Modeling of Island Fire Station Siting Under Ship–Shore Synergy Conditions
Abstract
1. Introduction
2. Island Fire Station Impact Factors
2.1. Principles for Siting Island Fire Stations
- (1)
- Five-minute principle
- (2)
- Area principle
- (3)
- Principle of comprehensive coverage
- (4)
- Principle of reasonable resources
2.2. Main Factors Affecting the Construction of Fire Stations at Island Terminals
- (1)
- Response time factor
- (2)
- Ship–shore synergy factors
- (3)
- Economic cost factors
- (4)
- Geographic environmental factors
3. Island Fire Station Siting Model
3.1. Multi-Objective Coverage Model
3.2. Response Loss Cost Minimization Site Selection Model
3.3. Minimum Total Cost of Construction Site Selection Model
3.4. Multi-Objective Arc-Segment Siting Model
4. Solving the Multi-Objective Arc-Segment Siting Model
4.1. Analysis of Model Parameters
- (1)
- Construction and maintenance cost cj
- (2)
- Fire probability pi at fire demand point i
- (3)
- Number of fire station construction L
- (4)
- Fire engine traveling speed v and road curvature ρ
- (5)
- Number of participating fire station rescue sites
- (6)
- Rescue cost function
- (7)
- Rescue cost matrix
- (8)
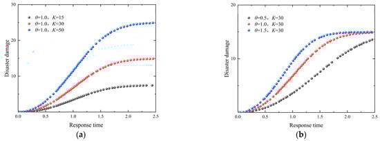
- Average firefighting demand (response time sensitivity ) and total firefighting demand (maximum potential loss cost of fire )
- (9)
- Distance relativization factor
4.2. Model Solution Method
5. Conclusions
Author Contributions
Funding
Institutional Review Board Statement
Informed Consent Statement
Data Availability Statement
Conflicts of Interest
Appendix A. Comparison of the Meaning of Specialized Terms
| Nomenclature Part | Explanation |
|---|---|
| Island | Islands in this study refer only to small, isolated, remote islands |
| Ship–shore synergy fire and rescue | Ship and port firefighting forces cooperate with each other in firefighting and rescue operations |
| First fire response | Relying on a single firefighting force for firefighting and rescue |
| Linked fire response | Collaboration between fire and rescue operations |
| Fire response time sensitivity | Capacity to withstand disasters |
| Maximum potential loss cost | Losses resulting from firefighting needs not being met |
| Response loss costs | Cost of losses due to response time |
References
- Kariv, O.; Hakimi, S.L. An algorithmic approach to network location problems. I: The p-centers. SIAM J. Appl. Math. 1979, 37, 513–538. [Google Scholar] [CrossRef]
- ReVelle, C.S.; Swain, R.W. Central facilities location. Geogr. Anal. 1970, 2, 30–42. [Google Scholar] [CrossRef]
- Hashim, M.N.; Shariff, R.S.S.; Deni, M.S. Allocation of relief centre for flood victims using Location Set Covering Problem(LSCP). J. Phys. Conf. Ser. 2021, 2084, 012016. [Google Scholar] [CrossRef]
- Berge, C. Two theorems in graph theory. Proc. Natl. Acad. Sci. USA 1957, 43, 842–844. [Google Scholar] [CrossRef] [PubMed]
- Karatas, M.; Yakıcı, E. A multi-objective location analytics model for temporary emergency service center location decisions in disasters. Decis. Anal. J. 2021, 1, 100004. [Google Scholar] [CrossRef]
- Kılcı, F.; Kara, B.Y.; Bozkaya, B. Locating temporary shelter areas after an earthquake: A case for Turkey. Eur. J. Oper. Res. 2015, 243, 323–332. [Google Scholar] [CrossRef]
- Hakimi, S.L. Optimum distribution of switching centers in a communication network and some related graph theoretic problems. Oper. Res. 1965, 13, 462–475. [Google Scholar] [CrossRef]
- Xi, M.; Zhang, J.; Zhao, Q.; Ye, F. Research on optimal layout of site selection for national emergency material reserve facilities based on the P-centre problem. J. Nat. Hazards 2019, 28, 123–129. [Google Scholar]
- Wu, Z. Research on Optimisation of Urban Fire Station Layout; Capital University of Economics and Business: Beijing, China, 2016. [Google Scholar]
- Bai, H. Research on Optimisation of Fire Station Layout in Urban Old City Based on GIS; Hunan University of Science and Technology: Xiangtan, China, 2011; (In Chinese). [Google Scholar] [CrossRef]
- Ming, J.K. Research on Fire Risk-Oriented Urban Fire Station Siting-Allocation Model; University of Science and Technology of China: Hefei, Anhui, 2022; (In Chinese). [Google Scholar] [CrossRef]
- Jia, X. Research on the Siting Layout of Surface Fire Station Based on Urban Fire Risk; Wuhan University of Science and Technology: Wuhan, China, 2022; (In Chinese). [Google Scholar] [CrossRef]
- Construction Standards for Urban Fire Stations 152-2022; National Development and Reform Commission. Ministry of Housing and Urban-Rural Development: Beijing, China, 2022.
- Ji, M.; Song, T.; Song, J.; Yang, Y.; Wang, Q. Optimization of hazardous materials emergency response center site selection in Yangtze River waterway under linear demand. Oper. Res. Manag. 2016, 25, 7. [Google Scholar] [CrossRef]
- Xu, X.; Zhu, H. Fire station planning method of chemical industry park based on identification of major hazard sources. In China Fire Protection Association Science and Technology Annual Conference Proceedings; Tianjin Fire Research Institute, Department of Emergency Management, Key Laboratory of Building Fire Engineering and Emergency Management Department: Beijing, China, 2020; pp. 722–726. [Google Scholar] [CrossRef]
- Church, R.; Velle, C.R. The Maximal Covering Location Problem, Papers of the Regional Science Association; Wiley-Blackwell: Hoboken, NJ, USA, 1974; pp. 101–118. [Google Scholar] [CrossRef]
- Zhang, Y. Research on Fire Protection Planning for Major Hazardous Areas Based on Multi-Objective Fuzzy Theory. Ph.D. Dissertation, Tianjin University, Tianjin, China, 2007. [Google Scholar]
- Wang, N.; Xu, Y.; Zhang, L.; Wang, Y. A multi-objective site selection method for fire station considering fire linkage and benefits. Syst. Eng. Theory Pract. 2020, 40, 664–678. [Google Scholar]
- Liu, N. Customer Satisfaction Evaluation; Social Science Press: Beijing, China, 2003. [Google Scholar]
- Sun, Q. A Study on Vehicle Scheduling for Fashion Distribution Based on Time Satisfaction; Nanjing University of Finance and Economics: Nanjing, China, 2011. [Google Scholar]
- Li, J.; Zhao, L.D. A time-satisfactory dual-capacity constrained site selection model for emergency stockpiles. J. Southeast Univ. Nanjing China 2007, s2, 393–396. [Google Scholar]
- Ma, Y. Research on Coverage Problem Based on Time Satisfaction in Network Location; Huazhong University of Science and Technology: Wuhan, China, 2005. [Google Scholar]
- Li, Y. Research on Vehicle Scheduling of Pharmaceutical Logistics Based on Customer Time Satisfaction; Northeastern University: Shenyang, China, 2013. [Google Scholar]
- Shen, Y. Research on the Site Selection and Distribution System of Logistics Facilities Based on Customer’s Time Satisfaction; Zhejiang University of Technology: Hangzhou, China, 2007; p. 29. [Google Scholar]
- Ariyanayagam, D.; Mahendran, M. Development of realistic design fire time-temperature curves for the testing of cold-formed steel wall systems. Front. Struct. Civ. Eng. 2014, 8, 427–447. [Google Scholar] [CrossRef]
- Chen, M.; Zhou, F.; Ma, J.; Chen, G.; Ni, H.; Hu, Y. Water damage loss function and flood loss assessment. J. Water Resour. 2015, 46, 883–891. [Google Scholar]
- Lu, X.; Zhu, M.; Liu, Y.; Wang, S.; Xu, Z.; Li, S. Triangular position multi-bolt layout structure optimization. Appl. Sci. 2023, 13, 8786. [Google Scholar] [CrossRef]
- Jin, H. A Multi-Objective Optimization System for Emergency Material Centre Site Selection; Nanjing University of Posts and Telecommunications: Nanjing, China, 2023. [Google Scholar] [CrossRef]
- Wang, F.; Wang, X. Research on the siting problem of two-stage multi-objective emergency material centre under sudden natural disasters. J. Saf. Environ. 2024, 24, 654–665. [Google Scholar] [CrossRef]
- Jokar, M.R.A. Facility and hub location model based on gravity rule. Comput. Ind. Eng. 2017, 109, 28–38. [Google Scholar]









| Parameters | Collection Meaning | Element Explanation |
|---|---|---|
| Collection of required firefighting points and fire protection blocks | denotes fire demand point (i.e., the th fire block). | |
| Collection of sea island fire stations Candidate points | denotes candidate , with a maximum of one fire station per block. | |
| Collection of fire block areas | denotes the area of the th block. | |
| Collection of small and medium fires Characteristic attributes for each fire demand point | denotes the value of the th attribute of the th fire demand point. | |
| Collection of large fire characteristics and attributes for each fire demand point. | denotes the value of the th attribute of the th fire demand point. | |
| Distance from each fire demand point to each fire station candidate point | denotes the distance from the fire demand point to the fire station candidate point . | |
| Average fire demand for each fire demand point | denotes the average fire demand of the fire demand point at fire level . | |
| Potential cost of losses and total fire demand set for each fire demand point | represents the total fire demand (i.e., the maximum potential fire loss cost) for the fire demand point at fire level . | |
| Number of fire rescues involved | It means independent rescue, rescue by two shore-based fire stations, rescue by ship-based fire stations, and rescue by two nearby fire stations. |
| Influencing Factor | Order (From Highest to Lowest) |
|---|---|
| Population density | |
| Density of critical facilities | |
| Density of large safety complex | |
| Density of navigation | |
| Density of highly hazardous sources |
| Domain Segment | Distance (km) |
|---|---|
| 330 | |
| 170 | |
| 440 | |
| 200 | |
| 108 | |
| 154 | |
| 53 |
| Firefighting Demand Points | (CNY 10k) | ||
|---|---|---|---|
| 1 | 135.769 | 49.426 | 128.508 |
| 2 | 343.268 | 122.476 | 342.932 |
| 3 | 140.804 | 51.466 | 291.295 |
| 4 | 7.892 | 3.890 | 14.394 |
| 5 | 308.929 | 116.184 | 32.532 |
| 6 | 110.967 | 40.331 | 60.496 |
| 7 | 160.744 | 59.035 | 253.851 |
| 8 | 629.088 | 222.131 | 1315.013 |
| Site | Construction Costs (CNY 10k) | Rescue Costs (CNY 10k) | Response Loss Costs (CNY 10k) | Total Rescue Costs (CNY 10k) | Total Costs (CNY 10k) | Site Location |
|---|---|---|---|---|---|---|
| 3 | 2400 | 5249.60 | 92.10 | 5341.70 | 7741.70 | |
| 4 | 3200 | 2397.52 | 44.64 | 2442.16 | 5642.16 | |
| 5 | 4000 | 1323.22 | 12.92 | 1336.14 | 5336.14 | |
| 6 | 4800 | 538.40 | 5.36 | 543.76 | 5343.76 | |
| 7 | 5600 | 208.35 | 4.15 | 212.50 | 5812.50 | |
| 8 | 6400 | 119.81 | 0.09 | 119.90 | 6519.90 |
Disclaimer/Publisher’s Note: The statements, opinions and data contained in all publications are solely those of the individual author(s) and contributor(s) and not of MDPI and/or the editor(s). MDPI and/or the editor(s) disclaim responsibility for any injury to people or property resulting from any ideas, methods, instructions or products referred to in the content. |
© 2024 by the authors. Licensee MDPI, Basel, Switzerland. This article is an open access article distributed under the terms and conditions of the Creative Commons Attribution (CC BY) license (https://creativecommons.org/licenses/by/4.0/).
Share and Cite
Li, S.; Guo, J.; Liu, B.; Lu, X.; Zhao, B. Modeling of Island Fire Station Siting Under Ship–Shore Synergy Conditions. Fire 2024, 7, 394. https://doi.org/10.3390/fire7110394
Li S, Guo J, Liu B, Lu X, Zhao B. Modeling of Island Fire Station Siting Under Ship–Shore Synergy Conditions. Fire. 2024; 7(11):394. https://doi.org/10.3390/fire7110394
Chicago/Turabian StyleLi, Shengnan, Jingjing Guo, Boyun Liu, Xiaohan Lu, and Bo Zhao. 2024. "Modeling of Island Fire Station Siting Under Ship–Shore Synergy Conditions" Fire 7, no. 11: 394. https://doi.org/10.3390/fire7110394
APA StyleLi, S., Guo, J., Liu, B., Lu, X., & Zhao, B. (2024). Modeling of Island Fire Station Siting Under Ship–Shore Synergy Conditions. Fire, 7(11), 394. https://doi.org/10.3390/fire7110394
