Anhydrous Proton Conductivity in HAp-Collagen Composite
Abstract
1. Introduction
2. Materials and Methods
2.1. Preparation of HAp Film, Collagen Film, and HAp-Collagen Composite Film
2.2. Synthesis of HAp-Collagen Composites
2.3. Measurement of FT-IR
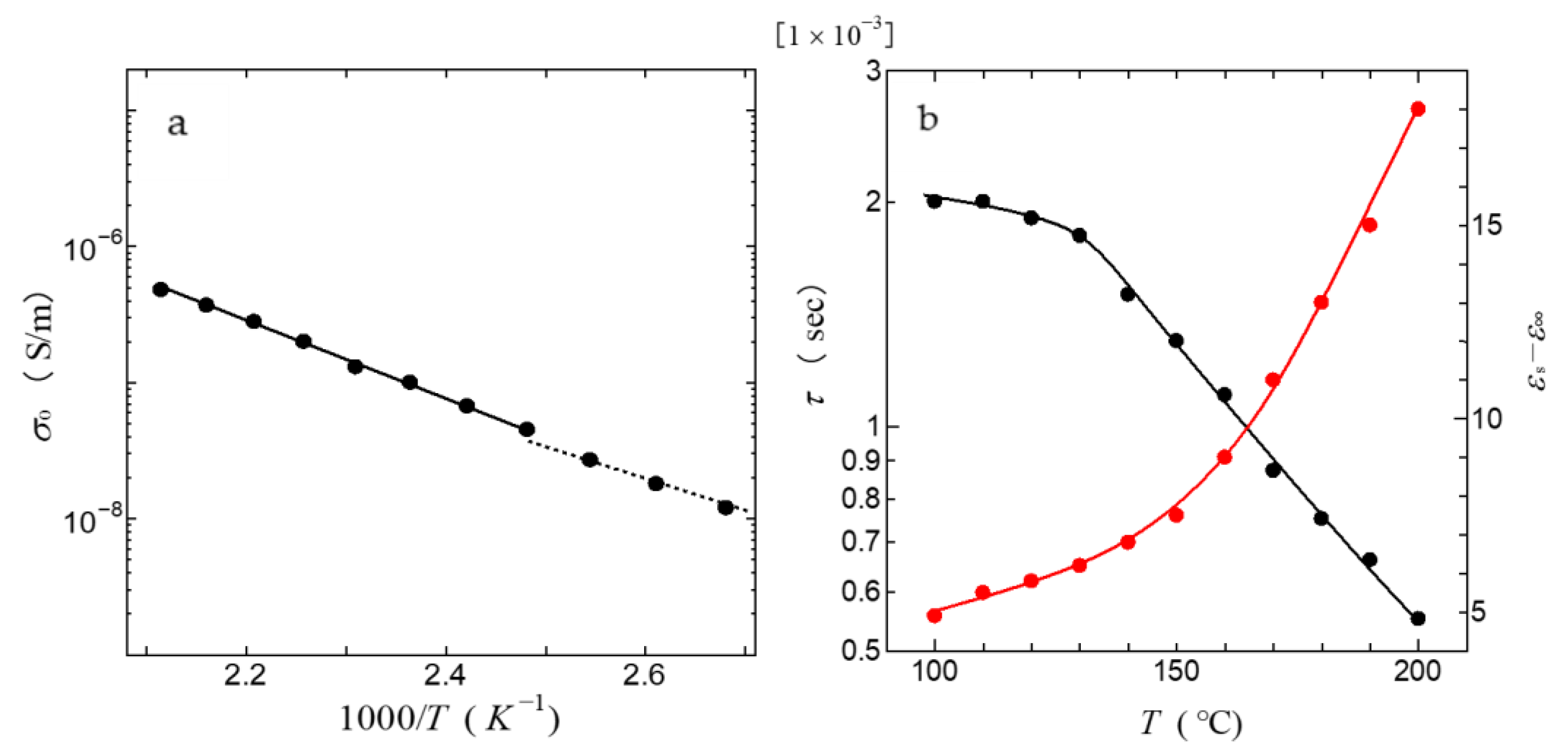
2.4. Impedance Measurements
2.5. Data Fitting
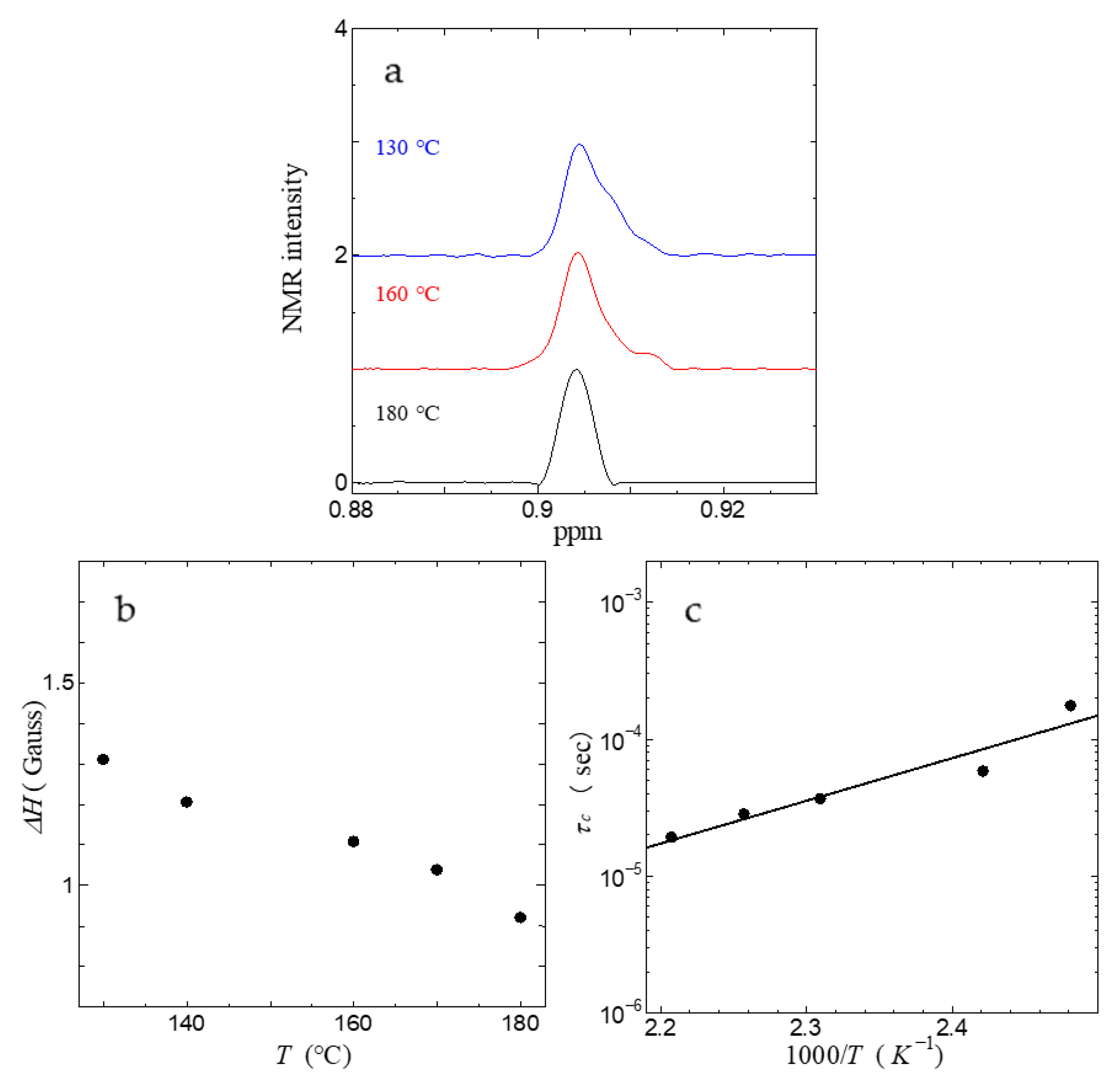
2.6. Measurement of 1H-NMR
3. Results and Discussion
4. Conclusions
Author Contributions
Funding
Conflicts of Interest
References
- Viktorsson, L.; Heinonen, J.T.; Skulason, J.B.; Unnthorsson, R. A Step towards the Hydrogen Economy—A Life Cycle Cost Analysis of A Hydrogen Refueling Station. Energies 2017, 10, 763. [Google Scholar] [CrossRef]
- Gierke, T.D.; Munn, G.E.; Wilson, F.C. The morphology in nafion perfluorinated membrane products, as determined by wide- and small-angle X-ray studies. J. Polym. Sci. Part A 2 Polym. Phys. 1981, 19, 1687–1704. [Google Scholar] [CrossRef]
- Kreuer, K.D. On the Development of Proton Conducting Polymer Membranes for Hydrogen and Methanol Fuel Cells. J. Membr. Sci. 2001, 185, 29–39. [Google Scholar] [CrossRef]
- Knauth, P.; Di Vona, M.L. Solid State Proton Conductors: Properties and Applications in Fuel Cells; John Wiley & Sons, Inc.: Hoboken, NJ, USA, 2012. [Google Scholar]
- Norby, T. The Promise of Protonics. Nature 2001, 410, 877–878. [Google Scholar] [CrossRef] [PubMed]
- Kawabata, T.; Matsuo, Y. Chitin Based Fuel Cell and Its Proton Conductivity. Mater. Sci. Appl. 2018, 9, 779–789. [Google Scholar] [CrossRef]
- Matsuo, Y.; Kumasaka, G.; Saito, K.; Ikehata, S. Fabrication of Solid-State Fuel Cell Based on DNA Film. Solid State Commun. 2005, 133, 61–64. [Google Scholar] [CrossRef]
- Matsuo, Y.; Hatori, J.; Yoshida, Y.; Ikehata, S. Humidity Dependence of Proton Conductivity in DNA Film Studied by NMR and AC Conductivity. J. Phys. Soc. Jpn. 2010, 79, 12–14. [Google Scholar] [CrossRef]
- Matsuo, Y.; Ikeda, H.; Kawabata, T.; Hatori, J.; Oyama, H. Collagen-Based Fuel Cell and Its Proton Transfer. Mater. Sci. Appl. 2017, 8, 747–756. [Google Scholar] [CrossRef][Green Version]
- Furuseki, T.; Matsuo, Y. Fuel Cell Using Squid Axon Electrolyte and Its Proton Conductivity. J. Funct. Biomater. 2020, 11, 86. [Google Scholar] [CrossRef]
- Zhong, C.; Deng, Y.; Roudsari, A.F.; Kapetanovic, A.; Anantram, M.P.; Rolandi, M. A Polysaccharide Bioprotonic Field-Effect Transistor. Nat. Commun. 2011, 2, 476. [Google Scholar] [CrossRef]
- Wu, X.; Zhou, J.; Huang, J. Integration of Biomaterials into Sensors Based on Organic Thin-Film Transistors. Macromol. Rapid Commun. 2018, 39, 1800084. [Google Scholar] [CrossRef]
- Orgel, J.P.R.O.; Irving, T.C.; Miller, A.; Wess, T.J. Microfibrillar Structure of Type I Collagen in Situ. Proc. Natl. Acad. Sci. USA 2006, 103, 9001–9005. [Google Scholar] [CrossRef]
- Gray, T.R.G.; Baxby, P. Chitin Decomposition in Soil. II. The Ecology of Chitinoclastic Micro-Organisms in Forest Soil. Trans. Br. Mycol. Soc. 1968, 51, 293–309. [Google Scholar] [CrossRef]
- Matsui, H.; Matsuo, Y. Proton Conduction via Water Bridges Hydrated in the Collagen Film. J. Funct. Biomater. 2020, 11, 61. [Google Scholar] [CrossRef]
- Tsuboi, M.; Hibino, M.; Mizuno, N.; Uchida, S. Crystalline Polyoxometalate (POM)-Polyethylene Glycol (PEG) Composites Aimed as Non-Humidified Intermediate-Temperature Proton Conductors. J. Solid State Chem. 2016, 234, 9–14. [Google Scholar] [CrossRef]
- Kim, J.-D.; Honma, I. Anhydrous Solid State Proton Conductor Based on Benzimidazole/Monododecyl Phosphate Molecular Hybrids. Solid State Ion. 2005, 176, 979–984. [Google Scholar] [CrossRef]
- Sunairi, Y.; Dekura, S.; Ueda, A.; Ida, T.; Mizuno, M.; Mori, H. Anhydrous Purely Organic Solid-State Proton Conductors: Effects of Molecular Dynamics on the Proton Conductivity of Imidazolium Hydrogen Dicarboxylates. J. Phys. Soc. Jpn. 2020, 89, 051008. [Google Scholar] [CrossRef]
- Zeng, J.; He, B.; Lamb, K.; De Marco, R.; Shen, P.K.; Jiang, S.P. Phosphoric Acid Functionalized Pre-Sintered Meso-Silica for High Temperature Proton Exchange Membrane Fuel Cells. Chem. Commun. 2013, 49, 4655–4657. [Google Scholar] [CrossRef]
- Sunairi, Y.; Ueda, A.; Yoshida, J.; Suzuki, K.; Mori, H. Anisotropic Proton Conductivity Arising from Hydrogen-Bond Patterns in Anhydrous Organic Single Crystals, Imidazolium Carboxylates. J. Phys. Chem. C 2018, 122, 11623–11632. [Google Scholar] [CrossRef]
- Correa, A.M.; Bezanilla, F.; Latorre, R. Gating Kinetics of Batrachotoxin-Modified Na+ Channels in the Squid Giant Axon. Voltage and Temperature Effects. Biophys. J. 1992, 61, 1332–1352. [Google Scholar] [CrossRef]
- Li, Y.M.; Hinokuma, K. Proton Conductivity of Phosphoric Acid Derivative of Fullerene. Solid State Ion. 2002, 150, 309–315. [Google Scholar] [CrossRef]
- Yashima, M.; Kubo, N.; Omoto, K.; Fujimori, H.; Fujii, K.; Ohoyama, K. Diffusion Path and Conduction Mechanism of Protons in Hydroxyapatite. J. Phys. Chem. C 2014, 118, 5180–5187. [Google Scholar] [CrossRef]
- El Hammari, L.; Laghzizil, A.; Barboux, P.; Saoiabi, A.; Lahlil, K. Crystallinity and Fluorine Substitution Effects on the Proton Conductivity of Porous Hydroxyapatites. J. Solid State Chem. 2004, 177, 134–138. [Google Scholar] [CrossRef]
- Yamashita, K.; Kitagaki, K.; Umegaki, T. Thermal Instability and Proton Conductivity of Ceramic Hydroxyapatite at High Temperatures. J. Am. Ceram. Soc. 1995, 78, 1191–1197. [Google Scholar] [CrossRef]
- Yashima, M.; Yonehara, Y.; Fujimori, H. Experimental Visualization of Chemical Bonding and Structural Disorder in Hydroxyapatite through Charge and Nuclear-Density Analysis. J. Phys. Chem. C 2011, 115, 25077–25087. [Google Scholar] [CrossRef]
- Horiuchi, N.; Shibata, K.; Saito, H.; Iwabuchi, Y.; Wada, N.; Nozaki, K.; Hashimoto, K.; Tanaka, Y.; Nagai, A.; Yamashita, K. Size Control Synthesis of Hydroxyapatite Plates and Their Application in the Preparation of Highly Oriented Films. Cryst. Growth Des. 2018, 18, 5038–5044. [Google Scholar] [CrossRef]
- Mohd Pu’ad, N.A.S.; Koshy, P.; Abdullah, H.Z.; Idris, M.I.; Lee, T.C. Syntheses of Hydroxyapatite from Natural Sources. Heliyon 2019, 5, e01588. [Google Scholar] [CrossRef]
- Palmer, L.C.; Newcomb, C.J.; Kaltz, S.R.; Spoerke, E.D.; Stupp, S.I. Biomimetic Systems for Hydroxyapatite Mineralization Inspired by Bone and Enamel. Chem. Rev. 2008, 108, 4754–4783. [Google Scholar] [CrossRef]
- Nayak, A.K. Hydroxyapatite Synthesis Methodologies: An Overview. Int. J. ChemTech Res. 2010, 2, 903–907. [Google Scholar]
- Mututuvari, T.M.; Harkins, A.L.; Tran, C.D. Facile Synthesis, Characterization, and Antimicrobial Activity of Cellulose-Chitosan-Hydroxyapatite Composite Material: A Potential Material for Bone Tissue Engineering. J. Biomed. Mater. Res. Part A 2013, 101, 3266–3277. [Google Scholar] [CrossRef]
- Fara, A.N.K.A.; Abdullah, H.Z. Characterization of Derived Natural Hydroxyapatite (HAp) Obtained from Different Types of Tilapia Fish Bones and Scales. AIP Conf. Proc. 2015, 1669, 020077. [Google Scholar]
- Chen, X.; Wang, Q.; Shen, J.; Pan, H.; Wu, T. Adsorption of Leucine-Rich Amelogenin Protein on Hydroxyapatite (001) Surface through -COO− Claws. J. Phys. Chem. C 2007, 111, 1284–1290. [Google Scholar] [CrossRef]
- Zhang, W.; Huang, Z.-L.; Liao, S.-S.; Cui, F.-Z. Nucleation Sites of Calcium Phosphate Crystals during Collagen Mineralization. J. Am. Ceram. Soc. 2003, 86, 1052–1054. [Google Scholar] [CrossRef]
- Van Rees, H.B.; Mengeot, M.; Kostiner, E. Monoclinic-Hexagonal Transition in Hydroxyapatite and Deuterohydroxyapatite Single Crystals. Mater. Res. Bull. 1973, 8, 1307–1309. [Google Scholar] [CrossRef]
- Tanaka, J.; Kikuchi, M. Surface and Interface of Artificial Bio-Materials. Synthesis of Collagen and Inorganic Material Composite. Hyomen Kagaku 1999, 20, 600–606. [Google Scholar] [CrossRef]
- Chang, M.C.; Tanaka, J. FT-IR Study for Hydroxyapatite/Collagen Nanocomposite Cross-Linked by Glutaraldehyde. Biomaterials 2002, 23, 4811–4818. [Google Scholar] [CrossRef]
- Muyonga, J.H.; Cole, C.G.B.; Duodu, K.G. Fourier Transform Infrared (FTIR) Spectroscopic Study of Acid Soluble Collagen and Gelatin from Skins and Bones of Young and Adult Nile Perch (Lates Niloticus). Food Chem. 2004, 86, 325–332. [Google Scholar] [CrossRef]
- Rapacz-Kmita, A.; Paluszkiewicz, C.; Ślósarczyk, A.; Paszkiewicz, Z. FTIR and XRD Investigations on the Thermal Stability of Hydroxyapatite during Hot Pressing and Pressureless Sintering Processes. J. Mol. Struct. 2005, 744–747, 653–656. [Google Scholar] [CrossRef]
- Matsuo, Y.; Tokoyoda, Y.; Hatori, J.; Ikehata, S. Electrical Conductivity and NMR Studies in Paraelastic Phase of Tl2SeO4. Solid State Ion. 2006, 177, 1883–1886. [Google Scholar] [CrossRef]
- Smith, G.W. Proton Magnetic Resonance Studies of Solid Tetramethyls of Silicon, Germanium, Tin, and Lead. J. Chem. Phys. 1965, 42, 4229–4243. [Google Scholar] [CrossRef]
- Matsuo, Y.; Ikehata, S. “Proton Coduction in DNA” of the Chapter 4 in DNA Engineering—Properties and Applications; Mizoguchi, K., Sakamoto, H., Eds.; Jenny Stanford Publishing: New York, NY, USA, 2016. [Google Scholar]
- Cole, K.S.; Cole, R.H. Dispersion and Absorption in Dielectrics I. Alternating Current Characteristics. J. Chem. Phys. 1941, 9, 341–351. [Google Scholar] [CrossRef]











| T (°C) | σ0 (S/m) | εs-ε∞ | τ (s.) | β |
|---|---|---|---|---|
| 100 | 1.2 × 10−8 | 4.9 | 1.8 × 10−3 | 0.27 |
| 140 | 6.7 × 10−8 | 6.6 | 1.3 × 10−3 | 0.30 |
| 170 | 2.0 × 10−7 | 8.0 | 2.0 × 10−4 | 0.44 |
| 200 | 4.8 × 10−7 | 17 | 4.8 × 10−4 | 0.45 |
Publisher’s Note: MDPI stays neutral with regard to jurisdictional claims in published maps and institutional affiliations. |
© 2022 by the authors. Licensee MDPI, Basel, Switzerland. This article is an open access article distributed under the terms and conditions of the Creative Commons Attribution (CC BY) license (https://creativecommons.org/licenses/by/4.0/).
Share and Cite
Furuseki, T.; Matsuo, Y. Anhydrous Proton Conductivity in HAp-Collagen Composite. J. Compos. Sci. 2022, 6, 236. https://doi.org/10.3390/jcs6080236
Furuseki T, Matsuo Y. Anhydrous Proton Conductivity in HAp-Collagen Composite. Journal of Composites Science. 2022; 6(8):236. https://doi.org/10.3390/jcs6080236
Chicago/Turabian StyleFuruseki, Tomoki, and Yasumitsu Matsuo. 2022. "Anhydrous Proton Conductivity in HAp-Collagen Composite" Journal of Composites Science 6, no. 8: 236. https://doi.org/10.3390/jcs6080236
APA StyleFuruseki, T., & Matsuo, Y. (2022). Anhydrous Proton Conductivity in HAp-Collagen Composite. Journal of Composites Science, 6(8), 236. https://doi.org/10.3390/jcs6080236
