Div. 1966, 92, 105–134. [Google Scholar] [CrossRef]
- Nemat-Nasser, S.; Shokooh, A. A unified approach to densification and liquefaction of cohesionless sand in cyclic shearing. Can. Geotech. J. 1979, 16, 659–678. [Google Scholar] [CrossRef]
- Davis, R.O.; Berrill, J.B. Energy dissipation and seismic liquefaction of sands. Earthq. Eng. Struct. Dyn. 1982, 10, 59–68. [Google Scholar]
- Berrill, J.B.; Davis, R.O. Energy dissipation and seismic liquefaction of sands: Revised model. Soils Found. 1985, 25, 106–118. [Google Scholar] [CrossRef]
- Law, K.T.; Cao, Y.L.; He, G.N. An energy approach for assessing seismic liquefaction potential. Can. Geotech. J. 1990, 27, 320–329. [Google Scholar] [CrossRef]
- Towhata, I.; Ishihara, K. Shear work and pore water pressure in undrained shear. Soils Found. 1985, 25, 73–84. [Google Scholar] [CrossRef] [PubMed]
- Yanagisawa, E.; Sugano, T. Undrained shear behaviors of sand given shear work. In Proceedings of the International Conference on Soil Mechanics and Foundation Engineering (Special Volume on Performance of Ground and Soil Structures during Earthquakes), New Delhi, India, 4–9 January 1994; Balkema: Rotterdam, The Netherlands, 1994; pp. 155–158. [Google Scholar]
- Figueroa, J.L.; Saada, A.S.; Liang, L.; Dahisaria, N.M. Evaluation of soil liquefaction by energy principles. J. Geotech. Geoenviron. Eng. 1994, 120, 1554–1569. [Google Scholar] [CrossRef]
- Baziar, M.H.; Sharafi, H. Assessment of silty sand liquefaction potential using hollow torsional tests–An energy approach. Soil Dyn. Earthq. Eng. 2011, 31, 857–865. [Google Scholar] [CrossRef]
- Pan, K.; Yang, Z.X. Evaluation of the Liquefaction Potential of Sand under Random Loading Conditions: Equivalent Approach Versus Energy-Based Method. J. Earthq. Eng. 2017, 24, 59–83. [Google Scholar] [CrossRef]
- Azeiteiro, R.J.; Coelho, P.A.; Taborda, D.M.; Grazina, J.C. Energy-based evaluation of liquefaction potential under non-uniform cyclic loading. Soil Dyn. Earthq. Eng. 2017, 92, 650–665. [Google Scholar] [CrossRef]
- Green, R.A.; Mitchell, J.K.; Polito, C.P. An energy-based excess pore pressure generation model for cohesionless soils. In Proceedings of the John Booker Memorial Symposium, Sydney, Australia, 16–17 November 2000; Balkema: Rotterdam, The Netherlands. [Google Scholar]
- Jafarian, Y.; Towhata, I.; Baziar, M.; Noorzad, A.; Bahmanpour, A. Strain energy based evaluation of liquefaction and residual pore water pressure in sands using cyclic torsional shear experiments. Soil Dyn. Earthq. Eng. 2012, 35, 13–28. [Google Scholar] [CrossRef]
- Karimzadeh, A.A.; Leung, A.K.; Amini, P.F. Energy-based assessment of liquefaction resistance of rooted soil. J. Geotech. Eng. 2021, 148, 06021016. [Google Scholar] [CrossRef]
- Baziar, M.H.; Alibolandi, M. Liquefaction evaluation of microbial induced calcium carbonate precipitation (MICP) treated sands: A strain energy approach. J. Earthq. Eng. 2023, 27, 4512–4525. [Google Scholar] [CrossRef]
- Kazama, M.; Suzuki, T.; Yanagisawa, E. Evaluation of dissipated energy accumulated in surface ground and its application to liquefaction prediction. J. Jpn. Soc. Civ. Eng. 1999, 631, 161–177. [Google Scholar]
- Kokusho, T. Liquefaction potential evaluation–energy-based method versus stress-based method. Can. Geotech. J. 2013, 50, 1088–1099. [Google Scholar] [CrossRef]
- Kokusho, T.; Kaneko, Y. Energy evaluation for liquefaction-induced strain of loose sands by harmonic and irregular loading tests. Soil Dyn. Earthq. Eng. 2018, 114, 362–377. [Google Scholar] [CrossRef]
- Kokusho, T.; Tanimoto, S. Energy capacity versus liquefaction strength investigated by cyclic triaxial tests on intact soils. J. Geotech. Geoenviron. Eng. 2021, 147, 1–13. [Google Scholar] [CrossRef]
- ASTM D5311/D5311M-13; Standard Test Method for Load-Controlled Cyclic Triaxial Strength of Soil. ASTM International: West Conshohocken, PA, USA, 2013. Available online: www.astm.org (accessed on 20 May 2025).
- Silver, M.L. Laboratory Triaxial Testing Procedures to Determine the Cyclic Strength of Soils; NUREG-0031; National Technical Information Service: Springfield, VA, USA, 1977. [Google Scholar]
- Ladd, R.S. Preparing test specimens using undercompaction. Geotech. Test. J. 1978, 1, 16–23. [Google Scholar] [CrossRef]
- Vaid, Y.P.; Sivathayalan, S. Static and cyclic liquefaction potential of Fraser River sand in simple shear and triaxial tests. Can. Geotech. J. 1996, 33, 281–289. [Google Scholar] [CrossRef]
- Yoshimi, Y.; Tokimatsu, K. Effects of sample preparation on the undrained strength of sand. Soils Found. 1977, 17, 1–12. [Google Scholar]
- Yoshimi, Y.; Tanaka, K.; Tokimatsu, K. Liquefaction resistance of a sand compaction pile foundation. Soils Found. 1989, 29, 25–34. [Google Scholar] [CrossRef]
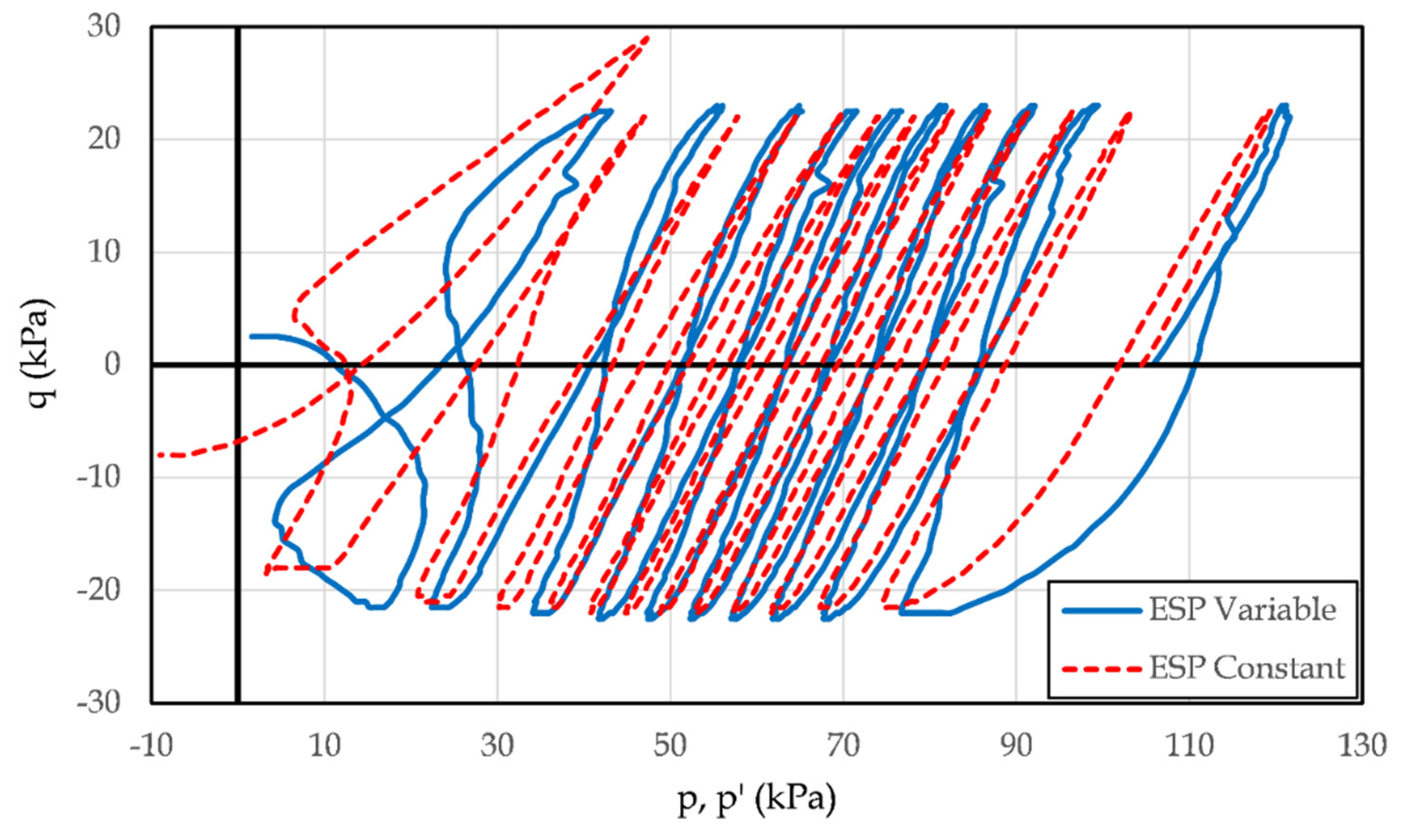
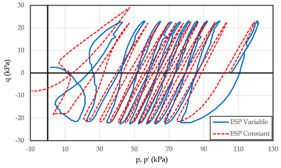
- Polito, C.P. A Comparison of Cyclic Triaxial Tests Performed Using Constant and Varying Cell Pressure. Electron. J. Geotech. Eng. 2013, 18, 5015–5030. Available online: https://web.archive.org/web/20180428185023id_/ (accessed on 1 June 2020).
- Ishihara, K.; Towhata, I. Sand response to cyclic rotation of principal stress directions as induced by wave loads. Soils Found. 1983, 23, 11–26. [Google Scholar] [CrossRef]
- Lade, P.V.; Yamamuro, J.A.; Bopp, P.A. Significance of particle crushing in granular materials. J. Geotech. Eng. 1996, 122, 309–316. [Google Scholar] [CrossRef]
- Ishihara, K. Liquefaction and flow failure during earthquakes. Géotechnique 1993, 43, 351–415. [Google Scholar] [CrossRef]
- Lade, P.V.; Duncan, J.M. Elastoplastic stress–strain theory for cohesionless soil. J. Geotech. Eng. Div. 1975, 101, 1037–1053. [Google Scholar] [CrossRef]
- Ishihara, K.; Yoshimine, M. Evaluation of settlements in sand deposits following liquefaction during earthquakes. Soils Found. 1992, 32, 173–188. [Google Scholar] [CrossRef]
- Seed, H.B.; Idriss, I.M. Simplified procedure for evaluating soil liquefaction potential. J. Soil Mech. Found. Div. 1971, 97, 1249–1273. [Google Scholar] [CrossRef]
- Seed, H.B.; Tokimatsu, K.; Harder, L.F.; Chung, R.M. Influence of SPT procedures in soil liquefaction resistance evaluations. J. Geotech. Eng. 1985, 111, 1425–1445. [Google Scholar] [CrossRef]
- Ishihara, K.; Towhata, I. Soil behaviour under earthquake loading. Soils Found. 1984, 24, 1–15. [Google Scholar]
- Seed, H.B.; Pyke, R.M. Analysis of the Effect of Multi-Directional Shaking on the Liquefaction Characteristics of Sands During Cyclic Loading; Report No. EERC 75-41; Earthquake Engineering Research Center, University of California: Berkeley, CA, USA, 1975. [Google Scholar]
- Seed, H.B. Soil liquefaction and cyclic mobility evaluation for level ground during earthquakes. J. Geotech. Eng. 1979, 105, 201–255. [Google Scholar] [CrossRef]
- Seed, H.B. Design problems in soil liquefaction. J. Geotech. Eng. 1987, 113, 827–845. [Google Scholar] [CrossRef]
- Sze, H.Y.; Yang, J. Failure modes of sand in undrained cyclic loading: Impact of sample preparation. J. Geotech. Geoenviron. Eng. 2014, 140, 152–169. [Google Scholar] [CrossRef]
- Askari, F.; Dabiri, R.; Shafiee, A.; Jafari, M. Liquefaction resistance of sand-silt mixtures using laboratory-based shear wave velocity. Int. J. Civ. Eng. 2011, 9, 135–144. [Google Scholar]
- Khashila, M.; Hussien, C.M.; Karray, M. On the dynamic soil behavior under triaxial and simple shear modes. Int. J. Geomech. 2021, 21, 04021111. [Google Scholar] [CrossRef]
- Gobbi, S.; Reiffsteck, P.; Lenti, L.; d’Avila, M.P.S.; Semblat, J.F. Liquefaction triggering in silty sands: Effects of non-plastic fines and mixture-packing conditions. Acta Geotech. 2022, 17, 391–410. [Google Scholar] [CrossRef]
- Choobbasti, A.J.; Selatahneh, H.; Petanlar, M.K. Effect of fines on liquefaction resistance of sand. Innov. Infrastruct. Solut. 2020, 5, 87. [Google Scholar] [CrossRef]
- Enomoto, T. Liquefaction and post-liquefaction properties of sand-silt mixtures and undisturbed silty sands. Soils Found. 2019, 59, 2311–2323. [Google Scholar] [CrossRef]
- El Ghoraiby, M.; Park, H.; Manzari, M. Stress-strain behavior and liquefaction strength characteristics of Ottawa F65 sand. Soil Dyn. Earthq. Eng. 2020, 138, 106292. [Google Scholar] [CrossRef]
- Bojadjieva, J.; Sheshov, V.; Edip, K.; Kitanovski, T.; Chaneva, J.; Ivanovski, D. Comparison of cyclic simple shear and triaxial tests on natural sand. In Proceedings of the XVII ECSMGE-2019, Reykjavik, Iceland, 1–6 September 2019. [Google Scholar] [CrossRef]
- Ni, X.-Q.; Zhang, Z.; Ye, B.; Zhang, S. Unique relation between pore water pressure generated at the first loading cycle and liquefaction resistance. Eng. Geol. 2022, 296, 106476. [Google Scholar] [CrossRef]
- Polito, C. The effect of failure criteria on liquefaction and pore pressure prediction in non-plastic soils. Geotechnics 2025, 5, 27. [Google Scholar] [CrossRef]
- Soubra, A.; Bazzi, H. Comparison of Field and Laboratory Tests for Soil Suitability Assessment in Raw Earth Construction. Appl. Sci. 2023, 15, 1932. [Google Scholar] [CrossRef]
- Youd, T.L.; Idriss, I.M. (Eds.) Proceedings of the NCEER Workshop on Evaluation of Liquefaction Resistance of Soils, Salt Lake City, UT, USA, 5–6 January 1996; Technical Report NCEER-97-0022; National Center for Earthquake Engineering Research: Buffalo, NY, USA, 1997. [Google Scholar]
- Pilidis, A.I.; Tsiampousi, T.M. Laboratory-Based Correlation between Liquefaction Resistance and Shear Wave Velocity of Sand with Fines. Geosciences 2022, 12, 12. [Google Scholar]
- Wang, X.; Zhang, Y.; Xiao, R.; Thom, N. Experimental and Empirical Studies to Evaluate Liquefaction Resistance of Partially Saturated Sands. Appl. Sci. 2023, 13, 81. [Google Scholar]
- Xu, W.; Li, X.; Lü, X.; Yang, W. Cyclic True Triaxial Tests on Aeolian Sand Considering Initial Shear Effect. Sustainability 2022, 14, 16730. [Google Scholar] [CrossRef]
- Alshehri, F.; Al-Amoudi, O.; Rahman, M.A.; Beg, O. Empirical Scaling Approach for Adjusting Laboratory-Based Cyclic Triaxial Results to Field Conditions Considering Confining Pressure Effects. Appl. Sci. 2021, 11, 3456. [Google Scholar]
- DeJong, J.T.; Mortensen, B.M.; Martinez, B.C.; Nelson, D.C. Microbially Induced Calcite Precipitation as a Soil Improvement Technique to Enhance Liquefaction Resistance. Appl. Sci. 2010, 10, 123–140. [Google Scholar]
- Ahmad, S.; Akhtar, M. Assessment of Soil Liquefaction Potential in Kamra, Pakistan. Sustainability 2018, 10, 4223. [Google Scholar] [CrossRef]
- Cai, Y.; Zhang, Y.; Qi, Q.; Cheng, Y.; Shi, Y.; Sun, Z. Experimental Study on Strength and Liquefaction Characteristics of Sand under Dynamic Loading. Sustainability 2023, 15, 10306. [Google Scholar] [CrossRef]
- Paolone, A.; Russo, E.; Viggiani, C.; Mercogliano, P. Regional Scale Seismic Liquefaction Susceptibility Mapping via an Empirical Approach Validated by Site Specific Analyses. Geosciences 2022, 12, 215. [Google Scholar] [CrossRef]


























Disclaimer/Publisher’s Note: The statements, opinions and data contained in all publications are solely those of the individual author(s) and contributor(s) and not of MDPI and/or the editor(s). MDPI and/or the editor(s) disclaim responsibility for any injury to people or property resulting from any ideas, methods, instructions or products referred to in the content. |
© 2025 by the author. Licensee MDPI, Basel, Switzerland. This article is an open access article distributed under the terms and conditions of the Creative Commons Attribution (CC BY) license (https://creativecommons.org/licenses/by/4.0/).
Share and Cite
Polito, C. Cyclic Triaxial Testing: A Primer. J 2025, 8, 25. https://doi.org/10.3390/j8030025
Polito C. Cyclic Triaxial Testing: A Primer. J. 2025; 8(3):25. https://doi.org/10.3390/j8030025
Chicago/Turabian StylePolito, Carmine. 2025. "Cyclic Triaxial Testing: A Primer" J 8, no. 3: 25. https://doi.org/10.3390/j8030025
APA StylePolito, C. (2025). Cyclic Triaxial Testing: A Primer. J, 8(3), 25. https://doi.org/10.3390/j8030025

