Sign in to use this feature.

Years

Between: -

Subjects

remove_circle_outline
remove_circle_outline
remove_circle_outline
remove_circle_outline
remove_circle_outline
remove_circle_outline
remove_circle_outline
remove_circle_outline
remove_circle_outline

Journals

remove_circle_outline
remove_circle_outline
remove_circle_outline
remove_circle_outline
remove_circle_outline
remove_circle_outline
remove_circle_outline
remove_circle_outline
remove_circle_outline
remove_circle_outline
remove_circle_outline
remove_circle_outline
remove_circle_outline
remove_circle_outline
remove_circle_outline

Article Types

Countries / Regions

remove_circle_outline
remove_circle_outline
remove_circle_outline
remove_circle_outline
remove_circle_outline
remove_circle_outline
remove_circle_outline

Search Results (1,467)

Search Parameters:
Keywords = orthodontic treatment

Order results
Result details
Results per page
Select all
Export citation of selected articles as:
18 pages, 2110 KB  
Article
Evaluation of the Performance of an Artificial Intelligence-Based Classification Model for Pediatric Maxillofacial Morphology
by Hiroki Sato, Akane Ueda, Camila Tussie, Sophie Kim, Yukinori Kuwajima, Emiko Kikuchi, Shigemi Nagai and Kazuro Satoh
Diagnostics 2025, 15(23), 2958; https://doi.org/10.3390/diagnostics15232958 - 21 Nov 2025
Abstract
Background/Objectives: Accurate assessment of craniofacial morphology is essential for orthodontic diagnosis and treatment planning. The Sassoni classification provides a useful framework for categorizing craniofacial morphology into nine groups but lacks standardized clinical criteria. This study developed an AI model to classify pediatric craniofacial [...] Read more.
Background/Objectives: Accurate assessment of craniofacial morphology is essential for orthodontic diagnosis and treatment planning. The Sassoni classification provides a useful framework for categorizing craniofacial morphology into nine groups but lacks standardized clinical criteria. This study developed an AI model to classify pediatric craniofacial morphology based on the Sassoni classification using lateral cephalometric radiographs and evaluated its agreement with classifications made by orthodontists. Methods: Data from 300 pediatric patients aged 6 to 10 years were analyzed. Nine cephalometric measurements and patient gender were used as input features. Three orthodontists classified morphology based on the Sassoni classification. Random forest (RF), logistic regression (LR), and support vector classification (SVC) models were trained and evaluated using 10-fold cross-validation. Results: The Random Forest (RF) model demonstrated the highest accuracy (RF: 0.907 ± 0.051, LR: 0.837 ± 0.057, SVC: 0.770 ± 0.055). It also outperformed the other two models in terms of F1 score, sensitivity, and positive predictive value, showing the best overall classification performance. The most influential feature was the ANB angle, while gender had minimal impact. Conclusions: The RF-based AI model demonstrated high accuracy in pediatric maxillofacial classification. Performance may be further improved with larger datasets and more balanced case distributions. Full article
14 pages, 4411 KB  
Case Report
Full Mouth Rehabilitation with All-Ceramic Restorations in a Patient with Amelogenesis Imperfecta: A Case Report with 10-Year Follow-Up
by Stefanos Kourtis
Dent. J. 2025, 13(12), 546; https://doi.org/10.3390/dj13120546 - 21 Nov 2025
Abstract
Background: Amelogenesis imperfecta (AI) includes a group of inherited disorders that affect enamel formation, both in quality and quantity. It may cause anomalies in a number of teeth or a group of teeth, or it may be present in the whole dentition. The [...] Read more.
Background: Amelogenesis imperfecta (AI) includes a group of inherited disorders that affect enamel formation, both in quality and quantity. It may cause anomalies in a number of teeth or a group of teeth, or it may be present in the whole dentition. The main complaints of patients who are affected by AI are increased sensibility to hot and cold food, impaired esthetic appearance, discoloration of mandibular and maxillary anterior teeth, and masticatory problems. The treatment of adult patients with amelogenesis imperfecta usually demands a multidisciplinary approach because several problems are present. Pediatric treatment is usually undertaken at an early stage, and orthodontic treatment usually begins in adolescence. Periodontal and prosthetic treatments are usually required for the rehabilitation of patients who usually have been expecting this treatment for years. Objective: The aim of this case report is to present a full mouth rehabilitation with all-ceramic restorations in a young patient with amelogenesis imperfecta, with follow-up at 10 years. Treatment: An 18-year-old with amelogenesis imperfecta presented for functional and esthetic rehabilitation. The patient underwent a second orthodontic treatment, conservative periodontal therapy, and restored with all-ceramic restorations. Results: The patient was fully satisfied with the outcome of the therapy, and the clinical situation remained stable at 10-year recall. Conclusions: All-ceramic restorations can be a clinically acceptable option for the rehabilitation of patients with amelogenesis imperfecta. Full article
Show Figures

Figure 1

11 pages, 1678 KB  
Article
Changes in Maxillary Incisor Inclination Before and After Orthodontic Treatment Across Vertical Skeletal Patterns
by Samar Bou Assi, Antoine E. Hanna, Rita Pamela Khoury and Anthony T. Macari
Diagnostics 2025, 15(22), 2933; https://doi.org/10.3390/diagnostics15222933 - 20 Nov 2025
Abstract
Objective: To evaluate changes in maxillary incisor inclination before and after orthodontic treatment in adults with different vertical facial patterns (normodivergent, hypodivergent, hyperdivergent) and to assess the relationship of incisor inclination to facial and growth axes using cephalometric and photographic records. Materials [...] Read more.
Objective: To evaluate changes in maxillary incisor inclination before and after orthodontic treatment in adults with different vertical facial patterns (normodivergent, hypodivergent, hyperdivergent) and to assess the relationship of incisor inclination to facial and growth axes using cephalometric and photographic records. Materials and Methods: This retrospective study included 144 non-growing patients (96 females, 48 males) with available pre- and post-treatment lateral cephalograms and smiling profile photographs. Patients were classified into three groups based on mandibular plane angle (MP/SN): normodivergent (n = 66), hypodivergent (n = 35), and hyperdivergent (n = 43). Angular measurements assessed maxillary incisor inclination and growth/facial axes. Clinical crown angulation (CCA) was evaluated from profile photographs. Statistical analyses included paired t-tests, ANOVA with Bonferroni post hoc tests, and Pearson correlation. Results: No significant changes in maxillary incisor inclination were observed post-treatment in any of the groups. Significant skeletal changes were noted in the hypodivergent group, including increases in MP/SN (p = 0.011) and IMPA (p = 0.014). Intergroup comparison revealed significant differences in changes in Facial Axis/H (p = 0.020) and MP/SN (p = 0.025). Correlations between CCA and skeletal axes were more pronounced in normo- and hypodivergent groups, while hyperdivergent patients showed no significant associations. Conclusions: These findings suggest that the stability of maxillary incisor inclination reflects controlled torque mechanics during treatment. In normo- and hypodivergent patients, skeletal axes may help guide esthetic incisor positioning; however, in hyperdivergent patients, soft tissue and smile evaluation should play a greater role when determining final incisor inclination. Full article
(This article belongs to the Section Clinical Diagnosis and Prognosis)
Show Figures

Figure 1

14 pages, 3054 KB  
Article
New Classification of Midpalatine Suture Maturation Using Cone Beam Computed Tomographic Study
by Cristalle Soman, Reem Khaled Alshammari, Nawal Mohammad AlMutairi, Lolwah Mohammad Alenezi, Rayan Alaadwany, Mohammad Abdul Baseer, Fahdah Aldahash, Malak AlOsaimi, Sara Tarek Ahmed, Nancy Ajwa and Yasmine Tarek Ahmed
Diagnostics 2025, 15(22), 2925; https://doi.org/10.3390/diagnostics15222925 - 19 Nov 2025
Viewed by 123
Abstract
Background/Objectives: Assessment of the midpalatine suture is vital for making clinical decisions regarding the correction of transverse growth discrepancies of the maxilla. Several studies have used Cone Beam Computed Tomography (CBCT) to evaluate skeletal maturity by midpalatine suture staging (MPS) in various populations. [...] Read more.
Background/Objectives: Assessment of the midpalatine suture is vital for making clinical decisions regarding the correction of transverse growth discrepancies of the maxilla. Several studies have used Cone Beam Computed Tomography (CBCT) to evaluate skeletal maturity by midpalatine suture staging (MPS) in various populations. A few patterns of staging did not fit the standard classification. Hence, the rationale of this research was to explore potential new subcategories of maturation staging using CBCT. The study aimed to develop a new comprehensive classification subcategorization system for midpalatine suture maturation staging based on CBCT scans. Methods: The study involved the retrospective analysis of 168 CBCT scans. The standard reference for MPS staging was taken from a previous published classification in 2013 using CBCT. Each classification stage of the standard classification was subcategorized into Pattern A and Pattern B. Results: Both classifications (standard reference and new) can rely on age to predict the possibility of maturation of the MPS compared to non-maturation. Age is a predictable variable of suture opening in both classifications. Conclusions: The new classification demonstrated increased sensitivity in detecting midpalatine suture maturity and also increased the likelihood of utilizing non-surgical maxillary expansion compared to the previous classification. Evaluating suture staging in individual cases using CBCT is recommended for personalized diagnosis and optimal treatment planning for maxillary expansion. This advancement allows clinicians to use the new classification as a reliable tool to confidently predict non-surgical expansion success for more mature patients, thereby broadening the scope of orthodontic treatment without compromising patient outcomes. Full article
Show Figures

Graphical abstract

21 pages, 648 KB  
Review
Root Cementum Molecular Structure and Its Role in Maintaining Oral Health—Systematic Review
by Katarzyna Janik and Małgorzata Skucha-Nowak
Int. J. Mol. Sci. 2025, 26(22), 11178; https://doi.org/10.3390/ijms262211178 - 19 Nov 2025
Viewed by 90
Abstract
Root cementum is a specialized connective tissue with a critical role in tooth function and periodontal health. This narrative review aims to consolidate current knowledge regarding the influence of cementum on the pathophysiology of periodontitis and root caries, its remodeling during orthodontic tooth [...] Read more.
Root cementum is a specialized connective tissue with a critical role in tooth function and periodontal health. This narrative review aims to consolidate current knowledge regarding the influence of cementum on the pathophysiology of periodontitis and root caries, its remodeling during orthodontic tooth movement, its significance in regenerative strategies and implantology, along with the effect of selected stimulants. A comprehensive literature search was conducted across PubMed, Embase, and Scopus databases for articles fulfilling the inclusion criteria. The analysis revealed that cementum’s unique biological characteristics are fundamental to the success of periodontal regeneration, with biomimetic approaches showing promise for enhancing osseointegration of dental implants. Furthermore, the tissue is highly susceptible to mechanical forces, leading to adverse effects such as root resorption during orthodontic treatment. Its composition also renders it vulnerable to demineralization from root caries and damage from external stimulants. In conclusion, a profound understanding of the intricate biology of root cementum is essential for developing safer and more effective treatment modalities. The findings strongly support the development of targeted, cementum-oriented interventions and preventive strategies, thereby improving long-term success in restorative, periodontal, and orthodontic treatment. Full article
(This article belongs to the Special Issue Oral Soft Tissue Repair and Oral Diseases: 2nd Edition)
Show Figures

Figure 1

11 pages, 1191 KB  
Article
Duration-Dependent Caries Risk During Clear Aligner Therapy: A Retrospective Analysis
by Abdurrahman Yalçın and Nursezen Kavasoğlu
Biomimetics 2025, 10(11), 786; https://doi.org/10.3390/biomimetics10110786 - 19 Nov 2025
Viewed by 108
Abstract
Background: Clear aligner therapy (CAT) represents a biomimetic orthodontic approach that uses flexible thermoplastic materials to reproduce the physiological tooth movement and mechanical load distribution of natural tissues. While these materials promote oral hygiene and aesthetic comfort, their long-term biological impact on the [...] Read more.
Background: Clear aligner therapy (CAT) represents a biomimetic orthodontic approach that uses flexible thermoplastic materials to reproduce the physiological tooth movement and mechanical load distribution of natural tissues. While these materials promote oral hygiene and aesthetic comfort, their long-term biological impact on the caries process remains uncertain. This retrospective study aimed to evaluate changes in the number of decayed teeth (ΔD) before and after clear aligner treatment and to identify duration-dependent risk factors. Methods: This retrospective study included 362 patients (279 females, 83 males) treated with Invisalign® aligners between 2020 and 2024. Baseline and post-treatment panoramic radiographs were analyzed to determine decayed tooth counts. Age, sex, and total aligner count were recorded. Non-parametric tests, multivariable regression, and ROC analysis were used to assess predictors of ΔD. Results: The mean number of decayed teeth increased slightly from 3.54 ± 2.76 to 3.83 ± 2.93 (p < 0.001). Longer treatment duration was independently associated with caries progression (β = +0.0088 per tray, p = 0.0037), and each 10-tray increment increased the odds of new decay by 55% (OR = 1.55, 95% CI: 1.26–1.90). ROC analysis identified ≥42 trays as a clinically relevant threshold (AUC = 0.67). Conclusions: Clear aligner therapy demonstrated a statistically significant yet clinically small increase in caries incidence, primarily related to treatment duration. As a biomimetic orthodontic approach that integrates mechanical and biological dynamics, extended clear aligner use may alter biofilm–surface interactions and salivary conditions over time. Therefore, preventive strategies–such as professional fluoride applications, strict cleaning protocols, and shorter recall intervals–should be emphasized for long-duration treatments to preserve the biological benefits of this biomimetic system. Full article
Show Figures

Graphical abstract

10 pages, 1065 KB  
Technical Note
Mandibular Ramus Vertical Augmentation in Hemifacial Microsomia: Technical Evolution from Osteogenic Distraction to Sagittal Osteotomy
by Francesco Laganà, Bruno Carlo Brevi, Alice Marzi Manfroni, Francesco Arcuri, Alessia Spinzia, Emanuela Ardito, Luigi Angelo Vaira, Marjon Sako, Edlira Baruti Papa and Bernardo Bianchi
Surg. Tech. Dev. 2025, 14(4), 40; https://doi.org/10.3390/std14040040 - 19 Nov 2025
Viewed by 63
Abstract
Introduction: Hemifacial hypoplasia is the second most common congenital craniofacial anomaly after cleft lip and palate. Mandibular ramus deficiency represents a key component of this condition, and vertical augmentation is traditionally managed with distraction osteogenesis. However, technical challenges related to device positioning and [...] Read more.
Introduction: Hemifacial hypoplasia is the second most common congenital craniofacial anomaly after cleft lip and palate. Mandibular ramus deficiency represents a key component of this condition, and vertical augmentation is traditionally managed with distraction osteogenesis. However, technical challenges related to device positioning and vector control continue to limit its reproducibility. This study aims to describe and compare three surgical techniques for mandibular ramus augmentation in hemifacial microsomia and to develop a surgical treatment algorithm based on individual anatomical characteristics and clinical complexity. Materials and Methods: From 2010 to 2022, eighteen patients with Pruzansky–Kaban grade I–IIb hypoplasia underwent staged orthodontic–surgical treatment at our institutions. The standard protocol included initial ramus vertical augmentation followed by bimaxillary osteotomy for asymmetry correction. The patients were equally divided into three groups of six patients each, based on the surgical technique employed. Three representative cases were selected to illustrate the evolution of our approach: (1) bidirectional distraction following a full-thickness osteotomy above the lingula; (2) unidirectional distraction applied to a sagittal ramus osteotomy according to Obwegeser; and (3) direct vertical augmentation with rigid fixation after sagittal osteotomy, supported by virtual surgical planning. Results: Vertical ramus augmentation of 15–25 mm was achieved in all cases. The first technique proved effective but technically demanding. The second approach improved vector control and device stability. The third, involving direct vertical augmentation with rigid fixation, simplified the procedure, reduced costs, and maintained bony contact for stable healing. Conclusions: Sagittal ramus osteotomy with direct stabilization represents a promising alternative to traditional distraction in selected patients, combining historical surgical principles with computer-assisted planning to achieve reproducible outcomes. Full article
Show Figures

Figure 1

12 pages, 445 KB  
Article
The Impact of Orthodontic Treatment on Masseter Muscle Development in Pediatric Patients: A One-Year Follow-Up Study
by Stavros Kiliaridis, Aikaterini Frasiola, Ioanna Georgiakaki, Maria Charalampidou and Gregory S. Antonarakis
J. Clin. Med. 2025, 14(22), 8175; https://doi.org/10.3390/jcm14228175 - 18 Nov 2025
Viewed by 222
Abstract
Background/Objectives: This study aimed to evaluate the functional adaptation of the masseter muscle in growing individuals after one year of orthodontic treatment by assessing changes in its thickness. Methods: Twenty children with a mean age of 10.4 ± 2.1 years undergoing orthodontic treatment [...] Read more.
Background/Objectives: This study aimed to evaluate the functional adaptation of the masseter muscle in growing individuals after one year of orthodontic treatment by assessing changes in its thickness. Methods: Twenty children with a mean age of 10.4 ± 2.1 years undergoing orthodontic treatment were monitored over one year. Ultrasonographic measurements of masseter muscle thickness were taken before the commencement of orthodontic treatment and one year later. Eighteen orthodontically untreated children with a mean age of 9.9 ± 2.0 years served as the control group; their masseter muscle thickness was measured at baseline and after the same follow-up period. Comparisons were made between the two groups. Results: At baseline, the mean masseter muscle thickness was 11.4 ± 1.3 mm in the control group and 11.7 ± 1.4 mm in the treatment group. After one year, children in the untreated control group showed an average increase of 0.5 ± 0.6 mm (p < 0.001) in the thickness of the masseter muscle, whereas those undergoing orthodontic treatment exhibited an average decrease of 0.6 ± 0.7 mm (p < 0.001). Multiple regression analysis accounting for age, gender, and initial masseter muscle thickness indicated that orthodontic treatment resulted in a reduction in masseter muscle thickness by 1.1 mm (p < 0.001) compared with the untreated control group. Conclusions: Orthodontic treatment may influence the development of the masticatory muscles. In our sample, the masseter muscle showed an estimated atrophy of approximately 9% after one year of orthodontic treatment compared with the thickness it would likely have achieved in the absence of any orthodontic intervention. Full article
(This article belongs to the Section Dentistry, Oral Surgery and Oral Medicine)
Show Figures

Figure 1

12 pages, 403 KB  
Article
Reference Values for Permanent-Tooth Emergence in Hungarian Children: A Cross-Sectional Study
by Zsuzsa Kapusi-Papp, János Máth and Judit Ágnes Nemes
Dent. J. 2025, 13(11), 542; https://doi.org/10.3390/dj13110542 - 18 Nov 2025
Viewed by 146
Abstract
Background/Objectives: Population-specific data on permanent-tooth eruption are essential for accurate diagnosis, treatment planning, and public health strategies. In Hungary, current clinical practice relies on outdated international eruption standards. The aim of this study was to determine the timing and sequence of permanent [...] Read more.
Background/Objectives: Population-specific data on permanent-tooth eruption are essential for accurate diagnosis, treatment planning, and public health strategies. In Hungary, current clinical practice relies on outdated international eruption standards. The aim of this study was to determine the timing and sequence of permanent tooth emergence in Hungarian children and provide sex-specific eruption standards. Methods: A cross-sectional study was conducted based on dental screening records of 2948 children aged 4–15 years in Debrecen, Hungary, during the 2015–2016 school year. Probit regression was used to estimate median eruption times and percentiles, and eruption sequences were assessed by sex and jaw. Results: Girls exhibited earlier eruption than boys for all teeth except mandibular central incisors (difference: 1.9–8.9 months; p < 0.05). Mandibular teeth generally preceded maxillary teeth, though premolars in boys showed the opposite trend. Eruption sequences varied by sex, particularly in the canine-premolar region. The 5th-95th percentile eruption range was widest for second molars (4.8 years) and narrowest for maxillary central incisors (2.3 years). Conclusions: This study provides the first modern eruption standards for Hungarian children. These sex-specific reference values are clinically useful for assessing delayed eruption, guiding radiographic decisions, and optimizing the timing of preventive and orthodontic interventions. Full article
(This article belongs to the Special Issue Current Advances in Pediatric Odontology)
Show Figures

Graphical abstract

23 pages, 1175 KB  
Review
3D Photogrammetry-Driven Craniofacial Analysis in Orthodontics: A Scoping Review of Recent Applications
by Pui Ki Hung, Junqi Liu and Zhiyi Shan
Bioengineering 2025, 12(11), 1263; https://doi.org/10.3390/bioengineering12111263 - 18 Nov 2025
Viewed by 197
Abstract
(1) Background: The increasing utilization of three-dimensional (3D) photogrammetry has elevated craniofacial analysis to new dimensions. This scoping review seeks to provide a comprehensive overview of the current applications of 3D photogrammetry-supported craniofacial analysis within orthodontic practice, assess its technical superiority, and explore [...] Read more.
(1) Background: The increasing utilization of three-dimensional (3D) photogrammetry has elevated craniofacial analysis to new dimensions. This scoping review seeks to provide a comprehensive overview of the current applications of 3D photogrammetry-supported craniofacial analysis within orthodontic practice, assess its technical superiority, and explore potential areas for enhancement. (2) Methods: A comprehensive search of the literature was carried across three electronic databases (PubMed, Web of Science, Embase). Two independent reviewers screened the articles and extracted data in accordance with the PRISMA-ScR guideline. The primary findings from the included articles were synthesized and analyzed qualitatively. (3) Results: A total of 479 records were obtained initially, with 53 articles ultimately included after removing duplicates and applying eligibility criteria. The application of 3D photogrammetry in craniofacial analysis has become prevalent in orthodontic practice, encompassing normative facial anthropometry, orthodontic problem finding, orthodontic treatment optimization, and treatment outcome evaluation. (4) Conclusion: 3D photogrammetry offers orthodontists a precise and efficient imaging technique for craniofacial analysis. Full article
(This article belongs to the Section Biomedical Engineering and Biomaterials)
Show Figures

Figure 1

40 pages, 2544 KB  
Systematic Review
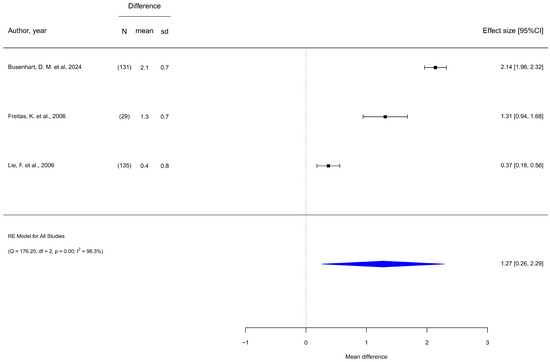
Effectiveness of Orthodontic Methods for Leveling the Curve of Spee: A Systematic Review with Meta-Analysis
by Inês Francisco, Ana Lúcia Pinto, Catarina Nunes, Madalena Prata Ribeiro, Francisco Caramelo, Carlos Miguel Marto, Anabela Baptista Paula, Raquel Travassos and Francisco Vale
Appl. Sci. 2025, 15(22), 12217; https://doi.org/10.3390/app152212217 - 18 Nov 2025
Viewed by 125
Abstract
Background: The development of the curve of Spee (CoS) is influenced by skeletal morphology, orofacial growth, tooth eruption timing, mandibular relationships, overbite, and neuromuscular development. This systematic review aims to determine the most effective orthodontic methods in correcting the curve of Spee. Methods: [...] Read more.
Background: The development of the curve of Spee (CoS) is influenced by skeletal morphology, orofacial growth, tooth eruption timing, mandibular relationships, overbite, and neuromuscular development. This systematic review aims to determine the most effective orthodontic methods in correcting the curve of Spee. Methods: The systematic review protocol was registered on the PROSPERO platform and conducted according to the Cochrane and PRISMA guidelines. For its development, a standardized search was performed across different databases (MEDLINE, Cochrane Library, Embase and Web of Science) and grey literature. The risk of bias was assessed using Faggion, Jr.’s guidelines for in vitro and in silico studies of dental materials, and the Rob-2 and ROBINS-1 tools for clinical studies. Results: The initial search found 748 studies, with 44 selected after full-text review. Of these, 22 were included in the quantitative analysis, assessing the effectiveness of braces (with or without extractions) and invisible aligners. Key methods for correcting the curve of Spee include various orthodontic archwires (nickel–titanium (NiTi), stainless steel, beta-titanium), continuous and segmented techniques, reverse curve archwires, aligners, and treatment modalities including extraction protocols. Most in vitro studies and randomized studies had a high risk of bias, and non-randomized studies showed moderate to high bias risk. Conclusions: The results suggest that conventional techniques, particularly non-extraction approaches, may be more effective than aligners in correcting the curve of Spee, although the available evidence remains limited. Full article
(This article belongs to the Special Issue Advanced Dental Materials and Its Applications)
Show Figures

Figure 1

12 pages, 780 KB  
Article
Determination of Osteocalcin Levels in Gingival Crevicular Fluid to Assess the Effectiveness of Laser Therapy in Patients with Orthodontic Treatment
by Timea Dakó, Luminița Lazăr, Petra Șurlin, Dora-Maria Popescu, Anamaria Bud, Alexandru Vlasa, Mădălina Oprica, Sorina Mihaela Solomon and Ana-Petra Lazăr
Biomedicines 2025, 13(11), 2803; https://doi.org/10.3390/biomedicines13112803 - 17 Nov 2025
Viewed by 203
Abstract
Background/Objectives: Orthodontically induced bone remodeling is a complex process, driven by the interaction between osteoblasts, osteoclasts and various biochemical mediators, in response to mechanical forces applied to the teeth. Monitoring this process can be achieved by identifying biomarkers in gingival crevicular fluid [...] Read more.
Background/Objectives: Orthodontically induced bone remodeling is a complex process, driven by the interaction between osteoblasts, osteoclasts and various biochemical mediators, in response to mechanical forces applied to the teeth. Monitoring this process can be achieved by identifying biomarkers in gingival crevicular fluid (GCF), a dynamic and non-invasive method. Laser therapy, widely used in other medical fields for bio-stimulation and surgery, does not yet benefit from a standardized protocol in orthodontics. The aim of this study was to evaluate the advantages of using laser therapy during orthodontic treatment by analyzing osteocalcin (OC) in gingival crevicular fluid (GCF). Methods: Based on the inclusion and exclusion criteria, we selected 30 patients who presented dentoalveolar disharmony with crowding, who benefited from fixed orthodontic treatment, using edgewise brackets with the same slot size for all subjects. Laser therapy was performed randomly on one hemiarch (HL), right or left, for each patient, randomly chosen at time T0, after activation of the orthodontic appliance. On the other side, the control hemiarch (HC), the same protocol was followed, but without active light. Laser therapy was performed with a dental laser, with a power of 12 watts, setting the periodontology working mode. GCF was collected at baseline, before activation of the orthodontic appliance (time T0) and 14 days after its activation (time T1) from the control hemiarch (HC) and laser hemiarch (HL). Determination of OC levels, as a marker of bone apposition, was performed by the enzyme-linked immunosorbent assay (ELISA) method. To evaluate laser therapy, OC levels were assessed comparatively between HL and HC. Results: Comparing OC values at times T0 and T1 for HL, we obtained a statistically significant difference (p < 0.0001). No statistically significant difference was detected when comparing OC values in HC between T0 and T1 (p = 0.2422). A statistically significant difference was observed between HC and HL at T1 (p < 0.0001). Conclusions: The higher OC levels observed in the hemiarches where laser therapy was applied, compared to the controls, demonstrate its effectiveness as an adjuvant in bone remodeling during orthodontic treatment. Full article
Show Figures

Figure 1

18 pages, 4991 KB  
Article
Digital Orthodontic Assessment of Mandibular Morphology Using Orthopantomograms: Correlation and Symmetry Analysis of Bilateral Gonial Angles, Bigonial Width, and Bilateral Ramus Heights
by Adelina Popa, Andra-Alexandra Stăncioiu, Alexandru Cătălin Motofelea, Horia Câlniceanu, Amalia Catalina, Atena Galuscan, Roxana Oancea, Magda Mihaela Luca, Andrada-Nicoleta Nikolajevic-Stoican, Silviu Brad and Camelia Szuhanek
J. Clin. Med. 2025, 14(22), 8099; https://doi.org/10.3390/jcm14228099 - 15 Nov 2025
Viewed by 233
Abstract
Background/Objectives: Precise evaluation of mandibular morphology is essential for orthodontic diagnosis, growth assessment, and treatment planning. While lateral cephalograms are traditionally used for angular measurements, orthopantomograms (OPGs) allow side-specific assessment of mandibular structures. This study aimed to analyze bilateral gonial angles, bigonial [...] Read more.
Background/Objectives: Precise evaluation of mandibular morphology is essential for orthodontic diagnosis, growth assessment, and treatment planning. While lateral cephalograms are traditionally used for angular measurements, orthopantomograms (OPGs) allow side-specific assessment of mandibular structures. This study aimed to analyze bilateral gonial angles, bigonial width, and ramus heights on OPGs using artificial intelligence (AI)–assisted tracing, with a focus on symmetry, sex-related differences, and clinical applicability. Methods: A cross-sectional study was conducted on 78 Romanian patients (46 females, 32 males; mean age 22.8 ± 8.7 years) seeking orthodontic treatment. Standardized OPGs were obtained and analyzed using WebCeph AI-driven software. Bilateral gonial angles, bigonial width, and ramus heights were measured. Symmetry between sides and differences between sexes were evaluated, and correlation analyses were performed. Inter-rater reliability was assessed using intraclass correlation coefficients (ICCs). Results: The mean right and left gonial angles were 126.3° and 127.1°, respectively, with no significant sex- or side-related differences (p > 0.05). Bigonial width averaged 134.9 mm, being slightly larger in males, although not statistically significant (p = 0.240). Ramus heights were comparable bilaterally (right: 48.4 mm; left: 48.3 mm), with males showing slightly greater values. Correlation analysis demonstrated strong bilateral symmetry for gonial angles (r = 0.795) and ramus heights (r = 0.895). Negative correlations were observed between gonial angles and both bigonial width and ramus height, whereas bigonial width correlated strongly with ramus height. Measurement reproducibility was high (ICC > 0.75). Conclusions: OPGs, when combined with AI-assisted analysis, provide reliable and reproducible measurements of gonial angles and ramus heights, comparable to cephalometric values. Their ability to assess right and left sides separately enhances clinical utility in detecting asymmetries and monitoring mandibular growth. However, caution is advised when interpreting transverse parameters such as bigonial width, where CBCT remains the gold standard. AI-driven OPG analysis represents a cost-effective, accessible, and low-radiation diagnostic tool with significant potential for precision orthodontics. Full article
(This article belongs to the Special Issue Orthodontics: Current Advances and Future Options)
Show Figures

Figure 1

12 pages, 541 KB  
Review
Mandibular Lateral Displacement in Growing Patients: Etiopathogenesis, Prophylaxis, and Early Treatment—A Literature Review
by Karolina Kowalska and Agnieszka Machorowska-Pieniążek
J. Clin. Med. 2025, 14(22), 8090; https://doi.org/10.3390/jcm14228090 - 14 Nov 2025
Viewed by 352
Abstract
Background: Mandibular lateral displacement is a common functional occlusal disorder that may occur independently or in conjunction with other types of malocclusion. Substantial evidence indicates that in growing patients, mandibular lateral displacement can have a significant negative impact on the development of [...] Read more.
Background: Mandibular lateral displacement is a common functional occlusal disorder that may occur independently or in conjunction with other types of malocclusion. Substantial evidence indicates that in growing patients, mandibular lateral displacement can have a significant negative impact on the development of both the morphology and function of the stomatognathic system. Early diagnosis and intervention are therefore crucial to preventing a range of developmental abnormalities, including skeletal and soft tissue asymmetries, temporomandibular joint dysfunction, and pathological tooth wear. Aim: The aim of this study is to analyze and systematize current scientific perspectives on the etiopathogenesis of mandibular lateral displacement, as well as approaches to its prevention and early treatment. Methods: A comprehensive review of the literature published between 1980 and 2025 was conducted. Sources were identified through searches in the PubMed, Google Scholar, Elsevier, Web of Science, and SUM Library databases. Results: Mandibular lateral displacement necessitates early diagnosis and timely initiation of orthodontic treatment. The majority of studies addressing the treatment of mandibular lateral displacement are limited to case reports. Conclusions: Further well-designed, longitudinal studies are needed to establish standardized diagnostic criteria and evidence-based treatment protocols for early management of mandibular lateral displacement in growing patients. Full article
Show Figures

Figure 1

18 pages, 1267 KB  
Systematic Review
Timing of Orthodontic Intervention for Pediatric Class II Malocclusion: A Systematic Review on Early vs. Late Treatment Outcomes
by Stefania Dinu, Andreea Igna, Emanuela Lidia Petrescu, Emilia Brandusa Braila, Dorin Cristian Dinu, Razvan Mihai Horhat, Cristina Mihai, Iuliana-Anamaria Traila, Diana Florina Nica and Malina Popa
Children 2025, 12(11), 1533; https://doi.org/10.3390/children12111533 - 13 Nov 2025
Viewed by 406
Abstract
Background/Objectives: The optimal timing for orthodontic treatment in pediatric patients with malocclusion, particularly Class II discrepancies, remains a topic of ongoing clinical debate. Early treatment during the mixed dentition stage harnesses craniofacial growth potential, whereas later intervention may capitalize on pubertal growth for [...] Read more.
Background/Objectives: The optimal timing for orthodontic treatment in pediatric patients with malocclusion, particularly Class II discrepancies, remains a topic of ongoing clinical debate. Early treatment during the mixed dentition stage harnesses craniofacial growth potential, whereas later intervention may capitalize on pubertal growth for greater skeletal correction, especially for skeletal and airway improvements. This systematic review aimed to compare the outcomes of early versus late orthodontic treatment to assess their relative effectiveness. Methods: A systematic review was conducted in accordance with PRISMA guidelines, including randomized controlled trials and observational studies published between 2015 and 2025. Eleven studies comparing early and late treatment were analyzed, and the risk of bias was evaluated using standardized assessment tools. Results: Of the eleven studies, eight reported statistically significant improvements favoring early orthodontic intervention. Early treatment was associated with greater enhancement of maxillary and mandibular arch development, improved jaw relationships, and expanded airway dimensions. Studies utilizing headgear or other growth-modifying appliances also showed more favorable eruption patterns and alignment, underscoring the clinical relevance of early-phase management. Conclusions: Early orthodontic treatment can provide meaningful benefits in guiding skeletal growth, improving dental arch form, and enhancing treatment efficiency. These benefits were most consistently supported in skeletal and airway outcome domains. While late treatment may be suitable for some cases, personalized planning remains essential. Further large-scale, standardized longitudinal studies are needed to refine treatment-timing protocols in pediatric orthodontics. Full article
Show Figures

Figure 1

Back to TopTop