Abstract
Maintaining soil health and sustainable crop production has been challenged by climate variability and wind erosion in semi-arid regions. To understand the initial effects of the transition of tilled cotton systems to no-tillage with winter wheat as a cover crop, we sampled 18 commercial grower sites from 2019 to 2022 in the Southern High Plains (SHP). We evaluated the soil biological component, which often responds rapidly to changes in residue additions or minimized soil disturbance providing an early indication of changes in soil health, especially in the low organic matter soils in this region. After two years, compared to tilled systems, no-till systems had significant increases in ester-linked fatty acid methyl ester (EL-FAME) bacterial and saprophytic and AMF fungal markers, enzyme activities of nutrient cycling, and various SOM pools, under both center-pivot irrigation and dryland. Similar increases were also observed in two dryland sites sampled before and up to two years after transition to no-till. Our study demonstrates the potential of no-tillage and cover crops to improve soil health in cotton production in semiarid regions, and a framework for a soil health assessment that links different soil health indicators with functions related to soil organic matter, soil water, and biogeochemical cycling.
1. Introduction
Conservation tillage and the use of cover crops to improve long-term agricultural sustainability and soil health have been adopted less widely in the semiarid Southern High Plains (SHP) than other regions of the USA [1]. Maintaining soil function at a healthy level can be difficult as this semiarid region has coarse, fragile soils with low soil organic matter (SOM) content (typically < 1%) due to the low plant biomass production and limitations in management choices due to low annual precipitation. The soils also have higher susceptibility to wind erosion especially when bare or fallow. As predicted in earlier assessments by the Intergovernmental Panel on Climate Change, this region has experienced increasingly extreme weather variability in the past 20 years [2] and widespread land conversions from irrigated to dryland management due to declining groundwater levels in the Ogallala Aquifer, the predominant source of irrigation water for the region [3]. More frequent drought cycles have been shown to reduce indicators of soil health including SOM and microbial communities in agricultural soils [4,5]. However, our recent research suggests remarkable increases in microbial community size and functioning after a drought event [6], and that microbial communities were still more abundant and distinct in sorghum and cotton rotations than cotton monoculture during a record drought in 2011 [4,5]. Overall, the record drought in 2011 significantly decreased SOM in the soils evaluated in those studies, highlighting the need to adopt conservation management for the region to be prepared for future climatic extremes [4,5]. More recently, producers in this region are attempting to transition to conservation tillage practices and use wheat as a cover crop for cotton production despite the short-term difficulties of doing so in semiarid regions with limited irrigation capacity. These conservation practices are valuable to increase the biomass returned to the soil and to provide surface coverage, which lays the foundation to increase soil water conservation and guarantee crop production for future generations.
Improved detection of early changes in soil health and their linkages with soil functions in water-limited regions will help provide long term benefits such as improved soil water conservation, enhanced stability in crop yields, and increased farm incomes. SOM is a key indicator of soil health and water dynamics, though this relationship is influenced by multiple factors [7]. Changes in SOM in agroecosystems can often take decades in arid and semiarid regions, and increasing SOM enough to have a meaningful impact on soil water holding capacity is extremely challenging in environments where an increase in SOM by 1% often represents a doubling of baseline SOM stocks [8,9]. While soils in this region have shown potential to be C sinks, even under perennial grasses it has been estimated that it will take 74–77 years to return soil C to stocks found in undisturbed rangelands [9]. An assessment of more responsive physical, chemical, and biological indicators may better represent soil health improvements for soils with low SOM with limited water for crop production [10,11]. For example, soil microbial components often respond more rapidly than some chemical parameters to changes in residue and organic amendment additions or soil management [12], and recent studies by Kallenbach et al. [13] provided a direct link of the microbial component to SOM formation and its ecophysiological controls. This can explain how increases in fungal markers due to management changes have been detected before changes in SOM in the SHP, even for coarse-textured soils with up to 55% sand content [14]. Their changes represent increases in C sequestration, C use efficiency, and soil aggregate formation [15]. Changes in microbial groups have been linked to an increase in enzyme activities involved in biogeochemical cycling and SOM dynamics, including different C pools such as particulate organic matter (POM), permanganate oxidable carbon (POXC), and microbial biomass C (MBC) [16,17]. Establishing relationships between various soil health indicators will lead to the development of a framework for soil health management in water-limited regions.
Despite limitations to implementing no-tillage in water-limited regions, it represents reductions in energy requirements and the enhancement of several soil functions, including soil erosion control, water conservation, soil biodiversity, fungal community development, C sequestration, and enzymatic activity that drives nutrient cycling. However, we have previously shown that no-tillage alone did not improve soil microbial parameters without a winter cover crop for cotton systems in a dryland study conducted in the SHP [18]. The addition of a cover crop to no-till cotton systems increased soil microbial abundance and functioning and did not reduce dryland cotton yields despite years of below average precipitation for the region (470 mm). In a dryland corn-sorghum rotation, long-term no-tillage and cover cropping stored 15% more organic C than the conventionally tilled system [19]. Research from the Central and Northern Great Plains has demonstrated high yield and economic profitability through improved crop and soil management practices that maintained soil fertility and productivity, increased soil cover and biodiversity, and reduced tillage intensity and frequency [20,21,22,23].
Much of the information we encountered on soil health under no-till production comes from experiments performed in research plots [19,24,25]. While research plots have a robust experimental design, on-farm research in commercial producer fields is needed to include other crop and soil management comparisons and understand the large-scale impact of new practices. However, they require flexibility to maintain the viability of on-farm trials, which makes management unpredictable and limits the applicability of these results [11]. Therefore, there is a need to better understand how to assess soil health on a broad scale, under large commercial agricultural farms. We had the opportunity to work with producers in the process of converting from conventionally tilled cotton production to no-till production using winter wheat cover crops. Sites were selected from the same general area in Lubbock County (within 20 km) and represented common soil types used in commercial cotton production. The first objective of this study evaluated fields in the second year of transition from conventionally tilled production to no-tillage and winter wheat cover cropping under different water management strategies (dryland, center-pivot irrigated, and subsurface drip irrigated). This included a comparison to reference sites under long-term conventionally tilled cotton management and to perennial grasslands under the Conservation Reserve Program (CRP). For the second objective, we continued to assess the transition to no-till cotton production with annual soil samplings and repeated measures testing for the sites that had consistent management throughout the following four years (2019–2022). This included two sites with sampling before and after the transition to no-till and winter cover crop. Our four-year study offers a framework for soil health assessment to continue evaluating these management transitions in water-limited environments and link soil health with soil functions related to soil biogeochemical cycling, soil organic matter, and productivity.
2. Materials and Methods
2.1. Sites Description
This study was conducted in producer sites within Lubbock County in the SHP in Texas (33.45 and −101.85). This semiarid region generally experiences a mean annual temperature of 17.1 °C and precipitation of 465 mm which is generally received from April to October. Precipitation presented was measured at a West Texas Mesonet site within 15 km of all fields [26]. Two measurements of the Palmer Drought Severity Index (PDSI) are presented: (1) Lubbock International Airport, located north of the sites and within 22 km, and (2) Tahoka, south of the sites within 33 km (National Centers for Environmental Information).
Cotton (Gossypium hirsutum L.) was generally planted in mid-May and harvested from October to December. Wheat (Triticum aestivum) was planted soon after harvest as a cover crop and was terminated in March or April of the next year. Soil sampling (0–10 cm) occurred after cotton harvest during December beginning in 2019 and continuing annually through 2022 for sites as described in Table 1. Three samples were taken per site along a 100 m transect, and each sample was analyzed independently. The average of the three samples is presented and used for statistical analysis. Each sample was a composite of subsamples from three near locations. The sites had sand content ranging from 45 to 71% and clay content from 14 to 28%. The soil pH ranged from 7 to 8, with no distinct variation due to management. Total C varied across these sites from 3.5 to 14.9 g kg−1 soil. The soils sampled represent the predominant soil series for this region such as Amarillo (fine-loamy, mixed, superactive, thermic Aridic Paleustalf), Olton (fine, mixed, superactive, thermic Aridic Paleustolls), Acuff (fine-loamy, mixed, superactive, thermic Aridic Paleustolls) and Estacado (fine, mixed, thermic, superactive, Aridic Palleustolls).
Table 1.
Experimental information, soil properties determined in 2019, and cropping history of commercial grower sites sampled during the study.
Our first part of the study represented a complete evaluation of the two-year transition to cover crops and no-tillage under different water strategies. For example, there were twelve sites in the first sampling in 2019 representing these different transitions in management and water strategies (seven dryland, three center-pivot irrigated, and two subsurface-drip irrigated). We were able to sample three sites under the Conservation Reserve Program (CRP) under mixed native short grasses and three sites for the traditional practice of conventionally tilled cotton monoculture as reference sites. Two of the three references sites for the traditional practice of conventionally tilled cotton monoculture (dryland) were converted to no-tillage after our first sampling in 2019, which represents a before and after comparison of this transition to no-tillage and cover crops in our study (sites #13 and 14 in Table 1).
The second part of our study lasted from 2019 to 2022. Sites that remained consistent in their management that we collected soil samples from every year for repeated measures testing were: (1) dryland converted to no-till in 2017 (#1, 2, 6, 7), (2) center-pivot irrigation converted to no-till in 2017 (#8 and 10), (3) drip-irrigated converted to no-till in 2017 (#11), (4) dryland converted to no-till in 2019 (#13 and 14), and (5) reference sites for tilled cotton (#15) and perennial grassland (#16).
2.2. Soil Health Indicators
Field-moist soil samples were sieved to 4.75 mm within 4 days of sampling, and a subsample was air-dried after sieving. Samples taken in 2019 were evaluated for soil texture in a commercial laboratory by the hydrometer method (Ward Laboratories, Kearney, NE). Soil pH and electrical conductivity (EC) were measured in our laboratory from a 1:1 mass to mass mixture of water and air-dried soil. The microbial community size and composition were characterized in all samples (field-moist) collected in the study (2019–2022) by the Ester-linked fatty acid methyl ester (EL-FAME) method following a modified protocol of Schutter and Dick [27] and further described by Li et al. [28]. The samples were analyzed in a 6890N GC (Agilent Technologies, Santa Clara, CA, USA) using ultra-high purity H2 as a carrier gas through a fused silica capacity column (25 m × 0.32 mm × 0.25 μm) and into a flame ion detector. GC temperature and pressure and FAME identification were conducted using the MIDI PLFA method (Microbial ID, Inc., Newark, DE, USA). FAMEs were quantified with methyl nonadecanoate as an internal standard using the method of Zelles [29]. FAME indicators used were: (1) Saprophytic fungi: 18:2ω6c, (2) arbuscular mycorrhizal fungi: 16:1ω5c, (3) bacteria: i15:0, a15:0, i16:0, a16:0, 16:1ω7c, 10-Me 16:0, i17:0, a17:0, 17:1ω8c, cy17:0ω7c, 10-Me 17:0, 18:1ω9c, 18:1ω7c, 18:1ω5c, 10-Me 18:0, cy19:0ω7c.
Soil organic matter (SOM) dynamics were evaluated using different pools of SOM that included the microbial biomass C (MBC) and microbial biomass N (MBN), permanganate oxidizable C (POXC), and total soil C and N. Soil organic C was measured in air-dried subsamples from all years (ground in a rotary grinder) in dry combustion (950 °C, protocol ISO 13878) using a CN828 analyzer (LECO corporation, Saint Joseph, MI, USA). POXC was determined in all samples every year according to the method described previously [30,31]. The microbial biomass C (MBC) and N (MBN) were evaluated for all sites sampled in 2019 using the chloroform fumigation-extraction technique [32,33] that distinguishes the organic C and N extracted from the fumigated (24 h) and non-fumigated (control) soil quantified by a TOCV/CPH-TN analyzer (Shimadzu Corp., Kyoto, Japan). To quantify MBC and MBN, the difference between fumigated and non-fumigated values were calculated using a kEC factor of 0.45 [34] and kEN factor of 0.54 [35], respectively.
Functions related to biogeochemical cycling and SOM dynamics were evaluated in all samples every year via a combined enzyme assay which determines simultaneously the activities of β-glucosidase, β-glucosaminidase, acid phosphatase, and arylsulfatase to represent C, C and N, P, and S cycling, respectively [36].
2.3. Statistical Analyses
All statistics were performed using R software Version 4.1.1 [37]. Statistical differences in properties standardized by Total C after two years of transition to no-till cover cropping were calculated using Analysis of Variance (ANOVA) and protected pairwise comparisons between all systems (Table 2). Repeated measures ANOVA was used to compare changes over time in dryland and center-pivot irrigated from 2019 to 2022, representing years 2–5 of conversion. ANOVA and protected pairwise comparisons were used to compare years 1–3 of transition to sampling prior to transition in two dryland sites, which were sampled before and after the conversion. Modeling of changes in soil Total C content over time in row-cropped agroecosystems during transition to no-till cover cropping was performed in the same manner used in previous chronosequence studies in this region [38]. Initially, irrigation, irrigation type, and silt + clay content were used as predictors, and only silt + clay was found to be statistically significant. The model was then re-run with only silt + clay as the predictors. Total C was then predicted based on silt + clay using this model, and changes over time were measured using a linear model that found only irrigation was a significant factor, with dryland and irrigated sites presented separately.
Table 2.
Changes in selected soil properties standardized by soil total carbon after two years of no-till cover crop cotton production compared to tilled cotton cropping and grassland controls addressed with our first sampling in 2019.
3. Results and Discussion
3.1. Role of Management Practices on Soil Health and Functions in a Water-Limited Region
Many studies in water limited regions have shown improvements in soil health indicators with reduced tillage and more diversified rotations, together with benefits in yields and economic returns [39]. This included an increase in soil microbial properties and SOM in cold semiarid environments of eastern Wyoming [12] and North Dakota [39] to the hot, dry environment of eastern New Mexico [19]. Similarly, cover crops and irrigation enhanced soil enzyme activities and promoted soil microbial community development [40,41]. Several on-farm and research station experiments across the Central High Plains have demonstrated that crop diversification and reducing the frequency of summer fallow periods through cropping intensification can improve chemical, biological, and physical metrics of soil health, supporting improved profitability [42]. In a study under dryland research plots conducted in the SHP, the use of rye as a cover crop in a cotton rotation with sorghum increased microbial biomass N by up to 63% and soil enzyme activities between 21 and 37% compared to a sorghum and cotton rotation within the first three years [18]. The study reported that the yield produced or the above ground rye biomass during winters was not significant compared to forage or grain sorghum ranging from as low as 42.6 to 304 kg ha−1 depending on the year; however, the soil under the crop rotations with winter rye showed significant improvements to MBN and enzyme activities after three years.
In our study, which was conducted in commercial fields in the SHP, producers used wheat as a cover crop due to commodity pricing at the time of planting and for the eventual saving in seed cost. Our sampling in 2019, representing two years after conversion to no-tillage with wheat cover crop for cotton production, showed significant increases in many soil health indicators within these systems that varied in water management strategies (Table 2). The soil MBN was significantly lower in continuous conventionally tilled cotton than in no-tilled center-pivot or drip irrigated no-tilled cotton and was not significantly different from no-till dryland sites. It was also interesting that the soil MBN was not significantly different under no-tilled center-pivot fields and CRP, POXC, MBC and CNPS activity were also not significantly different across these sites; however, differences were found for FAME profiles. Bacterial and saprophytic fungi FAME markers were lower in conventionally tilled cotton sites compared to no-tillage cover crop sites with different irrigation strategies and CRP. The AMF marker was not different among agricultural sites, but was significantly higher under CRP sites which are known as undisturbed grasses for over 15 years.
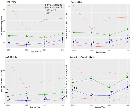
For the second part of the study in which soil samples were collected from 2019 to 2022, irrigated sites that were sampled at year two of the initiation of no-tillage and the wheat cover crop showed 33% higher total FAMEs compared to dryland counterpart sites (Figure 1). Bacterial markers and the AMF FAME markers measured from irrigated land doubled in concentration in the four years after transitioning to conservation management, whereas dryland areas only had a moderate increase in these FAMEs. This trend was also evident for other measured soil health indicators, demonstrating the importance of irrigation for encouraging soil microbial activities and processes. For example, SOM accumulation measured via POXC was also impacted in the no-tilled and cover crop irrigated site compared to the dryland sites, more than doubling since the first years of establishment (Figure 2). These trends in POXC can be significant for future changes in the microbial communities and their processes, as this assessment reflects different C sources in soils as substrates for microbial metabolism. We also found higher combined enzyme activities of C, N, P, and S nutrient cycling in the no-till and cover crop sites that were irrigated compared to dryland sites; however, the differences were not as high as with other soil health indicators. The key trend found for SOM dynamics was a strong positive relationship of total C and clay content across agricultural sites. Figure 3A revealed a change in total C across the sites with the transition to no-tillage and cover crop for both irrigated and dryland management (Figure 3B). The response was more linear in irrigated sites, which had higher total C than dryland sites.
Figure 1.
EL-FAMEs (total and microbial indicators) in sites under center-pivot irrigated (n = 2) and dryland (n = 4) no-till cotton production sampled from 2019 to 2022, representing years 2–5 of no-till conversion. The CRP grassland and conventionally tilled dryland control sites are reference only. Filled symbols represent treatments means; open symbols represent individual sites. Different letters indicate differences according to repeated measures ANOVA.
Figure 2.
(A) Permanganate-oxidizable carbon (POXC), and (B) combined soil enzymatic activity (CNPS) in sites under irrigated (n = 2) and dryland (n = 4) no-till cotton production sampled from 2019 to 2022, representing years 2–5 of no-till conversion. The CRP grassland and conventionally tilled dryland control sites are reference only. Filled symbols represent treatments means; open symbols represent individual sites. Different letters indicate differences according to repeated measures ANOVA.
Figure 3.
(A) Linear relationship between total soil carbon and soil clay+silt content during the first sample year. Y = 0.223X − 3.11, R2 = 0.827 *** (p > 0.001, n = 14). Linear model testing significance of irrigation, irrigation type, and silt + clay content found only silt + clay content (p > 0.001) was significant; (B) changes over time during transition to no-till cover cropping in C standardized by silt + clay content-based model. Dark gray area around lines represents 95% confidence interval according to Loess smoothing (n = 54).
Despite losing reference sites for conventionally tilled cotton due to changes in management, we observed dramatic differences between the conservation irrigated or dryland sites and the reference site used throughout the four years of the study (Figure 1 and Figure 2). Additionally, we also sampled two sites (sites #13 and 14, Table 1) before planting the wheat cover crop and representing their last tillage at that point, which allowed a calculation of the percent of change in these soil health indicators since the first year of the transition from conventionally tilled cotton management to these conservation management practices (Table 3). This assessment confirmed changes occur in the soil health indicators by the second year of this conversion. For example, total FAMEs were increased by 60% by year two with respect to the initial sampling before conversions. Among soil microbial community groups, the AMF marker showed a remarkable increase of 100% when compared to the baseline sampling before conversion. These increases in AMF for these dryland sites are important for a water-limited region as it has been suggested that AMF contributes to SOM pools through their exudates, live biomass, and necromass [16,38,43], and increases macroaggregate formation and stability [44]. The increase in this microbial marker for this comparison differs from the sampling in 2019 (representing two years of the conversion). Thus, confirming this trend is important as it can be ecologically significant in a changing climate because this microbial group can also be linked to increases in many functions related to water and nutrient availability to crops, and higher resilience of the community to climatic extremes. The combined assay for four different enzyme activities that evaluates enzymes involved in functions related to nutrient cycling showed an increase of almost 50% due to winter wheat as a cover crop with no-tillage. The increase in combined enzyme activities includes the assessment of β-glucosidase activity and β-glucosaminidase activity, which are involved in the degradation of most predominant polysaccharides, cellulose, and chitin, respectively. Our assessments suggest that many of the soil health indicators were not impacted until year two, demonstrating more time is needed for microbes to decompose the wheat biomass enough for it to be incorporated into SOM pools.
Table 3.
Changes in selected soil properties during the first three years (2020–2022) of conversion to no-till cotton cropping relative to baseline sampling the final year of tillage (2019) in two dryland sites (#13 and 14 in Table 1).
3.2. Challenges to No-Tillage and Cover Crop Management in Semiarid Cropping Systems
Before exploring the response of soil health indicators to cover crops and no-tillage in the SHP, it is necessary to recognize that the scenarios for eliminating summer fallow and how it affects the subsequent crop yield, net system productivity, and water availability vary significantly within the Ogallala Aquifer region. The SHP is experiencing a rapid decline of the Ogallala Aquifer water table due to low rainfall compared to other regions within the U.S. High Plains, which together, with the use of irrigation to sustain cotton production, has exceeded the aquifer recharge [45,46,47]. Transitioning to no-tillage and the use of a cover crop have been challenging to the producers in this region due to high evapotranspiration compared to the Northern High Plains. These factors make producers concerned about the water available to sustain crop yields after a cover crop within the cropping system. However, a study by Burke et al. [48] found that the adoption of conservation practices did not significantly reduce cotton lint yield compared to conventionally tilled winter fallow cotton from 2018 to 2020, representing 21–23 years in irrigated research plots in the SHP. The researchers observed that soil water was initially depleted under cover crops but was greater during the growing season following cover crop termination due to the increased capture and retention of water. The researchers also reported that water depletion and recharge were more dynamic through the soil profile with conservation practices compared to the conventionally tilled system [48]. Similar results of initial soil water depletion but greater cropping system soil water storage and water use efficiency, leading to 9–26% greater corn (Zea mays L.) yield and 18–32% greater sorghum [Sorghum bicolor (L.) Moench] silage yield were observed in forage corn and sorghum rotations in eastern New Mexico [49,50]. Another study in the SHP in research plots managed under dryland conditions did not find differences between cotton yields in a no-tilled cover crop (rye) cotton-sorghum system compared to sorghum-cotton and continuous cotton systems after five years [18]. This suggested no negative impacts on crop yields following cover crops in these dryland systems during the five year-study from 2003 to 2007. The study also showed significant inter annual changes in the biomass produced by all crop components of the systems evaluated, including cotton, due to the extreme fluctuations in precipitation between study years. These extreme climatic conditions of the SHP could have prevented the management history of cover crops from showing benefits in the cash crop yields at the end of the study in year five. Studies on the effect of annual climate variability in the SHP including a historically intense drought in 2011 [5,6,18] highlight another challenge to maintain the management history and consistent biomass production with cover crops to leave an additive fingerprint on soil health indicators.
In our study, the extreme climatic conditions found within 2019–2022 may have resulted in the variable biomass returned by the cover crops every year, which can affect the consistent or even additive increase in soil health indicators with time for the SHP. For example, the study year 2019 had above-average precipitation. However, there was a drought from 2019 to 2020 resulting in lower water availability than normal in soils in 2020 as reflected in the PDSI values of −3 (Figure 4). Precipitation was higher again during the summer of 2021 and the PDSI values were increased. However, there was no other precipitation event from August 2021 to the next year in May 2022. This can explain the variation in total FAMEs and many FAME markers observed in this study (Figure 1 and Figure 2). Overall, three of our four sampling times occurred during periods of negative PDSI values reflective of extremely dry conditions in soil. Similar fluctuations were found in another study conducted in the same region between 2018 and 2020 which reported a decrease in total FAMEs, total fungi, and functions related to nutrient cycling represented by multi-enzyme activities [11].
Figure 4.
Palmer Drought Severity Index (PDSI, represented by lines) at two weather stations within 22 km and 33 km of producer sites, and monthly precipitation (blue bars) at a weather station within 15 km of sites. The PDSI estimates relative dryness where 0 indicates normal conditions, while negative (orange background) and positive numbers (green background) represent drought and increased moisture, respectively. Soil sampling date represented by a black arrow for each year.
3.3. Ecological Implications of the Results of This Study in Commercial Fields: Knowledge Gaps and Limitations for Future Research
Transitioning to no-tillage and cover crops is challenging in water-limited regions with extreme climatic conditions. In our study, the use of wheat as a cover crop with or without irrigation was effective and ecologically beneficial over the first four years (Table 3). The measured soil health indicators reveal improvements in microbial communities and their processes within the first two years of transitioning to no-tillage with the use of winter wheat compared to conventionally tilled cotton. Our findings of improvements to soil health and functions related to SOM dynamics and biogeochemical cycling were based on our first sampling conducted in 2019 representing the second year after conversion compared to reference sites under conventionally tilled cotton. Additional confirmation was obtained from the changes over four years from multiple sites sampled after two years since their transition to wheat as a cover crop and the no-tillage practice, and by comparing the percent of change in two sites sampled prior and after the transition to these conservation practices. Our studies in producer fields need to consider other cover crops as producers may use other alternatives depending on the economic return and management of residues in their region during certain years. Studies by Acharya et al. [51] within the Southern High Plains in Clovis, NM, distinguished the response of soil health indicators related to chemical, physical, and biological parameters to the first four years of establishing different cover crops (mixture of grasses, brassicas and legumes, grasses and brassicas, grasses and legumes) for an irrigated forage corn–sorghum rotation in research plots. The study also highlighted how SOC, SOC mineralization, microbial biomass C, mineral-associated organic C (MAOC), and particulate organic C (POC) were greater under cover crops than under no cover crops, but the effects were not consistent in all study years due to the climatic variability experienced in the area.
Limitations for soil health initiatives include the lack of consensus for the most relevant soil health indicators [52,53]. Thus, studies can vary on the soil health indicators used. Our study included a set of indicators that represent different pools of soil organic matter, pH, microbial properties, and enzyme activities involved in nutrient cycling, which have responded to specific management strategies [54,55,56], cropping systems [55,57,58], tillage [59], and climate variability [6] in many regions including the SHP. These indicators have defined thresholds (i.e., rankings of poor to good) and have been benchmarked nationally [60]. The biological and biochemical indicators have especially been documented as those with higher sensitivity to management and relationships with soil processes [54,61]. Our study points to EL-FAME as the most sensitive to the management among other soil health indicators used for producer fields, followed by POXC and then combined enzyme activities. Producers could benefit from having the EL-FAME profiling as part of soil health evaluations performed on their samples in commercial labs. Trends from total FAMEs and microbial group markers including saprophytic fungi and AMF are associated with several functions related to aggregate and soil stability, SOM dynamics, and we are close to linking them to water conservation and resilience to drought [6].
A unique aspect of our research is the use of producer fields that demonstrated the real challenges and limitations in transitioning to no-tillage and cover crop management every year [11]. Although there were changes in management for certain sites which excluded them from the study, the sites included in this study represented a consistent transition to these management strategies for four consecutive years. A scale-up experiment at the Kellogg biological station also shows high variability in the responses of soil health indicators in landscape scale comparisons [62]. However, the study also shows that on-farm and landscape scale studies are valuable because they show how multiple factors influence landscape responses to management changes. For example, fields with high clay content had a faster rate of SOC accumulation (Figure 1 and Figure 2). Our study also showed the effect of irrigation on soil microbial community composition due to extreme climate conditions and variability experienced in this region, and by comparing between irrigation and no-irrigation (dryland). Despite the importance of water for plant and biological activities, especially in the semiarid region, both irrigated and dryland sites showed a response of the soil health indicators to these management transitions. At this early point in the study, having fewer irrigated sites compared to dryland prevented elucidating any interactions between water management strategies and the transition to no-till. The continuation of this study, and potentially increasing the number of sites, will provide long-term trends under different climatic conditions at producer fields and will offer a framework for soil health assessment for these management strategies in a water-limited environment. Long-term studies could also establish linkages between different soil health indicators and soil functions related to soil water, biogeochemical cycling, soil organic matter, and productivity.
4. Conclusions
Our study demonstrated the potential of cover crops and no-tillage to improve agricultural sustainability in water-limited environments by enhancing soil health indicators linked to soil C sequestration, nutrient cycling, and soil water conservation. However, solutions are unique for regions that experience different challenges to maintaining diverse management options and cropping systems every year due to crop failure resulting from frequent droughts. Thus, frequent samplings and the use of sensitive soil health indicators linked to many functions including soil water are needed to make better recommendations of changes in soil health in the SHP and other areas with limited water. Despite these challenges, our study provides evidence that implementing conservation management practices to increase soil health are effective even in water-limited production systems. Early trends of the increases in soil health indicators within two years, especially within the microbial communities including AMF due to no-tillage and incorporation of wheat into the cropping system, are beneficial in functions relating to soil biodiversity, SOM, biogeochemical cycling, and resilience to climate extremes. Long-term studies are needed to follow these trends especially due to extreme climate variability including severe and frequent droughts.
Author Contributions
V.A.-M.—Conceptualization, methodology, original draft and editing, project administration; J.C.—conceptualization, data collection and data analysis, editing; L.C.S.—investigation, review and editing; R.G.—investigation, review and editing; W.R.—investigation, data collection, review and editing. All authors have read and agreed to the published version of the manuscript.
Funding
No specific grant was used for this project. This work was performed by scientists from the USDA-ARS and in collaboration with colleagues from Texas Tech University and New Mexico State University.
Institutional Review Board Statement
Not applicable.
Informed Consent Statement
Not applicable.
Data Availability Statement
The data reported in this publication will be publicly accessible in the National Agricultural Library (NAL) of the United States at https://www.nal.usda.gov, accessed on 3 August 2023.
Acknowledgments
The authors would like to thank Lacy Vardeman for allowing samplings in their fields, and for coordinating with other producers to take samples from their fields as well during this four year project. We are also grateful to Elizabeth Brzozowske for her assistance analyzing soil samples.
Conflicts of Interest
The authors declare no conflict of interest. USDA Disclaimer: Trade names and company names are included for the benefit of the reader and do not infer any endorsement or preferential treatment of the product by USDA-ARS. USDA-ARS is an equal opportunity provider and employer.
References
- Claassen, R.; Bowman, M.; McFadden, J.; Smith, D.; Wallander, S. Tillage Intensity and Conservation Cropping in the United States; United States Department of Agriculture, Economic Research Service: Washington, DC, USA, 2018.
- IPCC (Intergovernmental Panel on Climate Change). Climate Change 2007: Synthesis Report; Contribution of Working Groups I, II and III to the Fourth Assessment Report of the Intergovernmental Panel on Climate Change; Core Writing Team, Pachauri, R.K., Reisinger, A., Eds.; IPCC: Geneva, Switzerland, 2007; p. 104.
- Deines, J.M.; Schipanski, M.E.; Golden, B.; Zipper, S.C.; Nozari, S.; Rottler, C.; Guerrero, B.; Sharda, V. Transitions from irrigated to dryland agriculture in the Ogallala Aquifer: Land use suitability and regional economic impacts. Agric. Water Manag. 2020, 233, 106061. [Google Scholar] [CrossRef]
- Acosta-Martínez, V.; Cotton, J.; Gardner, T.; Moore-Kucera, J.; Zak, J.; Wester, D.; Cox, S. Predominant bacterial and fungal assemblages in agricultural soils during a record drought/heat wave and linkages to enzyme activities of biogeochemical cycling. Appl. Soil Ecol. 2014, 84, 69–82. [Google Scholar] [CrossRef]
- Acosta-Martinez, V.; Moore-Kucera, J.; Cotton, J.; Gardner, T.; Wester, D. Soil enzyme activities during the 2011 Texas record drought/heat wave and implications to biogeochemical cycling and organic matter dynamics. Appl. Soil Ecol. 2014, 75, 43–51. [Google Scholar] [CrossRef]
- Pérez-Guzmán, L.; Acosta-Martínez, V.; Phillips, L.A.; Mauget, S.A. Resilience of the microbial communities of semiarid agricultural soils during natural climatic variability events. Appl. Soil Ecol. 2020, 149, 103487. [Google Scholar] [CrossRef]
- Minasny, B.; McBratney, A.B. Limited effect of organic matter on soil available water capacity. Eur. J. Soil Sci. 2018, 69, 39–47. [Google Scholar] [CrossRef]
- Chen, L.; Sun, S.; Yao, B.; Peng, Y.; Gao, C.; Qin, T.; Zhou, Y.; Sun, C.; Quan, W. Effects of straw return and straw biochar on soil properties and crop growth: A review. Front. Plant Sci. 2022, 13, 986763. [Google Scholar] [CrossRef] [PubMed]
- Li, C.; Fultz, L.M.; Moore-Kucera, J.; Acosta-Martínez, V.; Horita, J.; Strauss, R.; Zak, J.; Calderón, F.; Weindorf, D. Soil carbon sequestration potential in semi-arid grasslands in the Conservation Reserve Program. Geoderma 2017, 294, 80–90. [Google Scholar] [CrossRef]
- Nilahyane, A.; Ghimire, R.; Acharya, B.S.; Schipanski, M.E.; West, C.P.; Obour, A.K. Overcoming agricultural sustainability challenges in water-limited environments through soil health and water conservation: Insights from the Ogallala Aquifer Region, USA. Int. J. Agric. Sustain. 2023, 21, 2211484. [Google Scholar] [CrossRef]
- Bhandari, K.B.; Acosta-Martínez, V.; Pérez-Guzmán, L.; West, C.P. Soil health within transitions from irrigation to limited irrigation and dryland management. Agric. Environ. Lett. 2022, 7, e20077. [Google Scholar] [CrossRef]
- Ghimire, R.; Norton, J.B.; Stahl, P.D.; Norton, U. Soil Microbial Substrate Properties and Microbial Community Responses under Irrigated Organic and Reduced-Tillage Crop and Forage Production Systems. PLoS ONE 2014, 9, e103901. [Google Scholar] [CrossRef]
- Kallenbach, C.M.; Frey, S.D.; Grandy, A.S. Direct evidence for microbial-derived soil organic matter formation and its ecophysiological controls. Nat. Commun. 2016, 7, 13630. [Google Scholar] [CrossRef] [PubMed]
- Acosta-Martínez, V.; Dowd, S.E.; Bell, C.W.; Lascano, R.; Booker, J.D.; Zobeck, T.M.; Upchurch, D.R. Microbial Community Composition as Affected by Dryland Cropping Systems and Tillage in a Semiarid Sandy Soil. Diversity 2010, 2, 910–931. [Google Scholar] [CrossRef]
- Blanco-Canqui, H.; Lal, R. Mechanisms of Carbon Sequestration in Soil Aggregates. Crit. Rev. Plant Sci. 2004, 23, 481–504. [Google Scholar] [CrossRef]
- Li, C.; Fultz, L.M.; Moore-Kucera, J.; Acosta-Martínez, V.; Kakarla, M.; Weindorf, D.C. Soil microbial community restoration in Conservation Reserve Program semi-arid grasslands. Soil Biol. Biochem. 2018, 118, 166–177. [Google Scholar] [CrossRef]
- Pérez-Guzmán, L.; Phillips, L.A.; Seuradge, B.J.; Agomoh, I.; Drury, C.F.; Acosta-Martínez, V. An evaluation of biological soil health indicators in four long-term continuous agroecosystems in Canada. Agrosyst. Geosci. Environ. 2021, 4, e20164. [Google Scholar] [CrossRef]
- Acosta-Martínez, V.; Lascano, R.; Calderón, F.; Booker, J.D.; Zobeck, T.M.; Upchurch, D.R. Dryland cropping systems influence the microbial biomass and enzyme activities in a semiarid sandy soil. Biol. Fertil. Soils 2011, 47, 655–667. [Google Scholar] [CrossRef]
- Thapa, V.R.; Ghimire, R.; Duval, B.D.; Marsalis, M.A. Conservation Systems for Positive Net Ecosystem Carbon Balance in Semiarid Drylands. Agrosyst. Geosci. Environ. 2019, 2, 190022. [Google Scholar] [CrossRef]
- Paustian, K.; Lehmann, J.; Ogle, S.; Reay, D.; Robertson, G.P.; Smith, P. Climate-smart soils. Nature 2016, 532, 49–57. [Google Scholar] [CrossRef] [PubMed]
- Ghimire, R.; Norton, U.; Bista, P.; Obour, A.K.; Norton, J.B. Soil organic matter, greenhouse gases and net global warming potential of irrigated conventional, reduced-tillage and organic cropping systems. Nutr. Cycl. Agroecosyst. 2016, 107, 49–62. [Google Scholar] [CrossRef]
- Hendrickson, J.; Liebig, M.; Sassenrath, G. Environment and integrated agricultural systems. Renew. Agric. Food Syst. 2008, 23, 304–313. [Google Scholar] [CrossRef]
- Liebig, M.A.; Tanaka, D.L.; Krupinsky, J.M.; Merrill, S.D.; Hanson, J.D. Dynamic cropping systems: Contributions to improve agroecosystem sustainability. Agron. J. 2007, 99, 899–903. [Google Scholar] [CrossRef]
- Ghimire, R.; Ghimire, B.; Mesbah, A.O.; Sainju, U.M.; Idowu, O.J. Soil Health Response of Cover Crops in Winter Wheat–Fallow System. Agron. J. 2019, 111, 2108–2115. [Google Scholar] [CrossRef]
- Thapa, V.R.; Ghimire, R.; VanLeeuwen, D.; Acosta-Martínez, V.; Shukla, M. Response of soil organic matter to cover cropping in water-limited environments. Geoderma 2022, 406, 115497. [Google Scholar] [CrossRef]
- Schroeder, J.L.; Burgett, W.S.; Haynie, K.B.; Sonmez, I.; Skwira, G.D.; Doggett, A.L.; Lipe, J.W. The West Texas Mesonet: A Technical Overview. J. Atmos. Ocean. Technol. 2005, 22, 211–222. [Google Scholar] [CrossRef]
- Schutter, M.E.; Dick, R.P. Microbial community profiles and activities among aggregates of winter fallow and cover-cropped soil. Soil Sci. Soc. Am. J. 2002, 66, 142–153. [Google Scholar] [CrossRef]
- Li, C.; Cano, A.; Acosta-Martinez, V.; Veum, K.S.; Moore-Kucera, J. A comparison between fatty acid methyl ester profiling methods (PLFA and EL-FAME) as soil health indicators. Soil Sci. Soc. Am. J. 2020, 84, 1153–1169. [Google Scholar] [CrossRef]
- Zelles, L. Fatty acid patterns of microbial phospholipids and lipopolysaccharides. In Methods in Soil Biology; Schinner, F., Öhlinger, R., Kandeler, E., Margesin, R., Eds.; Springer: Berlin/Heidelberg, Germany, 1996; pp. 80–93. [Google Scholar]
- Weil, R.R.; Islam, K.R.; Stine, M.A.; Gruver, J.B.; Samson-Liebig, S.E. Estimating active carbon for soil quality assessment: A simplified method for laboratory and field use. Am. J. Altern. Agric. 2003, 18, 3–17. [Google Scholar] [CrossRef]
- Culman, S.W.; Freeman, M.; Snapp, S.S. Procedure for the Determination of Permanganate Oxidizable Carbon. Kellogg Biological Station-Long Term Ecological Research Protocols, Hickory Corners, MI. 2012. Available online: http://lter.kbs.msu.edu/protocols/133 (accessed on 8 June 2016).
- Brookes, P.C.; Landman, A.; Pruden, G.; Jenkinson, D.S. Chloroform fumigation and the release of soil nitrogen: A rapid direct extraction method to measure microbial biomass nitrogen in soil. Soil Biol. Biochem. 1985, 17, 837–842. [Google Scholar] [CrossRef]
- Vance, E.D.; Brookes, P.C.; Jenkinson, D.S. An extraction method for measuring microbial biomass C. Soil Biol. Biochem. 1987, 19, 703–707. [Google Scholar] [CrossRef]
- Wu, J.; Joergensen, R.G.; Pommerening, B.; Chaussod, R.; Brookes, P.C. Measurement of soil microbial biomass C by fumigation extraction—An autoclaved procedure. Soil. Biol. Biochem. 1990, 22, 1167–1169. [Google Scholar] [CrossRef]
- Jenkinson, D.S. Determination of microbial biomass carbon and nitrogen in soil. In Advances in Nitrogen Cycling in Agricultural Ecosystems; Wilson, J.R., Ed.; CAB International: Wallingford, UK, 1988; pp. 368–386. [Google Scholar]
- Acosta-Martínez, V.; Pérez-Guzmán, L.; Johnson, J.M. Simultaneous determination of β-glucosidase, β-glucosaminidase, acid phosphomonoesterase, and arylsulfatase activities in a soil sample for a biogeochemical cycling index. Appl. Soil Ecol. 2019, 142, 72–80. [Google Scholar] [CrossRef]
- R Core Team. R: A Language and Environment for Statistical Computing. R Foundation for Statistical Computing, Vienna, Austria. Version 4.1.1. Available online: https://www.r-project.org/ (accessed on 12 June 2023).
- Cano, A.; Núñez, A.; Acosta-Martinez, V.; Schipanski, M.; Ghimire, R.; Rice, C.; West, C. Current knowledge and future research directions to link soil health and water conservation in the Ogallala Aquifer region. Geoderma 2018, 328, 109–118. [Google Scholar] [CrossRef]
- Halvorson, A.D.; Wienhold, B.J.; Black, A.L. Tillage, Nitrogen, and Cropping System Effects on Soil Carbon Sequestration. Soil Sci. Soc. Am. J. 2002, 66, 906–912. [Google Scholar] [CrossRef]
- Thapa, V.R.; Ghimire, R.; Acosta-Martínez, V.; Marsalis, M.A.; Schipanski, M.E. Cover crop biomass and species composition affect soil microbial community structure and enzyme activities in semiarid cropping systems. Appl. Soil Ecol. 2021, 157, 103735. [Google Scholar] [CrossRef]
- Calderón, F.J.; Nielsen, D.; Acosta-Martínez, V.; Vigil, M.F.; Lyon, D. Cover Crop and Irrigation Effects on Soil Microbial Communities and Enzymes in Semiarid Agroecosystems of the Central Great Plains of North America. Pedosphere 2016, 26, 192–205. [Google Scholar] [CrossRef]
- Rosenzweig, S.T.; Stromberger, M.E.; Schipanski, M.E. Intensified dryland crop rotations support greater grain production with fewer inputs. Agric. Ecosyst. Environ. 2018, 264, 63–72. [Google Scholar] [CrossRef]
- Frey, S.D. Mycorrhizal fungi as mediators of soil organic matter dynamics. Annu. Rev. Ecol. Evol. Syst. 2019, 50, 237–259. [Google Scholar] [CrossRef]
- Morris, E.K.; Morris, D.J.P.; Vogt, S.; Gleber, S.-C.; Bigalke, M.; Wilcke, W.; Rillig, M.C. Visualizing the dynamics of soil aggregation as affected by arbuscular mycorrhizal fungi. ISME J. 2019, 13, 1639–1646. [Google Scholar] [CrossRef]
- Allen, V.G.; Brown, C.P.; Kellison, R.; Segarra, E.; Green, C.J.; Wheeler, T.A.; Dotray, P.A.; Conkwright, J.C.; Green, C.J.; Acosta-Martinez, V. Integrating cotton and beef production to reduce water withdrawal from the Ogallala Aquifer in the Southern High Plains. Agron. J. 2005, 97, 556–567. [Google Scholar] [CrossRef]
- Allen, V.G.; Brown, C.P.; Segarra, E.; Green, C.J.; Wheeler, T.A.; AcostaMartinez, V.; Zobeck, T.M. In search of sustainable agricultural systems for the Llano Estacado of the U.S. Southern High Plains. Agric. Ecosyst. Environ. 2008, 124, 3–12. [Google Scholar] [CrossRef]
- Allen, V.G.; Brown, C.P.; Kellison, R.; Green, P.; Zilverberg, C.J.; Johnson, P.; Weinheimer, J.; Wheeler, T.; Segarra, E.; Acosta-Martinez, V.; et al. Integrating Cotton and Beef Production in the Texas Southern High Plains: I. Water Use and Measures of Productivity. Agron. J. 2012, 104, 1625–1642. [Google Scholar] [CrossRef]
- Burke, J.A.; Lewis, K.L.; DeLaune, P.B.; Cobos, C.J.; Keeling, J.W. Soil Water Dynamics and Cotton Production following Cover Crop Use in a Semi-Arid Ecoregion. Agronomy 2022, 12, 1306. [Google Scholar] [CrossRef]
- Paye, W.S.; Ghimire, R.; Acharya, P.; Nilahyane, A.; Mesbah, A.O.; Marsalis, M.A. Cover crop water use and corn silage production in -semi-arid irrigated conditions. Agric. Water Manag. 2022, 260, 107275. [Google Scholar] [CrossRef]
- Paye, W.S.; Acharya, P.; Ghimire, R. Water productivity of forage sorghum in response to winter cover crops in semi-arid irrigated conditions. Field Crop. Res. 2022, 283, 108552. [Google Scholar] [CrossRef]
- Acharya, P.; Ghimire, R.; Acosta-Martinez, V. Mechanisms of cover crop-mediated soil carbon storage in a semi-arid irrigated cropping. 2023; under review. [Google Scholar]
- Rinot, O.; Levy, G.J.; Steinberger, Y.; Svoray, T.; Eshel, G. Soil health assessment: A critical review of current methodologies and a proposed new approach. Sci. Total. Environ. 2019, 648, 1484–1491. [Google Scholar] [CrossRef]
- Wade, J.; Culman, S.W.; Gasch, C.K.; Lazcano, C.; Maltais-Landry, G.; Margenot, A.J.; Martin, T.K.; Potter, T.S.; Roper, W.R.; Ruark, M.D.; et al. Rigorous, empirical, and quantitative: A proposed pipeline for soil health assessments. Soil Biol. Biochem. 2022, 170, 108710. [Google Scholar] [CrossRef]
- Stott, D.E.; Andrews, S.S.; Liebig, M.A.; Wienhold, B.J.; Karlen, D.L. Evaluation of β-Glucosidase Activity as a Soil Quality Indicator for the Soil Management Assessment Framework. Soil Sci. Soc. Am. J. 2010, 74, 107–119. [Google Scholar] [CrossRef]
- Veum, K.S.; Goyne, K.W.; Kremer, R.J.; Miles, R.J.; Sudduth, K.A. Biological indicators of soil quality and soil organic matter characteristics in an agricultural management continuum. Biogeochemistry 2014, 117, 81–99. [Google Scholar] [CrossRef]
- Pérez-Guzmán, L.; Phillips, L.A.; Acevedo, M.A.; Acosta-Martínez, V. Comparing biological methods for soil health assessments: EL-FAME, enzyme activities, and qPCR. Soil Sci. Soc. Am. J. 2021, 85, 636–653. [Google Scholar] [CrossRef]
- Bandick, A.K.; Dick, R.P. Field management effects on soil enzyme activities. Soil Biol. Biochem. 1999, 31, 1471–1479. [Google Scholar] [CrossRef]
- Cotton, J.; Acosta-Martínez, V.; Moore-Kucera, J.; Burow, G. Early changes due to sorghum biofuel cropping systems in soil microbial communities and metabolic functioning. Biol. Fertil. Soils 2013, 49, 403–413. [Google Scholar] [CrossRef]
- Cotton, J.; Acosta-Martínez, V. Intensive Tillage Converting Grassland to Cropland Immediately Reduces Soil Microbial Community Size and Organic Carbon. Agric. Environ. Lett. 2018, 3, 180047. [Google Scholar] [CrossRef]
- Stewart, R.D.; Jian, J.; Gyawali, A.J.; Thomason, W.E.; Badgley, B.D.; Reiter, M.S.; Strickland, M.S. What We Talk about When We Talk about Soil Health. Agric. Environ. Lett. 2018, 3, 180033. [Google Scholar] [CrossRef]
- Frankenberger, W.T., Jr.; Dick, W.A. Relationships Between Enzyme Activities and Microbial Growth and Activity Indices in Soil. Soil Sci. Soc. Am. J. 1983, 47, 945–951. [Google Scholar] [CrossRef]
- Ladoni, M.; Basir, A.; Robertson, P.G.; Kravchenko, A.N. Scaling-up: Cover crops differentially influence soil carbon in agricultural fields with diverse topography. Agric. Ecosyst. Environ. 2016, 225, 93–103. [Google Scholar] [CrossRef]
Disclaimer/Publisher’s Note: The statements, opinions and data contained in all publications are solely those of the individual author(s) and contributor(s) and not of MDPI and/or the editor(s). MDPI and/or the editor(s) disclaim responsibility for any injury to people or property resulting from any ideas, methods, instructions or products referred to in the content. |
© 2023 by the authors. Licensee MDPI, Basel, Switzerland. This article is an open access article distributed under the terms and conditions of the Creative Commons Attribution (CC BY) license (https://creativecommons.org/licenses/by/4.0/).



