Oxygen-Bonding State and Oxygen-Reduction Reaction Mechanism of Pr0.7Ca0.3Mn1−xCoxO3−d (x = 0, 0.1, 0.2, 0.3)
Abstract
:1. Introduction
2. Materials and Methods
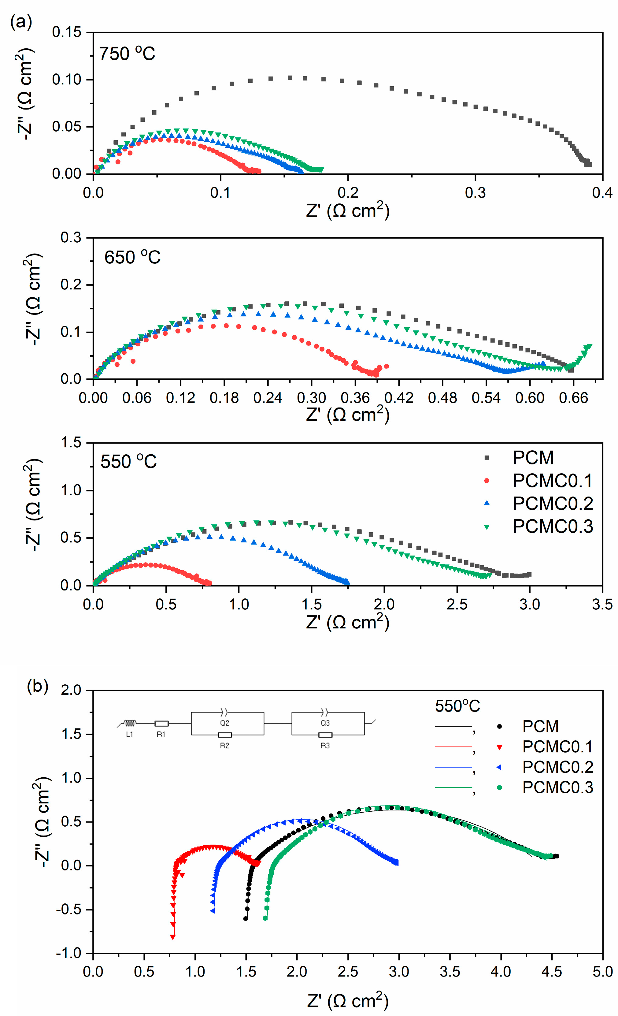
3. Results and Discussion
4. Conclusions
Author Contributions
Funding
Institutional Review Board Statement
Informed Consent Statement
Data Availability Statement
Conflicts of Interest
References
- Singh, M.; Zappa, D.; Comini, E. Solid oxide fuel cell: Decade of progress, future perspectives and challenges. Int. J. Hydrogen Energy 2021, 46, 27643–27674. [Google Scholar] [CrossRef]
- Jiang, L.; Wei, T.; Zeng, R.; Zhang, W.-X.; Huang, Y.-H. Thermal and electrochemical properties of PrBa0.5Sr0.5Co2−xFexO5+δ (x = 0.5, 1.0, 1.5) cathode materials for solid-oxide fuel cells. J. Power Sources 2013, 232, 279–285. [Google Scholar] [CrossRef]
- Zhu, C.; Liu, X.; Yi, C.; Yan, D.; Su, W. Electrochemical performance of PrBaCo2O5+δ layered perovskite as an intermediate-temperature solid oxide fuel cell cathode. J. Power Sources 2008, 185, 193–196. [Google Scholar] [CrossRef]
- Tabish, A.; Patel, H.; Chundru, P.; Stam, J.; Aravind, P. An SOFC anode model using TPB-based kinetics. Int. J. Hydrogen Energy 2020, 45, 27563–27574. [Google Scholar] [CrossRef]
- Yang, G.; Jung, W.; Ahn, S.-J.; Lee, D. Controlling the Oxygen Electrocatalysis on Perovskite and Layered Oxide Thin Films for Solid Oxide Fuel Cell Cathodes. Appl. Sci. 2019, 9, 1030. [Google Scholar] [CrossRef]
- Agun, L.; Rahman, H.A.; Ahmad, S.; Muchtar, A. Durability and Stability of LSCF Composite Cathode for Intermediate-Low Temperature of Solid Oxide Fuel Cell (IT-LT SOFC): Short Review. Adv. Mater. Res. 2014, 893, 732–737. [Google Scholar] [CrossRef]
- Shao, Z.; Haile, S.M. A high-performance cathode for the next generation of solid-oxide fuel cells. Nature 2004, 431, 170–173. [Google Scholar] [CrossRef]
- Wei, B.; Schroeder, M.; Martin, M. Surface cation segregation and chromium deposition on the double-perovskite oxide PrBaCo2O5+δ. ACS Appl. Mater. Interfaces 2018, 10, 8621–8629. [Google Scholar] [CrossRef]
- Afroze, S.; Abdalla, A.; Radenahmad, N.; Nam, Q.H.; Azad, A. Synthesis, structural and thermal properties of double perovskite NdSrMn2O6 as potential anode materials for solid oxide fuel cells. In Proceedings of the 7th Brunei International Conference on Engineering and Technology 2018 (BICET 2018), Bandar Seri Begawan, Brunei, 12–14 November 2018; p. 91. [Google Scholar]
- dos Santos-Gómez, L.; Zamudio-García, J.; Porras-Vázquez, J.M.; Losilla, E.R.; Marrero-López, D. Nanostructured BaCo0.4Fe0.4Zr0.1Y0.1O3-δ Cathodes with Different Microstructural Architectures. Nanomaterials 2020, 10, 1055. [Google Scholar] [CrossRef]
- Garcia-Garcia, F.J.; Sayagués, M.J.; Gotor, F.J. A Novel, Simple and Highly Efficient Route to Obtain PrBaMn2O5+δ Double Perovskite: Mechanochemical Synthesis. Nanomaterials 2021, 11, 380. [Google Scholar] [CrossRef]
- Lim, T.; Jo, K.; Lee, H. Oxygen Vacancy and Valence Band Structure of Ba0.5Sr0.5Fe1−xCuxO3−δ (x = 0–0.15) with Enhanced ORR Activity for IT-SOFCs. Materials 2023, 16, 3231. [Google Scholar] [CrossRef] [PubMed]
- Ishihara, T.; Kudo, T.; Matsuda, H.; Takita, Y. Doped PrMnO3 Perovskite Oxide as a New Cathode of Solid Oxide Fuel Cells for Low Temperature Operation. J. Electrochem. Soc. 1995, 142, 1519–1524. [Google Scholar] [CrossRef]
- Wang, J.; Lam, K.Y.; Saccoccio, M.; Gao, Y.; Chen, D.; Ciucci, F. Ca and In co-doped BaFeO3−δ as a cobalt-free cathode material for intermediate-temperature solid oxide fuel cells. J. Power Sources 2016, 324, 224–232. [Google Scholar] [CrossRef]
- Wan, T.H.; Saccoccio, M.; Chen, C.; Ciucci, F. Influence of the Discretization Methods on the Distribution of Relaxation Times Deconvolution: Implementing Radial Basis Functions with DRTtools. Electrochim. Acta 2015, 184, 483–499. [Google Scholar] [CrossRef]
- Caignaert, V.; Maignan, A.; Simon, C.; Raveau, B.; Suard, E. Variation of the Jahn Teller distortion of Mn at the ferromagnetic transition in the CMR perovskite Pr0.7Sr0.1MnO3. Comptes Rendus De L’academie Des Sci. Ser. 2 Mec. Phys.Chim. Astron. 1995, 321, 515–520. [Google Scholar]
- Shannon, R.T.; Prewitt, C.T. Effective ionic radii in oxides and fluorides. Acta Crystallogr. Sect. B Struct. Crystallogr. Cryst. Chem. 1969, 25, 925–946. [Google Scholar] [CrossRef]
- Flores-Lasluisa, J.; Huerta, F.; Cazorla-Amorós, D.; Morallón, E. LaNi1−xCoxO3 perovskites for application in electrochemical reactions involving molecular oxygen. Energy 2023, 273, 127256. [Google Scholar] [CrossRef]
- Mondal, R.; Mishra, N.K.; Singh, M.; Gupta, A.; Singh, P. Perovskite La1−xKxCoO3−δ (0≤ x≤ 0.5): A novel bifunctional OER/ORR electrocatalyst and supercapacitive charge storage electrode in a neutral Na2SO4 electrolyte. Phys. Chem. Chem. Phys. 2022, 24, 28584–28598. [Google Scholar] [CrossRef]
- Huang, Z.; Zhou, W.; Ouyang, C.; Wu, J.; Zhang, F.; Huang, J.; Gao, Y.; Chu, J. High performance of Mn-Co-Ni-O spinel nanofilms sputtered from acetate precursors. Sci. Rep. 2015, 5, srep10899. [Google Scholar] [CrossRef]
- Lv, Y.; Li, Z.; Yu, Y.; Yin, J.; Song, K.; Yang, B.; Yuan, L.; Hu, X. Copper/cobalt-doped LaMnO3 perovskite oxide as a bifunctional catalyst for rechargeable Li-O2 batteries. J. Alloys Compd. 2019, 801, 19–26. [Google Scholar] [CrossRef]
- Mekki, A.; Ziq, K.A.; Holland, D.; McConville, C.F. Magnetic properties of praseodymium ions in Na2O–Pr2O3–SiO2 glasses. J. Magn. Magn. Mater. 2003, 260, 60–69. [Google Scholar] [CrossRef]
- Wan, Y.; Yang, J.; Hou, H.; Xu, S.; Liu, G.; Hussain, S.; Qiao, G. Synthesis and microstructures of La1−xCaxCrO3 perovskite powders for optical properties. J. Mater. Sci. Mater. Electron. 2019, 30, 3472–3481. [Google Scholar] [CrossRef]
- Suntivich, J.; Gasteiger, H.A.; Yabuuchi, N.; Nakanishi, H.; Goodenough, J.B.; Shao-Horn, Y. Design principles for oxygen-reduction activity on perovskite oxide catalysts for fuel cells and metal–air batteries. Nat. Chem. 2011, 3, 546–550. [Google Scholar] [CrossRef] [PubMed]
- Yang, Q.; Tian, D.; Liu, R.; Wu, H.; Chen, Y.; Ding, Y.; Lu, X.; Lin, B. Exploiting rare-earth-abundant layered perovskite cathodes of LnBa0.5Sr0.5Co1.5Fe0.5O5+δ (Ln=La and Nd) for SOFCs. Int. J. Hydrogen Energy 2020, 46, 5630–5641. [Google Scholar] [CrossRef]
- Chen, Y.; Bu, Y.; Zhang, Y.; Yan, R.; Ding, D.; Zhao, B.; Yoo, S.; Dang, D.; Hu, R.; Yang, C.; et al. A Highly Efficient and Robust Nanofiber Cathode for Solid Oxide Fuel Cells. Adv. Energy Mater. 2016, 7, 1601890. [Google Scholar] [CrossRef]




| O 1s | O1 | O2 | O3 | |||||||||
| PCM | 49.400% | 45.567% | 5.033% | |||||||||
| PCMC0.1 | 34.805% | 60.031% | 5.165% | |||||||||
| PCMC0.2 | 39.679% | 54.841% | 5.479% | |||||||||
| PCMC0.3 | 49.868% | 43.843% | 6.288% | |||||||||
| Mn 2p 3/2 | Mn2+ | Mn3+ | Mn4+ | Average Oxidation Number | ||||||||
| PCM | 24.142% | 61.829% | 14.029% | 2.899 | ||||||||
| PCMC0.1 | 25.265% | 59.626% | 15.109% | 2.898 | ||||||||
| PCMC0.2 | 25.295% | 58.368% | 16.337% | 2.910 | ||||||||
| PCMC0.3 | 21.958% | 55.977% | 22.065% | 3.001 | ||||||||
| Co 2p 1/2 | Co2+ | Co3+ | Co4+ | Average Oxidation Number | ||||||||
| PCM | - | - | - | - | ||||||||
| PCMC0.1 | 44.894% | 55.106% | 0.000% | 3.165 | ||||||||
| PCMC0.2 | 35.004% | 57.447% | 7.549% | 3.275 | ||||||||
| PCMC0.3 | 19.789% | 76.885% | 3.326% | 3.449 | ||||||||
| 550 °C | 650 °C | 750 °C | ||
|---|---|---|---|---|
| PCM | Rohm | 1.564 Ω cm2 | 0.597 Ω cm2 | 0.366 Ω cm2 |
| Rpol | 2.997 Ω cm2 | 0.655 Ω cm2 | 0.390 Ω cm2 | |
| PCMC0.1 | Rohm | 0.823 Ω cm2 | 0.539 Ω cm2 | 0.320 Ω cm2 |
| Rpol | 0.787 Ω cm2 | 0.38 Ω cm2 | 0.127 Ω cm2 | |
| PCMC0.2 | Rohm | 1.230 Ω cm2 | 0.500 Ω cm2 | 0.312 Ω cm2 |
| Rpol | 1.746 Ω cm2 | 0.567 Ω cm2 | 0.161 Ω cm2 | |
| PCMC0.3 | Rohm | 1.766 Ω cm2 | 0.814 Ω cm2 | 0.461 Ω cm2 |
| Rpol | 2.670 Ω cm2 | 0.682 Ω cm2 | 0.179 Ω cm2 |
Disclaimer/Publisher’s Note: The statements, opinions and data contained in all publications are solely those of the individual author(s) and contributor(s) and not of MDPI and/or the editor(s). MDPI and/or the editor(s) disclaim responsibility for any injury to people or property resulting from any ideas, methods, instructions or products referred to in the content. |
© 2023 by the authors. Licensee MDPI, Basel, Switzerland. This article is an open access article distributed under the terms and conditions of the Creative Commons Attribution (CC BY) license (https://creativecommons.org/licenses/by/4.0/).
Share and Cite
Jo, K.; Lee, S.; Lee, H. Oxygen-Bonding State and Oxygen-Reduction Reaction Mechanism of Pr0.7Ca0.3Mn1−xCoxO3−d (x = 0, 0.1, 0.2, 0.3). Ceramics 2023, 6, 2386-2393. https://doi.org/10.3390/ceramics6040146
Jo K, Lee S, Lee H. Oxygen-Bonding State and Oxygen-Reduction Reaction Mechanism of Pr0.7Ca0.3Mn1−xCoxO3−d (x = 0, 0.1, 0.2, 0.3). Ceramics. 2023; 6(4):2386-2393. https://doi.org/10.3390/ceramics6040146
Chicago/Turabian StyleJo, Kanghee, Seungjae Lee, and Heesoo Lee. 2023. "Oxygen-Bonding State and Oxygen-Reduction Reaction Mechanism of Pr0.7Ca0.3Mn1−xCoxO3−d (x = 0, 0.1, 0.2, 0.3)" Ceramics 6, no. 4: 2386-2393. https://doi.org/10.3390/ceramics6040146
APA StyleJo, K., Lee, S., & Lee, H. (2023). Oxygen-Bonding State and Oxygen-Reduction Reaction Mechanism of Pr0.7Ca0.3Mn1−xCoxO3−d (x = 0, 0.1, 0.2, 0.3). Ceramics, 6(4), 2386-2393. https://doi.org/10.3390/ceramics6040146

