Effect of Phosphorus and Chlorine Containing Plasticizers on the Physicochemical and Mechanical Properties of Epoxy Composites
Abstract
:1. Introduction
2. Materials and Methods
2.1. Materials
2.2. Epoxy Composites Fabrication Method
2.3. Testing of the Composites
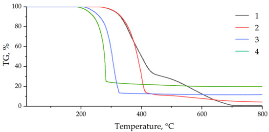
3. Results
4. Conclusions
Author Contributions
Funding
Conflicts of Interest
References
- Ahmadi, Z. Epoxy in nanotechnology: A short review. Prog. Org. Coat. 2019, 132, 445–448. [Google Scholar] [CrossRef]
- Capricho, J.C.; Fox, B.; Hameed, N. Multifunctionality in epoxy resins. Polym. Rev. 2020, 60, 1–41. [Google Scholar] [CrossRef]
- Hsissou, R.; Bekhta, A.; Khudhair, M.; Berradi, M.; El-Aouni, N.; Elharfi, A. Review on epoxy polymers composites with improved properties. J. Chem. Technol. Metall. 2019, 54, 1128–1136. [Google Scholar]
- Mostovoi, A.S.; Yakovlev, E.A.; Burmistrov, I.N.; Panova, L.G. Use of modified nanoparticles of potassium polytitanate and physical methods of modification of epoxy compositions for improving their operational properties. Russ. J. Appl. Chem. 2015, 88, 129–137. [Google Scholar] [CrossRef]
- Burmistrov, I.N.; Mostovoi, A.S.; Shatrova, N.V.; Panova, L.G.; Kuznetsov, D.V.; Gorokhovskii, A.V.; Il’inykh, I.A. Influence of surface modification of potassium polytitanates on the mechanical properties of polymer composites thereof. Russ. J. Appl. Chem. 2013, 86, 765–771. [Google Scholar] [CrossRef]
- Sudhin, A.; Remanan, M.; Ajeesh, G.; Jayanarayanan, K. Comparison of Properties of Carbon Fiber Reinforced Thermoplastic and Thermosetting Composites for Aerospace Applications. Mater. Today Proc. 2020, 24, 453–462. [Google Scholar] [CrossRef]
- Wazalwar, R.; Sahu, M.; Raichur, A.M. Mechanical properties of aerospace epoxy composites reinforced with 2D nano-fillers: Current status and road to industrialization. Nanoscale Adv. 2021, 3, 2741–2776. [Google Scholar] [CrossRef]
- Özmen, F.K.; Üreyen, M.E.; Koparal, A.S. Cleaner production of flame-retardant-glass reinforced epoxy resin composite for aviation and reducing smoke toxicity. J. Clean. Prod. 2020, 276, 124065. [Google Scholar] [CrossRef]
- Bekeshev, A.; Mostovoy, A.; Kadykova, Y.; Akhmetova, M.; Tastanova, L.; Lopukhova, M. Development and Analysis of the Physicochemical and Mechanical Properties of Diorite-Reinforced Epoxy Composites. Polymers 2021, 13, 2421. [Google Scholar] [CrossRef]
- Liu, C.; Huang, K.; Liu, R.; Li, Y.; Dai, L.; Wang, W. A multi-element flame retardant on the basis of silicon-phosphorus-nitrogen for combustibility suppressing of epoxy. Polym. Test. 2022, 111, 107582. [Google Scholar] [CrossRef]
- Li, S.; Liu, Y.; Liu, Y.; Wang, Q. Synergistic effect of piperazine pyrophosphate and epoxy-octavinyl silsesquioxane on flame retardancy and mechanical properties of epoxy resin. Compos. Part B Eng. 2021, 223, 109115. [Google Scholar] [CrossRef]
- Luo, H.; Rao, W.; Zhao, P.; Wang, L.; Liu, Y.; Yu, C. An efficient organic/inorganic phosphorus–nitrogen–silicon flame retardant towards low-flammability epoxy resin. Polym. Degrad. Stab. 2020, 178, 109195. [Google Scholar] [CrossRef]
- Han, G.; Zhao, X.; Feng, Y.; Ma, J.; Zhou, K.; Shi, Y.; Liu, C.; Xie, X. Highly flame-retardant epoxy-based thermal conductive composites with functionalized boron nitride nanosheets exfoliated by one-step ball milling. Chem. Eng. J. 2021, 407, 127099. [Google Scholar] [CrossRef]
- Xu, Y.-J.; Shi, X.-H.; Lu, J.-H.; Qi, M.; Guo, D.-M.; Chen, L.; Wang, Y.-Z. Novel phosphorus-containing imidazolium as hardener for epoxy resin aiming at controllable latent curing behavior and flame retardancy. Compos. Part B Eng. 2020, 184, 107673. [Google Scholar] [CrossRef]
- Wang, D.; Liu, Q.; Peng, X.; Liu, C.; Li, Z.; Li, Z.; Wang, R.; Zheng, P.; Zhang, H. High-efficiency phosphorus/nitrogen-containing flame retardant on epoxy resin. Polym. Degrad. Stab. 2021, 187, 109544. [Google Scholar] [CrossRef]
- Li, Z.; Montero Lira, S.I.; Zhang, L.; Expósito, D.F.; Heeralal, V.B.; Wang, D.-Y. Bio-inspired engineering of boron nitride with iron-derived nanocatalyst toward enhanced fire retardancy of epoxy resin. Polym. Degrad. Stab. 2018, 157, 119–130. [Google Scholar] [CrossRef]
- Zhu, Z.-M.; Wang, L.-X.; Lin, X.-B.; Dong, L.-P. Synthesis of a novel phosphorus-nitrogen flame retardant and its application in epoxy resin. Polym. Degrad. Stab. 2019, 169, 108981. [Google Scholar] [CrossRef]
- Li, X.-L.; Zhang, F.-H.; Jian, R.-K.; Ai, Y.-F.; Ma, J.-L.; Hui, G.-J.; Wang, D.-Y. Influence of eco-friendly calcium gluconate on the intumescent flame-retardant epoxy resin: Flame retardancy, smoke suppression and mechanical properties. Compos. Part B Eng. 2019, 176, 107200. [Google Scholar] [CrossRef]
- Gangireddy, C.S.R.; Wang, X.; Kan, Y.; Song, L.; Hu, Y. Synthesis of a novel DOPO-based polyphosphoramide with high char yield and its application in flame-retardant epoxy resins. Polym. Int. 2019, 68, 936–945. [Google Scholar] [CrossRef]
- Ye, T.-P.; Liao, S.-F.; Zhang, Y.; Chen, M.-J.; Xiao, Y.; Liu, X.-Y.; Liu, Z.-G.; Wang, D.-Y. Cu(0) and Cu(II) decorated graphene hybrid on improving fireproof efficiency of intumescent flame-retardant epoxy resins. Compos. Part B Eng. 2019, 175, 107189. [Google Scholar] [CrossRef]
- Mostovoy, A.S.; Yakovlev, A.V.; Lopukhova, M.I. Directional control of physico-chemical and mechanical properties of epoxide composites by the addition of graphite-graphene structures. Polym.-Plast. Technol. Mater. 2020, 59, 874–883. [Google Scholar] [CrossRef]
- Mostovoy, A.S.; Nurtazina, A.S.; Burmistrov, I.N.; Kadykova, Y.A. Effect of Finely Dispersed Chromite on the Physicochemical and Mechanical Properties of Modified Epoxy Composites. Russ. J. Appl. Chem. 2018, 91, 1758–1766. [Google Scholar] [CrossRef]
- Kong, Q.; Li, L.; Zhang, M.; Chai, H.; Li, W.; Zhu, F.; Zhang, J. Improving the Thermal Stability and Flame Retardancy of Epoxy Resins by Lamellar Cobalt Potassium Pyrophosphate. Polymers 2022, 14, 4927. [Google Scholar] [CrossRef] [PubMed]
- Wu, H.; Zhang, W.; Zhang, H.; Gao, P.; Jin, L.; Pan, Y.; Pan, Z. Synthesis of Layered Double Hydroxides with Phosphate Tailings and Its Effect on Flame Retardancy of Epoxy Resin. Polymers 2022, 14, 2516. [Google Scholar] [CrossRef]
- Guo, W.; Wang, X.; Huang, J.; Mu, X.; Cai, W.; Song, L.; Hu, Y. Phosphorylated Cardanol-Formaldehyde Oligomers as Flame-Retardant and Toughening Agents for Epoxy Thermosets. Chem. Eng. J. 2021, 423, 130192. [Google Scholar] [CrossRef]
- Bao, Q.; Wang, B.; Liu, Y.; Wang, Q.; Yang, Z. Epoxy Resin Flame Retarded and Toughed via Flexible Siloxane Chain Containing Phosphaphenanthrene. Polym. Degrad. Stab. 2020, 172, 109055. [Google Scholar] [CrossRef]
- Wang, F.; Liao, J.; Yan, L.; Cai, M. Facile Construction of Polypyrrole Microencapsulated Melamine-Coated Ammonium Polyphosphate to Simultaneously Reduce Flammability and Smoke Release of Epoxy Resin. Polymers 2022, 14, 2375. [Google Scholar] [CrossRef]
- Waldin, N.A.; Jamain, Z. The Effect of Alkyl Terminal Chain Length of Schiff-Based Cyclotriphosphazene Derivatives towards Epoxy Resins on Flame Retardancy and Mechanical Properties. Polymers 2023, 15, 1431. [Google Scholar] [CrossRef]
- Chai, H.; Li, W.; Wan, S.; Liu, Z.; Zhang, Y.; Zhang, Y.; Zhang, J.; Kong, Q. Amino Phenyl Copper Phosphate-Bridged Reactive Phosphaphenanthrene to Intensify Fire Safety of Epoxy Resins. Molecules 2023, 28, 623. [Google Scholar] [CrossRef]
- Shi, X.; Luo, S.; Du, X.; Li, Q.; Cheng, S. Improvement the Flame Retardancy and Thermal Conductivity of Epoxy Composites via Melamine Polyphosphate-Modified Carbon Nanotubes. Polymers 2022, 14, 3091. [Google Scholar] [CrossRef]
- Jian, R.-K.; Ai, Y.-F.; Xia, L.; Zhao, L.-J.; Zhao, H.-B. Single Component Phosphamide-Based Intumescent Flame Retardant with Potential Reactivity towards Low Flammability and Smoke Epoxy Resins. J. Hazard. Mater. 2019, 371, 529–539. [Google Scholar] [CrossRef] [PubMed]
- Chu, F.; Ma, C.; Zhang, T.; Xu, Z.; Mu, X.; Cai, W.; Zhou, X.; Ma, S.; Zhou, Y.; Hu, W.; et al. Renewable Vanillin-Based Flame Retardant Toughening Agent with Ultra-Low Phosphorus Loading for the Fabrication of High-Performance Epoxy Thermoset. Compos. Part B Eng. 2020, 190, 107925. [Google Scholar] [CrossRef]
- Wang, P.; Yang, F.; Li, L.; Cai, Z. Flame Retardancy and Mechanical Properties of Epoxy Thermosets Modified with a Novel DOPO-Based Oligomer. Polym. Degrad. Stab. 2016, 129, 156–167. [Google Scholar] [CrossRef]










| Property | TCEP | TCPP | TCP |
|---|---|---|---|
| Density, g/cm3 | 1.415–1.428 | 1.282–1.294 | 1.173–1.177 |
| Viscosity, mPa·s | 38–42 | 68–74 | 47–68 |
| P content, % | 10.8 | 9.4 | 8.4 |
| Cl content, % | 35.6 | 32.4 | — |
| Epoxy Composition, Parts by Mass | Tin, °C | Yield of CS at Tf,% Mass |
|---|---|---|
| ED-20 + 15PEPA | 230 | 32 (440 °C) |
| TCP | 220 | 14 (420 °C) |
| TCEP | 160 | 13 (340 °C) |
| TCPP | 180 | 24 (300 °C) |
| Plasticizer Content, Parts by Mass. TCP/TCEP/TCPP in Epoxy Composition | Impact Strength, kJ/m2 | LOI, % wt | Δm, % |
|---|---|---|---|
| 0 | 3 | 19 | 78.0 |
| 20 | 7/5/5 | 21/23/25 | - |
| 30 | 10/6/5 | 23/25/27 | - |
| 40 | 13/8/9 | 25/27/31 | 9.0/5.0/2.3 |
| 50 | 11.5/6.5/6 | 27/29/33 | 4.0/3.0/1.8 |
| Epoxy Composition, Parts by Mass | Tin, °C | Yield of CS at Tf,% Mass | Δm, % | LOI, % | UL-94 Rating |
|---|---|---|---|---|---|
| ED-20 + 15PEPA | 230 | 32 (440 °C) | 78.0 | 19 | NR |
| ED-20 + 40TCP + 15PEPA | 210 | 55 (380 °C) | 9.0 | 25 | V-1 |
| ED-20 + 40TCEP + 15PEPA | 180 | 55 (360 °C) | 5.0 | 27 | V-0 |
| ED-20 + 40TCPP + 15PEPA | 200 | 48 (380 °C) | 2.3 | 31 | V-0 |
| Epoxy Composition, Parts by Mass. | σben, MPa | Eben, MPa | σten, MPa | Eten, MPa | ε, % | aim, kJ/m2 |
|---|---|---|---|---|---|---|
| 100ED-20 + 15PEPA | 40 ± 1.5 | 2654 ± 130 | 26 ± 1.0 | 2040 ± 102 | 2.2 ± 0.1 | 3 ± 0.2 |
| 100ED-20 + 40TCP + 15PEPA | 50 ± 2.0 | 1550 ± 78 | 38 ± 1.5 | 1590 ± 80 | 4.5 ± 0.2 | 13 ± 0.6 |
| 100ED-20 + 40TCEP + 15PEPA | 53 ± 2.1 | 1750 ± 88 | 36 ± 1.4 | 1610 ± 81 | 3.8 ± 0.2 | 8 ± 0.4 |
| 100ED-20 + 40TCPP + 15PEPA | 85 ± 3.4 | 2077 ± 100 | 34 ± 1.3 | 1634 ± 81 | 7.5 ± 0.4 | 9 ± 0.4 |
| Composition | Relative Change of Properties, % | LOI, % | UL-94 Rating | |||
|---|---|---|---|---|---|---|
| σben | σten | ε | aim | |||
| TCPP (40 parts by mass) | +112.5 | +30.7 | +240.9 | +200 | 31 | V-0 |
| Analogs | ||||||
| CF-P(OPh)2 (5 wt%) [25] | - | +33.9 | +133.3 | +31.2 | 32 | V-1 |
| KHDOPO-EP3 (29.63 parts by mass) [26] | - | +80 | +41.3 | +114.2 | 33.1 | V-0 |
| DOP-ABZ (20 wt%) [31] | +20.4 | −32.6 | −45.5 | −59.1 | 28.3 | V-0 |
| PVSi (5 wt%) [32] | - | - | - | +189.7 | 29.5 | V-0 |
| PDAP (7 wt%) [33] | - | +11.1 | −10.3 | - | 35.3 | V-0 |
Disclaimer/Publisher’s Note: The statements, opinions and data contained in all publications are solely those of the individual author(s) and contributor(s) and not of MDPI and/or the editor(s). MDPI and/or the editor(s) disclaim responsibility for any injury to people or property resulting from any ideas, methods, instructions or products referred to in the content. |
© 2023 by the authors. Licensee MDPI, Basel, Switzerland. This article is an open access article distributed under the terms and conditions of the Creative Commons Attribution (CC BY) license (https://creativecommons.org/licenses/by/4.0/).
Share and Cite
Bekeshev, A.; Mostovoy, A.; Shcherbakov, A.; Zhumabekova, A.; Serikbayeva, G.; Vikulova, M.; Svitkina, V. Effect of Phosphorus and Chlorine Containing Plasticizers on the Physicochemical and Mechanical Properties of Epoxy Composites. J. Compos. Sci. 2023, 7, 178. https://doi.org/10.3390/jcs7050178
Bekeshev A, Mostovoy A, Shcherbakov A, Zhumabekova A, Serikbayeva G, Vikulova M, Svitkina V. Effect of Phosphorus and Chlorine Containing Plasticizers on the Physicochemical and Mechanical Properties of Epoxy Composites. Journal of Composites Science. 2023; 7(5):178. https://doi.org/10.3390/jcs7050178
Chicago/Turabian StyleBekeshev, Amirbek, Anton Mostovoy, Andrey Shcherbakov, Arai Zhumabekova, Gulbanu Serikbayeva, Maria Vikulova, and Victoria Svitkina. 2023. "Effect of Phosphorus and Chlorine Containing Plasticizers on the Physicochemical and Mechanical Properties of Epoxy Composites" Journal of Composites Science 7, no. 5: 178. https://doi.org/10.3390/jcs7050178
APA StyleBekeshev, A., Mostovoy, A., Shcherbakov, A., Zhumabekova, A., Serikbayeva, G., Vikulova, M., & Svitkina, V. (2023). Effect of Phosphorus and Chlorine Containing Plasticizers on the Physicochemical and Mechanical Properties of Epoxy Composites. Journal of Composites Science, 7(5), 178. https://doi.org/10.3390/jcs7050178

