A Geospatial Modelling Approach to Understand the Spatio-Temporal Impacts of Grazing on Soil Susceptibility to Erosion
Abstract
1. Introduction
2. Materials and Methods
2.1. Lincoln University Mount Grand Station
2.2. Model Description
2.3. Grazing Management Simulations
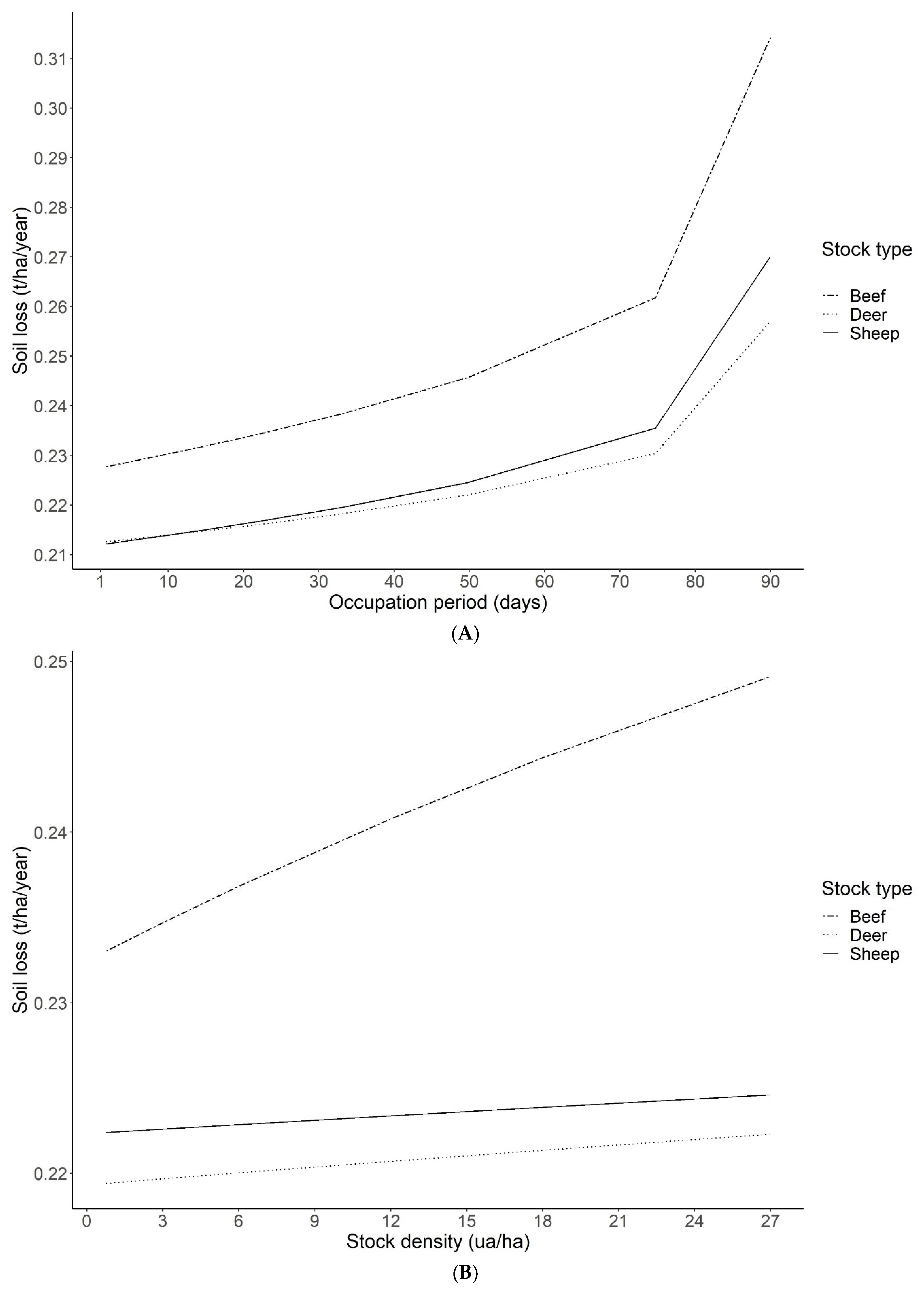
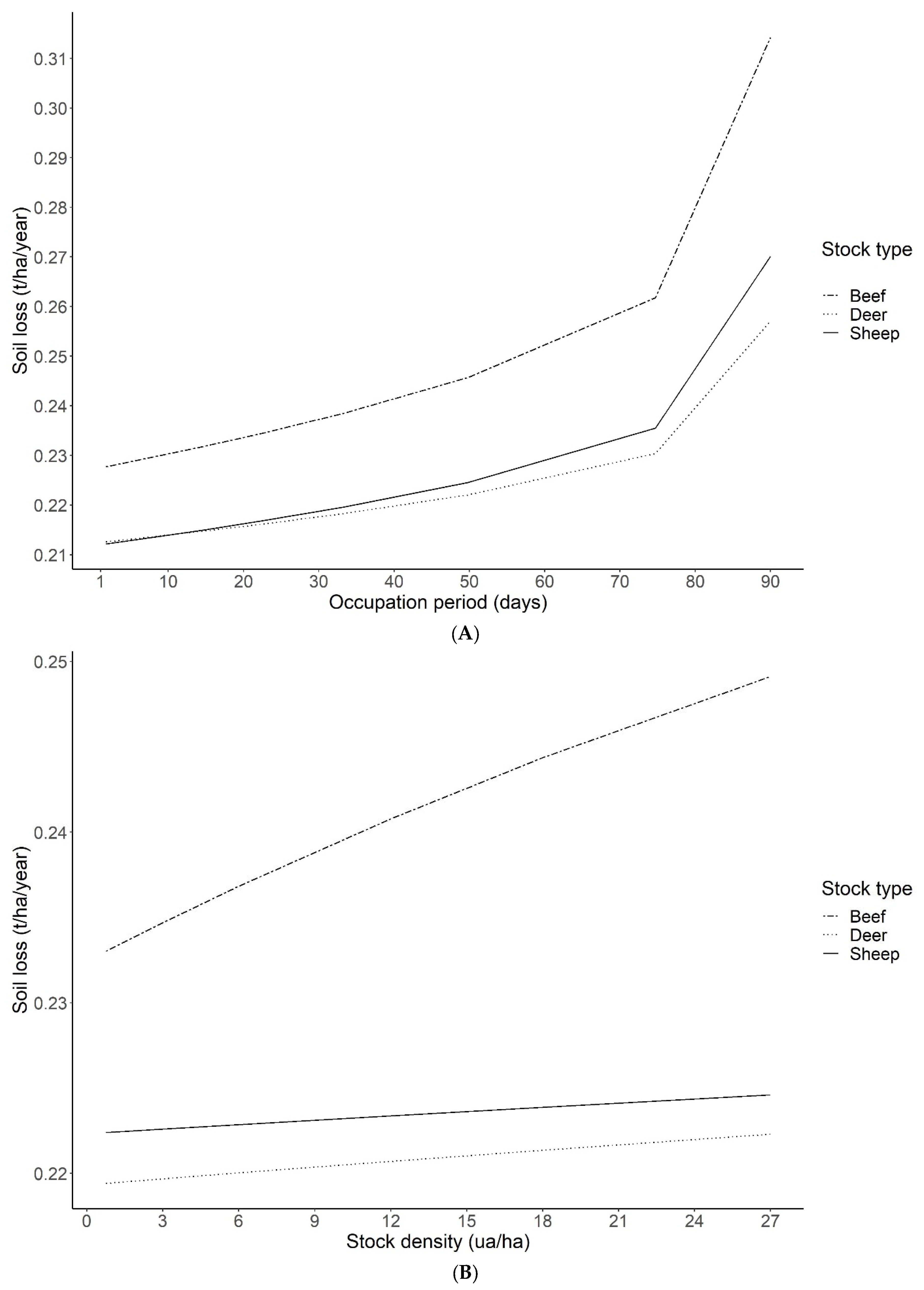
3. Results
4. Discussion
4.1. Soil Erosion from Ungrazed Scenarios
4.2. Temporal Variation of LUMGS Soil Erosion
4.3. Grazing Management Strategies
4.4. Final Considerations
5. Conclusions
Supplementary Materials
Author Contributions
Funding
Data Availability Statement
Conflicts of Interest
References
- Brevik, E.C.; Cerdà, A.; Mataix-Solera, J.; Pereg, L.; Quinton, J.N.; Six, J.; Van Oost, K. The interdisciplinary nature of SOIL. Soil 2015, 1, 117–129. [Google Scholar] [CrossRef]
- de Klein, C.; Monaghan, R.; Donovan, M.; Wall, A.; Schipper, L.; Pinxterhuis, I. Attributes of resilient pasture for achieving environmental outcomes at farm scale. NZGA Res. Pract. Ser. 2021, 17, 15–24. [Google Scholar] [CrossRef]
- Karlen, D.L.; Mausbach, M.J.; Doran, J.W.; Cline, R.G.; Harris, R.F.; Schuman, G.E. Soil quality: A concept, definition, and framework for evaluation (a guest editorial). Soil Sci. Soc. Am. J. 1997, 61, 4–10. [Google Scholar] [CrossRef]
- Le, Q.B.; Nkonya, E.; Mirzabaev, A. Biomass Productivity-Based Mapping of Global Land Degradation Hotspots. In Economics of Land Degradation and Improvement–A Global Assessment for Sustainable Development; Nkonya, E., Mirzabaev, A., Von Braun, J., Eds.; Springer Nature: Berlin/Heidelberg, Germany, 2016; pp. 55–84. [Google Scholar]
- Bilotta, G.S.; Brazier, R.E.; Haygarth, P.M. The impacts of grazing animals on the quality of soils, vegetation, and surface waters in intensively managed grasslands. Adv. Agron. 2007, 94, 237–280. [Google Scholar] [CrossRef]
- Pulido, M.; Schnabel, S.; Lavado Contador, J.F.; Lozano-Parra, J.; Gonzalez, F. The impact of heavy grazing on soil quality and pasture production in rangelands of SW Spain. Land Degrad. Dev. 2018, 29, 219–230. [Google Scholar] [CrossRef]
- Greenwood, K.L.; McKenzie, B.M. Grazing effects on soil physical properties and the consequences for pastures: A review. Aust. J. Exp. Agric. 2001, 41, 1231–1250. [Google Scholar] [CrossRef]
- Donovan, M. Modelling soil loss from surface erosion at high-resolution to better understand sources and drivers across land uses and catchments; A national-scale assessment of Aotearoa, New Zealand. Environ. Model. Softw. 2022, 147, 105228. [Google Scholar] [CrossRef]
- Teague, R.; Barnes, M. Grazing management that regenerates ecosystem function and grazing land livelihoods. Afr. J. Range Forage Sci. 2017, 34, 77–86. [Google Scholar] [CrossRef]
- de Oliveira Silva, R.; Barioni, L.G.; Hall, J.J.; Moretti, A.C.; Veloso, R.F.; Alexander, P.; Crespolini, M.; Moran, D. Sustainable intensification of Brazilian livestock production through optimized pasture restoration. Agric. Syst. 2017, 153, 201–211. [Google Scholar] [CrossRef]
- Nguyen, M.L.; Sheath, G.W.; Smith, C.M.; Cooper, A.B. Impact of cattle treading on hill land: 2. Soil physical properties and contaminant runoff. New Zealand J. Agric. Res. 1998, 41, 279–290. [Google Scholar] [CrossRef]
- Mwendera, E.J.; Saleem, M.M. Infiltration rates, surface runoff, and soil loss as influenced by grazing pressure in the Ethiopian highlands. Soil Use Manag. 1997, 13, 29–35. [Google Scholar] [CrossRef]
- Drewry, J.J.; Cameron, K.C.; Buchan, G.D. Pasture yield and soil physical property responses to soil compaction from treading and grazing—A review. Soil Res. 2008, 46, 237–256. [Google Scholar] [CrossRef]
- Donovan, M.; Monaghan, R. Impacts of grazing on ground cover, soil physical properties and soil loss via surface erosion: A novel geospatial modelling approach. J. Environ. Manag. 2021, 287, 112206. [Google Scholar] [CrossRef] [PubMed]
- da Silva, A.P.; Imhoff, S.; Corsi, M. Evaluation of soil compaction in an irrigated short-duration grazing system. Soil Tillage Res. 2003, 70, 83–90. [Google Scholar] [CrossRef]
- Elliott, A.H.; Carlson, W.T. Effects of sheep grazing episodes on sediment and nutrient loss in overland flow. Soil Res. 2004, 42, 213–220. [Google Scholar] [CrossRef]
- Xu, D.; Guo, X. Some insights on grassland health assessment based on remote sensing. Sensors 2015, 15, 3070–3089. [Google Scholar] [CrossRef]
- Zhang, B.; Beck, R.; Pan, Q.; Zhao, M.; Hao, X. Soil physical and chemical properties in response to long-term cattle grazing on sloped rough fescue grassland in the foothills of the Rocky Mountains, Alberta. Geoderma 2019, 346, 75–83. [Google Scholar] [CrossRef]
- Teague, W.R.; Dowhower, S.L.; Baker, S.A.; Haile, N.; DeLaune, P.B.; Conover, D.M. Grazing management impacts on vegetation, soil biota and soil chemical, physical and hydrological properties in tall grass prairie. Agric. Ecosyst. Environ. 2011, 141, 310–322. [Google Scholar] [CrossRef]
- Owen-Smith, N. Credible models for herbivore-vegetation systems: Towards an ecology of equations. S. Afr. J. Sci. 2002, 98, 445–449. [Google Scholar]
- Ganasri, B.P.; Ramesh, H. Assessment of soil erosion by RUSLE model using remote sensing and GIS-A case study of Nethravathi Basin. Geosci. Front. 2016, 7, 953–961. [Google Scholar] [CrossRef]
- Polykretis, C.; Alexakis, D.D.; Grillakis, M.G.; Manoudakis, S. Assessment of intra-annual and inter-annual variabilities of soil erosion in Crete Island (Greece) by incorporating the Dynamic “Nature” of R and C-Factors in RUSLE modeling. Remote Sens. 2020, 12, 2439. [Google Scholar] [CrossRef]
- Huang, F.; Chen, J.; Yao, C.; Chang, Z.; Jiang, Q.; Li, S.; Guo, Z. SUSLE: A slope and seasonal rainfall-based rusle model for regional quantitative prediction of soil erosion. Bull. Eng. Geol. Environ. 2020, 79, 5213–5228. [Google Scholar] [CrossRef]
- Maxwell, T.M.; Moir, J.L.; Edwards, G.R. Grazing and soil fertility effect on naturalized annual clover species in New Zealand high country. Rangel. Ecol. Manag. 2016, 69, 444–448. [Google Scholar] [CrossRef]
- Duncan, R.; Lucas, D.; Palmer, C. Mt Grand Station: Baseline Survey for Vegetation and Soils; Department of Plant Sciences, Lincoln University: Lincoln, New Zealand, 1997. [Google Scholar]
- Molloy, L. Soils in the New Zealand Landscape: The Living Mantle, 2nd ed.; Mallinson Rendel Publishers Ltd.: Wellington, New Zealand, 1988. [Google Scholar]
- Hewitt, A.E. New Zealand Soil Classification; Landcare Research 362 Science Series N°. 1; Manaaki Whenua Press: Lincoln, New Zealand, 1998. [Google Scholar]
- Pereira, F.C.; Smith, C.M.; Maxwell, T.M.; Charters, S.M.; Logan, C.M.; Donovan, M.; Jayathunga, S.; Gregorini, P. Applying Spatial Analysis to Create Modern Rich Pictures for Grassland Health Analysis. Sustainability 2021, 13, 11535. [Google Scholar] [CrossRef]
- Newsome, P.; Shepherd, J.; Pairman, D.; Belliss, S.; Manderson, A. Establishing New Zealand’s LUCAS 2016 Land use Map (Contract Report for Ministry for the Environment No. LC3369). Manaaki Whenua Landcare Research; Ministry for the Environment: Wellington, New Zealand, 2019; p. 39. [Google Scholar]
- Lambert, M.G.; Barker, D.J.; Mackay, A.D.; Springett, J.O. Biophysical indicators of sustainability of North Island hill pasture systems. In Proceedings of the New Zealand Grassland Association, Waitangi, New Zealand, 14–16 May 1996; pp. 31–36. [Google Scholar]
- Chapman, D.F. Development, removal, and death of white clover leaves under 3 grazing managements in hill country. New Zealand J. Agric. Res. 1986, 29, 39–47. [Google Scholar] [CrossRef]
- López, I.F.; Hodgson, J.; Hedderley, D.I.; Valentine, I.; Lambert, M.G. Selective defoliation by sheep according to slope and plant species in the hill country of New Zealand. Grass Forage Sci. 2003, 58, 339–349. [Google Scholar] [CrossRef]
- Schon, N.L.; Mackay, A.D.; Minor, M.A.; Yeates, G.W.; Hedley, M.J. Soil fauna in grazed New Zealand hill country pastures at two management intensities. Appl. Soil Eco. 2008, 40, 218–228. [Google Scholar] [CrossRef]
- Houlbrooke, D.J.; Drewry, J.J.; Monaghan, R.M.; Paton, R.J.; Smith, L.C.; Littlejohn, R.P. Grazing strategies to protect soil physical properties and maximise pasture yield on a Southland dairy farm. New Zealand J. Agric. Res. 2009, 52, 323–336. [Google Scholar] [CrossRef]
- Drewry, J.J. Natural recovery of soil physical properties from treading damage of pastoral soils in New Zealand and Australia: A review. Agric. Ecosyst. Environ. 2006, 114, 159–169. [Google Scholar] [CrossRef]
- Drewry, J.J.; Littlejohn, R.P.; Paton, R.J. A survey of soil physical properties on sheep and dairy farms in southern New Zealand. New Zealand J. Agric. Res. 2010, 43, 251–258. [Google Scholar] [CrossRef]
- Team, R.C. R: A Language and Environment for Statistical Computing; R Foundation for Statistical Computing: Vienna, Austria, 2018. [Google Scholar]
- Smith, C.; Jayathunga, S.; Gregorini, P.; Pereira, F.C.; McWilliam, W. Using Soil Sustainability and Resilience Concepts to Support Future Land Management Practice: A Case Study of Mt Grand Station, Hāwea, New Zealand. Sustainability 2022, 14, 1808. [Google Scholar] [CrossRef]
- Eger, A.; Hewitt, A. Soils and their relationship to aspect and vegetation history in the eastern Southern Alps, Canterbury High Country, South Island, New Zealand. Catena 2008, 75, 297–307. [Google Scholar] [CrossRef]
- Xue, R.; Yang, Q.; Miao, F.; Wang, X.; Shen, Y. Slope aspect influences plant biomass, soil properties and microbial composition in alpine meadow on the Qinghai-Tibetan plateau. J. Soil Sci. Plant Nutr. 2018, 18, 1–12. [Google Scholar] [CrossRef]
- Cerdà, A. The influence of aspect and vegetation on seasonal changes in erosion under rainfall simulation on a clay soil in Spain. Can. J. Soil Sci. 1998, 78, 321–330. [Google Scholar] [CrossRef]
- Renschler, C.S.; Mannaerts, C.; Diekkrüger, B. Evaluating spatial and temporal variability in soil erosion risk—Rainfall erosivity and soil loss ratios in Andalusia, Spain. Catena 1999, 34, 209–225. [Google Scholar] [CrossRef]
- Ochoa, P.A.A.; Fries, A.; Mejía, D.; Burneo, J.I.; Ruíz-Sinoga, J.D.; Cerdà, A. Effects of climate, land cover and topography on soil erosion risk in a semiarid basin of the Andes. Catena 2016, 140, 31–42. [Google Scholar] [CrossRef]
- Wischmeier, W.H.; Smith, D.D. Predicting Rainfall Erosion Losses: A Guide to Conservation Planning (No. 537); Department of Agriculture, Science and Education Administration: Annapolis, MD, USA, 1978. Available online: https://naldc.nal.usda.gov/catalog/CAT79706928 (accessed on 19 December 2022).
- Wischmeier, W.H.; Mannering, J.V. Relation of soil properties to its erodability. Soil Sci. Soc. Am. J. 1969, 33, 131–137. [Google Scholar] [CrossRef]
- Wang, L.; Zheng, F.; Liu, G.; Zhang, X.J.; Wilson, G.V.; Shi, H.; Liu, X. Seasonal changes of soil erosion and its spatial distribution on a long gentle hillslope in the Chinese Mollisol region. Int. Soil Water Conserv. Res. 2021, 9, 394–404. [Google Scholar] [CrossRef]
- Macara, G.R. The Climate and Weather of Otago, 2nd ed.; NIWA: Otago, New Zealand, 2021; pp. 1–44. [Google Scholar]
- Cerda, A. The effect of season and parent material on water erosion on highly eroded soils in eastern Spain. J. Arid Environ. 2002, 52, 319–337. [Google Scholar] [CrossRef]
- Dunne, T.; Zhang, W.; Aubry, B.F. Effects of rainfall, vegetation, and microtopography on infiltration and runoff. Water Resour. Res. 1991, 27, 2271–2285. [Google Scholar] [CrossRef]
- Cerdà, A. Seasonal variability of infiltration rates under contrasting slope conditions in southeast Spain. Geoderma 1996, 69, 217–232. [Google Scholar] [CrossRef]
- Zhang, J.; Yang, M.; Deng, X.; Liu, Z.; Zhang, F.; Zhou, W. Beryllium-7 measurements of wind erosion on sloping fields in the wind-water erosion crisscross region on the Chinese Loess Plateau. Sci. Total Environ. 2018, 615, 240–252. [Google Scholar] [CrossRef] [PubMed]
- Sanjari, G.; Yu, B.; Ghadiri, H.; Ciesiolka, C.A.; Rose, C.W. Effects of time-controlled grazing on runoff and sediment loss. Soil Res. 2009, 47, 796–808. [Google Scholar] [CrossRef]
- Mosier, S.; Apfelbaum, S.; Byck, P.; Calderon, F.; Teague, R.; Thompson, R.; Cotrufo, M.F. Adaptive multi-paddock grazing enhances soil carbon and nitrogen stocks and stabilization through mineral association in southeastern US grazing lands. J. Environ. Manag. 2021, 288, 112409. [Google Scholar] [CrossRef]
- Sanjari, G.; Ghadiri, H.; Ciesiolka, C.A.; Yu, B. Comparing the effects of continuous and time-controlled grazing systems on soil characteristics in Southeast Queensland. Soil Res. 2008, 46, 348–358. [Google Scholar] [CrossRef]
- Drewry, J.J.; Paton, R.J. Effects of cattle treading and natural amelioration on soil physical properties and pasture under dairy farming in Southland, New Zealand. New Zealand J. Agric. Res. 2000, 43, 377–386. [Google Scholar] [CrossRef]
- Cournane, F.C.; McDowell, R.; Littlejohn, R.; Condron, L. Effects of cattle, sheep and deer grazing on soil physical quality and losses of phosphorus and suspended sediment losses in surface runoff. Agric. Ecosyst. Environ. 2011, 140, 264–272. [Google Scholar] [CrossRef]
- Houlbrooke, D.J.; Morton, J.D.; Paton, R.J.; Littlejohn, R.P. The impact of land-use intensification on soil physical quality and plant yield response in the North Otago Rolling Downlands. In Proceedings of the New Zealand Grassland Association, Dunedin, New Zealand, 1 January 2006; pp. 165–172. [Google Scholar]









| Paddock | Altitude | (ha) | ST | SN | SD | OP | Season |
|---|---|---|---|---|---|---|---|
| 6 | Low | 19 | Sheep | 100 | 5.26 | 60 | Spring |
| 7 | Low | 25 | Sheep | 120 | 4.8 | 150 | Spring/Summer |
| 11 | Low | 11 | Sheep | 100 | 9.09 | 60 | Spring |
| 12 | Mid | 32 | Sheep | 500 | 15.62 | 30 | Summer |
| 13 | Low | 63 | Sheep | 250 | 3.96 | 300 | Year long |
| 13 | Low | 63 | Cattle | 20 | 0.31 | 360 | Year long |
| 14 | Low | 55 | Sheep | 200 | 3.63 | 60 | Spring |
| 14 | Low | 55 | Sheep | 250 | 4.54 | 150 | Summer/Autumn/Winter |
| 15 | Low | 75 | Sheep | 150 | 2 | 240 | Spring/Summer/Autumn |
| 15 | Low | 75 | Cattle | 20 | 0.26 | 360 | Year long |
| 16 | Low | 30 | Sheep | 150 | 5 | 270 | Spring/Summer/Autumn |
| 19 | Mid/High | 181 | Sheep | 225 | 1.25 | 150 | Summer/Autumn |
| 25 | High | 235 | None | ||||
| 27 | Low | 55 | Sheep | 100 | 1.81 | 120 | Spring/Summer |
| 29 | Low | 42 | Sheep | 150 | 3.57 | 240 | Spring/Summer/Autumn |
| 30 | Mid | 55 | None | ||||
| 36 | Mid/High | 167 | None | ||||
| 40 | Low | 29 | Sheep & cattle | 120:20 | 6.89 | 60 | Spring |
| 43 | Low/Mid | 53 | Sheep | 250 | 4.71 | 270 | Spring/Summer/Autumn |
| 59 | Mid | 65 | Sheep | 300 | 4.61 | 90 | Summer |
| 60 | High | 63 | Sheep | 400 | 6.34 | 150 | Summer/Autumn/Winter |
| Paddock | Sandy (%) | Silt (%) | Clay (%) | Gravel (%) | Permeability | P Retention (%) | OM Content (%) |
|---|---|---|---|---|---|---|---|
| 6 | 0.5 | 0.25 | 0.25 | 0.03 | M/S | 13 | 0.07 |
| 7 | 0.5 | 0.25 | 0.25 | 0.03 | M | 13 | 0.07 |
| 11 | 0.5 | 0.25 | 0.25 | 0.03 | M | 13 | 0.07 |
| 12 | 0.5 | 0.25 | 0.25 | 0.03 | M | 13 | 0.07 |
| 13 | 0.5 | 0.25 | 0.25 | 0.03 | M | 13 | 0.07 |
| 14 | 0.5 | 0.25 | 0.25 | 0.03 | M | 13 | 0.07 |
| 15 | 0.5 | 0.25 | 0.25 | 0.03 | M | 13 | 0.07 |
| 16 | 0.5 | 0.25 | 0.25 | 0.03 | M | 13 | 0.07 |
| 19 | 0.5 | 0.25 | 0.25 | 0.03 | M | 13 | 0.07 |
| 25 | 0.5 | 0.25 | 0.25 | 0.03 | M | 35 | 0.07 |
| 27 | 0.5 | 0.25 | 0.25 | 0.03 | M | 13 | 0.07 |
| 29 | 0.2 | 0.6 | 0.2 | 0.1 | M | 35 | 0.07 |
| 30 | 0.5 | 0.25 | 0.25 | 0.03 | M | 35 | 0.07 |
| 36 | 0.5 | 0.25 | 0.25 | 0.03 | M | 13 | 0.07 |
| 40 | 0.5 | 0.25 | 0.25 | 0.03 | M/S | 13 | 0.07 |
| 43 | 0.5 | 0.25 | 0.25 | 0.03 | M/S | 13 | 0.07 |
| 59 | 0.2 | 0.6 | 0.2 | 0.1 | M | 35 | 0.07 |
| 60 | 0.2 | 0.6 | 0.2 | 0.1 | M | 35 | 0.07 |
| Scenario | OP (days) | SD (au/ha) |
|---|---|---|
| 1 | 1 | 3 |
| 2 | 1 | 6 |
| 3 | 1 | 12 |
| 4 | 1 | 18 |
| 5 | 1 | 27 |
| 6 | 3 | 3 |
| 7 | 3 | 6 |
| 8 | 3 | 12 |
| 9 | 3 | 18 |
| 10 | 3 | 27 |
| 11 | 7 | 3 |
| 12 | 7 | 6 |
| 13 | 7 | 12 |
| 14 | 7 | 18 |
| 15 | 7 | 27 |
| 16 | 15 | 3 |
| 17 | 15 | 6 |
| 18 | 15 | 12 |
| 19 | 15 | 18 |
| 20 | 15 | 27 |
| 21 | 22 | 3 |
| 22 | 22 | 6 |
| 23 | 22 | 12 |
| 24 | 22 | 18 |
| 25 | 22 | 27 |
| 26 | 33 | 3 |
| 27 | 33 | 6 |
| 28 | 33 | 12 |
| 29 | 33 | 18 |
| 30 | 33 | 27 |
| 31 | 50 | 3 |
| 32 | 50 | 6 |
| 33 | 50 | 12 |
| 34 | 50 | 18 |
| 35 | 50 | 27 |
| 36 | 75 | 3 |
| 37 | 75 | 6 |
| 38 | 75 | 12 |
| 39 | 75 | 18 |
| 40 | 75 | 27 |
| 41 | 90 | 3 |
| 42 | 90 | 6 |
| 43 | 90 | 12 |
| 44 | 90 | 18 |
| 45 | 90 | 27 |
Disclaimer/Publisher’s Note: The statements, opinions and data contained in all publications are solely those of the individual author(s) and contributor(s) and not of MDPI and/or the editor(s). MDPI and/or the editor(s) disclaim responsibility for any injury to people or property resulting from any ideas, methods, instructions or products referred to in the content. |
© 2023 by the authors. Licensee MDPI, Basel, Switzerland. This article is an open access article distributed under the terms and conditions of the Creative Commons Attribution (CC BY) license (https://creativecommons.org/licenses/by/4.0/).
Share and Cite
Pereira, F.C.; Donovan, M.; Smith, C.M.S.; Charters, S.; Maxwell, T.M.R.; Gregorini, P. A Geospatial Modelling Approach to Understand the Spatio-Temporal Impacts of Grazing on Soil Susceptibility to Erosion. Soil Syst. 2023, 7, 30. https://doi.org/10.3390/soilsystems7020030
Pereira FC, Donovan M, Smith CMS, Charters S, Maxwell TMR, Gregorini P. A Geospatial Modelling Approach to Understand the Spatio-Temporal Impacts of Grazing on Soil Susceptibility to Erosion. Soil Systems. 2023; 7(2):30. https://doi.org/10.3390/soilsystems7020030
Chicago/Turabian StylePereira, Fabiellen C., Mitchell Donovan, Carol M. S. Smith, Stuart Charters, Thomas M. R. Maxwell, and Pablo Gregorini. 2023. "A Geospatial Modelling Approach to Understand the Spatio-Temporal Impacts of Grazing on Soil Susceptibility to Erosion" Soil Systems 7, no. 2: 30. https://doi.org/10.3390/soilsystems7020030
APA StylePereira, F. C., Donovan, M., Smith, C. M. S., Charters, S., Maxwell, T. M. R., & Gregorini, P. (2023). A Geospatial Modelling Approach to Understand the Spatio-Temporal Impacts of Grazing on Soil Susceptibility to Erosion. Soil Systems, 7(2), 30. https://doi.org/10.3390/soilsystems7020030

