Terrestrial Laser Scanning: An Operational Tool for Fuel Hazard Mapping?
Abstract
:1. Introduction
1.1. Mapping and Monitoring Vegetation with Terrestrial Laser Scanning
1.2. Aims and Objectives
- To provide guidance as to an appropriate sampling strategy for use in the collection of TLS data;
- To compare two Terrestrial Laser Scanners with different operating principles and price points for fuel hazard assessments.
2. Materials and Methods
2.1. Study Areas
2.2. Fuel Hazard Framework
2.3. TLS Instruments
2.4. TLS Data Capture
2.5. Point Cloud to Fuel Hazard
2.5.1. Voxelisation
2.5.2. Noise Detection
2.5.3. Ground Definition and Normalisation
2.5.4. Establishment of Strata
2.5.5. Metric Derivation
2.6. Assessing TLS Performance
Metric Evaluation
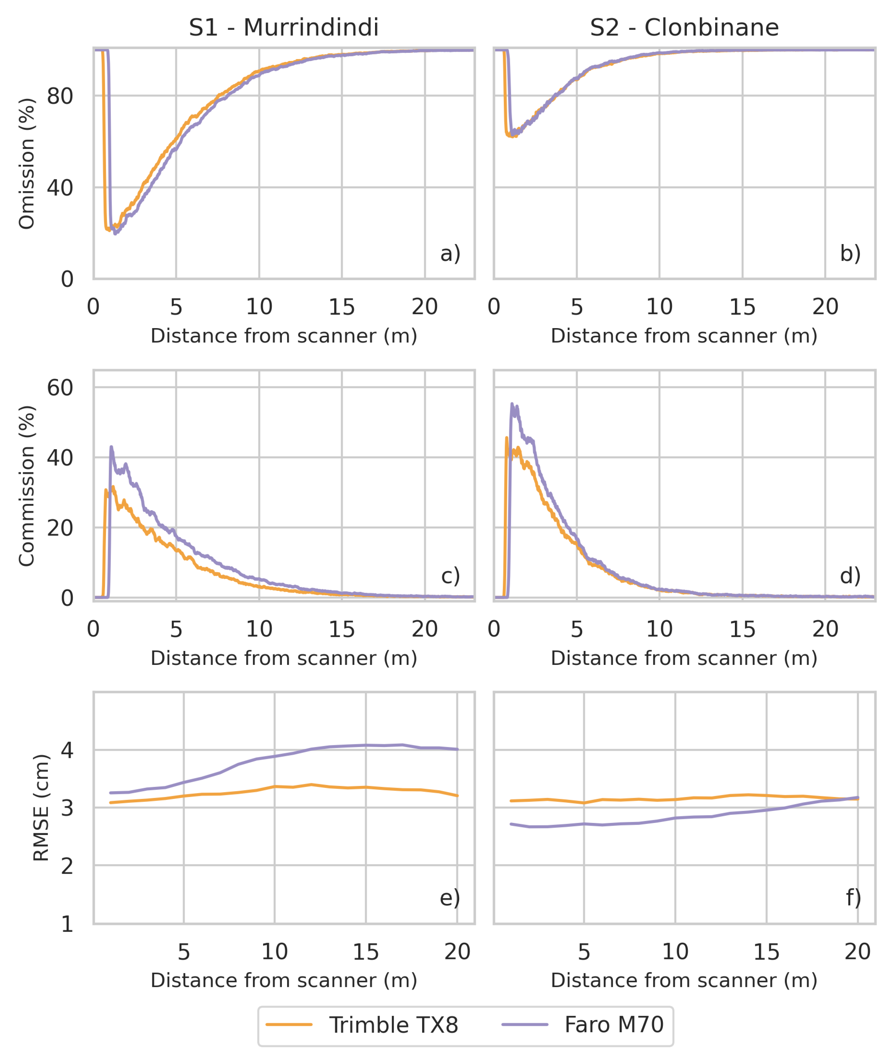
3. Results
3.1. Merged Scan Plot Characterisation
3.1.1. Vertical Point Distribution
3.1.2. Metric Evaluation
3.2. Single Scan Plot Characterisation
3.2.1. Noise Detection
3.2.2. Ground Definition
3.2.3. Metric Evaluation
4. Discussion
5. Conclusions
Author Contributions
Funding
Data Availability Statement
Acknowledgments
Conflicts of Interest
Abbreviations
| AGH | Above Ground Height |
| CSF | Cloth Simulation Filter |
| DTM | Digital Terrain Model |
| EVC | Ecological Vegetation Class |
| MCC | Mathews Correlation Coefficient |
| NN | Nearest Neighbour |
| OFHAG | Overall Fine Fuel Hazard Assessment Guide |
| RMSE | Root-Mean-Squared Error |
| ST | Selection Threshold |
| TIN | Triangular Irregular Network |
| TLS | Terrestrial Laser Scanning |
| 3D | Three-Dimensional |
Appendix A. Overall Fuel Hazard Guide Assessments
| Site | S1 | S2 |
|---|---|---|
| Canopy height (m) | 25 | 10 |
| Canopy cover (%) | 70–80 | 60–70 |
| Stringybark fuel hazard | High | Moderate |
| Ribbon bark fuel hazard | Moderate | Moderate |
| Other bark fuel hazard | N/A | N/A |
| Overall bark fuel hazard | High | Moderate |
| Elevated cover (%) | 20–30 | 30–50 |
| Elevated dead (%) | 20 | 20 |
| Elevated fuel mean height (m) | 0.60–0.70 | 0.5–0.60 |
| Elevated fuel hazard | Moderate | High |
| Near-surface cover (%) | 20–40 | 20–40 |
| Near-surface dead (%) | 20 | 20 |
| Near-surface mean height (m) | 0.20–0.40 | 0.20–0.40 |
| Near-surface fuel hazard | High | High |
| Surface litter cover (%) | 90 | 80–90 |
| Surface litter depth (mm) | 25–45 | 20–30 |
| Surface fuel hazard | Very High | High |
| Combined hazard | Very High | Very High |
| Overall fuel hazard | High | Very High |
References
- Jolly, W.M.; Cochrane, M.A.; Freeborn, P.H.; Holden, Z.A.; Brown, T.J.; Williamson, G.J.; Bowman, D.M. Climate-induced variations in global wildfire danger from 1979 to 2013. Nat. Commun. 2015, 6, 7537. [Google Scholar] [CrossRef] [PubMed]
- Bowman, D.M.; Williamson, G.J.; Abatzoglou, J.T.; Kolden, C.A.; Cochrane, M.A.; Smith, A.M. Human exposure and sensitivity to globally extreme wildfire events. Nat. Ecol. Evol. 2017, 1, 1–6. [Google Scholar] [CrossRef]
- Sharples, J.J.; Cary, G.J.; Fox-Hughes, P.; Mooney, S.; Evans, J.P.; Fletcher, M.S.; Fromm, M.; Grierson, P.F.; McRae, R.; Baker, P. Natural hazards in Australia: Extreme bushfire. Clim. Chang. 2016, 139, 85–99. [Google Scholar] [CrossRef]
- Tedim, F.; Leone, V.; Amraoui, M.; Bouillon, C.; Coughlan, M.R.; Delogu, G.M.; Fernandes, P.M.; Ferreira, C.; McCaffrey, S.; McGee, T.K.; et al. Defining extreme wildfire events: Difficulties, challenges, and impacts. Fire 2018, 1, 9. [Google Scholar] [CrossRef] [Green Version]
- Gould, J.S.; Lachlan McCaw, W.; Phillip Cheney, N. Quantifying fine fuel dynamics and structure in dry eucalypt forest (Eucalyptus marginata) in Western Australia for fire management. For. Ecol. Manag. 2011, 262, 531–546. [Google Scholar] [CrossRef]
- Hines, F.; Tolhurst, K.G.; Wilson, A.A.G.; McCarthy, G.J. Overall Fuel Hazard Assessment Guide, 4th ed.; Department of Sustainability and Environment, Victorian Government: Melbourne, Australia, 2010; Volume 82, pp. 1–41.
- Gould, J.S.; McCaw, W.; Cheney, N.; Ellis, P.; Knight, I.; Sullivan, A. Project Vesta: Fire in Dry Eucalypt Forest: Fuel Structure, Fuel Dynamics and Fire Behaviour; CSIRO Publishing: Clayton, Australia, 2008. [Google Scholar]
- Prichard, S.J.; Sandberg, D.V.; Ottmar, R.D.; Eberhardt, E.; Andreu, A.; Eagle, P.; Swedin, K. Fuel characteristic classification system version 3.0: Technical documentation. General Technical Reports PNW-GTR-887; US Department of Agriculture, Forest Service, Pacific Northwest Research Station: Portland, OR, USA, 2013; volume 887, 79p.
- Rothermel, R.C. A Mathematical Model for Predicting Fire Spread in Wildland Fuels; Intermountain Forest Range Experiment Station, Forest Service: Ogden, GA, USA, 1972; Volume 115. [Google Scholar]
- Forestry Canada Fire Danger Group. Development and Structure of the Canadian Forest Fire Behavior Prediction System; Forestry Canada, Headquarters, Fire Danger Group and Science and Sustainable Development Directorate: Ottawa, ON, Canada, 1992. [Google Scholar]
- Tolhurst, K.; Shields, B.; Chong, D. Phoenix: Development and application of a bushfire risk management tool. Aust. J. Emerg. Manag. 2008, 23, 47–54. [Google Scholar]
- Anderson, W.R.; Cruz, M.G.; Fernandes, P.M.; McCaw, L.; Vega, J.A.; Bradstock, R.A.; Fogarty; McCarthy, G.; Marsden-Smedley, J.B.; Matthews, S. A generic, empirical-based model for predicting rate of fire spread in shrublands. Int. J. Wildland Fire 2015, 24, 443–460. [Google Scholar] [CrossRef] [Green Version]
- Government, V. Fuel Management Report 2020–21: Statewide Outcomes and Delivery-Victorian Bushfire Monitoring Program Interactive Report. Available online: https://www.ffm.vic.gov.au/fuel-management-report-2020-21 (accessed on 31 December 2021).
- Watson, P.J.; Penman, S.H.; Bradstock, R.A. A comparison of bushfire fuel hazard assessors and assessment methods in dry sclerophyll forest near Sydney, Australia. Int. J. Wildland Fire 2012, 21, 755–763. [Google Scholar] [CrossRef]
- Spits, C.; Wallace, L.; Reinke, K. Investigating Surface and Near-Surface Bushfire Fuel Attributes: A Comparison between Visual Assessments and Image-Based Point Clouds. Sensors 2017, 17, 910. [Google Scholar] [CrossRef] [Green Version]
- Volkova, L.; Sullivan, A.L.; Roxburgh, S.H.; Weston, C.J. Visual assessments of fuel loads are poorly related to destructively sampled fuel loads in eucalypt forests. Int. J. Wildland Fire 2016, 25, 1193–1201. [Google Scholar] [CrossRef]
- Calders, K.; Adams, J.; Armston, J.; Bartholomeus, H.; Bauwens, S.; Bentley, L.P.; Chave, J.; Danson, F.M.; Demol, M.; Disney, M.; et al. Terrestrial laser scanning in forest ecology: Expanding the horizon. Remote Sens. Environ. 2020, 251, 112102. [Google Scholar] [CrossRef]
- Levick, S.R.; Whiteside, T.; Loewensteiner, D.A.; Rudge, M.; Bartolo, R. Leveraging TLS as a Calibration and Validation Tool for MLS and ULS Mapping of Savanna Structure and Biomass at Landscape-Scales. Remote Sens. 2021, 13, 257. [Google Scholar] [CrossRef]
- Liang, X.; Hyyppä, J.; Kaartinen, H.; Lehtomäki, M.; Pyörälä, J.; Pfeifer, N.; Holopainen, M.; Brolly, G.; Francesco, P.; Hackenberg, J.; et al. International benchmarking of terrestrial laser scanning approaches for forest inventories. ISPRS J. Photogramm. Remote Sens. 2018, 144, 137–179. [Google Scholar] [CrossRef]
- Wilkes, P.; Lau, A.; Disney, M.; Calders, K.; Burt, A.; de Tanago, J.G.; Bartholomeus, H.; Brede, B.; Herold, M. Data acquisition considerations for terrestrial laser scanning of forest plots. Remote Sens. Environ. 2017, 196, 140–153. [Google Scholar] [CrossRef]
- Malhi, Y.; Jackson, T.; Bentley, L.P.; Lau, A.; Shenkin, A.; Herold, M.; Calders, K.; Bartholomeus, H.; Disney, M.I. New perspectives on the ecology of tree structure and tree communities through terrestrial laser scanning. Interface Focus 2018, 8, 20170052. [Google Scholar] [CrossRef] [Green Version]
- Calders, K.; Phinn, S.; Ferrari, R.; Leon, J.; Armston, J.; Asner, G.P.; Disney, M. 3D Imaging Insights into Forests and Coral Reefs. Trends Ecol. Evol. 2020, 35, 6–9. [Google Scholar] [CrossRef]
- Watt, P.; Donoghue, D. Measuring forest structure with terrestrial laser scanning. Int. J. Remote Sens. 2005, 26, 1437–1446. [Google Scholar] [CrossRef]
- Newnham, G.J.; Armston, J.D.; Calders, K.; Disney, M.I.; Lovell, J.L.; Schaaf, C.B.; Strahler, A.H.; Danson, F.M. Terrestrial laser scanning for plot-scale forest measurement. Curr. For. Rep. 2015, 1, 239–251. [Google Scholar] [CrossRef] [Green Version]
- Li, S.; Wang, T.; Hou, Z.; Gong, Y.; Feng, L.; Ge, J. Harnessing terrestrial laser scanning to predict understory biomass in temperate mixed forests. Ecol. Indic. 2021, 121, 107011. [Google Scholar] [CrossRef]
- Reji, J.; Nidamanuri, R.R.; Ramiya; Wachendorf, M.; Buerkert, A. Multi-temporal estimation of vegetable crop biophysical parameters with varied nitrogen fertilization using terrestrial laser scanning. Comput. Electron. Agric. 2021, 184, 106051. [Google Scholar] [CrossRef]
- Wallace, L.; Gupta, V.; Reinke, K.; Jones, S. An Assessment of Pre- and Post Fire Near Surface Fuel Hazard in an Australian Dry Sclerophyll Forest Using Point Cloud Data Captured Using a Terrestrial Laser Scanner. Remote Sens. 2016, 8, 679. [Google Scholar] [CrossRef] [Green Version]
- Rowell, E.; Loudermilk, E.L.; Hawley, C.; Pokswinski, S.; Seielstad, C.; Queen, L.; O’Brien, J.J.; Hudak, A.T.; Goodrick, S.; Hiers, J.K. Coupling terrestrial laser scanning with 3D fuel biomass sampling for advancing wildland fuels characterization. For. Ecol. Manag. 2020, 462, 117945. [Google Scholar] [CrossRef]
- Hillman, S.; Wallace, L.; Lucieer, A.; Reinke; Jones, S. A comparison of terrestrial and UAS sensors for measuring fuel hazard in a dry sclerophyll forest. Int. J. Appl. Earth Obs. Geoinf. 2021, 95, 102261. [Google Scholar] [CrossRef]
- Hillman, S.; Wallace, L.; Reinke, K.; Jones, S. A comparison between TLS and UAS LiDAR to represent eucalypt crown fuel characteristics. ISPRS J. Photogramm. Remote Sens. 2021, 181, 295–307. [Google Scholar] [CrossRef]
- Wilson, N.; Bradstock, R.; Bedward, M. Detecting the effects of logging and wildfire on forest fuel structure using terrestrial laser scanning (TLS). For. Ecol. Manag. 2021, 488, 119037. [Google Scholar] [CrossRef]
- Stovall, A.E.L.; Atkins, J.W. Assessing Low-Cost Terrestrial Laser Scanners for Deriving Forest Structure Parameters. Preprints 2021, 2021070690. [Google Scholar] [CrossRef]
- Tao, S.; Labrière, N.; Calders, K.; Fischer, F.J.; Rau, E.; Plaisance, L.; Chave, J. Mapping tropical forest trees across large areas with lightweight cost-effective terrestrial laser scanning. Ann. For. Sci. 2021, 78, 1–13. [Google Scholar] [CrossRef]
- Forest Fire Management Victoria. Forest Fire Management Victoria Communication TLS Purchase. Private Communication with Forest Fire Management Victoria Staff Regarding TLS, 2015. Available online: https://www.ffm.vic.gov.au/who-we-are/forest-fire-management-victoria (accessed on 1 January 2021).
- Teague, B.; Pascoe, S.; McLeod, R. The 2009 Victorian Bushfires Royal Commission Final Report: Summary; Victorian Bushfires Royal Commission: Melbourne, Australia, 2010. [Google Scholar]
- Newnham, G.; Armston, J.; Muir, J.; Goodwin, N.; Tindall, D.; Culvenor, D.; Püschel, P.; Nyström, M.; Johansen, K. Evaluation of terrestrial laser scanners for measuring vegetation structure. CSIRO 2012. [Google Scholar] [CrossRef]
- Vosselman, G.; Gorte, B.G.; Sithole, G.; Rabbani, T. Recognising structure in laser scanner point clouds. Int. Arch. Photogramm. Remote Sens. Spat. Inf. Sci. 2004, 46, 33–38. [Google Scholar]
- Hillman, S.; Wallace, L.; Reinke, K.; Hally; Saldias, D.S. A method for validating the structural completeness of understory vegetation models captured with 3D remote sensing. Remote Sens. 2019, 11, 2118. [Google Scholar] [CrossRef] [Green Version]
- Hawley, C.M.; Loudermilk, E.L.; Rowell, E.M.; Pokswinski, S. A novel approach to fuel biomass sampling for 3D fuel characterization. MethodsX 2018, 5, 1597–1604. [Google Scholar] [CrossRef] [PubMed]
- Rusu, R.B.; Marton, Z.C.; Blodow, N.; Dolha, M.; Beetz, M. Towards 3D Point cloud based object maps for household environments. Robot. Auton. Syst. 2008, 56, 927–941. [Google Scholar] [CrossRef]
- Serifoglu Yilmaz, C.; Yilmaz, V.; Güngör, O. Investigating the performances of commercial and non-commercial software for ground filtering of UAV-based point clouds. Int. J. Remote Sens. 2018, 39, 5016–5042. [Google Scholar] [CrossRef]
- Hudak, A.T.; Kato, A.; Bright, B.C.; Loudermilk, E.L.; Hawley, C.; Restaino, J.C.; Ottmar, R.D.; Prata, G.A.; Cabo, C.; Prichard, S.J.; et al. Towards Spatially Explicit Quantification of Pre- and Postfire Fuels and Fuel Consumption from Traditional and Point Cloud Measurements. For. Sci. 2020, 66, 428–442. [Google Scholar] [CrossRef]
- Loudermilk, E.L.; Hiers, J.K.; O’Brien, J.J.; Mitchell, R.J.; Singhania, A.; Fernandez, J.C.; Cropper, W.P.; Slatton, K.C. Ground-based LIDAR: A novel approach to quantify fine-scale fuelbed characteristics. Int. J. Wildland Fire 2009, 18, 676. [Google Scholar] [CrossRef] [Green Version]
- Cooper, S.; Roy, D.; Schaaf, C.; Paynter, I. Examination of the Potential of Terrestrial Laser Scanning and Structure-from-Motion Photogrammetry for Rapid Nondestructive Field Measurement of Grass Biomass. Remote Sens. 2017, 9, 531. [Google Scholar] [CrossRef] [Green Version]
- Rowell, E.M.; Seielstad, C.A.; Ottmar, R.D. Development and validation of fuel height models for terrestrial lidar–RxCADRE 2012. Int. J. Wildland Fire 2016, 25, 38. [Google Scholar] [CrossRef]
- Gupta, V.; Reinke, K.; Jones, S.; Wallace, L.; Holden, L. Assessing Metrics for Estimating Fire Induced Change in the Forest Understorey Structure Using Terrestrial Laser Scanning. Remote Sens. 2015, 7, 8180–8201. [Google Scholar] [CrossRef] [Green Version]
- Othmani, A.A.; Jiang, C.; Lomenie, N.; Favreau, J.M.; Piboule, A.; Voon, L.F.C.L.Y. A novel Computer-Aided Tree Species Identification method based on Burst Wind Segmentation of 3D bark textures. Mach. Vis. Appl. 2015, 27, 751–766. [Google Scholar] [CrossRef]
- García, M.; Danson, F.M.; Riaño, D.; Chuvieco, E.; Ramirez, F.A.; Bandugula, V. Terrestrial laser scanning to estimate plot-level forest canopy fuel properties. Int. J. Appl. Earth Obs. Geoinf. 2011, 13, 636–645. [Google Scholar] [CrossRef]
- Srinivasan, S.; Popescu, S.; Eriksson, M.; Sheridan, R.; Ku, N.W. Terrestrial Laser Scanning as an Effective Tool to Retrieve Tree Level Height, Crown Width, and Stem Diameter. Remote Sens. 2015, 7, 1877–1896. [Google Scholar] [CrossRef] [Green Version]
- Cruz, M.; McCaw, W.; Anderson, W.; Gould, J. Fire behaviour modelling in semi-arid mallee-heath shrublands of southern Australia. Environ. Model. Softw. 2013, 40, 21–34. [Google Scholar] [CrossRef]
- Cruz, M.G.; Alexander, M.E.; Fernandes, P.A. Development of a model system to predict wildfire behaviour in pine plantations. Aust. For. 2008, 71, 113–121. [Google Scholar] [CrossRef] [Green Version]
- Ma, Q.; Su, Y.; Guo, Q. Comparison of Canopy Cover Estimations From Airborne LiDAR, Aerial Imagery, and Satellite Imagery. IEEE J. Sel. Top. Appl. Earth Obs. Remote Sens. 2017, 10, 4225–4236. [Google Scholar] [CrossRef]
- Gonçalves-Seco, L.; González-Ferreiro, E.; Diéguez-Aranda, U.; Fraga-Bugallo, B.; Crecente, R.; Miranda, D. Assessing the attributes of high-density Eucalyptus globulus stands using airborne laser scanner data. Int. J. Remote Sens. 2011, 32, 9821–9841. [Google Scholar] [CrossRef]
- Wagner, C.E.V. Conditions for the start and spread of crown fire. Can. J. For. Res. 1977, 7, 23–34. [Google Scholar] [CrossRef]
- Tymstra, C.; Bryce, R.; Wotton, B.; Taylor, S.; Armitage, O. Development and Structure of Prometheus: The Canadian Wildland Fire Growth Simulation Model; Natural Resources Canada, Canadian Forest Service, Northern Forestry Centre: Edmonton, AB, Canada, 2010.
- Gosper, C.R.; Yates, C.J.; Prober, S.M.; Wiehl, G. Application and validation of visual fuel hazard assessments in dry Mediterranean-climate woodlands. Int. J. Wildland Fire 2014, 23, 385. [Google Scholar] [CrossRef] [Green Version]
- Duff, T.J.; Keane, R.E.; Penman, T.D.; Tolhurst, K.G. Revisiting wildland fire fuel quantification methods: The challenge of understanding a dynamic, biotic entity. Forests 2017, 8, 351. [Google Scholar] [CrossRef]
- Gale, M.G.; Cary, G.J.; Van Dijk, A.I.; Yebra, M. Forest fire fuel through the lens of remote sensing: Review of approaches, challenges and future directions in the remote sensing of biotic determinants of fire behaviour. Remote Sens. Environ. 2021, 255, 112282. [Google Scholar] [CrossRef]
- Morsdorf, F.; Nichol, C.; Malthus, T.; Woodhouse, I.H. Assessing forest structural and physiological information content of multi-spectral LiDAR waveforms by radiative transfer modelling. Remote Sens. Environ. 2009, 113, 2152–2163. [Google Scholar] [CrossRef] [Green Version]
- Bi, K.; Xiao, S.; Gao, S.; Zhang, C.; Huang, N.; Niu, Z. Estimating Vertical Chlorophyll Concentrations in Maize in Different Health States Using Hyperspectral LiDAR. IEEE Trans. Geosci. Remote Sens. 2020, 58, 8125–8133. [Google Scholar] [CrossRef]
- Danson, F.M.; Gaulton, R.; Armitage, R.P.; Disney, M.; Gunawan, O.; Lewis, P.; Pearson, G.; Ramirez, A.F. Developing a dual-wavelength full-waveform terrestrial laser scanner to characterize forest canopy structure. Agric. For. Meteorol. 2014, 198–199, 7–14. [Google Scholar] [CrossRef] [Green Version]
- Yebra, M.; Quan, X.; Riaño, D.; Rozas Larraondo, P.; van Dijk, A.I.; Cary, G.J. A fuel moisture content and flammability monitoring methodology for continental Australia based on optical remote sensing. Remote Sens. Environ. 2018, 212, 260–272. [Google Scholar] [CrossRef]
- Cawson, J.G.; Duff, T.J.; Tolhurst, K.G.; Baillie, C.C.; Penman, T.D. Fuel moisture in Mountain Ash forests with contrasting fire histories. For. Ecol. Manag. 2017, 400, 568–577. [Google Scholar] [CrossRef]
- Brown, T.P.; Inbar, A.; Duff, T.J.; Burton, J.; Noske, P.J.; Lane, P.N.J.; Sheridan, G.J. Forest Structure Drives Fuel Moisture Response across Alternative Forest States. Fire 2021, 4, 48. [Google Scholar] [CrossRef]
- Pickering, B.J.; Duff, T.J.; Baillie, C.; Cawson, J.G. Darker, cooler, wetter: Forest understories influence surface fuel moisture. Agric. For. Meteorol. 2021, 300, 108311. [Google Scholar] [CrossRef]







| Property | Faro M70 | Trimble TX8 |
|---|---|---|
| Operating Principle | phase-difference | time of flight |
| Wavelength | 1550 | 1500 |
| Max Range | 70 | 120 |
| Ranging Error | 3 mm @ 10 to 25 | <2 @ 2 to 120 |
| Angular Accuracy | not specified | 0.080 |
| Divergence | 0.3 | 0.177 |
| Site | Layer | Scanner | Visual Assessment | ||||||
|---|---|---|---|---|---|---|---|---|---|
| Trimble TX-8 | Faro M70 | ||||||||
| Height (m) | Cover | Height (m) | Cover | Height (m) | Cover | ||||
| % | % | % | |||||||
| S1 | NS | 0.15 | 0.15 | 50 | 0.14 | 0.14 | 60 | 0.20–0.40 | 20–40 |
| E | 1.23 | 0.80 | 36 | 1.18 | 0.81 | 36 | 0.60–0.70 | 20–30 | |
| SC | 4.99 | 1.18 | 24 | 4.94 | 1.17 | 24 | N/A | N/A | |
| C | 29.38 | 4.62 | 88 | 29 | 4.8 | 86 | 25 | 71–80 | |
| S2 | NS | 0.20 | 0.15 | 54 | 0.21 | 0.15 | 55 | 0.20–0.40 | 20-40 |
| E | 0.90 | 0.61 | 48 | 0.91 | 0.59 | 51 | 0.50–0.60 | 30–50 | |
| SC | 5.53 | 1.10 | 40 | 5.44 | 1.13 | 37 | N/A | N/A | |
| C | 11.95 | 4.01 | 63 | 11.89 | 3.97 | 61 | 10 | 60–70 | |
| Scanner | Trimble TX-8 | Faro M70 | |||||||
|---|---|---|---|---|---|---|---|---|---|
| Site | Radius from Scanner | 2 m | 4 m | 6 m | 8 m | 2 m | 4 m | 6 m | 8 m |
| S1 | Near-Surface (%) | 19 | 6 | 9 | 8 | 19 | 7 | 8 | 8 |
| Elevated (%) | 15 | 13 | 19 | 23 | 14 | 8 | 13 | 18 | |
| Sub-Canopy (%) | 19 | 7 | 6 | 5 | 11 | 7 | 5 | 7 | |
| Canopy (%) | 29 | 24 | 20 | 21 | 35 | 32 | 29 | 31 | |
| S2 | Near-Surface (%) | 15 | 9 | 9 | 10 | 14 | 8 | 8 | 10 |
| Elevated (%) | 17 | 17 | 23 | 24 | 8 | 9 | 18 | 19 | |
| Sub-Canopy (%) | 11 | 6 | 5 | 4 | 7 | 11 | 6 | 6 | |
| Canopy (%) | 18 | 12 | 10 | 9 | 11 | 13 | 10 | 9 | |
| Scanner | Trimble TX-8 | Faro M70 | |||||||
|---|---|---|---|---|---|---|---|---|---|
| Site | Radius from Scanner | 2 m | 4 m | 6 m | 8 m | 2 m | 4 m | 6 m | 8 m |
| S1 | Near-Surface (m) | 0.07 | 0.05 | 0.06 | 0.07 | 0.07 | 0.03 | 0.04 | 0.04 |
| Elevated (m) | 0.34 | 0.05 | 0.07 | 0.08 | 0.36 | 0.08 | 0.10 | 0.09 | |
| Sub-Canopy (m) | 0.44 | 0.30 | 0.35 | 0.21 | 0.35 | 0.26 | 0.24 | 0.22 | |
| Canopy (m) | 5.14 | 5.66 | 5.23 | 4.58 | 7.16 | 7.38 | 6.15 | 6.29 | |
| S2 | Near-Surface (m) | 0.05 | 0.05 | 0.09 | 0.11 | 0.04 | 0.04 | 0.06 | 0.07 |
| Elevated (m) | 0.15 | 0.08 | 0.11 | 0.11 | 0.07 | 0.06 | 0.07 | 0.09 | |
| Sub-Canopy (m) | 0.52 | 0.32 | 0.13 | 0.14 | 0.55 | 0.33 | 0.20 | 0.20 | |
| Canopy (m) | 1.33 | 1.20 | 1.45 | 1.04 | 1.56 | 1.59 | 1.49 | 1.39 | |
Publisher’s Note: MDPI stays neutral with regard to jurisdictional claims in published maps and institutional affiliations. |
© 2022 by the authors. Licensee MDPI, Basel, Switzerland. This article is an open access article distributed under the terms and conditions of the Creative Commons Attribution (CC BY) license (https://creativecommons.org/licenses/by/4.0/).
Share and Cite
Wallace, L.; Hillman, S.; Hally, B.; Taneja, R.; White, A.; McGlade, J. Terrestrial Laser Scanning: An Operational Tool for Fuel Hazard Mapping? Fire 2022, 5, 85. https://doi.org/10.3390/fire5040085
Wallace L, Hillman S, Hally B, Taneja R, White A, McGlade J. Terrestrial Laser Scanning: An Operational Tool for Fuel Hazard Mapping? Fire. 2022; 5(4):85. https://doi.org/10.3390/fire5040085
Chicago/Turabian StyleWallace, Luke, Samuel Hillman, Bryan Hally, Ritu Taneja, Andrew White, and James McGlade. 2022. "Terrestrial Laser Scanning: An Operational Tool for Fuel Hazard Mapping?" Fire 5, no. 4: 85. https://doi.org/10.3390/fire5040085
APA StyleWallace, L., Hillman, S., Hally, B., Taneja, R., White, A., & McGlade, J. (2022). Terrestrial Laser Scanning: An Operational Tool for Fuel Hazard Mapping? Fire, 5(4), 85. https://doi.org/10.3390/fire5040085

