Sign in to use this feature.

Years

Between: -

Subjects

remove_circle_outline
remove_circle_outline
remove_circle_outline
remove_circle_outline
remove_circle_outline
remove_circle_outline
remove_circle_outline
remove_circle_outline
remove_circle_outline

Journals

remove_circle_outline
remove_circle_outline
remove_circle_outline
remove_circle_outline
remove_circle_outline
remove_circle_outline
remove_circle_outline
remove_circle_outline
remove_circle_outline

Article Types

Countries / Regions

remove_circle_outline
remove_circle_outline
remove_circle_outline
remove_circle_outline
remove_circle_outline
remove_circle_outline
remove_circle_outline

Search Results (2,504)

Search Parameters:
Keywords = tillage

Order results
Result details
Results per page
Select all
Export citation of selected articles as:
19 pages, 1785 KB  
Article
Effects of Rotary Tillage and Fertilization on Chemical Properties and Microbial Communities of Soil Under Continuous Morchella Mushroom Cultivation
by Wei Qi, Litao Lü, Kai Huang, Jianzhao Qi, Minglei Li, Mingwen Shi and Hong Wang
Biology 2026, 15(9), 674; https://doi.org/10.3390/biology15090674 - 24 Apr 2026
Abstract
The severe continuous cropping obstacles in Morchella cultivation, driven primarily by soil microecological imbalance, critically constrain the sustainable development of the industry. To address this challenge, this study evaluated the efficacy of rotary tillage, calcium cyanamide (CaCN2), and organic fertilizer, applied [...] Read more.
The severe continuous cropping obstacles in Morchella cultivation, driven primarily by soil microecological imbalance, critically constrain the sustainable development of the industry. To address this challenge, this study evaluated the efficacy of rotary tillage, calcium cyanamide (CaCN2), and organic fertilizer, applied individually and in combination, in mitigating these obstacles and explored the underlying microbial mechanisms. The soil was treated on 5 August 2024, and soil samples were collected on 5 October 2024. Four treatments were established: continuous cropping control (CK), rotary tillage (XGX), rotary tillage combined with calcium cyanamide (MPD), and rotary tillage combined with calcium cyanamide and organic fertilizer (MPX). Soil chemical properties were analyzed in conjunction with metagenomic sequencing to characterize the responses of soil properties and microbial communities, including both eukaryotic and bacterial taxa. The results indicated that the MPD treatment showed a relatively pronounced effect in enhancing key soil fertility indicators, including soil organic matter (OM), total nitrogen (TN), available nitrogen (AN), available potassium (AK), and total phosphorus (TP). All amendments significantly altered microbial community structures. Specifically, the integrated MPX treatment effectively reduced the relative abundance of the pathogenic fungus Olpidium while maintaining higher overall microbial diversity. It also significantly promoted the abundance of Morchella itself and beneficial bacterial phyla such as Actinomycetota and Pseudomonadota. Redundancy analysis identified AN and AK as the primary drivers of eukaryotic community variation, whereas Availa-ble phosphorus (AP) and potential of hydrogen (pH) were the key factors shaping the bacterial community. The results indicated that MPD was the showed relatively pronounced effectiveness in rapidly improving soil fertility and suppressing pathogenic fungi. In contrast, MPX showed relatively better performance in optimizing microbial community structure, enhancing microbial diversity, and strengthening overall ecological stability. These two treatments exhibited distinct advantages in soil chemical improvement and microbial community regulation, respectively, thereby providing alternative practical strategies and a theoretical basis for the ecological management of continuous-cropping obstacles in Morchella cultivation. It should be noted that this study did not include treatments with calcium cyanamide alone, organic fertilizer alone, or their combined application without rotary tillage. This is primarily because rotary tillage is a standard land preparation practice in Morchella cultivation, and the use of soil amendments without accompanying tillage is rarely adopted under practical production conditions. Full article
(This article belongs to the Section Microbiology)
20 pages, 4880 KB  
Article
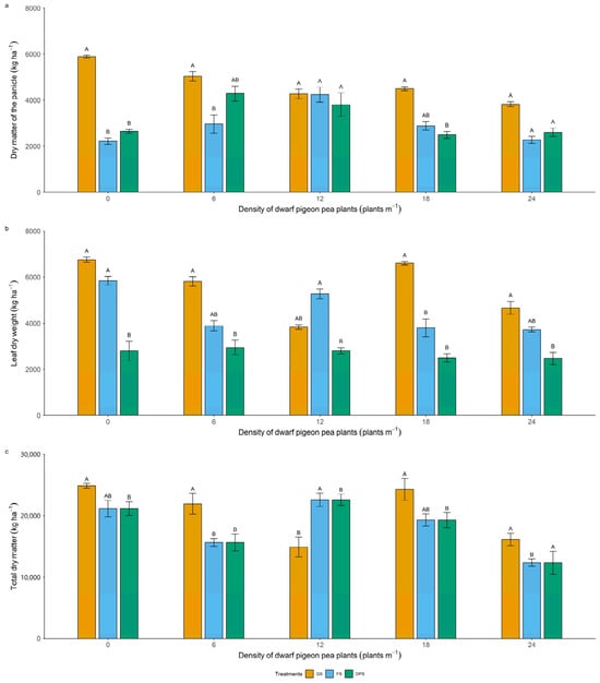
Intercropping of Sorghum, Urochloa Grass, and Dwarf Pigeon Pea Under a No-Tillage System for Silage Production
by Luiz Paulo Montenegro Miranda, Viviane Cristina Modesto, Deyvison de Asevedo Soares, Aline Marchetti Silva Matos, Nelson Câmara de Souza Júnior, Vitória Almeida Moreira Girardi, Naiane Antunes Alves Ribeiro, Jussara Souza Salles, Isabelli Cristini dos Santos and Marcelo Andreotti
Agronomy 2026, 16(9), 865; https://doi.org/10.3390/agronomy16090865 - 24 Apr 2026
Abstract
Intercropping systems involving sorghum, grasses, and legumes can enhance forage production and improve sustainability under no-tillage systems. In the context of agricultural systems, the effective selection of rotational species is essential, as they contribute to soil system dynamics and provide feed for livestock. [...] Read more.
Intercropping systems involving sorghum, grasses, and legumes can enhance forage production and improve sustainability under no-tillage systems. In the context of agricultural systems, the effective selection of rotational species is essential, as they contribute to soil system dynamics and provide feed for livestock. In this study, the dry matter production of grain sorghum (GS: cultivar A 9902), forage sorghum (FS: cultivar Volumax), and dual-purpose sorghum (DPS: cultivar Rancheiro) intercropped with Urochloa brizantha and dwarf pigeon pea was evaluated at five sowing densities (0 to 24 seeds m−1) over two growing seasons (2018 and 2019), conducted in a randomized complete block design under autumn growing conditions. Biometric and productive traits of sorghum were assessed, as well as the dry matter production of the companion species, in order to understand interspecific interactions within the system. Sorghum dry matter yield was not affected by pigeon pea density, indicating high stability of the main crop. Grain sorghum (GS) and forage sorghum (FS) showed higher production in the first season (20,428 and 18,210 kg ha−1, respectively), whereas dual-purpose sorghum (DPS) performed best in the second season (25,388 kg ha−1). GS exhibited the highest panicle production, exceeding the other cultivars by up to 55%. Increasing pigeon pea density enhanced its biomass production but reduced Urochloa production by up to 50%; however, Urochloa showed better performance when intercropped with GS and FS. Sorghum morphological traits were not affected, and overall, the intercropping system maintained sorghum productivity while increasing total biomass, demonstrating potential for silage production and pasture establishment. Full article
(This article belongs to the Section Agricultural Biosystem and Biological Engineering)
Show Figures

Figure 1

37 pages, 14671 KB  
Article
A Landsat-Based Framework for Long-Term Mapping of Topsoil Sand Content in Croplands
by Hongjie Wang, Kun Shang, Weichao Sun, Yisong Xie and Chenchao Xiao
Remote Sens. 2026, 18(9), 1303; https://doi.org/10.3390/rs18091303 - 24 Apr 2026
Abstract
Topsoil sand content (TSC) is a critical indicator of soil degradation in black soil regions, yet its long-term dynamics remain poorly quantified. To address this, we developed an automated Landsat-based framework on Google Earth Engine (GEE) for mapping cropland TSC across the Northeast [...] Read more.
Topsoil sand content (TSC) is a critical indicator of soil degradation in black soil regions, yet its long-term dynamics remain poorly quantified. To address this, we developed an automated Landsat-based framework on Google Earth Engine (GEE) for mapping cropland TSC across the Northeast China Black Soil Region (NCBSR) from 1984 to 2023. The methodology integrates a hierarchical bare-soil extraction strategy using the Normalized Difference Bare Soil Index (NDBSI), Normalized Difference Vegetation Index (NDVI), and Normalized Difference Tillage Index (NDTI) with a Random Forest (RF) model optimized by three-band spectral indices and a “prediction-first” compositing workflow. Results demonstrate that the bare-soil extraction achieved an overall accuracy of 96%, while the TSC retrieval model maintained robust performance with a coefficient of determination (R²) of 0.80 and a root mean square error (RMSE) of 9.68%, together with satisfactory temporal transferability. Long-term mapping revealed a significant biphasic evolutionary trajectory: 23.4% of croplands experienced soil coarsening predominantly before 2000, followed by a partial reversal and stabilization in later decades. This framework provides a high-resolution, multi-decadal baseline for monitoring soil physical degradation and supports sustainable agricultural management in global black soil regions. Full article
25 pages, 4654 KB  
Article
Optimization and Experimental Study on No-Tillage Dense Planting Precision Seed-Fertilizer Co-Sowing System for Maize Oriented to High-Yield Agronomy
by Zhongyi Yu, Guangfu Wang, Xiongkui He, Wangsheng Gao, Yuanquan Chen, Kuan Ren, Xing Nian and Chaogang Li
Agronomy 2026, 16(9), 860; https://doi.org/10.3390/agronomy16090860 - 24 Apr 2026
Abstract
To solve the problems of low seeding precision and the poor operational adaptability of traditional no-till seeders under dense planting mode, and meet the agronomic requirements for high maize yield, this study carried out optimization and experimental research on the no-till precision fertilizer-seed [...] Read more.
To solve the problems of low seeding precision and the poor operational adaptability of traditional no-till seeders under dense planting mode, and meet the agronomic requirements for high maize yield, this study carried out optimization and experimental research on the no-till precision fertilizer-seed co-sowing system for maize with wide-narrow row dense planting, relying on the experimental base of the Science and Technology Courtyard for Super High-Yield Cropping Systems in Qihe, China Agricultural University. Through modular integration and the optimization of key components, precise row spacing adjustment and improved sowing depth consistency in complex plots were achieved. A tractor-implement integrated a kinematic model and a dynamic model of the seed metering tube, which were constructed to quantify the correlation between operational parameters and motion states, providing theoretical support for structural parameter optimization. Field tests showed that all operational quality indicators of the system met the local high-yield requirements for no-till dense planting; the comprehensive performance was optimal at a density of 75,000 plants·ha−1, with the best seeding uniformity (coefficient of variation: 5.65%), seedling emergence and seedling uniformity, which is well adapted to the agronomic characteristics of the wheat–maize rotation areas in the Huang-Huai-Hai Plain. Subsequent optimization by reducing the operating speed and increasing the spring stiffness can further improve the operational quality, realize the deep integration of agronomy and agricultural machinery, provide agricultural machinery support for high-yield and high-quality maize cultivation, and is of great significance for improving agricultural production efficiency and resource utilization. Full article
(This article belongs to the Section Innovative Cropping Systems)
27 pages, 1269 KB  
Article
Ecosystem-Based Adaptation Practices for Climate Resilience: Evidence from Smallholder Farmers’ Perceptions of Co-Benefits and Adoption Decisions in Mabalane District, Mozambique
by Claudius Patrick Waran, Jaime Carlos Macuácua and Nicia Giva
Sustainability 2026, 18(9), 4150; https://doi.org/10.3390/su18094150 - 22 Apr 2026
Viewed by 122
Abstract
This study was designed to evaluate and explore the ecosystem-based adaptation practices for climate resilience with evidence from smallholder farmers’ perceptions of co-benefits and adoption decisions in Mabalane district, Mozambique. Ecosystem-based adaptation practice emerged as a sustainable approach to enhance rainfed smallholder farmers’ [...] Read more.
This study was designed to evaluate and explore the ecosystem-based adaptation practices for climate resilience with evidence from smallholder farmers’ perceptions of co-benefits and adoption decisions in Mabalane district, Mozambique. Ecosystem-based adaptation practice emerged as a sustainable approach to enhance rainfed smallholder farmers’ climate resilience while delivering multiple social, economic and environmental co-benefits. This study evaluated and explored the perceived co-benefits from adopting ecosystem-based adaptation practices and examined how they shape adoption decisions among the rainfed smallholder farmers. A mixed-method approach was employed, combining a household survey of 360 farm household heads, key informant interviews and focus group discussions. The main findings of the study revealed mixed cropping (83.9%), integrated crop-livestock (57.2%), and mulch tillage (51.1%) as the most adopted practices, as well as smallholder farmers perceiving multiple ecological and socio-economical co-benefits from adopting ecosystem-based adaptation practices. Although the study confirmed statistically significant relationships between ecosystem-based adaptation practices and the perceived co-benefits, none of the perceived co-benefits were significantly associated with an increase in the number of the adopted practices. Therefore, it is concluded that adoption decisions among smallholder farmers are not shaped by perceived ancillary benefits from ecosystem-based adaptation practices alone, but a combination of enabling conditions and resources endowments. Full article
Show Figures

Figure 1

23 pages, 2606 KB  
Article
Subsoiling with Liquid Manure Injection Enhances Soil Carbon Retention, Soil Quality, and Yield Sustainability in a Wheat–Maize System in the North China Plain: Results of a 2-Year Field Experiment
by Yuanfeng Hao, Xuebai Guo, Yifan Zhang, Hongjuan Lu, Jian Zhang, Shuo Li, Guanglan Di, Xiaohui Chen and Yunhua Zhang
Agronomy 2026, 16(8), 840; https://doi.org/10.3390/agronomy16080840 - 21 Apr 2026
Viewed by 193
Abstract
Optimizing tillage and fertilization practices is of vital importance for enhancing soil carbon retention, improving soil quality and increasing crop productivity in the intensive wheat (Triticum aestivum L.)–maize (Zea mays L.) double cropping system (WM). However, the combined effects of subsoiling [...] Read more.
Optimizing tillage and fertilization practices is of vital importance for enhancing soil carbon retention, improving soil quality and increasing crop productivity in the intensive wheat (Triticum aestivum L.)–maize (Zea mays L.) double cropping system (WM). However, the combined effects of subsoiling (ST) and liquid manure (LM) application on yield sustainability and the dynamic changes in labile organic carbon (LOC) fractions (LOCs) remain insufficiently quantified in WM in the North China Plain (NCP). A two-year field experiment evaluated the responses of grain yields, the sustainable yield index (SYI), soil organic carbon (SOC), LOCs, C pool management indexes (CPMIs), and the soil quality index (SQI) to both patterns of tillage [conventional shallow rotary tillage (RT) and ST] and fertilization [conventional fertilization (CF), LM broadcast (LMB), and LM injection (LMI)] in WM in the NCP. Compared with RT, ST significantly enhanced crop grain yields (3.5~4.1%) and the annual SYI (4.1%) (p < 0.05). The contents of SOC, total labile OC (TLOC), high LOC (HLOC), and medium LOC (MLOC) and the values of SQI were higher in soil layers at both 0–20 cm and 20–40 cm under ST than those under RT. Compared with CF, LMI significantly enhanced grain yields (5.8~6.1%) and the annual SYI (5.4%). LMI significantly increased the contents of SOC, TLOC, HLOC, and MLOC and the SQI values in both soil layers relative to CF, while no significant difference was observed for grain yields, the annual SYI, and the SQI between LMB and CF. The higher contents of SOC and LOC led to an increase in the values of CPMIs based on TLOC (TCPMI), HLOC (HCPMI), and MLOC (MCPMI). The combination of both ST and LMI enhanced SOC retention through the increase in recalcitrant organic carbon (ROC) content and the transformation process of LOCs. It was obvious that HLOC and MLOC affected SOC, HCPMI, and MCPMI in the soil layers at both 0–20 cm and 20–40 cm, and thus can be regarded as sensitive indicators reflecting the dynamic changes in SOC and soil quality. Therefore, the combination of subsoiling and liquid manure injection can promote labile OC transformation, SOC retention, soil quality, and yield sustainability, providing an effective management strategy for the achievement of sustained agricultural production in the NCP or other regions with similar conditions. Full article
(This article belongs to the Section Farming Sustainability)
Show Figures

Figure 1

19 pages, 2139 KB  
Article
Spatiotemporal Dynamics of Deep Soil Organic Carbon and Its Response to Agricultural Management: Evidence from Long-Term Monitoring Data in Typical Farmlands in China
by Shuhe Zhang and Chengjun Wang
Land 2026, 15(4), 676; https://doi.org/10.3390/land15040676 - 20 Apr 2026
Viewed by 239
Abstract
Understanding the dynamics of soil organic carbon (SOC) in farmland is crucial for assessing soil health, quantifying ecosystem potential for SOC enrichment, and guiding sustainable agricultural management. Existing research on SOC sequestration and mineralization has focused mainly on the topsoil layer (0–20 cm), [...] Read more.
Understanding the dynamics of soil organic carbon (SOC) in farmland is crucial for assessing soil health, quantifying ecosystem potential for SOC enrichment, and guiding sustainable agricultural management. Existing research on SOC sequestration and mineralization has focused mainly on the topsoil layer (0–20 cm), whereas systematic evidence on how deep SOC (>20 cm) responds to agricultural management, and on strategies to enhance deep carbon sequestration, remains limited. This study uses long-term fixed-site monitoring data from 120 farmland plots across 21 typical farmland ecosystem stations and farmland–complex ecosystem stations within the Chinese Ecosystem Research Network (CERN) over 17 years (2004–2020). Using spatial analysis, we characterize the spatiotemporal dynamics of SOC below 20 cm along soil profiles across seven major geographical zones in China. We then estimate the heterogeneous effects of fertilization and straw-management practices (S, straw returning; SCF, straw returning with chemical fertilizer; OF, organic fertilizer; OCF, organic fertilizer with chemical fertilizer), tillage modes, and farmland types on SOC in the 20–40 cm, 40–60 cm, and 60–100 cm layers using a panel fixed-effects model. The results indicate pronounced vertical heterogeneity in SOC below 20 cm and a clear spatial gradient. The 60–100 cm layer shows a significant increase in SOC content during the study period, with a cumulative increase of 4.07%. Relative to single organic inputs, the co-application of organic and inorganic materials improves deep soil SOC enhancement efficiency. Compared with reduced tillage and no-tillage, conventional tillage is less conducive to SOC enhancement in layers shallower than 60 cm, yet it has a significant positive impact on SOC in the 60–100 cm layer. Compared with dryland and irrigated land, paddy fields are less favorable for SOC enhancement below 20 cm. Consequently, regarding agricultural practice, a composite tillage regime combining “surface conservation tillage with periodic deep tillage” should be promoted to foster deep SOC enhancement. Full article
Show Figures

Figure 1

14 pages, 2830 KB  
Article
Effects of Different Tillage Measures on Soil Physical Properties, Organic Carbon Sequestration and Crop Production in Reclaimed Farmland Filled with Foreign Soil
by Xinsheng Wang, Jiaju Dong, Shouchen Ma, Zhenhao Gao, Huihao Liu and Shoutian Ma
Plants 2026, 15(8), 1239; https://doi.org/10.3390/plants15081239 - 17 Apr 2026
Viewed by 259
Abstract
A long-term positioning experiment was conducted from 2014 to 2021 to determine the appropriate tillage method for rapidly improving soil quality in reclaimed land. Four tillage methods were arranged before winter wheat sowing: deep tillage (DT), shallow tillage (ST), DT-ST alternate rotation (DST) [...] Read more.
A long-term positioning experiment was conducted from 2014 to 2021 to determine the appropriate tillage method for rapidly improving soil quality in reclaimed land. Four tillage methods were arranged before winter wheat sowing: deep tillage (DT), shallow tillage (ST), DT-ST alternate rotation (DST) and no tillage (NT). The results showed that: (1) with increasing reclamation years, ST, DT and DST had lower soil bulk density (SBD) and higher soil total porosity (STP) and soil capillary porosity (SCP) compared to NT. In the early stage of reclamation, ST had the lowest SBD and the highest STP and soil non-capillary porosity (NCP) in 0–20 cm soil layer, DT had the highest SCP and lowest NCP. In the 20–40 cm soil layer, DT has the lowest SBD and highest STP and SCP, followed by DST. In the late stage, SBD of each soil layer was NT > ST > DT > DST, while STP and SCP were NT < ST < DT < DST. (2) Different tillage methods influenced soil organic carbon (SOC) accumulation by affecting carbon sequestration rate (CSR). As opposed to NT, DT rapidly increased SOC of 0–40 cm soil layer in the early stages of reclamation, whereas DST facilitates maintaining higher SOC in the later stages. As compared to DT and DST, ST contributed more to SOC accumulation in surface soil, but less to SOC accumulation in deep soil. (3) Different tillage methods had various influences on SOC stratification ratio (SR). During the initial reclamation stage, NT had the lowest SR. Nevertheless, NT and ST maintained their high SR in the subsequent stage, whereas the SR of DT and DST experienced a notable decline due to the increase in SOC in deep soil. (4) It was observed that ST, DT and DST had higher grain yields compared with NT. The correlation analysis showed that DT improved soil properties by promoting SOC accumulation, increasing SCP and reducing NCP, thus increasing grain yield in the early stage of reclamation, while in the later stage of reclamation, DST can maintain better soil quality by reducing SBD and maintaining higher STP, SCP and SOC, and balanced the reasonable distribution of soil nutrients between the upper and lower soil layers by reducing SR of SOC, which helps the crop to maintain higher grain yields over time. Full article
Show Figures

Figure 1

19 pages, 7184 KB  
Article
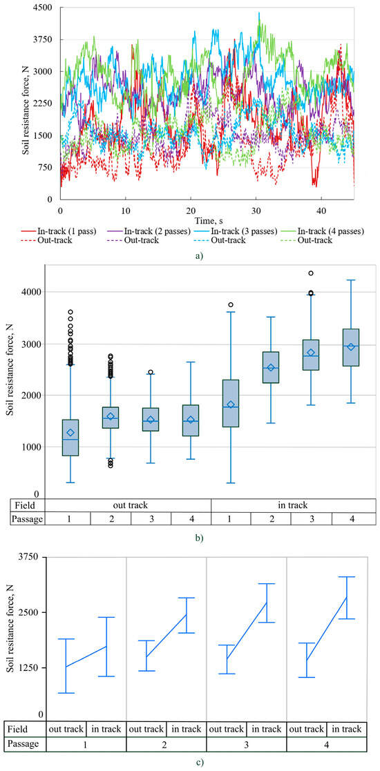
Comparing Horizontal and Vertical Soil Resistance in No-Till and Tilled Fields Following Multiple Tractor Passes
by Miroslav Mojžiš, Radoslav Majdan, Eva Matejková, Zdenko Tkáč, Katarína Kollárová, Rudolf Abrahám, Soňa Masarovičová, Jozef Krilek, Ján Kováč and Milan Helexa
Agronomy 2026, 16(8), 821; https://doi.org/10.3390/agronomy16080821 - 17 Apr 2026
Viewed by 287
Abstract
Despite various technical measures, the soil is negatively affected by the passage of agricultural machinery. This study presents soil resistance measured by a horizontal on-the-go soil resistance force sensor and a vertical penetrologger on a medium-plasticity clay loam (41% particles < 0.01 mm, [...] Read more.
Despite various technical measures, the soil is negatively affected by the passage of agricultural machinery. This study presents soil resistance measured by a horizontal on-the-go soil resistance force sensor and a vertical penetrologger on a medium-plasticity clay loam (41% particles < 0.01 mm, organic matter 5.43%) in Krakovany village (Western Slovakia). The field has been managed using a no-till system since 2013, with no seedbed preparation performed since 2017. In-track data after multiple passes of a tractor were compared with out-track data. The results indicate that the most significant increase in horizontal soil resistance force occurred after the first pass, with each subsequent increase being smaller than the previous one. The no-till field showed the smallest percentage increase in soil resistance force after one tractor pass compared to conventionally tilled fields previously studied using the same methodology in the same soil region. Out-track SRF reached values similar to those of the conventionally tilled field after harvest. Vertical penetration resistance showed the lowest increase at depths of 9 to 25 cm in the no-till field compared to tilled fields. The highest values were observed at a depth of 9 cm, whereas at 25 cm, the values approached their minimum in comparison with tilled fields. These findings suggest that long-term no-till management may contribute to reducing machinery-induced soil compaction compared to conventional tillage. Full article
(This article belongs to the Section Innovative Cropping Systems)
Show Figures

Figure 1

19 pages, 2101 KB  
Article
Strip Tillage Reduces Soil Moisture Loss and Enhances Energy Efficiency in Mediterranean Cotton Production Compared to Conventional Tillage
by Serkan Özdemir
Sustainability 2026, 18(8), 3940; https://doi.org/10.3390/su18083940 - 16 Apr 2026
Viewed by 201
Abstract
Rising temperatures and increasing evaporative demand accelerate soil moisture loss (SML) during the sowing-to-emergence phase of cotton (Gossypium hirsutum L.), constraining crop establishment under water-limited Mediterranean conditions. Conventional tillage (CT) involves intensive tillage operations with higher fuel and energy requirements, whereas strip [...] Read more.
Rising temperatures and increasing evaporative demand accelerate soil moisture loss (SML) during the sowing-to-emergence phase of cotton (Gossypium hirsutum L.), constraining crop establishment under water-limited Mediterranean conditions. Conventional tillage (CT) involves intensive tillage operations with higher fuel and energy requirements, whereas strip tillage (ST) limits tillage to the crop row while preserving inter-row residues. This study evaluated ST and CT across two consecutive growing seasons (2024 and 2025) under a wheat–cotton rotation system. A field experiment was conducted using a replicated design (n = 8), in which emergence parameters, SML (0–10 cm), yield, and fuel-derived energy use and CO2 emissions were quantified. SML was significantly lower under ST than CT (43% in 2024 and 52% in 2025; p < 0.001), leading to earlier emergence (0.98–1.17 days) and higher emergence rate index (ERI) values. Cotton yield was slightly higher under CT (3–4%); however, this difference, although statistically significant (p = 0.001), remained limited and consistent across years. In contrast, ST resulted in a 66–69% reduction in operational fuel use, with proportional reductions in energy use and CO2 emissions on an area basis. Yield-scaled indicators, defined as energy use (MJ kg−1) and CO2 emissions (kg CO2 kg−1) per unit yield, further revealed substantially greater resource-use efficiency under ST compared with CT. These findings demonstrate that strip tillage enhances hydrothermal conditions during crop establishment while markedly reducing energy demand and carbon intensity, providing a resource-efficient mechanization strategy for cotton production under increasing climatic stress. Full article
(This article belongs to the Section Environmental Sustainability and Applications)
Show Figures

Figure 1

38 pages, 7699 KB  
Article
Environmental and Economic Evaluation of Combined Conservation and Precision Agriculture for Winter Cereals in Greece
by Chris Cavalaris, Myrto Kosti, Michail Moraitis, Christos Karamoutis, Sofia Koukou, Vasilis Giouvanis, Aris Kyparissis and Athanasios T. Balafoutis
Agronomy 2026, 16(8), 812; https://doi.org/10.3390/agronomy16080812 - 15 Apr 2026
Viewed by 206
Abstract
Improving environmental sustainability while maintaining economic viability is a major challenge for Mediterranean cereal production, where conventional systems are associated with high input use, elevated greenhouse gas emissions, and strong cost pressures. Although Conservation Agriculture (CA) and Precision Agriculture (PA) are widely promoted [...] Read more.
Improving environmental sustainability while maintaining economic viability is a major challenge for Mediterranean cereal production, where conventional systems are associated with high input use, elevated greenhouse gas emissions, and strong cost pressures. Although Conservation Agriculture (CA) and Precision Agriculture (PA) are widely promoted as promising solutions, evidence on their combined environmental and economic performance under real farming conditions remains limited. This study evaluated CA, PA, and their combined application (CPA) in winter cereal systems in Greece, using three years of farmer-managed field data from four representative sites. Agronomic and environmental performance and economic outcomes were assessed under actual farm sizes and a scaled 300 ha scenario. Across sites and years, no systematic yield differences were observed among CA, PA, and CPA, indicating that alternative systems can maintain yield stability under real farmer-managed conditions. Environmental performance was driven primarily by tillage intensity: CA reduced CO2eq emissions by 212–238 kg ha−1 relative to conventional tillage, while CPA achieved the largest reductions (262–332 kg ha−1), accompanied by surface-layer SOM increases of 0.30–0.56% over three years. PA applied within conventional tillage resulted in only modest emission reductions (41–82 kg ha−1), but consistently improved NUE, with variable-rate fertilization increasing NUE by approximately 5–7% relative to uniform application. Despite these environmental benefits, economic performance remained constrained due to high fixed machinery costs, high input prices, and low grain values resulting in negative net profits across all systems. CA reduced total costs by 3.8–11.8%, PA delivered only marginal improvements, while CPA achieved the largest cost reductions (5.0–12.6%) delivering also the most stable net profit mitigation. Carbon credit revenues increased profitability by only 2–3%. Scaling to 300 ha improved competitiveness through fixed-cost dilution, but profitability remained unattainable. Overall, integrated CA–PA systems offer substantial environmental benefits but require targeted policy support, cooperative machinery use, and service-based solutions to enable economically viable adoption in Mediterranean cereal systems. Full article
(This article belongs to the Section Precision and Digital Agriculture)
48 pages, 6357 KB  
Article
Optimization of Leveler–Compactor Parameters in Combined Strip Tillage for Soil Preparation Under Plastic Film for Melon Crops
by Yurii Syromiatnykov, Farmon Mamatov, Khayriddin Fayzullaev, Fakhridin Karshiev, Dustmurod Chuyanov, Eshpulat Eshdavlatov, Ibrat Ismailov, Isroil Temirov, Akmal Eshdavlatov, Laziz Gulomov, Shahnoza Abduganiyeva and Shakhriyor Jalilov
Agronomy 2026, 16(8), 809; https://doi.org/10.3390/agronomy16080809 - 15 Apr 2026
Viewed by 416
Abstract
Strip tillage combined with plastic film mulching is widely used to improve moisture conservation and crop productivity in arid and semi-arid regions; however, the quality of a prepared strip strongly depends on the secondary leveling and compaction of the loosened soil. The aim [...] Read more.
Strip tillage combined with plastic film mulching is widely used to improve moisture conservation and crop productivity in arid and semi-arid regions; however, the quality of a prepared strip strongly depends on the secondary leveling and compaction of the loosened soil. The aim of this study was to substantiate the design and operating parameters of a skid-type leveler–compactor integrated into a combined machine for one-pass pre-sowing soil preparation of rainfed land with the simultaneous laying of drip irrigation hoses and plastic film for melon crops. The research combined theoretical modeling of soil–tool interaction with single-factor and multifactor field experiments and a two-year agronomic evaluation under farmer field conditions. The optimal parameter ranges were 24.0–26.0° for the lower compacting element, 151–155° for the upper leveling part, and 24.3–27.0 cm for the tool height. Under these conditions, the proposed system ensured a soil fraction < 25 mm of 87.2%, surface irregularities of 1.34 cm, and reduced fuel consumption, from 38.6 to 26.3 kg ha−1, compared with the conventional method. The field emergence increased to 91.6%, the total yield reached 50.7 t ha−1, and the water use efficiency increased to 17.4–18.9 kg m−3. The results demonstrate that optimization of the leveler–compactor significantly improves strip quality, agronomic performance, and resource use efficiency in melon production under plastic film. Full article
Show Figures

Figure 1

21 pages, 5504 KB  
Article
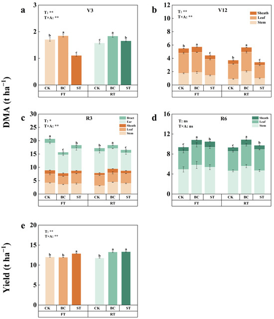
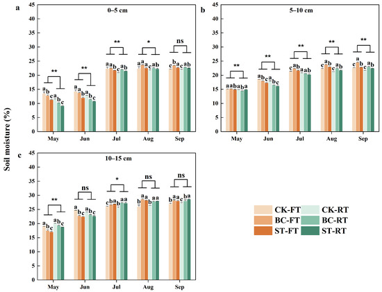
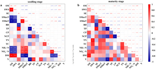
Divergent Effects of Biochar Versus Straw Application on Soil Moisture and Temperature Dynamics During Maize Growth
by Zunqi Liu, Yuanyang Zhang, Ning Yang, Xuedong Dai, Qi Gao, Yi Zhang and Yinghua Juan
Agronomy 2026, 16(8), 805; https://doi.org/10.3390/agronomy16080805 - 14 Apr 2026
Viewed by 279
Abstract
The Changbai Mountain–Liaodong region is a crucial component of the global black soil belt in Northeast China and a significant national grain production base. However, like many high-latitude agricultural regions worldwide, it faces persistent challenges during the spring sowing period, including low soil [...] Read more.
The Changbai Mountain–Liaodong region is a crucial component of the global black soil belt in Northeast China and a significant national grain production base. However, like many high-latitude agricultural regions worldwide, it faces persistent challenges during the spring sowing period, including low soil temperatures and excessive moisture. Therefore, developing region-specific, effective methods of reducing soil moisture and increasing temperature while improving soil fertility is essential for improving agricultural productivity. To this aim, a field experiment was conducted with two factors: a main plot subjected to ridge tillage (RT) and flat tillage (FT) and subplots with biochar (BC) and straw (ST) amendments. A subplot with no amendment (CK) was used as a control. During maize growth, the daily soil temperature and moisture were monitored, and the soil water evaporation rates and physical structure, as well as the maize yield performance, were evaluated. The results showed that biochar and straw application significantly decreased the soil monthly water content by 1.69–2.22% (p < 0.05) in the surface soil layer (0–15 cm) from May to June, with a more pronounced effect under RT. In contrast, biochar application increased soil moisture and water storage from July to September, indicating that the influence of biochar on soil moisture depends on time and field aging processes. Biochar amendment raised the soil maximum temperature by 0.32–0.79 °C in the top 0–15 cm layer, while straw incorporation decreased the minimum soil temperature by 0.11–0.52 °C. The increase in soil temperature was primarily due to the biochar’s darker color, which facilitated solar radiation absorption, while the decrease in soil temperature was caused by the “Wind Leakage Effect” induced by the large particle size of the straw. Biochar and straw incorporation effectively enhanced maize dry matter accumulation by an average of 15.8% and 8.2%, respectively, and grain yield by 13.0% and 7.8%, respectively. Correlation analysis indicates that these increments are primarily due to enhanced soil moisture and available N content during the middle to late stages of maize growth. Therefore, the integration of straw and biochar with high-ridge cultivation is an effective strategy for excessive moisture reduction and warming in spring soil and it also contributes positively to maize yield. Full article
Show Figures

Figure 1

17 pages, 623 KB  
Article
Soybean Performance as Affected by Lime and Gypsum Incorporation Through Tillage Versus Surface Application in Pasture-to-Cropland Conversion Areas in Southeast Brazil
by Pascoal Pereira Rodrigues, Josimar Nogueira Batista, Roni Fernandes Guareschi, Claudia Pozzi Jantalia, Bruno José Rodrigues Alves, Segundo Urquiaga, Erica Souto Abreu Lima, Benedito Fernandes de Souza Filho and Jerri Edson Zilli
Plants 2026, 15(8), 1178; https://doi.org/10.3390/plants15081178 - 10 Apr 2026
Viewed by 453
Abstract
Lime and gypsum are widely used to correct soil acidity and improve grain yields in Brazilian agricultural systems. However, limited information is available on their effectiveness and application practices in degraded sandy soils typical of older agricultural frontiers, such as those in Rio [...] Read more.
Lime and gypsum are widely used to correct soil acidity and improve grain yields in Brazilian agricultural systems. However, limited information is available on their effectiveness and application practices in degraded sandy soils typical of older agricultural frontiers, such as those in Rio de Janeiro State. This study evaluated the effects of surface application versus the incorporation of lime and gypsum into the soil through tillage operations on soil chemical properties, nodulation, and grain yield of soybean cultivars grown in low-fertility Fluvisols. The experiment was conducted during the 2021/2022 growing season in Campos dos Goytacazes, Rio de Janeiro, using a strip-plot design with four soybean cultivars and two soil amendment placement strategies: surface application without tillage and incorporation through tillage. Soil chemical attributes, nodulation, nutrient uptake, and yield components were assessed. Incorporated application significantly increased soil pH, reduced Al3+ toxicity, and enhanced Ca2+, Mg2+, P, and K+ availability compared to surface application. Nodulation responses varied among cultivars, with incorporated treatments promoting up to 40% greater nodule biomass. Although primary root length was not affected, incorporation stimulated secondary root development and nutrient uptake, leading to approximately 50% higher pod number and grain yield. Overall, incorporating lime and gypsum through soil tillage was more effective than surface application in improving soil fertility, enhancing nodulation, and increasing soybean productivity under the conditions evaluated in this study. These findings suggest that lime and gypsum incorporation can represent an important management strategy for improving soybean production in degraded sandy soils. Full article
(This article belongs to the Collection Feature Papers in Plant‒Soil Interactions)
Show Figures

Figure 1

19 pages, 11440 KB  
Article
Cross-Sensor Evaluation of ZY1-02E and ZY1-02D Hyperspectral Satellites for Mapping Soil Organic Matter and Texture in the Black Soil Region
by Kun Shang, He Gu, Hongzhao Tang and Chenchao Xiao
Agronomy 2026, 16(8), 781; https://doi.org/10.3390/agronomy16080781 - 10 Apr 2026
Viewed by 456
Abstract
Soil health monitoring is critical for the sustainable management of the black soil region, a key resource for global food security. However, traditional field surveys are constrained by high operational costs, limited spatial coverage, and low temporal frequency, making them inadequate for high-resolution [...] Read more.
Soil health monitoring is critical for the sustainable management of the black soil region, a key resource for global food security. However, traditional field surveys are constrained by high operational costs, limited spatial coverage, and low temporal frequency, making them inadequate for high-resolution and time-sensitive soil monitoring. The recently launched ZY1-02E satellite, equipped with an advanced hyperspectral imager, offers a new potential data source, yet its capability for quantitative soil modelling requires rigorous cross-sensor validation. This study conducts a cross-sensor evaluation of ZY1-02E and its predecessor, ZY1-02D, for mapping soil organic matter (SOM) and soil texture (sand, silt, and clay) in Northeast China. Optimal spectral indices were constructed through exhaustive band combination and correlation screening, and quantitative inversion models were established using a hybrid framework integrating Random Frog feature selection with Gaussian Process Regression (GPR) and Boosting Trees, based on synchronous ground observations. Results demonstrate strong cross-sensor consistency, with spectral indices showing significant linear correlations (R2>0.65) between ZY1-02E and ZY1-02D. Furthermore, the quantitative retrieval models applied to ZY1-02E imagery achieved robust performance, with cross-sensor retrieval consistency exceeding R2=0.60 for all parameters and SOM exhibiting the highest agreement (R2=0.74). These findings confirm the radiometric stability and algorithm transferability of ZY1-02E, demonstrating its capability to generate soil parameter products comparable to ZY1-02D without extensive model recalibration. The validated interoperability of the twin-satellite constellation substantially enhances temporal observation capacity during the narrow bare-soil window, effectively mitigating cloud-induced data gaps in high-latitude agricultural regions. Importantly, the enhanced monitoring framework provides a scalable technical paradigm for high-frequency hyperspectral soil mapping, offering critical spatial decision support for precision fertilization, soil degradation mitigation, and conservation tillage management in the Mollisol belt. Full article
Show Figures

Figure 1

Back to TopTop