Development and Testing of a Fast-Acting, 8-Bit, Digital Throttle for Hybrid Rocket Motors
Abstract
1. Introduction
2. Background
2.1. Hybrid Rocket Motor Throttling
2.2. Throttled Hybrid Rocket Development History
2.3. Hybrid-Throttle Response Fidelity Issues Associated Analog Position-Control Valves
2.4. Digital Valve Concept as Alternative to Position Control Valves for Hybrid Throttling
3. System Hardware Design
3.1. Digital Valve Hardware Description
3.2. Digital Valve Electrical Interface
3.3. Hybrid Rocket Test Article
3.3.1. Thrust Chamber
3.3.2. Motor Ignition System
3.4. Motor Test Support Systems
3.5. Digital Valve Control Software
4. Analytical Modeling
4.1. Calculating Chamber Pressure
4.2. Calculating Fuel Mass Flow and Linear Regression Rate
4.3. Calculating Oxidizer-to-Fuel (O/F) Ratio, and O/F-Shift
4.4. Calculating the Orifice Flow Coefficient, Cv
- Qstp = Volumetric flow rate at standard temperature and pressure, ft3/h
- p1 = Pressure upstream of the orifice, psia, (0.145 kPa)
- p2 = Pressure downstream of the orifice, psia, (0.145 kPa)
- T = Local flow stagnation temperature, °R, (1.8 K)
- Sgrav = Specific gravity of the working gas with respect to air.
5. Results and Discussion
5.1. Digital Valve Cv and Throttle Mass Flow Calibration
5.2. Test Motor Fuel-Regression Rate Calibration
5.3. Deep Throttle Test and Analysis
5.4. Deep Throttle, Multiple-Step, Boxcar Duty-Cycle, Test and Analysis
5.5. Sine Wave Duty-Cycle Test and Analysis
5.6. Frequency Response Analysis
5.6.1. Multistep Boxcar Frequency Response Analysis
5.6.2. 1-Hz Sine Wave Frequency Response Analysis
5.6.3. Discussion of System Response Fidelity
6. Future Work: System Response Scaling and Compensation
7. Summary and Conclusions
Funding
Institutional Review Board Statement
Informed Consent Statement
Data Availability Statement
Conflicts of Interest
Nomenclature
| Symbols | |
| Aburn | fuel port cross-sectional area, cm2 |
| Ac | fuel port cross-sectional area, cm2 |
| Aexit | nozzle exit area, cm2 |
| Ainj | injector flow area, cm2 |
| A* | nozzle exit flow area, cm2 |
| a | regression rate flow parameter, cm/s kPan |
| Cd | discharge coefficient |
| Cv | flow coefficient, ft3-oR-in2/lbf-hr |
| Fthrust | thrust level, N |
| Gox | oxidizer mass flux, g/cm2-s |
| Kn | compressible mass flow coefficient |
| L | fuel port length, cm |
| fuel mass flow, g/s | |
| Mw | molecular weight, kg/kg-mol |
| Fuel | consumed fuel mass during burn, g |
| oxidizer mass flow, g/s | |
| total mass flow through the nozzle, g/s | |
| m | regression rate burn exponent |
| N | number of points in data time history |
| n | regression rate burn exponent |
| O/F | oxidizer-to-fuel ratio |
| pexit | nozzle exit pressure, kpa |
| p∞ | operating ambient pressure, kpa |
| P0 | combustion chamber pressure, kpa |
| pexit | nozzle exit pressure, psia |
| p1 | inlet pressure, psia |
| p2 | outlet pressure, psia |
| ro | initial fuel port diameter, cm |
| longitudinal mean of fuel port regression rate, cm/s | |
| Rg | ideal gas constant, J/kg-K |
| sgrav | specific gravity |
| T | radiant temperature, K |
| T0 | stagnation temperature, K |
| tburn | burn time, s |
| Q | volumetric flow rate, lbm/h |
| Vc | instantaneous fuel port volume, cm3 |
| Vol | combustion chamber volume, cm3 |
| γ | ratio of specific heats |
| ρ | density, g/cm3 |
| Acronyms | |
| ABS | Acrylonitrile Butadiene Styrene |
| CEA | Chemical Equilibrium with Applications |
| GOX | Gaseous Oxygen |
| HVPS | High Voltage Power Supply |
| P&ID | Piping and Instrumentation |
| STP | Standard Temperature and Pressure |
| USU | Utah State University |
References
- U.S. Department of Transportation. Hazard Analysis of Commercial Space Transportation; Vol. 1: Operations, Vol. 2: Hazards, Vol. 3: Risk Analysis; PB93-199040, Accession No. 00620693; U.S. Department of Transportation: Washington, DC, USA, 1988. Available online: https://www.faa.gov/about/office_org/headquarters_offices/ast/.../hazard.pdf (accessed on 29 July 2024).
- Dornheim, M.A. Reaching 100 km. Av. Week Space Technol. 2004, 161, 45–46. Available online: https://www.researchgate.net/publication/292268464_Reaching_100_km (accessed on 29 July 2024).
- Casalino, L.; Pastrone, D. Optimization of Hybrid Sounding Rockets for Hypersonic Testing. J. Propuls. Power 2012, 28, 405–411. [Google Scholar] [CrossRef]
- Jens, E.; Karp, A.C.; Nakazono, B.; Eldred, D.B.; DeVost, M.E.; Vaughan, D. Design of a Hybrid CubeSat Orbit Insertion Motor. In Proceedings of the 52nd AIAA/SAE/ASEE Joint Propulsion Conference, Salt Lake City, UT, USA, 25–27 July 2016. AIAA 2016-4961. [Google Scholar] [CrossRef]
- Karp, A.C.; Nakazono, B.; Benito Manrique, J.; Shotwell, R.; Vaughan, D.; Story, G.T. A hybrid mars ascent vehicle concept for low temperature storage and operation. In Proceedings of the 52nd AIAA/SAE/ASEE Joint Propulsion Conference, Salt Lake City, UT, USA, 25–27 July 2016. AIAA 2016-4962. [Google Scholar] [CrossRef]
- Chiba, K.; Yoda, H.; Kanazaki, M.; Shimada, T. Extinction–Reignition Superiority in a Single-Stage Sounding Hybrid Rocket. Aerosp. Sci. Technol. 2016, 58, 437–444. [Google Scholar] [CrossRef]
- Saraniero, M.A.; Caveny, L.H.; Summerfield, M. Restart Transients of Hybrid Rocket Engines. J. Spacecr. Rocket. 1973, 10, 215–217. [Google Scholar] [CrossRef]
- Zakirov, V.; Wan, K.; Shan, F.-L.; Zhang, H.-Y.; Li, L.-M. Restartable Hybrid Rocket Motor using Nitrous Oxide. In Proceedings of the 57th International Astronautical Congress, Valencia, Spain, 2–6 October 2006. IAC-06-C4.202. [Google Scholar] [CrossRef]
- Whitmore, S.A.; Inkley, N.R.; Merkley, D.P.; Judson, M.I. Development of a Power-Efficient, Restart-Capable Arc Ignitor for Hybrid Rockets. J. Propuls. Power 2015, 31, 1739–1749. [Google Scholar] [CrossRef]
- Glaser, C.; Hijlkema, J.; Anthoine, J. Bridging the Technology Gap: Strategies for Hybrid Rocket Engines. Aerospace 2023, 10, 901. [Google Scholar] [CrossRef]
- Whitmore, S.A.; Peterson, Z.W.; Eilers, S.D. Closed-Loop Precision Throttling of a Hybrid Rocket Motor. J. Propuls. Power 2014, 30, 325–336. [Google Scholar] [CrossRef]
- Ruffin, A.; Paccagnella, E.; Santi, M.; Barato, F.; Pavarin, D. Real-Time Deep Throttling Tests of a Hydrogen Peroxide Hybrid Rocket Motor. J. Propuls. Power 2022, 38, 833–848. [Google Scholar] [CrossRef]
- Casalino, L.; Pastrone, D. Integrated design-trajectory optimization for hybrid rocket motors. In Modeling and Optimization in Space Engineering; Springer: New York, NY, USA, 2013; pp. 343–363. [Google Scholar] [CrossRef]
- Casalino, L.; Pastrone, D. A Straightforward Approach for Robust Design of Hybrid Rocket Engine Upper Stage. In Proceedings of the 51st AIAA/SAE/ASEE Joint Propulsion Conference, Orlando, FL, USA, 27–29 July 2015. AIAA 2015-4202. [Google Scholar] [CrossRef]
- Casalino, L.; Masseni, F.; Pastrone, D. Uncertainty Analysis and Robust Design for a Hybrid Rocket Upper Stage. J. Spacecr. Rocket. 2019, 56, 1424–1431. [Google Scholar] [CrossRef]
- Betts, J.T. Survey of Numerical Methods for Trajectory Optimization. J. Guid. Control. Dyn. 1998, 21, 193–207. [Google Scholar] [CrossRef]
- Karabeyoğlu, A.; Toson, E.; Evans, B. O/F Shift in Hybrid Rockets. In Proceedings of the 50th AIAA/ASME/SAE/ASEE Joint Propulsion Conference, AIAA 2014-3851, AIAA Propulsion and Energy Forum, Cleveland, OH, USA, 28–30 July 2014. [Google Scholar] [CrossRef]
- Waidmann, W. Thrust Modulation in Hybrid Rocket Engines. J. Propuls. Power 1988, 4, 421–427. [Google Scholar] [CrossRef]
- Betts, E.; Frederick, R. Historical Systems Study of Liquid Rocket Engine Throttling Capabilities. In Proceedings of the 46th AIAA/ASME/SAE/ASEE Joint Propulsion Conference & Exhibit, Nashville, TN, USA, 25–28 July 2010. AIAA Paper 2010-0863. [Google Scholar] [CrossRef]
- Bradley, M. Space Shuttle Main Engine Off-Nominal Low Power Level Operation. In Proceedings of the 33rd Joint Propulsion Conference and Exhibit, Seattle, WA, USA, 6–9 July 1997. AIAA Paper 1997-2685. [Google Scholar] [CrossRef]
- Spurrier, Z.S. Throttleable GOX/ABS Launch Assist Hybrid Rocket Motor for Throttleable GOX/ABS Launch Assist Hybrid Rocket Motor for Small Scale Air Launch Platform. Master’s Thesis, Utah State University, Utah State University Digital Commons, Logan, UT, USA, 2016. [Google Scholar] [CrossRef]
- Moore, G.E.; Berman, K. A Solid-Liquid Rocket Propellant System. Jet Propuls. 1956, 26, 965–968. [Google Scholar] [CrossRef]
- Duban, P. The LEX Rocket Probe (EX Small Rocket Probe for In-Flight Testing of ONERA Studies of Hybrid Propulsion, Discussing Design and Program. L’Aeronautique et L’Astronautique. 1968, pp. 47–54. Available online: https://en.wikipedia.org/wiki/LEX_(sounding_rocket) (accessed on 31 July 2024).
- Franklin, B.; Mead, J.; Bornhorst, B.R. Certification Tests of a Hybrid Propulsion System for the Sandpiper Target Missile. AFRPL-TR-69-73. 1969. Available online: https://apps.dtic.mil/sti/pdfs/AD0503586.pdf (accessed on 31 July 2024).
- Jones, R.A. Hybrid Propulsion System for an Advanced Rocket-Powered Target Missile. Quarterly Technical Report, UTC 2220-QTR2. 1967. Available online: https://apps.dtic.mil/sti/citations/AD0377469 (accessed on 31 July 2024).
- Penn, C.D.; Branigan, J.E. Preliminary Flight Rating Tests of the HAST Propulsion System. AFRPL-TR-15-5. 1975. Available online: https://apps.dtic.mil/sti/pdfs/ADA012200.pdf (accessed on 31 July 2024).
- Boardman, T.A.; Carpenter, R.L.; Goldberg, B.E.; Shaeffer, C.W. Development and Testing of 11- and 24-inch Hybrid Motors under the Joint Government/Industry IR&D Program. In Proceedings of the 29th Joint Propulsion Conference and Exhibit, Monterey, CA, USA, 28–30 June 1993. AIAA Paper 93-2552. [Google Scholar] [CrossRef]
- Carpenter, R.L.; Boardman, T.A.; Claflin, S.E.; Harwell, R.J. Hybrid Propulsion for Launch Vehicle Boosters: A Program Status Update. In Proceedings of the 31st AIAA/ASME/SAE/ASEE Joint Propulsion Conference and Exhibit, San Diego, CA, USA, 10–12 July 1995. [Google Scholar] [CrossRef][Green Version]
- Wright, A.B.; Teague, W.; Wright, A.M.; Wilson, E.W. Instrumentation of UALR Labscale Hybrid Rocket Motor. In Proceedings of the Sensors for Propulsion Measurement Applications, Orlando, FL, USA, 17–21 April 2006; Volume 6222. [Google Scholar] [CrossRef]
- Dyer, J.; Doran, E.; Dunn, Z.; Lohner, K.; Bayart, C.; Sadhwani, A.; Zilliac, G.; Cantwel, B.; Karabeyoglu, A. Design and Development of a 100 km Nitrous Oxide/Paraffin Hybrid Rocket Vehicle. In Proceedings of the 43rd AIAA/ASME/SAE/ASEE Joint Propulsion Conference & Exhibit, Cincinnati, OH, USA, 8–11 July 2007. AIAA 2007-5362. [Google Scholar] [CrossRef]
- Doran, E.; Dyer, J.; Marzoña, M.; Karabayaglu, A.; Zilliac, G.; Mosher, R.; Cantwell, B. Status Update Report for the Peregrine Sounding Rocket Project: Part III. In Proceedings of the 45th AIAA/ASME/SAE/ASEE Joint Propulsion Conference & Exhibit, Denver, CO, USA, 2–5 August 2009. AIAA 2009-4840. [Google Scholar] [CrossRef]
- Austin, B.; Heister, S.; Dambach, E.; Meyer, S.; Wernimont, E. Variable Thrust, Multiple Start Hybrid Motor Solutions for Missile and Space Applications. In Proceedings of the 46th AIAA/SME/SAE/ASEE Joint Propulsion Conference, Nashville TN, USA, 25–28 July 2010. [Google Scholar] [CrossRef]
- Whitmore, S.A.; Peterson, Z.W.; Eilers, S.D. Deep Throttle of a Nitrous Oxide and Hydroxyl-Terminated Polybutadiene Hybrid Rocket Motor. J. Propuls. Power 2014, 30, 78–86. [Google Scholar] [CrossRef]
- Whitmore, S.A.; Merkley, S.L.; Walker, S.D.; Spurrier, Z.S. Throttled Launch-Assist Hybrid Rocket Motor for an Airborne NanoSat Launch Platform. In Proceedings of the 51st AIAA/SAE/ASEE Joint Propulsion Conference, Orlando, FL, USA, 27–29 July 2015. AIAA 2015-3940. [Google Scholar] [CrossRef]
- Whitmore, S.A.; Bulcher, A.M.; Lewis, Z.; Inkley, N. Methods and Systems for Restartable Hybrid Rockets. U.S. Patent 10,774,789 B2, 15 September 2020. Available online: https://patents.google.com/patent/US20150322892A1/en (accessed on 31 July 2024).
- Wheeler, A.H. Building Aeroplanes for ‘Those Magnificent Men’; Foulis Publishers: London, UK, 1963; ISBN 0854290575/978-0854290574. [Google Scholar]
- NASA. NASA, Fast-Acting, Deep-Throttling Hybrid Motor, Improved Deep-Throttle Response Times for a Wider Capability Hybrid Motor System. MFS-TOPS-130, Case No. MFS-34202-1. 2024. Available online: https://ntts-prod.s3.amazonaws.com/t2p/prod/t2media/tops/pdf/MFS-TOPS-130.pdf (accessed on 8 October 2024).
- Whitmore, S.A.; Babb, R.S.; Gardner, T.J.; Lloyd, K.P.; Stephens, J.C. Pyrolytic Graphite and Boron Nitride as Low-Erosion Nozzle Materials for Long-Duration Hybrid Rocket Testing. In Proceedings of the AIAA Propulsion and Energy 2020 Forum, Virtual Event, 24–28 August 2020. AIAA 2020-3740. [Google Scholar] [CrossRef]
- Eilers, S.D.; Whitmore, S.A. Correlation of Hybrid Rocket Propellant Regression Measurements with Enthalpy-Balance Model Predictions. J. Spacecr. Rocket. 2008, 45, 1010–1020. [Google Scholar] [CrossRef]
- Whitmore, S.A. MAE 6530 Advanced Propulsion Systems, Section 3.3.1 Injector Notes. 2018. Available online: http://mae-nas.eng.usu.edu/MAE_6530_Web/New_Course/Section3/section.3.3.1.pdf (accessed on 31 July 2024).
- Gordon, S.; McBride, B.J. Computer Program for Calculation of Complex Chemical Equilibrium Compositions and Applications. NASA Technical Report RP-1311; 1994. Available online: https://www.grc.nasa.gov/WWW/CEAWeb/RP-1311.pdf (accessed on 31 July 2024).
- Anderson, J.D. Modern Compressible Flow, 3rd ed.; The McGraw Hill Companies, Inc.: New York, NY, USA, 2003; Chapter 4; pp. 127–187. ISBN 978-0072424430. Available online: https://libcat.lib.usu.edu/search/i0070016542 (accessed on 31 July 2024).
- Marxman, G.; Gilbert, M. Turbulent Boundary Layer Combustion in the Hybrid Rockets. Symp. (Int.) Combust. 1963, 9, 371–383. [Google Scholar] [CrossRef]
- Marxman, G.A.; Wooldridge, C.E.; Muzzy, R.J. Fundamentals of Hybrid Boundary Combustion. Prog. Astronaut. Aeronaut. 1964, 15, 485–492. [Google Scholar] [CrossRef]
- Beckwith, T.G.; Marangoni, R.D.; Lienhard, V. Mechanical Measurements, 6th ed.; Prentice Hall: Hoboken, NJ, USA, 2006; pp. 43–73. ISBN 0-201-84765-5. [Google Scholar]
- Zilliac, G.; Karabeyoglu, A. Hybrid Rocket Fuel Regression Rate Data and Modeling. In Proceedings of the AIAA/ASME/SAE/ASEE 42nd Joint Propulsion Conference, Sacramento, CA, USA, 9–12 July 2006. AIAA-2006-4504. [Google Scholar] [CrossRef]
- Zilliac, G.; Karabeyoglu, M. Radiation Heating Effects on Oxidizer-to-Fuel Ratio of Additively Manufactured Hybrid Rocket Fuels. J. Propuls. Power 2019, 35, 863–878. [Google Scholar] [CrossRef]
- Emerson. Control Valve Sizing Control Valve Handbook, 5th ed.; Emerson Electric: Marshalltown IA, USA, 2019; Available online: https://www.emerson.com/documents/automation/control-valve-handbook-en-3661206.pdf (accessed on 26 August 2024).
- ASME. Measurement of Fluid Flow in Pipes Using Orifice, Nozzle, and Venturi. ASME Standard, MFC-3M-2004, ASME 2004. pp. 14–17. Available online: https://www.asme.org/codes-standards/find-codes-standards/mfc-3m-measurement-fluid-flow-pipes-using-orifice-nozzle-venturi (accessed on 30 August 2024).
- Whitmore, S.A. A Variational Method for Estimating Time-Resolved Hybrid Fuel Regression Rates from Chamber Pressure. In Proceedings of the AIAA Propulsion and Energy 2020 Forum, Virtual Event, 24–28 August 2020. AIAA 2020-3762. [Google Scholar] [CrossRef]
- Karabeyoglu, A.; Stevens, J.; Cantwell, B. Investigation of Feed System Coupled Low Frequency Combustion Instabilities in Hybrid Rockets. In Proceedings of the 43rd AIAA/ASME/SAE/ASEE Joint Propulsion Conference and Exhibit, Cincinnati, OH, USA, 8–11 July 2007. AIAA 2007-5366. [Google Scholar] [CrossRef]
- Maine, R.E.; Iliff, K.W. Application of Parameter Estimation to Aircraft Stability and Control: The Output Error Approach. NASA RP 1168, Edwards CA; 1986. Available online: https://www.nasa.gov/centers/dryden/pdf/88044main_H-1299.pdf (accessed on 10 October 2024).























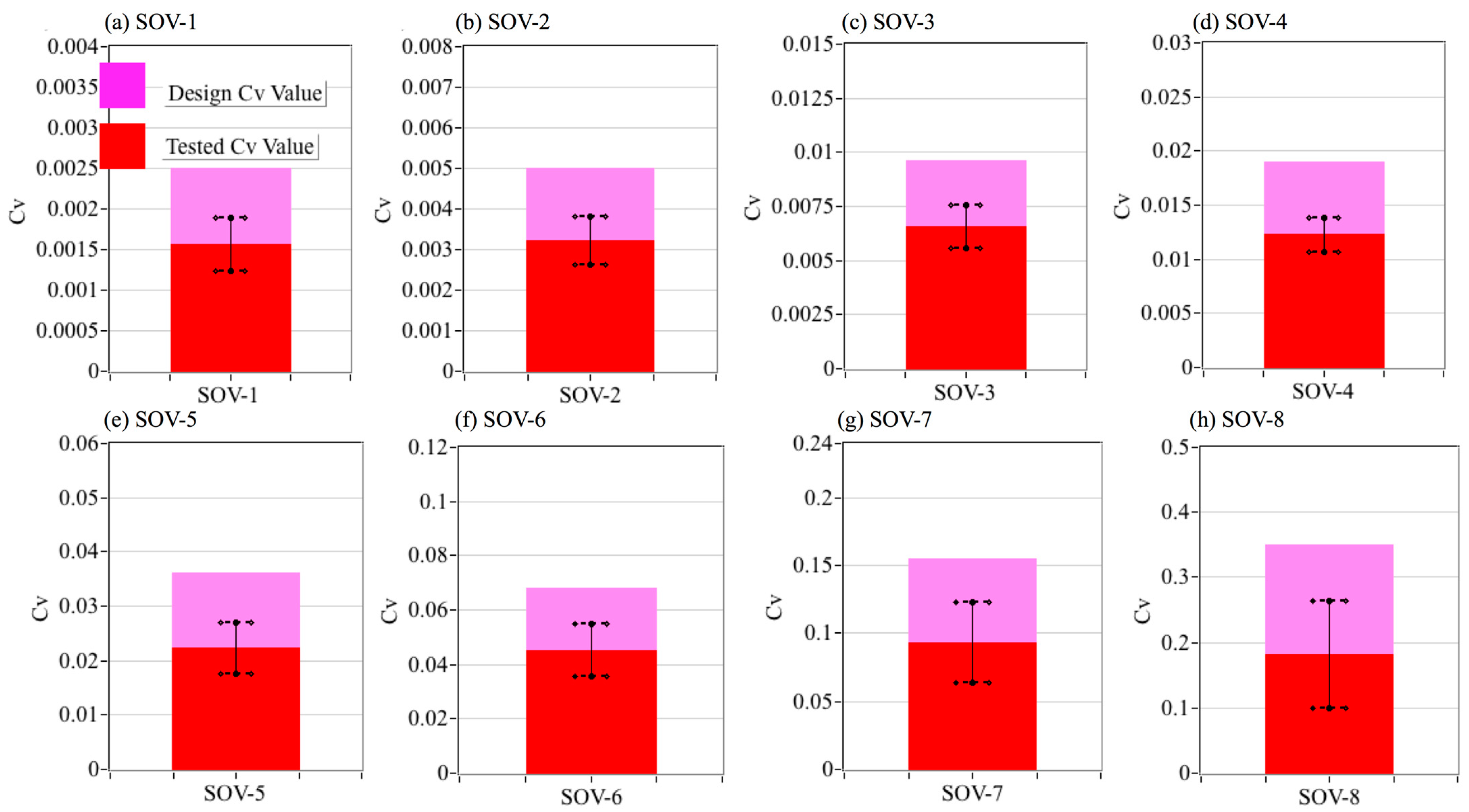
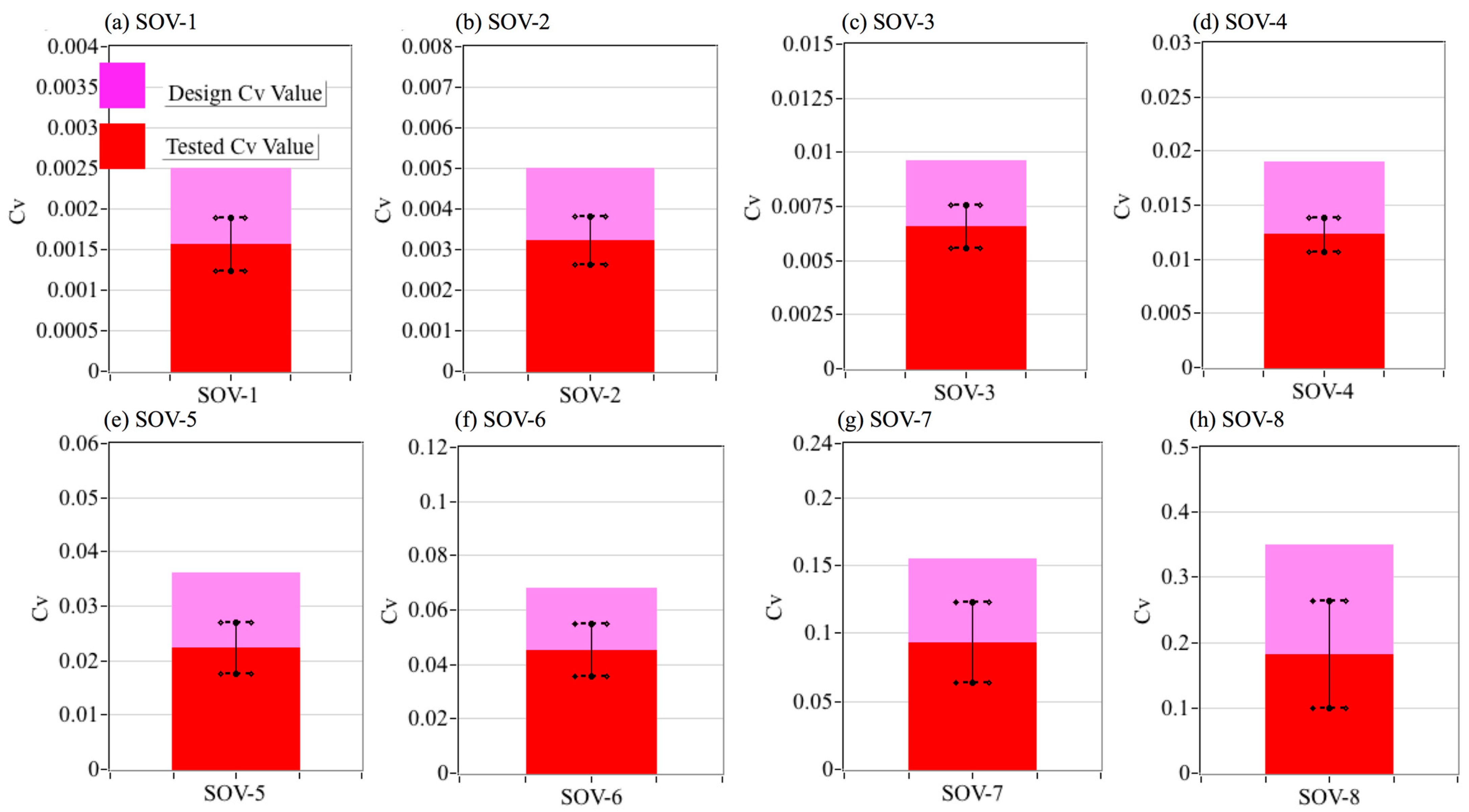
| Valve Number | Orifice Diameter, mm | Design Cv | Actual Cv | Digital Channel |
|---|---|---|---|---|
| SOV-1 | 0.2540 | 0.0025 | 0.0016 | 0 |
| SOV-2 | 0.4064 | 0.0050 | 0.0032 | 1 |
| SOV-3 | 0.5334 | 0.0096 | 0.00660 | 2 |
| SOV-4 | 0.7366 | 0.019 | 0.0123 | 3 |
| SOV-5 | 1.0160 | 0.0360 | 0.0224 | 4 |
| SOV-6 | 1.3970 | 0.0680 | 0.0452 | 5 |
| SOV-7 | 2.0828 | 0.1550 | 0.0929 | 6 |
| SOV-8 | 4.3688 | 0.3500 | 0.1818 | 7 |
| SOV-Total | 0.6451 | 0.3659 |
| Throttle Level | 50% | 100% | ||||
|---|---|---|---|---|---|---|
| Fit coefficients | a, | n | RMS fit error, cm/s | a, | n | RMS fit error, cm/s |
| Burn 1 | 0.51059 | 0.2536 | ±0.0125 | 0.54327 | 0.2836 | ±0.0225 |
| Burn 2 | 0.35053 | 0.3396 | ±0.0135 | 0.31378 | 0.3796 | ±0.0155 |
| Burn 3 | 0.26083 | 0.4265 | ±0.0141 | 0.34427 | 0.4065 | ±0.0161 |
| Concatenated data | 0.35736 | 0.3400 | ±0.0112 | 0.48695 | 0.3239 | ±0.0121 |
| Mean values | 0.41911 | 0.3320 | ±0.0117 | |||
Disclaimer/Publisher’s Note: The statements, opinions and data contained in all publications are solely those of the individual author(s) and contributor(s) and not of MDPI and/or the editor(s). MDPI and/or the editor(s) disclaim responsibility for any injury to people or property resulting from any ideas, methods, instructions or products referred to in the content. |
© 2024 by the author. Licensee MDPI, Basel, Switzerland. This article is an open access article distributed under the terms and conditions of the Creative Commons Attribution (CC BY) license (https://creativecommons.org/licenses/by/4.0/).
Share and Cite
Whitmore, S.A. Development and Testing of a Fast-Acting, 8-Bit, Digital Throttle for Hybrid Rocket Motors. Fire 2024, 7, 393. https://doi.org/10.3390/fire7110393
Whitmore SA. Development and Testing of a Fast-Acting, 8-Bit, Digital Throttle for Hybrid Rocket Motors. Fire. 2024; 7(11):393. https://doi.org/10.3390/fire7110393
Chicago/Turabian StyleWhitmore, Stephen A. 2024. "Development and Testing of a Fast-Acting, 8-Bit, Digital Throttle for Hybrid Rocket Motors" Fire 7, no. 11: 393. https://doi.org/10.3390/fire7110393
APA StyleWhitmore, S. A. (2024). Development and Testing of a Fast-Acting, 8-Bit, Digital Throttle for Hybrid Rocket Motors. Fire, 7(11), 393. https://doi.org/10.3390/fire7110393

