Orthodontic Bracket Rebonding with and without Fluoride: A Pilot Study
Abstract
1. Introduction
2. Materials and Methods
2.1. Study Design
2.2. Selection Criteria
2.3. Sample Preparation
2.3.1. Mounting the Acrylic Samples
2.3.2. Cleaning the Samples
2.4. Sample Distribution
2.5. Bracket Bonding
2.6. Placement in Demineralization Solution
2.7. Removing the Adhesive after Take-Off
2.8. Roughness Assessment
2.9. Statistical Analysis
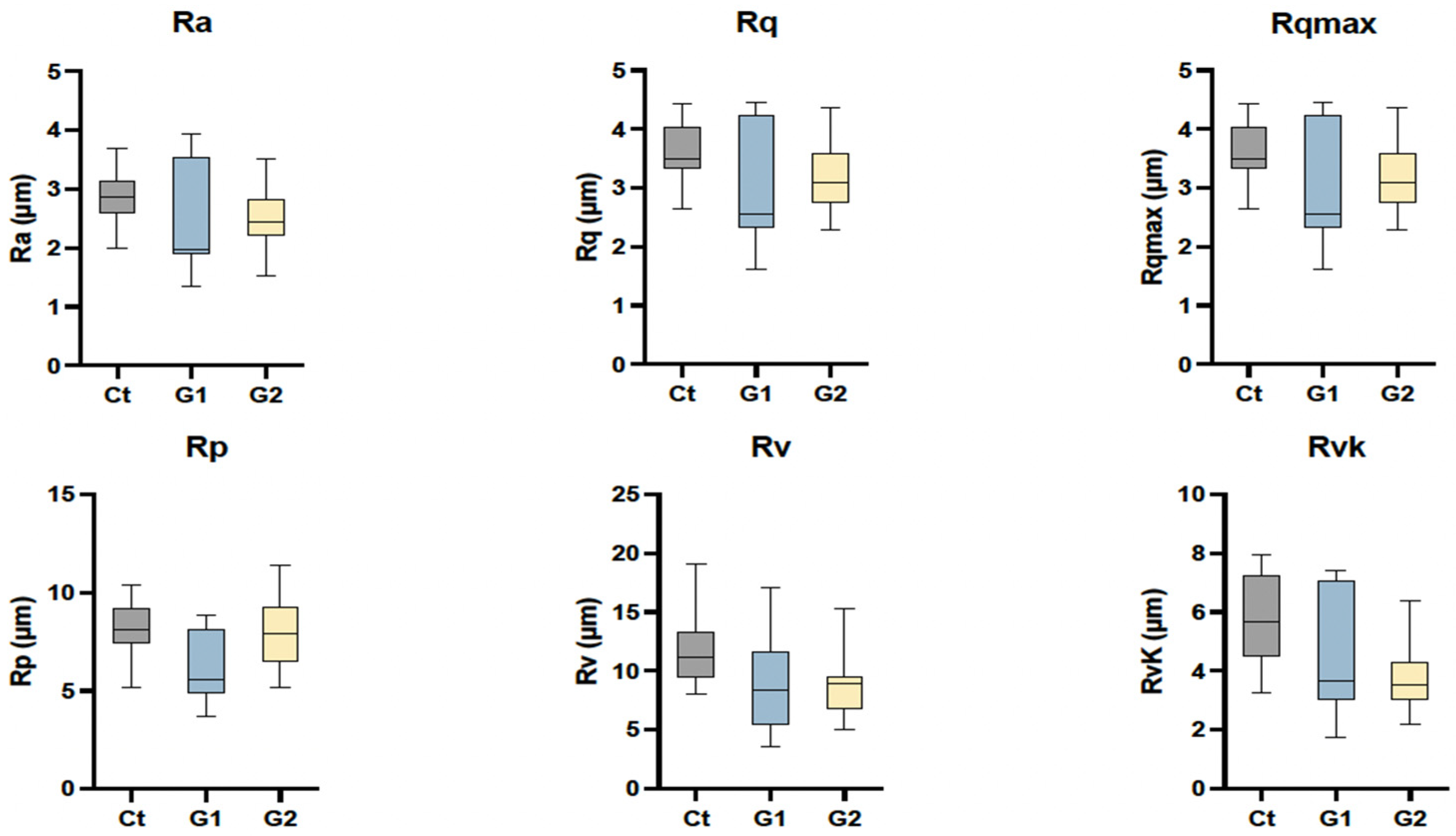
3. Results
3.1. Sample Characterization
3.2. Comparative Assessment between Groups
3.2.1. At Time T0
3.2.2. At Time T1
3.2.3. At Time T2
3.3. Comparative Assessment between Times
3.3.1. In the Control Group
3.3.2. Group 1
3.3.3. Group 2
4. Discussion
5. Conclusions
Author Contributions
Funding
Data Availability Statement
Conflicts of Interest
References
- Buonocore, M.G. A Simple Method of Increasing the Adhesion of Acrylic Filling Materials to Enamel Surfaces. J. Dent. Res. 1955, 34, 849–853. [Google Scholar] [CrossRef] [PubMed]
- Sakaguchi, R.L.; Powers, J.M. Craig’s Restorative Dental Materials, 13th ed.; Elsevier/Mosby: St. Louis, MO, USA, 2012; ISBN 978-0-323-08108-5. [Google Scholar]
- Fang, K.; Chen, K.; Shi, M.; Wang, L. Effect of Different Adhesive Systems on Dental Defects and Sensitivity to Teeth in Composite Resin Restoration: A Systematic Review and Meta-Analysis. Clin. Oral Investig. 2023, 27, 2495–2511. [Google Scholar] [CrossRef] [PubMed]
- Carrilho, E.; Cardoso, M.; Marques Ferreira, M.; Marto, C.; Paula, A.; Coelho, A. 10-MDP Based Dental Adhesives: Adhesive Interface Characterization and Adhesive Stability—A Systematic Review. Materials 2019, 12, 790. [Google Scholar] [CrossRef] [PubMed]
- Mirzakouchaki, B.; Kimyai, S.; Hydari, M.; Shahrbaf, S.; Mirzakouchaki-Boroujeni, P. Effect of Self-Etching Primer/Adhesive and Conventional Bonding on the Shear Bond Strength in Metallic and Ceramic Brackets. Med. Oral 2012, 17, e164–e170. [Google Scholar] [CrossRef] [PubMed][Green Version]
- Khanehmasjedi, M.; Naseri, M.A.; Khanehmasjedi, S.; Basir, L. Comparative Evaluation of Shear Bond Strength of Metallic Brackets Bonded with Two Different Bonding Agents under Dry Conditions and with Saliva Contamination. J. Chin. Med. Assoc. 2017, 80, 103–108. [Google Scholar] [CrossRef]
- Ok, U.; Aksakalli, S.; Eren, E.; Kechagia, N. Single-Component Orthodontic Adhesives: Comparison of the Clinical and in Vitro Performance. Clin. Oral Investig. 2021, 25, 3987–3999. [Google Scholar] [CrossRef]
- Mandall, N.A.; Hickman, J.; Macfarlane, T.V.; Mattick, R.C.; Millett, D.T.; Worthington, H.V. Adhesives for Fixed Orthodontic Brackets. Cochrane Database Syst. Rev. 2018, 2018, CD002282. [Google Scholar] [CrossRef]
- Atashi, M.H.A. Long-Term Evaluation of Clinical Performance of Directbonded Brackets: An Epidemiologic Survey. J. Contemp. Dent. Pract. 2013, 14, 738–742. [Google Scholar] [CrossRef]
- Sukhia, R.H.; Sukhia, H.R.; Azam, S.I.; Nuruddin, R.; Rizwan, A.; Jalal, S. Predicting the Bracket Bond Failure Rate in Orthodontic Patients: A Retrospective Cohort Study. Int. Orthod. 2019, 17, 208–215. [Google Scholar] [CrossRef]
- Wendl, B.; Muchitsch, P.; Pichelmayer, M.; Droschl, H.; Kern, W. Comparative Bond Strength of New and Reconditioned Brackets and Assessment of Residual Adhesive by Light and Electron Microscopy. Eur. J. Orthod. 2011, 33, 288–292. [Google Scholar] [CrossRef][Green Version]
- Reddy, Y.G. The Shear Bond Strengths of Metal and Ceramic Brackets: An in-Vitro Comparative Study. J. Clin. Diagn. Res. JCDR 2013, 7, 1495–1497. [Google Scholar] [CrossRef] [PubMed]
- Lohfeld, S.; Kawamoto, B.; Wang, Y.; Walker, M.P. Effect of Fluoride Varnish in Combination with Simulated Oral Environment on Enamel–Bracket Shear Bond Strength. Odontology 2023, 111, 85–92. [Google Scholar] [CrossRef] [PubMed]
- Bishara, S.E.; VonWald, L.; Laffoon, J.F.; Warren, J.J. Effect of a Self-Etch Primer/Adhesive on the Shear Bond Strength of Orthodontic Brackets. Am. J. Orthod. Dentofac. Orthop. 2001, 119, 621–624. [Google Scholar] [CrossRef] [PubMed]
- Tuncer, N.; Pamukcu, H.; Polat-Ozsoy, O. Effects of Repeated Bracket Bonding on Enamel Color Changes. Niger J. Clin. Pr. 2018, 21, 1093. [Google Scholar] [CrossRef] [PubMed]
- Li, Y.; Mei, L.; Wei, J.; Yan, X.; Zhang, X.; Zheng, W.; Li, Y. Effectiveness, Efficiency and Adverse Effects of Using Direct or Indirect Bonding Technique in Orthodontic Patients: A Systematic Review and Meta-Analysis. BMC Oral Health 2019, 19, 137. [Google Scholar] [CrossRef] [PubMed]
- Miller, M.; Mon, H.H.; Xu, X.; Chapple, A.; Dupree, P.; Ballard, R.W.; Armbruster, P. Shear Bond Strength of Adhesive Precoated Brackets: A Comparative in Vitro Study. Int. Orthod. 2023, 21, 100752. [Google Scholar] [CrossRef] [PubMed]
- Roelofs, T.; Merkens, N.; Roelofs, J.; Bronkhorst, E.; Breuning, H. A Retrospective Survey of the Causes of Bracket- and Tube-Bonding Failures. Angle Orthod. 2017, 87, 111–117. [Google Scholar] [CrossRef]
- Reynolds, I.R. A Review of Direct Orthodontic Bonding. Br. J. Orthod. 1975, 2, 171–178. [Google Scholar] [CrossRef]
- Carlson, S.K.; Johnson, E. Bracket Positioning and Resets: Five Steps to Align Crowns and Roots Consistently. Am. J. Orthod. Dentofac. Orthop. 2001, 119, 76–80. [Google Scholar] [CrossRef]
- Oliveira, N.S.D.; Gribel, B.F.; Neves, L.S.; Lages, E.M.B.; Macari, S.; Pretti, H. Comparison of the Accuracy of Virtual and Direct Bonding of Orthodontic Accessories. Dent. Press J. Orthod. 2019, 24, 46–53. [Google Scholar] [CrossRef]
- Grazioli, G.; Hardan, L.; Bourgi, R.; Nakanishi, L.; Amm, E.; Zarow, M.; Jakubowicz, N.; Proc, P.; Cuevas-Suárez, C.E.; Lukomska-Szymanska, M. Residual Adhesive Removal Methods for Rebonding of Debonded Orthodontic Metal Brackets: Systematic Review and Meta-Analysis. Materials 2021, 14, 6120. [Google Scholar] [CrossRef] [PubMed]
- Salama, F.; Alrejaye, H.; Aldosari, M.; Almosa, N. Shear Bond Strength of New and Rebonded Orthodontic Brackets to the Enamel Surfaces. J. Orthod. Sci. 2018, 7, 12. [Google Scholar] [CrossRef] [PubMed]
- Yassaei, S.; Aghili, H.; KhanPayeh, E.; Goldani Moghadam, M. Comparison of Shear Bond Strength of Rebonded Brackets with Four Methods of Adhesive Removal. Lasers Med. Sci. 2014, 29, 1563–1568. [Google Scholar] [CrossRef] [PubMed]
- Espinar-Escalona, E.; Barrera-Mora, J.M.; Llamas-Carreras, J.M.; Solano-Reina, E.; Rodríguez, D.; Gil, F.J. Improvement in Adhesion of the Brackets to the Tooth by Sandblasting Treatment. J. Mater. Sci. Mater. Med. 2012, 23, 605–611. [Google Scholar] [CrossRef] [PubMed]
- Dumbryte, I.; Linkeviciene, L.; Linkevicius, T.; Malinauskas, M. Enamel Microcracks in Terms of Orthodontic Treatment: A Novel Method for Their Detection and Evaluation. Dent. Mater. J. 2017, 36, 438–446. [Google Scholar] [CrossRef]
- Hosein, I.; Sherriff, M.; Ireland, A.J. Enamel Loss during Bonding, Debonding, and Cleanup with Use of a Self-Etching Primer. Am. J. Orthod. Dentofac. Orthop. 2004, 126, 717–724. [Google Scholar] [CrossRef]
- Ekizer, A.; Zorba, Y.O.; Uysal, T.; Ayrikcila, S. Effects of Demineralizaton-Inhibition Procedures on the Bond Strength of Brackets Bonded to Demineralized Enamel Surface. Korean J. Orthod 2012, 42, 17. [Google Scholar] [CrossRef]
- Uysal, T.; Baysal, A.; Uysal, B.; Aydınbelge, M.; Al-Qunaian, T. Do Fluoride and Casein Phosphopeptide–Amorphous Calcium Phosphate Affect Shear Bond Strength of Orthodontic Brackets Bonded to a Demineralized Enamel Surface? Angle Orthod. 2011, 81, 490–495. [Google Scholar] [CrossRef]
- Sheykholeslam, Z.; Buonocore, M.G.; Gwinnett, A.J. Effect of Fluorides on the Bonding of Resins to Phosphoric Acid-Etched Bovine Enamel. Arch. Oral Biol. 1972, 17, 1037–1045. [Google Scholar] [CrossRef]
- Tabrizi, A.; Cakirer, B. A Comparative Evaluation of Casein Phosphopeptide-Amorphous Calcium Phosphate and Fluoride on the Shear Bond Strength of Orthodontic Brackets. Eur. J. Orthod. 2011, 33, 282–287. [Google Scholar] [CrossRef]
- Cacciafesta, V.; Sfondrini, M.F.; Calvi, D.; Scribante, A. Effect of Fluoride Application on Shear Bond Strength of Brackets Bonded with a Resin-Modified Glass-Ionomer. Am. J. Orthod. Dentofac. Orthop. 2005, 127, 580–583. [Google Scholar] [CrossRef] [PubMed]
- Barcroft, B.D.; Childers, K.R.; Harris, E.F. Effects of Acidulated and Neutral NaF Solutions on Bond Strengths. Pediatr Dent. 1990, 12, 180–182. [Google Scholar]
- Kimura, T.; Dunn, W.J.; Taloumis, L.J. Effect of Fluoride Varnish on the in Vitro Bond Strength of Orthodontic Brackets Using a Self-Etching Primer System. Am. J. Orthod. Dentofac. Orthop. 2004, 125, 351–356. [Google Scholar] [CrossRef] [PubMed]
- Meng, C.L.; Li, C.H.; Wang, W.N. Bond Strength with APF Applied after Acid Etching. Am. J. Orthod. Dentofac. Orthop. 1998, 114, 510–513. [Google Scholar] [CrossRef] [PubMed]
- Buzalaf, M.A.R.; Hannas, A.R.; Magalhães, A.C.; Rios, D.; Honório, H.M.; Delbem, A.C.B. pH-Cycling Models for in Vitro Evaluation of the Efficacy of Fluoridated Dentifrices for Caries Control: Strengths and Limitations. J. Appl. Oral Sci. 2010, 18, 316–334. [Google Scholar] [CrossRef] [PubMed]
- Claudino, D.; Kuga, M.; Belizario, L.; Pereira, J. Enamel Evaluation by Scanning Electron Microscopy after Debonding Brackets and Removal of Adhesive Remnants. J. Clin. Exp Dent. 2018, 10, e248–e251. [Google Scholar] [CrossRef] [PubMed]
- Claudino, D.; Ricci, W.A.; Honório, H.M.; Machry, R.V.; Valandro, L.F.; Da Rosa, R.A.; Pereira, J.R. Spectrophotometric Analysis of Dental Bleaching after Bonding and Debonding of Orthodontic Brackets. Saudi Dent. J. 2021, 33, 650–655. [Google Scholar] [CrossRef]
- Sivapriya, E.; Sridevi, K.; Periasamy, R.; Lakshminarayanan, L.; Pradeepkumar, A. Remineralization Ability of Sodium Fluoride on the Microhardness of Enamel, Dentin, and Dentinoenamel Junction: An in Vitro Study. J. Conserv Dent. 2017, 20, 100. [Google Scholar] [CrossRef]
- Leódido, G.D.R.; Fernandes, H.O.; Tonetto, M.R.; Presoto, C.D.; Bandéca, M.C.; Firoozmand, L.M. Effect of Fluoride Solutions on the Shear Bond Strength of Orthodontic Brackets. Braz. Dent. J. 2012, 23, 698–702. [Google Scholar] [CrossRef]
- Montasser, M.A.; Taha, M. Effect of Enamel Protective Agents on Shear Bond Strength of Orthodontic Brackets. Prog Orthod. 2014, 15, 34. [Google Scholar] [CrossRef]
- Singh, K.; Baijal, R.; Chauhan, C.; Mangla, R.; Gandhi, G.; Bhatnagar, D. Evaluation of the Effects of Topical Fluoride Varnish and Fluoride Releasing Adhesive on Shear Bond Strength of Orthodontic Brackets: An In Vitro Study. Int. J. Clin. Pediatr. Dent. 2023, 16, 37–41. [Google Scholar] [CrossRef] [PubMed]
- Cossellu, G.; Lanteri, V.; Butera, A.; Laffi, N.; Merlini, A.; Farronato, G. Timing Considerations on the Shear Bond Strength of Orthodontic Brackets after Topical Fluoride Varnish Applications. J. Orthod. Sci. 2017, 6, 11. [Google Scholar] [CrossRef] [PubMed]
- Rocha, J.M.D.; Gravina, M.A.; Campos, M.J.D.S.; Quintão, C.C.A.; Elias, C.N.; Vitral, R.W.F. Shear Bond Resistance and Enamel Surface Comparison after the Bonding and Debonding of Ceramic and Metallic Brackets. Dent. Press J. Orthod. 2014, 19, 77–85. [Google Scholar] [CrossRef] [PubMed]
- Bishara, S.E.; VonWald, L.; Laffoon, J.F.; Warren, J.J. The Effect of Repeated Bonding on the Shear Bond Strength of a Composite Resin Orthodontic Adhesive. Angle Orthod. 2000, 70, 435–441. [Google Scholar]
- Baka, Z.M.; Akin, M.; Ileri, Z.; Basciftci, F.A. Effects of Remineralization Procedures on Shear Bond Strengths of Brackets Bonded to Demineralized Enamel Surfaces with Self-Etch Systems. Angle Orthod. 2016, 86, 661–667. [Google Scholar] [CrossRef]
- Maladkar, S.R.; Yadav, P.; Muniraja, A.N.A.; Uchil, G.S.; George, L.V.; Augustine, D.; Rao, R.S.; Patil, S.; Sowmya, S.V.; Haragannavar, V.C. Erosive Effect of Acidic Beverages and Dietary Preservatives on Extracted Human Teeth—An In Vitro Analysis. Eur. J. Dent. 2022, 16, 919–929. [Google Scholar] [CrossRef]






| Control Group | Group 1 | Group 2 | |
|---|---|---|---|
| Sample Size | 10 | 10 | 10 |
| Step 1 | Evaluation of tooth surface roughness | Evaluation of tooth surface roughness | Evaluation of tooth surface roughness |
| Step 2 | Bracket bonding according to manufacturer’s instructions | Bracket bonding according to manufacturer’s instructions | Pre-treatment of enamel surfaces with 3M Vanish (3M, St. Paul, USA) for 3 min, leave to stand for 30 min in distilled water |
| Step 3 | Bracket debonding using the shear test | Placement in demineralization solution | Bracket bonding according to manufacturer’s instructions |
| Step 4 | Assessment of tooth surface roughness after composite removal | Bracket debonding using the shear test | Placing in demineralization solution |
| Step 5 | Bracket re-bonding according to manufacturer’s instructions, up to 24 h after bracket removal | Assessment of tooth surface roughness after composite removal | Removal of bracket using the shear test |
| Step 6 | Bracket detachment again by shear test | Bracket re-bonding according to the manufacturer’s instructions, up to 24 h after bracket removal | Assessment of tooth surface roughness after composite removal |
| Step 7 | Roughness assessment after composite removal | Bracket detachment again by shear test | |
| Step 8 | Roughness assessment after composite removal |
Disclaimer/Publisher’s Note: The statements, opinions and data contained in all publications are solely those of the individual author(s) and contributor(s) and not of MDPI and/or the editor(s). MDPI and/or the editor(s) disclaim responsibility for any injury to people or property resulting from any ideas, methods, instructions or products referred to in the content. |
© 2023 by the authors. Licensee MDPI, Basel, Switzerland. This article is an open access article distributed under the terms and conditions of the Creative Commons Attribution (CC BY) license (https://creativecommons.org/licenses/by/4.0/).
Share and Cite
Vale, F.; Travassos, R.; Pinto, M.D.; Ribeiro, M.P.; Marques, F.; Ramalho, A.; Antunes, P.; Marto, C.M.; Paula, A.B.; Nunes, C.; et al. Orthodontic Bracket Rebonding with and without Fluoride: A Pilot Study. J. Compos. Sci. 2024, 8, 10. https://doi.org/10.3390/jcs8010010
Vale F, Travassos R, Pinto MD, Ribeiro MP, Marques F, Ramalho A, Antunes P, Marto CM, Paula AB, Nunes C, et al. Orthodontic Bracket Rebonding with and without Fluoride: A Pilot Study. Journal of Composites Science. 2024; 8(1):10. https://doi.org/10.3390/jcs8010010
Chicago/Turabian StyleVale, Francisco, Raquel Travassos, Mariana Diogo Pinto, Madalena Prata Ribeiro, Filipa Marques, Amílcar Ramalho, Pedro Antunes, Carlos Miguel Marto, Anabela Baptista Paula, Catarina Nunes, and et al. 2024. "Orthodontic Bracket Rebonding with and without Fluoride: A Pilot Study" Journal of Composites Science 8, no. 1: 10. https://doi.org/10.3390/jcs8010010
APA StyleVale, F., Travassos, R., Pinto, M. D., Ribeiro, M. P., Marques, F., Ramalho, A., Antunes, P., Marto, C. M., Paula, A. B., Nunes, C., & Francisco, I. (2024). Orthodontic Bracket Rebonding with and without Fluoride: A Pilot Study. Journal of Composites Science, 8(1), 10. https://doi.org/10.3390/jcs8010010

