Assessment of Asphalt Mixtures Enhanced with Styrene–Butadiene–Styrene and Polyvinyl Chloride Through Rheological, Physical, Microscopic, and Workability Analyses
Abstract
1. Introduction
- Evaluate the physical and rheological properties of PVC- and SBS-modified asphalt and compare them. PVC and SBS are the most common polymers available in the market.
- Develop a methodology for evaluating the workability of asphalt modified with polymer by a manufacturing device for measuring workability, depending on previous research.
- 3.
- The polymer-modified asphalt mixture may be classified depending on its workability. Workability may be used to determine the optimal mixing temperature as well as mixing and compaction torque.
- 4.
- Asphalt pavements in Iraq suffer from rutting and cracking due to extreme heat and traffic loads, exposing the limitations of conventional binders. This study explores the use of polymer-modified asphalt (PMA) using styrene–butadiene–styrene (SBS) and polyvinyl chloride (PVC) to enhance binder performance. While SBS offers elasticity and thermal resistance, its high cost limits its use. PVC, a cheaper alternative, shows promise but requires further study, particularly at higher dosages. This research fills a gap by comparing the physical, rheological, morphological, and workability properties of binders modified with SBS and PVC, aiming to develop an effective, economical solution for hot-climate pavements.
2. Materials
2.1. Asphalt Binder
2.2. Aggregate
2.3. Mineral Filler
2.4. Utilizing Polymeric Additives
3. Preparation of Polymer-Modified Asphalt
3.1. Blending of PVC with Bitumen
3.2. Blending of SBS with Bitumen
3.3. FM Image
3.4. Asphalt Tests
Dynamic Shear Rheometer Test
4. Workability Tests
4.1. Bituminous Mix Design
- Maximum Marshall stability;
- Maximum bulk unit weight;
- Four percent air voids.
4.2. Workability Device
4.2.1. Key Innovations Compared to Prior Studies
- The new device allows testing of larger batch sizes up to 100 kg and mixing speeds up to 50 rpm.
- This enables a more realistic simulation of industrial-scale mixing processes.
4.2.2. Device Components
- The motor box houses a variable-speed electric motor (1.5 HP, 220 V) capable of speeds from 1 to 50 rpm, controlled via an inverter panel.
- The mixing column is a central steel shaft (52 mm diameter) with three mixing arms (18 cm long, 9 cm wide), welded with E7018 arc-welding wire. The bottom two arms are set at 40° angles, and the top arm is angled in the opposite direction to ensure efficient upward and downward material flow.
- The mixing bowl is a cylindrical steel container (40 cm diameter × 40 cm height), thermally insulated, with two external 2000 W electric heaters for temperature control up to 220 °C.
- A dynamic torque sensor (range 0–2000 Nm, accuracy ± 0.1%) is installed at the shaft base to continuously measure resistance during mixing. It captures the real-time torque required for mixing and sends data to the acquisition system. Range: 0–2000 Nm.
- The data acquisition system is connected to a digital logger and software interface, which records torque values in real time at 1 s intervals.
- The control panel allows for the regulation of speed and temperature, as well as visual monitoring of operating parameters.
4.3. The Experimental Procedure
5. Results and Discussion
5.1. Impact of SBS on the Characteristics of Asphalt Binder
5.2. Physical Properties of SBS-Modified Asphalt
5.3. Impact of SBS on Asphalt Binder Viscosity
5.4. Temperatures of Compaction and Mixing for the Modified Asphalt Binder
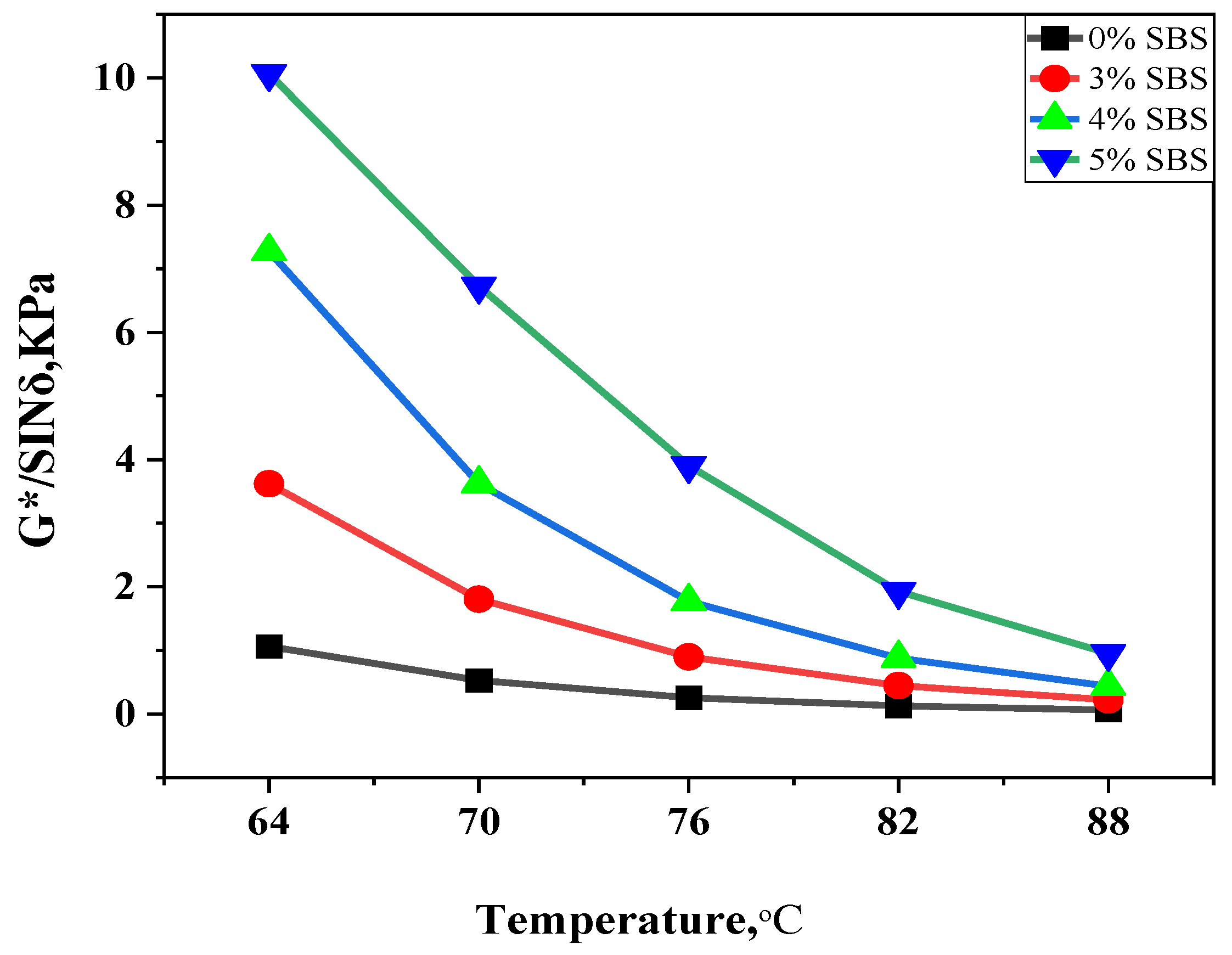
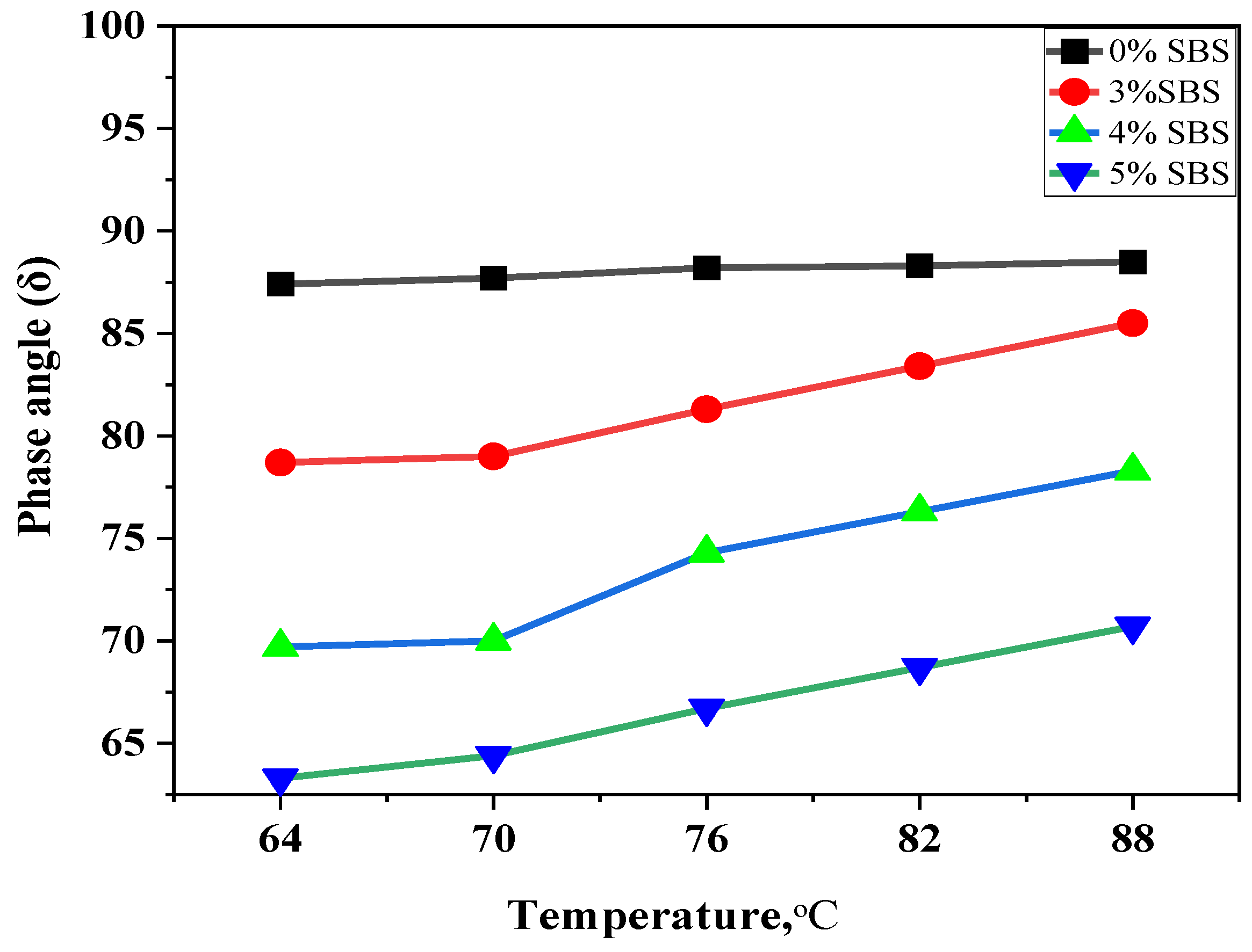
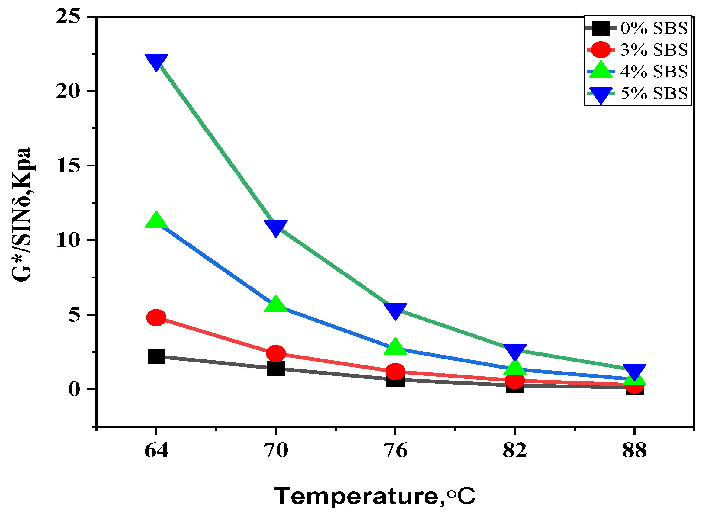
5.5. Dynamic Shear Rheometer Test for SBS-Modified Asphalt
5.6. Impact of SBS Modifier on Performance Grade
5.7. Impact of PVC on the Characteristics of Asphalt Binder
5.8. The Effect of PVC on Penetration, Softening Point, and Ductility
5.9. Effect of PVC on the Viscosity of Asphalt Binder
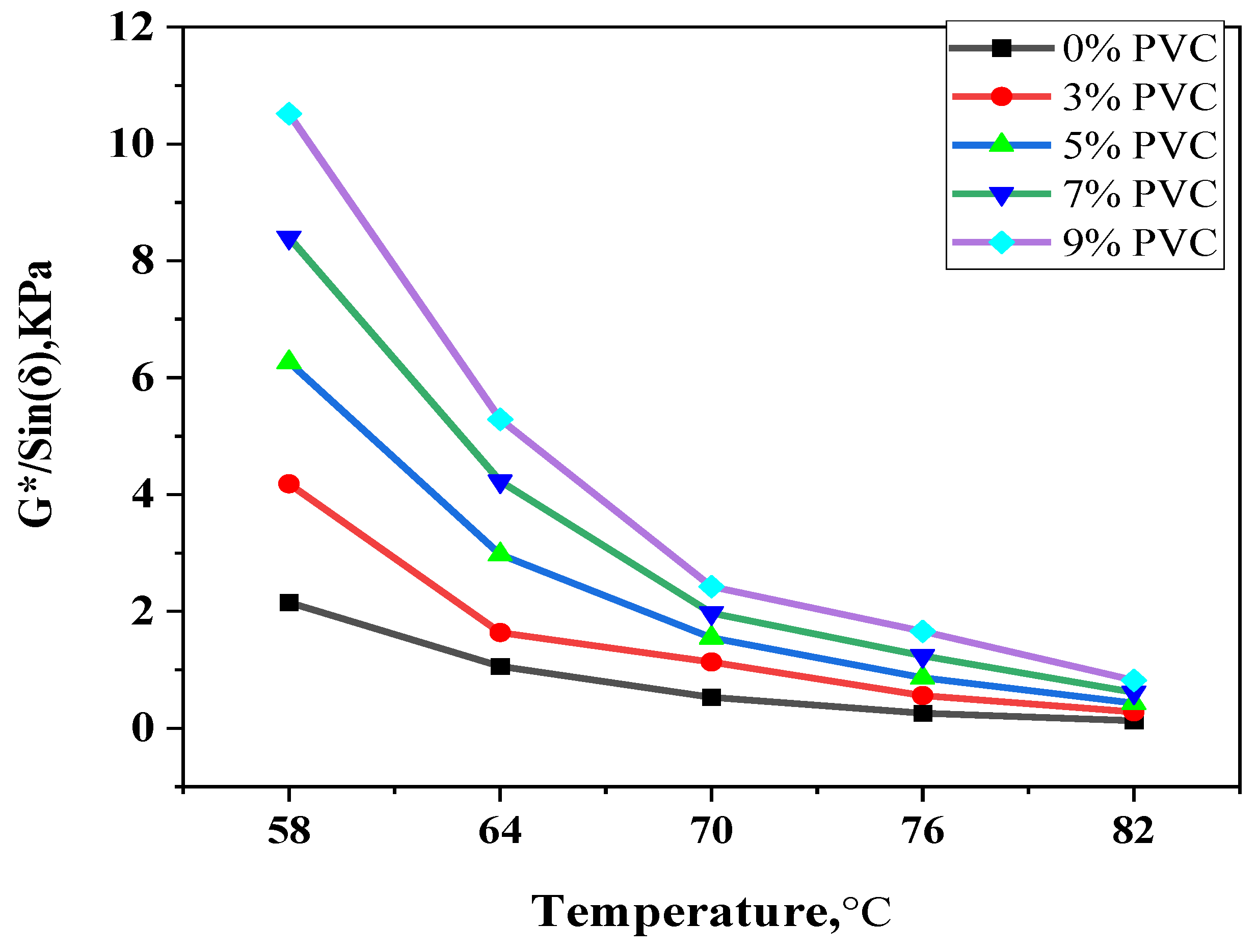
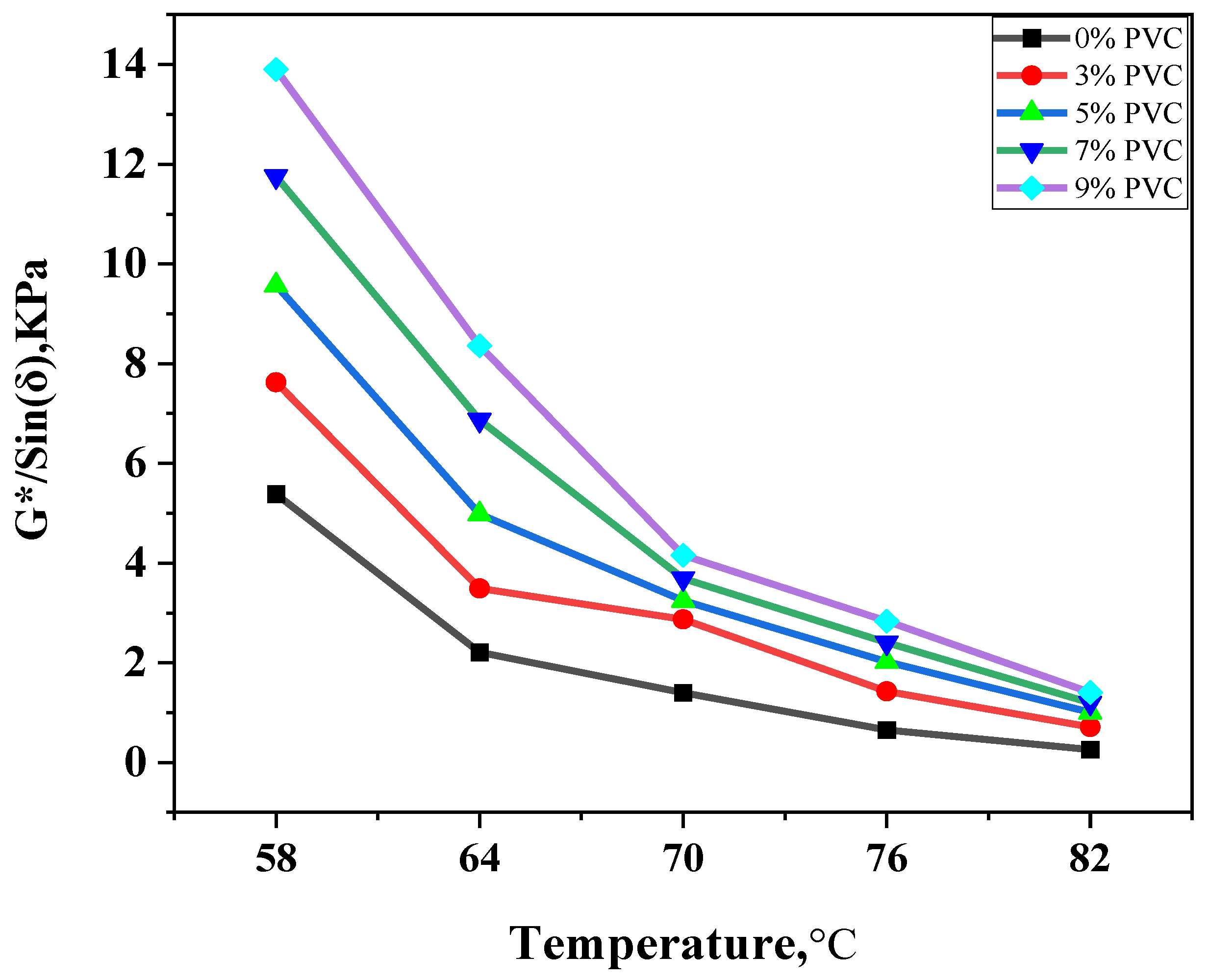
5.10. Dynamic Shear Rheometer Test
5.11. Impact of PVC-Modified Asphalt and SBS on Workability Tests
6. Conclusions
- Microstructural analysis: PVC and SBS were uniformly distributed in the asphalt binder at 5% concentration, according to fluorescence microscopy. Higher concentrations, however, caused non-uniform dispersion and agglomeration.
- PVC performance: Asphalt modified with 3% and 5% PVC met penetration grading criteria; however, 7% and 9% did not. PVC addition decreased penetration and ductility, while increasing the softening point, indicating enhanced temperature resistance at moderate dosages (3–5%). Rheological tests confirmed that PVC improved the complex modulus (G*) and reduced the phase angle (δ), improving the elasticity of binders and rutting resistance.
- SBS performance: SBS significantly improved physical properties by reducing penetration and increasing ductility and the softening point. The addition of 5% SBS raised the softening point from 46 °C to 64 °C. The DSR test exhibited that rutting resistance was enhanced with increasing SBS content, with the G*/sin(δ) values rising in both unaged and aged conditions. SBS-modified binders showed higher performance grades (PGs), improving from PG 64-x (base) to PG 82-x at 5% SBS. Viscosity values rose with SBS content, reaching acceptable Superpave thresholds, which enhanced high-temperature stability.
- Workability findings: The asphalt mixture with 5% SBS exhibited lower workability than the 5% PVC and base mixtures due to increased viscosity. Despite its lower workability and higher cost, SBS is more suitable for the hot Iraqi climate due to its superior thermal and rutting resistance.
- Recommendations: Further study is suggested to discover the relationship between workability and compactability, utilizing compactability windows to optimize asphalt pavement performance under field conditions.
Author Contributions
Funding
Data Availability Statement
Acknowledgments
Conflicts of Interest
References
- Abed, A.H. Effects of Functionalized Polyethylene and Styrene Butadiene Styrene Polymers on Performance Grade of Local Asphalt. J. Eng. 2012, 18, 735–742. [Google Scholar] [CrossRef]
- Rahman, N.; Ahmeduzzaman, M.; Sobhan, M.A.; Ahmed, T.U. Performance Evaluation of Waste Polyethylene and PVC on Hot Asphalt Mixtures. Am. J. Civ. Eng. Arch. 2013, 1, 97–102. [Google Scholar] [CrossRef]
- May, J.; Wilkey, T. Heating, Mixing, and Storing Modified Asphalt; Technical Paper No. T-133; Heatec Incorporated: Chattanooga, TN, USA, 1996. [Google Scholar]
- Albayati, A.; Faleh, A. Influence of Temperature on Mechanical Properties of Asphalt Concrete Mixture. IOP Conf. Ser. Earth Environ. Sci. 2021, 856, 12025. [Google Scholar] [CrossRef]
- Słowik, M. Thermo rheological Properties of Styrene-Butadiene-Styrene (SBS) Copolymer Modified Road Bitumen. Procedia Eng. 2017, 208, 145–150. [Google Scholar] [CrossRef]
- Simard, D.; Olard, F. Long-Life Overlays by Use of Highly Modified Bituminous Mixtures. In 7th RILEM International Conference on Cracking in Pavements; Scarpas, A., Kringos, N., Al-Qadi, I., Loizos, A., Eds.; Springer: Dordrecht, The Netherlands, 2012; pp. 837–848. [Google Scholar] [CrossRef]
- Xu, S.; Xu, B.; Liulin, S.; Cai, S.; Tang, G.; Pan, S. Performance Evaluation of Multiple Aging-Regeneration of SBS-Modified Bitumen Regenerated by a Composite Rejuvenator. Buildings 2024, 14, 2185. [Google Scholar] [CrossRef]
- Brûlé, B.; Brion, Y.; Tanguy, A. Paving asphalt polymer blends: The relationship between composition, structure, and properties. J. Assoc. Asph. Paving Technol. 1988, 57, 41–64. [Google Scholar]
- Soenen, H.; Lu, X.; Redelius, P. The Morphology of Bitumen-SBS Blends by UV Microscopy: An Evaluation of Preparation Methods. Road Mater. Pavement Des. 2008, 9, 97–110. [Google Scholar] [CrossRef]
- BS EN 13632:2010; Bitumen and Bituminous Binders. Visualization of Polymer Dispersion in Polymer Modified Bitumen. BSI Knowledge: London, UK, 2010.
- Di Benedetto, H.; Francken, L. Mechanical Tests for Bituminous Materials: Recent Improvements and Future Prospects. In Proceedings of the Fifth International Rilem Symposium Mtbmlyon 97/France/14-16 MAI 1997, Lyon, France, 14–16 May 1997; AA Balkema: Cape Town, South Africa, 1997. [Google Scholar]
- Wegan, V.; Nielsen, C.B. Report 109. In “Microstructure of Polymer Modified Binders in Bituminous Mixtures”; Danish Road Institute: Copenhagen, Denmark, 2001; ISBN 87-90145-828. ISSN 0909-1386. [Google Scholar]
- Kou, C.; Xiao, P.; Kang, A.; Mikhailenko, P.; Baaj, H.; Wu, Z. Protocol for the morphology analysis of SBS polymer modified bitumen images obtained by using fluorescent microscopy. Int. J. Pavement Eng. 2017, 20, 585–591. [Google Scholar] [CrossRef]
- Lu, X.; Redelius, P.; Soenen, H. SBS modified bitumen: Does their morphology and storage stability influence asphalt mix performance? In Proceedings of the 11th ISAP International Conference on Asphalt Pavements, Nagoya, Japan, 1–6 August 2010. [Google Scholar]
- ASTM D7175-15; Standard Test Method for Determining the Rheological Properties of Asphalt Binder Using a Dy-Namic Shear Rheometer. ASTM International: West Conshohocken, PA, USA, 2015. [CrossRef]
- Lu, X.; Isacsson, U. Effect of ageing on bitumen chemistry and rheology. Constr. Build. Mater. 2002, 16, 15–22. [Google Scholar] [CrossRef]
- Roberts, F.L.; Kandhal, P.S.; Brown, E.R.; Lee, D.-Y.; Kennedy, T.W. Hot Mix Asphalt Materials, Mixture Design and Construction; NAPA Research and Education Foundation: Auburn, AL, USA, 1996; Volume 1, pp. 1–8. [Google Scholar]
- Jin, D.; Meyer, T.K.; Chen, S.; Boateng, K.A.; Pearce, J.M.; You, Z. Evaluation of lab performance of stamp sand and acrylonitrile styrene acrylate waste composites without asphalt as road surface materials. Constr. Build. Mater. 2022, 338, 127569. [Google Scholar] [CrossRef]
- Jin, D.; Xin, K.; Yin, L.; Mohammadi, S.; Cetin, B.; You, Z. Performance of rubber modified asphalt mixture with tire-derived aggregate subgrade. Constr. Build. Mater. 2024, 449, 138261. [Google Scholar] [CrossRef]
- Mohammadi, S.; Jin, D.; Kulas, D.; Zolghadr, A.; Shonnard, D.R.; You, Z. Role of Pyrolysis Wax on Enhancing the Performance of Waste Plastic Modified Asphalt Prepared with the Wet Modification Process. Transp. Res. Rec. 2025, 03611981251330898. [Google Scholar] [CrossRef]
- Asphalt Institute. The Asphalt Handbook; Manual Series No. 4 (MS-4), 7th ed.; Asphalt Institute: Lexington, KY, USA, 2007. [Google Scholar]
- Terrel, R.L.; Epps, J.A.; Crawford, C. Making the Most of Temperature, Viscosity Characteristics; Information Series 102; NAPA: Lanham, MD, USA, 1988. [Google Scholar]
- Poeran, N.; Sluer, B. Workability of asphalt mixtures. In Proceedings of the 6th Eurasphalt & Eurobitume Congress, Prague, Czech Republic, 1–3 June 2016. [Google Scholar] [CrossRef]
- ASTM International. ASTM Vol. 04.03; Road and paving materials; vehicle-pavement systems. In 2021 Annual Book of ASTM Standards; ASTM International: Washington, DC, 2021; p. 1898. Available online: https://www.mystandards.biz/publication/astm-volume-0403-road-and-paving-materials-vehicle-pavement-systems-1.6.2021.html# (accessed on 25 June 2025).
- SCRB. General Specification for Roads and Bridges. Section R/9, Hot-Mix asphalt Concrete Pavement, State Corporation of Roads and Bridges; Ministry of Housing and Construction: Baghdad, Iraq, 2003.
- Albayati, A.H.K.; Mohammed, A.M. Assessment the Impact of Different Hydrated Lime Addition Methods on Fatigue Life Characteristic. Eng. Technol. J. 2013, 31, 489–511. [Google Scholar] [CrossRef]
- Jabbar, H.F.; Hilal, M.M.; Fattah, M.Y. Comparison of hot and warm asphalt mixture workability with different types of filler. Road Mater. Pavement Des. 2025, 1–22. [Google Scholar] [CrossRef]
- Jabbar, H.F.; Hilal, M.M.; Fattah, M.Y. Evaluating hot mix asphalt for different recycled asphalt pavement contents and filler kinds utilizing marshall characteristics and moisture damage. Eng. Technol. J. 2024, 42, 1398–1416. [Google Scholar] [CrossRef]
- Fang, C.; Liu, X.; Yu, R.; Liu, P.; Lei, W. Preparation and Properties of Asphalt Modified with a Composite Composed of Waste Package Poly (vinyl chloride) and Organic Montmorillonite. J. Mater. Sci. Technol. 2014, 30, 1304–1310. [Google Scholar] [CrossRef]
- Ferdaus, R.; Masri, K.; Putra Jaya, R. Sustainable Use of Polymer in Asphalt Mixture: A Review. Construction 2022, 2, 12–21. [Google Scholar] [CrossRef]
- Behl, A.; Sharma, G.; Kumar, G. A sustainable approach: Utilization of waste PVC in the asphalting of roads. Constr. Build. Mater. 2014, 54, 113–117. [Google Scholar] [CrossRef]
- Köfteci, S.; Ahmedzade, P.; Kultayev, B. Performance evaluation of bitumen modified by various types of waste plastics. Constr. Build. Mater. 2014, 73, 592–602. [Google Scholar] [CrossRef]
- Al-Dubabe, I.A.; Wahhab, H.I.A.-A.; Asi, I.M.; Ali, M.F. Polymer Modification of Arab Asphalt. J. Mater. Civ. Eng. 1998, 10, 161–167. [Google Scholar] [CrossRef]
- Wu, S.P.; Xiao, Y.; Liu, Q.T.; Cao, T.W. Temperature Sensitivity of Asphalt-Aggregate Adhesion via Dynamic Mechanical Analysis. Key Eng. Mater. 2008, 385–387, 473–476. [Google Scholar] [CrossRef]
- Dong, F.; Zhao, W.; Zhang, Y.; Wei, J.; Fan, W.; Yu, Y.; Wang, Z. Influence of SBS and asphalt on SBS dispersion and the performance of modified asphalt. Constr. Build. Mater. 2014, 62, 1–7. [Google Scholar] [CrossRef]
- Vargas, M.A.; Sánchez-Sólis, A.; Manero, O. Asphalt/polyethylene blends: Rheological properties, microstructure and viscosity modeling. Constr. Build. Mater. 2013, 45, 243–250. [Google Scholar] [CrossRef]
- Tian, G.; Gao, Y.; Chen, C.; Ye, Q. Study on high-temperature performance evaluation of asphalt mixtures with anti-rutting additives. Electron. Res. Arch. 2024, 32, 160–173. [Google Scholar] [CrossRef]
- ASTM-D4402; Standard Test Method for Viscosity Determination of Asphalt at Elevated Temperatures Using a Rotational Viscometer. Annual Book of Standards American Society for Testing and Materials: West Conshohocken, PA, USA, 2018.
- Lu, X.; Lsacsson, U. Rheological characterization of styrene-butadiene-styrene copolymer modified bitumen. Constr. Build. Mater. 1997, 11, 23–32. [Google Scholar] [CrossRef]
- AASHTO. Standard specification for Transportation Materials and Methods of Sampling and Testing; Parts I and II; American Association of State Highway and Transportation Officials: Washington, DC, USA, 2003. [Google Scholar]
- AASHTO T245; Standard Method of Test for Resistance to Plastic Flow of Asphalt Mixtures Using Marshall Apparatus. American Association of State Highway and Transportation Officials (AASHTO): Washington, DC, USA, 2015.
- Ismael, N.M.; Fattah, M.Y.; Addahhan, A.J. Evaluate Resistance of Warm Asphalt Mixtures to Rutting. IOP Conf. Ser. Mater. Sci. Eng. 2020, 745, 012109. [Google Scholar] [CrossRef]
- ASTM D6926-10; Standard Practice for Preparation of Bituminous Specimens Using Marshall. ASTM International: Washington, DC, USA; pp. 1–6.
- Hilal, M.M.; Fattah, M.Y. Evaluation of Resilient Modulus and Rutting for Warm Asphalt Mixtures: A Local Study in Iraq. Appl. Sci. 2022, 12, 12841. [Google Scholar] [CrossRef]
- Tao, M.; Mallick, R.B. Effects of Warm-Mix Asphalt Additives on Workability and Mechanical Properties of Reclaimed Asphalt Pavement Material. Transp. Res. Rec. J. Transp. Res. Board 2009, 2126, 151–160. [Google Scholar] [CrossRef]
- Ayman, A.; Ala, A.; Munir, N.; Ahmad, A.; Arjun, R.; David, P. Workability Evaluation of Foamed Warm-Mix Asphalt. J. Mater. Civ. Eng. 2014, 26, 4014011. [Google Scholar] [CrossRef]
- Sukhija, M.; Wagh, V.P.; Saboo, N. Development of workability based approach for assessment of production temperatures of warm mix asphalt mixtures. Constr. Build. Mater. 2021, 305, 124808. [Google Scholar] [CrossRef]
- Arshad, A.K.; Shaffie, E.; Hashim, W.; Khalil, S.M. Relationship Between Workability and Moisture-Induced Damage of Asphalt Concrete Mixtures. Int. J. Civ. Eng. Technol. 2019, 10, 1887–1894. [Google Scholar]
- Yildirim, Y. Polymer modified asphalt binders. Constr. Build. Mater. 2007, 21, 66–72. [Google Scholar] [CrossRef]
- Chen, B.; Dong, F.; Yu, X.; Zheng, C.; Guo, Y.; Zu, Y. Research on evaluation method of asphalt mixture workability based on minimum mixing energy consumption. Constr. Build. Mater. 2023, 389, 131760. [Google Scholar] [CrossRef]
- Gunay, T. Investigation of physical properties of base and SBS modified bitumens by rheological test methods. J. Constr. 2022, 21, 281–294. [Google Scholar] [CrossRef]
- Sengoz, B.; Isikyakar, G. Analysis of styrene-butadiene-styrene polymer modified bitumen using fluorescent microscopy and conventional test methods. J. Hazard. Mater. 2008, 150, 424–432. [Google Scholar] [CrossRef]
- Hong, Z.; Yan, K.; Ge, D.; Wang, M.; Li, G.; Li, H. Effect of styrene-butadiene-styrene (SBS) on laboratory properties of low-density polyethylene (LDPE)/ethylene-vinyl acetate (EVA) compound modified asphalt. J. Clean. Prod. 2022, 338, 130677. [Google Scholar] [CrossRef]
- Li, Y.; Ge, D.; Ju, Z.; Lv, S.; Xue, Y.; Xue, Y.; Peng, L. Study on Performance and Mechanism of SBR and Bio-Oil Recycled SBS Modified Asphalt. Polymers 2022, 14, 5096. [Google Scholar] [CrossRef]
- Whiteoak, D. Shell Bitumen Handbook; Shell Bitumen UK: London, UK, 1990; ISBN 978-0901890814. [Google Scholar]
- Lesueur, D. The colloidal structure of bitumen: Consequences on the rheology and on the mechanisms of bitumen modification. Adv. Colloid Interface Sci. 2009, 145, 42–82. [Google Scholar] [CrossRef]
- Fattah, M.Y.; Wissam, A.; Hilal, M.M. Characteristics of Asphalt Binder and Mixture Modified With Waste Polypropylene. Eng. Technol. J. 2021, 39, 1224–1230. [Google Scholar] [CrossRef]
- Joni, H.H.; Al-Rubaie, A.H. Enhancement of the Rutting Resistance of Asphalt Mixtures at Different High Temperatures Using Waste Polyethylene Polymer. Eng. Technol. J. 2022, 40, 1432–1440. [Google Scholar] [CrossRef]
- Abbas, A.S. Rotational Viscosity Prediction Models For Asphalt Cement. Eng. Technol. J. 2011, 29, 2869–2879. [Google Scholar] [CrossRef]
- Abd-Ali, M.S. A Finite Element Model for Rutting Prediction of Flexible Pavement Considering Temperature Effect. Eng. Technol. J. 2013, 31, 537–548. [Google Scholar] [CrossRef]
- Hilal, M.M.; Fattah, M.Y. A model for variation with time of flexible pavement temperature. Open Eng. 2022, 12, 176–183. [Google Scholar] [CrossRef]
- Demchuk, Y.; Gunka, V.; Sidun, I.; Korchak, B.; Donchenko, M.; Drapak, I.; Poliuzhyn, I.; Pyshyev, S. Study of Road Bitumen Operational Properties Modified with Phenol–Cresol–Formaldehyde Resin. Resources 2025, 14, 91. [Google Scholar] [CrossRef]




























| Test | ASTM Designation [24] | Test Results | SCRB |
|---|---|---|---|
| Specification (2003) [25] | |||
| Penetration (25 °C, 100 g, 5 sec) | D5 | 66 | 60–70 |
| Ductility (25 °C, 5 cm/min) | D113 | 130 | >100 |
| Softening Point, | D36 | 46 | 49–56 |
| Flash Point, °C | D92 | 251 | >232 |
| Fire Point, °C | D92 | ||
| Specific Gravity of Asphalt | D72 | 1.03 | |
| Rotational Viscometer, (Pa. sec) | D4402 | 0.425@ 135 °C | |
| 0.101@ 165°C | |||
| Loss on Heating (5 h at 163°C) | D1754 | 0.47 | |
| After Thin Film Oven Test (ASTM D-1754, 2020) | |||
| Retained Penetration, % of Original | (ASTM D5, 2020) | 65 | >52 |
| Ductility @ 25 °C, 5 cm/min, (cm) | (ASTM D113, 2018) | 101 | >40 |
| Property | ASTM Specification [24] | Result | SCRB Specification [25] |
|---|---|---|---|
| Coarse Aggregate | |||
| Bulk Specific Gravity | ASTM C127 | 2.605 | |
| Apparent Specific Gravity | ASTM C127 | 2.659 | |
| percent wear (loss of Angel’s abrasion) | ASTM C131 | 15 | ≤30 |
| Water Absorption, % | C127 | 0.53 | |
| Soundness Loss by Sodium Sulfate Solution, % | C88 | 3.12 | ≤12 |
| Degree of Crashing, % | 96 | ≥95 | |
| Flat and Elongated Particles, % | D4791 | 1.4 | ≤10 |
| Fine Aggregate | |||
| Bulk Specific Gravity | ASTM C128 | 2.593 | |
| Apparent Specific Gravity | ASTM C128 | 2.679 | |
| Water Absorption, % | C128 | 0.72 | |
| Sand Equivalent | D 2419 | 54 | ≥45 |
| Sieve Size | % Passing as by (SCRB/R9, 2003) [25] Wearing Course Type IIIA | ||||
|---|---|---|---|---|---|
| Work Choice | |||||
| Standard Sieves | English Sieves | Min. | Max. | % Passing | % Retaining |
| 19.00 mm | 3/4″ | --- | 100 | 100 | 0 |
| 12.50 mm | 1/2″ | 90 | 100 | 95 | 5 |
| 9.500 mm | 3/8″ | 76 | 90 | 83 | 12 |
| 4.750 mm | #4 | 44 | 74 | 59 | 24 |
| 2.360 mm | #8 | 28 | 58 | 43 | 16 |
| 0.300 mm | #50 | 5 | 21 | 13 | 30 |
| 0.075 mm | #200 | 4 | 10 | 7 | 6 |
| Pan | --- | 7 | |||
| Filler Type | Chemical Composition, % | ||||||
|---|---|---|---|---|---|---|---|
| Lime (Cao) | Silica (SiO2) | Alumina (Al2O3) | Magnesia (MgO) | Ferric Oxide (Fe2O3) | Sulfuric Anhydride (SO3) | Loss on Ignition (L.O.I) | |
| Hydrated Lime | 69 | 1 | ---- | 2 | ---- | 1 | 27 |
| Density g/cm3 | Melting Point °C | Tensile Strength (MPa) | Chemical Unit | Color | Passing Through Mesh 200 |
|---|---|---|---|---|---|
| 1.42 | 160–210 [29] | 60 | (C2H3CL) n | White powder | Max 4% |
| Bulk Density Kg/m3 | Molecular Structure | Vinyl Content (%) | Styrene/Butadiene Ratio | Di-Block Content | Elongation% | Specific Gravity | Tensile Strength MPa | Melting Point °C | Color |
|---|---|---|---|---|---|---|---|---|---|
| 0.4 | Linear triblock | 30/70 | 88 | 0.94 | 32 MIN | 180 | White pellet |
| Binder Type | Mixing Range, °C | Compaction Range, °C |
|---|---|---|
| Base Binder | 152–158 | 142–146 |
| 3%SBS | 178–185 | 165–173 |
| 4%SBS | 185–190 | 173–178 |
| 5%SBS | 190–195 | 178–185 |
| Binder Types | Aging Status | Temp.(°C) | G* (kPa) | δ° | G*/sin δ (kPa) | Superpave Spec. Limit (kPa) | PG |
|---|---|---|---|---|---|---|---|
| Original Binder | Unaged | 64 | 1.0601 | 88.3 | 1.0605 | ≥1 | PG64-X |
| 70 | 0.5285 | 89 | 0.5285 | ||||
| RTFO Aged | 64 | 2.211 | 87.4 | 2.2122 | ≥2.2 | ||
| 70 | 1.4001 | 87.7 | 1.4011 | ||||
| 3%SBS | Unaged | 70 | 1.7801 | 80.3 | 1.8058 | ≥1 | PG70-X |
| 76 | 0.8901 | 82.6 | 0.8975 | ||||
| RTFO Aged | 70 | 2.355 | 79 | 2.3991 | ≥2.2 | ||
| 76 | 1.1775 | 81.3 | 1.1912 | ||||
| 4%SBS | Unaged | 76 | 1.7150 | 75.6 | 1.7707 | ≥1 | PG76-X |
| 82 | 0.8575 | 77.6 | 0.878 | ||||
| RTFO Aged | 76 | 2.6275 | 74.3 | 2.7294 | ≥2.2 | ||
| 82 | 1.3138 | 76.3 | 1.3522 | ||||
| 5%SBS | Unaged | 82 | 1.8101 | 70 | 1.9262 | ≥1 | PG82-X |
| 88 | 0.9051 | 72 | 0.9516 | ||||
| RTFO Aged | 82 | 2.4638 | 68.7 | 2.6444 | ≥2.2 | PG82-X | |
| 88 | 1.2319 | 70.7 | 1.3052 |
| PVC% | Mixing Temp. °C | Compaction Temp. °C |
|---|---|---|
| Base binder | 152–158 | 142–146 |
| 3% | 182–192 | 164–170 |
| 5% | 186–195 | 170–177 |
| 7% | 193–200 | 175–185 |
| 9% | 195–205 | 180–186 |
| Binder Types | Aging Status | Temp. (°C) | G* (kPa) | δ° | G*/sin δ (kPa) | Superpave Spec. Limit (kPa) | PG |
|---|---|---|---|---|---|---|---|
| Original Binder | Unaged | 64 | 1.0601 | 88.3 | 1.0605 | ||
| 70 | 0.5285 | 89 | 0.5285 | ||||
| 76 | 0.2565 | 89.5 | 0.2565 | ≥1 | PG64-X | ||
| 82 | 0.12825 | 89.9 | 0.1282 | ||||
| RTFO-Aged | 64 | 2.21 | 88.3 | 2.2109 | |||
| 70 | 1.4 | 88.5 | 1.4004 | ||||
| 76 | 0.654 | 89.2 | 0.6541 | ≥2.2 | PG76-X | ||
| 82 | 0.2565 | 89.3 | 0.2565 | ||||
| 3% PVC | Unaged | 64 | 1.6301 | 84.3 | 1.6382 | ||
| 70 | 1.1285 | 85 | 1.1328 | ||||
| 76 | 0.5565 | 85.5 | 0.5582 | ≥1 | PG70-X | ||
| 82 | 0.2783 | 85.9 | 0.2789 | ||||
| RTFO-Aged | 64 | 3.41 | 84.3 | 3.4915 | |||
| 70 | 2.8 | 84.5 | 2.8704 | ||||
| 76 | 1.4 | 85.2 | 1.4267 | ≥2.2 | PG70-X | ||
| 82 | 0.7 | 85.3 | 0.7097 | ||||
| 5% PVC | Unaged | 64 | 2.9301 | 80.3 | 2.9726 | ||
| 70 | 1.5285 | 81 | 1.5475 | ||||
| 76 | 0.8565 | 82.5 | 0.8639 | ≥1 | PG70-X | ||
| 82 | 0.4283 | 83.8 | 0.4307 | ||||
| RTFO-Aged | 64 | 4.91 | 80.3 | 4.9812 | |||
| 70 | 3.20 | 80.5 | 3.2445 | ||||
| 76 | 2.00 | 82.2 | 2.0187 | ≥2.2 | PG70-X | ||
| 82 | 1.00 | 83.2 | 1.0071 | ||||
| 7% PVC | Unaged | 64 | 4.1301 | 77.6 | 4.2288 | ||
| 70 | 1.9285 | 77.8 | 1.9731 | ||||
| 76 | 1.2165 | 79.2 | 1.2384 | ≥1 | PG76-X | ||
| 82 | 0.6083 | 81.1 | 0.6156 | ||||
| RTFO-Aged | 64 | 6.71 | 77.6 | 6.8703 | |||
| 70 | 3.6 | 77.3 | 3.6903 | ||||
| 76 | 2.36 | 78.9 | 2.4051 | ≥2.2 | PG76-X | ||
| 82 | 1.18 | 80.5 | 1.1964 | ||||
| 9% PVC | Unaged | 64 | 8.7789 | 82.1 | 8.8631 | ||
| 70 | 4.4435 | 82.09 | 4.4862 | ||||
| 76 | 1.8772 | 82.6 | 1.8929 | ≥1 | PG76-X | ||
| 82 | 0.9211 | 82.8 | 0.9284 | ||||
| RTFO-Aged | 64 | 5.1301 | 76 | 5.2872 | |||
| 70 | 2.3585 | 76.4 | 2.4265 | ||||
| 76 | 1.6165 | 77.1 | 1.6584 | ≥2.2 | PG76-X | ||
| 82 | 0.8083 | 79.9 | 0.8209 |
Disclaimer/Publisher’s Note: The statements, opinions and data contained in all publications are solely those of the individual author(s) and contributor(s) and not of MDPI and/or the editor(s). MDPI and/or the editor(s) disclaim responsibility for any injury to people or property resulting from any ideas, methods, instructions or products referred to in the content. |
© 2025 by the authors. Licensee MDPI, Basel, Switzerland. This article is an open access article distributed under the terms and conditions of the Creative Commons Attribution (CC BY) license (https://creativecommons.org/licenses/by/4.0/).
Share and Cite
Jabbar, H.F.; Hilal, M.M.; Fattah, M.Y. Assessment of Asphalt Mixtures Enhanced with Styrene–Butadiene–Styrene and Polyvinyl Chloride Through Rheological, Physical, Microscopic, and Workability Analyses. J. Compos. Sci. 2025, 9, 341. https://doi.org/10.3390/jcs9070341
Jabbar HF, Hilal MM, Fattah MY. Assessment of Asphalt Mixtures Enhanced with Styrene–Butadiene–Styrene and Polyvinyl Chloride Through Rheological, Physical, Microscopic, and Workability Analyses. Journal of Composites Science. 2025; 9(7):341. https://doi.org/10.3390/jcs9070341
Chicago/Turabian StyleJabbar, Hawraa F., Miami M. Hilal, and Mohammed Y. Fattah. 2025. "Assessment of Asphalt Mixtures Enhanced with Styrene–Butadiene–Styrene and Polyvinyl Chloride Through Rheological, Physical, Microscopic, and Workability Analyses" Journal of Composites Science 9, no. 7: 341. https://doi.org/10.3390/jcs9070341
APA StyleJabbar, H. F., Hilal, M. M., & Fattah, M. Y. (2025). Assessment of Asphalt Mixtures Enhanced with Styrene–Butadiene–Styrene and Polyvinyl Chloride Through Rheological, Physical, Microscopic, and Workability Analyses. Journal of Composites Science, 9(7), 341. https://doi.org/10.3390/jcs9070341

